Open Access Article
This Open Access Article is licensed under a
Creative Commons Attribution 3.0 Unported Licence

Internal rotation-induced A/E splittings in the methyl rocking band of propylene oxide (ν17 = 1) and refined analyses of the ground and first torsional states (ν24 = 1)

Karel Vávraab, Kateřina Lukováab, Eileen Döringa, Jan Jakoba, Thomas F. Giesen*a and Guido W. Fuchsa
aInstitute of Physics, University of Kassel, Heinrich-Plett-Str. 40, 34132 Kassel, Germany. E-mail: t.giesen@uni-kassel.de
bDepartment of Analytical Chemistry, University of Chemistry and Technology, Technická 5, 166 28 Prague 6, Czech Republic

Received 11th February 2026 , Accepted 8th April 2026

First published on 9th April 2026


Abstract

The ro-vibrational spectrum of propylene oxide in the methyl rocking fundamental band ν17 = 1 is reported for the first time, based on high-resolution infrared measurements at room temperature and under supersonic jet-cooled conditions. The band origin and symmetry-resolved molecular parameters were determined with high precision. Unexpectedly large splittings into A- and E-symmetry components are observed in the jet-cooled spectrum, indicating perturbative coupling of the ν17 state with nearby torsionally excited dark states. The spectra were analysed using an effective Hamiltonian approach implemented in the newly developed General Fitting Code (GFC), which enables a consistent treatment of rovibrational and torsional interactions. In addition, previously published microwave, millimetre- and submillimetre-wave spectra of the ground torsional state and the first torsionally excited state ν24 = 1 were reanalysed using refined data sets. A simultaneous treatment of both torsional states allows an independent determination of the internal rotation constant F0 and the threefold torsional barrier height V3, as well as improved values for higher-order barrier terms.


1 Introduction

Propylene oxide (CH3CHCH2O, see Fig. 1A), also known as methyl oxirane, is a stable chiral molecule that has been widely investigated using various spectroscopic techniques (see ref. 1 and references therein) and quantum chemical calculations.2–5 It has also been detected in space through radio astronomical observations, and is the first chiral interstellar molecule to be found so far.6 Because of its conformational stability and the commercial availability of enantiomerically pure samples, propylene oxide (PO) is frequently used in studies of molecular chirality. In addition, the methyl group in PO acts as an internal rotor, giving rise to a torsional motion which leaves a spectral fingerprint in high-resolution spectra. This torsional motion has been the subject of intensive research for several decades and is also an important aspect of this work due to the potential for anharmonic couplings between the fundamental vibration ν17 and highly excited torsional motions.
image file: d6cp00517a-f1.tif
Fig. 1 (A) Visualization of the ν17 = 1 vibrational mode of propylene oxide. The blue arrows show the normal coordinate displacement vectors. (B) Predicted anharmonic vibrational energies of modes (MP2/cc-aug-pVTZ) in the proximity of ν17 = 1. The energies of the combination modes were derived as linear combinations of the energies of the corresponding fundamental modes. Combination modes that do not involve torsional modes have been omitted for clarity. Also, the internal rotation splitting is not considered for torsionally excited states. All energies are given relative to the ground vibrational state.

The study of the effects of internal rotation in PO began in 1957, when Swalen et al. analysed the ground and first excited torsional states.7 They reported barrier heights of V03 = 974 cm−1 and V13 = 895 cm−1, respectively. In a subsequent study,8 the same group extended their analysis to higher rotational quantum numbers (J, K) and included the second torsional state, determining a consistent barrier height of V0,1,23 = 895 (25) cm−1. They concluded that the coupling between internal rotation and molecular vibrations was negligible and that the V6 term was both insignificant and indeterminable.

Subsequent far-infrared measurements9 and direct observations of transitions between torsionally excited states refined the barrier height to V3 = 900 (8) cm−1 and V6 = −9 (1) cm−1. More recently, Mesko et al.10 analysed the spectrum of the ground torsional state in the millimetre and submillimetre region (70 GHz–1 THz), determining V03 = 892.71 (58) cm−1. Stahl et al.11 investigated the first torsional state in the 75–950 GHz range and obtained V13 = 898.661 (89) cm−1. Although internal rotation effects were also observed in the CH3 stretching region (2500–3100 cm−1),12 i.e., in vibrationally excited high-lying states, attempts to derive barrier heights from this region were unsuccessful.

Studies of vibrationally excited states have been performed by Ainetschian et al.13 for propene (propylene), i.e. a molecule similar to propylene oxide that also contains a methyl group. The region of 900–1100 cm−1 was measured and it was found that the A/E splitting due to internal methyl rotation varied significantly between the ground state and different vibrational states. These discrepancies were attributed to anharmonic coupling between fundamental vibrations and torsional overtones or combination bands. Lafferty et al.14 later confirmed this unusual behaviour using jet-cooled molecular spectroscopy in the 930–1030 cm−1 region. They concluded that barrier heights derived solely from line splittings in vibrationally excited states are unreliable and that a more comprehensive analysis is required. Nevertheless, unlike the well-characterized internal rotation effects observed in the ground and torsional states, the behaviour of internal rotors in vibrationally excited states remains largely unexplored for propylene oxide and many other molecules. The limited number of studies on this subject highlights its complexity and the need for more systematic research. Getting a deeper insight into molecular dynamics requires an understanding of the coupling between internal rotation (a large-amplitude motion) and methyl rocking vibrations (small-amplitude motions). Thus, this work can be considered a case study that helps understanding the spectroscopic behaviour of similar molecules and possibly also the phenomena of intramolecular vibrational energy redistribution (IVR).

This study presents the first successful simultaneous analysis of torsional A/E splitting in both the ground and vibrationally excited states of propylene oxide. We used high-resolution infrared spectroscopy and advanced computational modelling to study the fundamental vibrational band ν17 = 1 of PO. Furthermore, we analysed the ground and first torsional states of PO using experimental data from ref. 10, 11 thereby providing a unified framework for interpreting internal rotation in both the ground and excited vibrational states. The infrared band ν17 was recorded in a glass cell at room temperature at frequencies ranging from 1006.6 to 1033.7 cm−1 and under supersonic expansion conditions ranging from 1009.8 to 1032.8 cm−1. From the observed and assigned transitions, we determined the ν17 band origin, the rotational and quartic centrifugal distortion constants, and the effective potential barrier height. The analysis was performed using the newly developed General Fitting Code (GFC), which enabled us to treat internal rotation effects consistently across multiple vibrational states.

2 Experimental details

A high-resolution infrared spectroscopic study was performed using a racemic mixture of propylene oxide (CAS 75-56-9), which was purchased from Sigma Aldrich and had a purity of over 99.5%. The infrared absorption spectra were recorded using two experimental setups: one with a glass cell at room temperature under static pressure conditions, and the other with a pick-up source in combination with a supersonic jet expansion under vacuum conditions.

An external cavity quantum cascade laser (ec-QCL; Daylight Solutions) with a laser power of 100 mW, operating in the range of 990 to 1060 cm−1 (9.4 to 10.1 µm) was used to record the spectrum. For the room temperature spectrum the laser frequency was slowly tuned over the spectral range, while for the supersonic jet measurements a fast scanning current modulation mode was used to record narrow spectral segments of 0.03 cm−1 width. Each segment was measured 600 times, averaged and combined to create a complete broadband spectrum.

To calibrate the wavelength of the recorded spectra, a small fraction (5–10%) of the infrared radiation was used to record the transmission simultaneously of both an etalon with a free spectral range (FSR) of 150 MHz and a methanol (CH3OH) reference gas spectrum. Room-temperature spectra were acquired using an 80 cm long glass absorption cell filled with propylene oxide vapor at a pressure of 3 mbar. The transmitted light intensity was detected using a liquid nitrogen-cooled mercury cadmium telluride detector (lq-N2 MCT Teledyne Judson Technology).

The supersonic jet spectrum was recorded at around 35 Kelvin, with significantly reduced line widths of approximately 40 MHz (FWHM) compared to the room temperature measurement of approximately 120 MHz (FWHM). The uncertainties of the measured line positions were estimated from the calibration procedure, the reproducibility of repeated scans, and the observed linewidths. Based on the etalon calibration and the methanol reference spectrum, individual uncertainties were assigned to each transition frequency. Typical uncertainties correspond to about 4 × 10−3 cm−1 (≈120 MHz) for room-temperature spectra and about 1.33 × 10−3 cm−1 (≈40 MHz) for the jet-cooled spectra. Larger uncertainties (up to 2 × 10−2 cm−1) were used for weak or partially blended transitions. These uncertainties are reflected in the RMS values of the fits and are listed line-by-line in the tables of assigned transitions. Rotational quantum numbers up to J = 17 were observed. A pick-up source filled with liquid propylene oxide was used for the measurements. The evaporating sample was diluted in 5 bar of helium gas, pre-expanded through a pulsed valve into a slit nozzle source, and then adiabatically expanding into a vacuum chamber at a background pressure of 10−2 mbar.

The infrared laser beam intersected the supersonic jet perpendicularly, 10 mm downstream from the slit nozzle exit, 42 times in a Herriott-type multi-pass configuration to enhance the absorption signal. The signal was recorded by a fast liquid-N2 cooled MCT detector (Vigo Photonics). The current modulation of the ec-QCL used, approximately 200 kHz, was fast enough to resolve the transit time of 10 µs of the jet molecules passing through the laser beam.15

2.1 Software

The General Fitting Code (GFC), a new fitting program, was used to process the measured spectra and calculate and visualize the spectral predictions. The program was also used to fit the transitions of the vibrationally excited state of propylene oxide ν17 = 1. The assignments of the transitions of the ν17 = 1 mode were aided by Loomis-Wood type plots. Additionally, previously published data for the ground and first torsionally excited states10,11 were re-analyzed using GFC. Internal rotation tunneling splitting was treated within the framework of the Combined Axis Method (CAM)16 employing Watson's effective rotational Hamiltonian in the A-reduction and Ir representation.17 Further details on the program's functionality and the methods employed are provided in Appendix A.

3 Theory

The analysis of molecules containing methyl internal rotors has been addressed by several effective Hamiltonian approaches and corresponding fitting programs. Comprehensive overviews of the available methods and codes for asymmetric top molecules with a single C3v internal rotor have been given, for example, by Kleiner.18 Two of the most widely used approaches are implementations based on the combined axis method (CAM) and the rho-axis method (RAM). CAM-type formulations treat the torsion–rotation interaction in a coordinate system related to the principal inertial axes and are implemented in programs such as XIAM,19 which has been applied successfully to many molecules with methyl internal rotation. RAM-based approaches, implemented for example in the BELGI program family,20 use a coordinate system aligned with the internal rotor axis and allow a global treatment of torsion–rotation interactions involving several torsional states. These methods are routinely applied not only to rotational spectra but also to rovibrational spectra. For example, recent microwave and quantum cascade laser infrared studies of isoprene have used both XIAM and BELGI to analyse torsion–rotation interactions and unusually large A/E splittings arising from coupling with nearby torsionally excited states.21

In addition, several other programs provide alternative strategies for analysing torsion–rotation interactions. ERHAM22,23 expands torsional splittings and rotational constants as Fourier series in the internal rotation angle, treating each torsional state independently. RAM3624 extends the rho-axis method to molecules with three- and sixfold barriers and enables a global simultaneous fit of multiple torsional states. More recently, Westerfit25 has been developed for open-shell molecules, incorporating spin–torsion–rotation interactions within the RAM framework.

Against this background, the present work follows a related approach: the torsion–rotation interaction is treated within a Hamiltonian framework closely related to the combined axis method, implemented in the newly developed General Fitting Code (GFC). The code provides a flexible environment for the simultaneous treatment of rotational and rovibrational data of molecules containing a single methyl internal rotor, extending the CAM approach to a global treatment of multiple torsional and vibrational states. The rotational–torsional–vibrational structure of propylene oxide is described using an effective Hamiltonian approach. The total Hamiltonian operator is written as

 
Htot = Hv + HR + HT + HRT + HTT, (1)
where Hv, HR, and HT describe the vibrational, overall rotational, and torsional motion, respectively. The term HRT accounts for coupling between the internal and overall rotation, while HTT represents couplings among different torsional states.

In the present treatment, the vibrational contribution enters only as an additive term to the total energy and does not mix with the rotational or torsional motion. Accordingly, Hv is replaced by its eigenvalue Evib. Neglecting all coupling terms, the resulting zeroth-order Hamiltonian is written as

 
image file: d6cp00517a-t1.tif(2)
where Bi (i = a, b, c) are the rotational constants defined as
 
image file: d6cp00517a-t2.tif(3)
of the asymmetric rotor associated with the components Ji of the total angular momentum operator along the principal inertial axes.

The constant F denotes the reduced internal rotation constant within the Combined Axis Method and accounts for the coupling between the internal rotor and the overall molecular rotation. It is related to the moment of inertia of the methyl top Iα and depends explicitly on the molecular inertia tensor through the geometric factor r,

 
image file: d6cp00517a-t3.tif(4)
where
 
image file: d6cp00517a-t4.tif(5)
Here, λi (i = a, b, c) are the direction cosines of the internal-rotation axis of the methyl top with respect to the principal inertial axes, i.e. the components of the unit vector eα = (λa, λb, λc). Since F depends on the rotational constants Bi through r, it varies slightly between different vibrational states. For practical reasons, and to separate purely torsional properties from vibrationally induced changes in the molecular geometry, it is therefore convenient to introduce the internal rotation constant
 
image file: d6cp00517a-t5.tif(6)
which depends only on the moment of inertia of the internal rotor. Within this formulation, the reduced internal rotation constant F entering the CAM Hamiltonian is obtained from the unreduced constant F0 via the geometric correction factor r,
 
image file: d6cp00517a-t6.tif(7)

For the CH3 top, the internal rotation potential V(α) is expanded as a Fourier series in the torsional angle α,

 
image file: d6cp00517a-t7.tif(8)
where Vn (n = 3, 6, 9,…) denote the n-fold torsional barrier parameters.

Within the CAM framework, the torsional Hamiltonian HT is formulated in the ρ-axis system (RAS). The corresponding matrix elements are expressed as

 
image file: d6cp00517a-t8.tif(9)
 
image file: d6cp00517a-t9.tif(10)
where m is the torsional quantum number, ρ is a dimensionless vector describing the projection of the internal rotor angular momentum onto the principal inertial axes, and K denotes the projection quantum number of the total angular momentum onto the principal axis. The torsional symmetry is labelled by σ (σ = 0 for A symmetry, σ = ±1 for E symmetry), and q is an integer describing the off-diagonality of the matrix element.

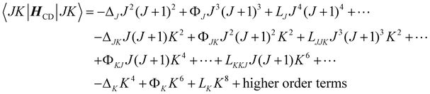
The torsional Hamiltonian matrix is diagonalised for K = −Jmax,…, Jmax, yielding torsional energies ERAST,K, which are subsequently transformed into the principal axis system (PAS) using Wigner D matrices.16,19,26,27 The coupling terms HRT and HTT are negligible in the ground torsional state under the high-barrier approximation.28 For torsionally excited states or lower barriers, their effects are accounted for in the GFC formalism by effective centrifugal distortion parameters such as DEJ, DEK, DE…, and higher order parameters applied to the E-symmetry states, where n is the order of the respective operator. The matrix elements diagonal in the quantum number K are given by

 
image file: d6cp00517a-t10.tif(11)
 
image file: d6cp00517a-t11.tif(12)
 
image file: d6cp00517a-t12.tif(13)
whereas the off-diagonal elements (ΔK = ±2) are expressed as:
 
image file: d6cp00517a-t13.tif(14)
 
image file: d6cp00517a-t14.tif(15)
 
image file: d6cp00517a-t15.tif(16)

4 Quantum-chemical calculations

Quantum-chemical calculations were performed to support the analysis of the ro-vibrational spectrum of propylene oxide and to guide the assignment of the experimentally observed transitions. Equilibrium geometries and anharmonic vibrational frequencies were obtained using the Gaussian 16 program package,29 employing second-order Møller–Plesset perturbation theory (MP2)30 in combination with Dunning's correlation-consistent valence-polarized triple-ζ basis set augmented by diffuse functions (aug-cc-pVTZ).31

The calculated normal-mode displacement vectors of the ν17 = 1 vibrational mode are illustrated in Fig. 1. Based on the optimized geometry, approximate equilibrium rotational constants of A = 18[thin space (1/6-em)]040 MHz, B = 6731 MHz, and C = 5986 MHz were obtained and used as initial values for the spectral assignments. The vibrational dependence of the rotational constants was estimated using first-order vibration–rotation interaction constants αi, according to

 
image file: d6cp00517a-t27.tif(17)
where Bi and Be denote the rotational constants in the ith vibrationally excited state and at the equilibrium geometry, respectively, and νi are the corresponding vibrational quantum numbers.

The anharmonic vibrational energy of the ν17 mode was calculated to be approximately 1022 cm−1. In addition, the calculated transition dipole moment derivatives with respect to the normal coordinate Q, ∂μ/∂Qx = −5.6 × 10−1 (km mol−1)1/2, ∂μ/∂Qy = 2.6 (km mol−1)1/2, and ∂μ/∂Qz = 1.1 (km mol−1)1/2, indicate that the ν17 band exhibits predominantly b-type character, accompanied by weaker c-type and very weak a-type transitions.

5 Spectral analysis

5.1 Ground torsional state νT = 0 and first torsionally excited state ν24 = 1

The rotational spectrum of the ground torsional state νT = 0 of propylene oxide has been extensively investigated in the microwave, millimetre- and submillimetre-wave region by Herschbach & Swalen7,8 and more recently by Mesko et al.10 The latter study reported 8514 A and 6686 E symmetry transitions. In the present work, this data set was curated and reanalysed using GFC. Transitions affected by unresolved A/E blends or distorted line shapes were removed, yielding 8048 A and 6573 E symmetry transitions (Table 1). The resulting fit reproduces the experimental frequencies with an RMS deviation of 80.6 kHz, a substantial improvement over the 191.5 kHz obtained in ref. 10.
Table 1 Molecular parameters for the ground vibrational state and the first torsional state (ν24 = 1) of propylene oxide, derived from curated linelists.a 1σ uncertainties are given in parentheses
Parameter Separate fits Simultaneous fit (this work)b
G.S. (ref. 10) G.S. (this work) ν24 = 1 (ref. 11) ν24 = 1 (this work)b G.S. ν24 = 1
a The refinement of linelists is described in Section 5.1.b The effective centrifugal distortion parameters determined in the analysis are given in Table 2.c Fixed at the calculated value (MP2/aug-cc-pVTZ).d Δπ2J and Δπ2K are empirical internal rotation–overall rotation distortion operators used in CAM/XIAM-type analyses.11,32e V3, V6, F0, δ, and ε were determined in the simultaneous analysis of νT = 0 and ν24 = 1.f Fixed at the value reported by Mesko et al.10g Fixed at the value reported by Stahl et al.11h NA/NE correspond to the number of transitions of A- and E-symmetry.i RMS is the standard deviation of the fit.
A/MHz 18023.84513 (17) 18023.845657 (72) 18014.52748 (61) 18014.63073 (56) 18023.845687 (51) 18014.62408 (19)
B/MHz 6682.36952 (37) 6682.149511 (27) 6670.81061 (21) 6670.116888 (43) 6682.149516 (10) 6670.116691 (33)
C/MHz 5951.17621 (37) 5951.397142 (27) 5944.30048 (21) 5944.994967 (48) 5951.397151 (11) 5944.994745 (40)
ΔJ/kHz 2.914620 (41) 2.914841 (14) 2.89988 (14) 2.900014 (33) 2.914844 (10) 2.899855 (26)
ΔJK/kHz 3.46722 (17) 3.466873 (56) 3.5932 (11) 3.53596 (22) 3.466892 (56) 3.53559 (19)
ΔK/kHz 19.72715 (31) 19.729717 (96) 19.4579 (15) 19.8185 (21) 19.72970 (10) 19.79469 (89)
δJ/kHz 0.192910 (13) 0.1927741 (14) 0.188471 (20) 0.1883670 (49) 0.1927741 (16) 0.1883715 (41)
δK/kHz 2.60044 (42) 2.597701 (99) 1.3474 (11) 2.18958 (33) 2.59767 (11) 2.18968 (28)
ΦJ/mHz 1.5343 (60) 1.5579 (20) 1.482 (33) 1.5875 (78) 1.5582 (19) 1.5557 (63)
ΦJK/mHz −6.72 (27) −6.910 (12) −14.39 (40) −10.64 (10) −6.908 (13) −10.949 (83)
ΦKJ/mHz 27.88 (90) 28.251 (33) 57.5 (15) 39.68 (34) 28.258 (35) 39.59 (29)
ΦK/mHz 36.05 (65) 37.365 (46) [0.0] 234.7 (19) 37.348 (50) 213.69 (91)
ϕJ/mHz 0.0873 (24) [0.083]c [0.0] [0.083]c [0.083]c [0.083]c
ϕJK/mHz [0.0] [−0.18]c [0.0] [−0.18]c [−0.18]c [−0.18]c
ϕK/Hz 0.1338 (58) [0.13]c [0.0] [0.13]c [0.13]c [0.13]c
Δπ2J/MHzd [0.0] 0.0488 (34)
Δπ2K/MHzd −7.25 (11) −0.391 (11)
F0/GHz [158.2278] [159.86]e 159.01 (16) [159.86] 159.8600 (59)
V3/cm−1 892.71 (58) 896.82 (20) 898.661 (89) 900.217 (12) 902.121 (87)
V6/cm−1 −5.44 (25)
δ/rad 0.4858 (19) 0.45896 (94) 0.4666 (12) 0.455829 (61) 0.456528 (34)
ε/rad 1.55 (12) [1.55]f 1.574 (80) [1.57]g [1.55]f
Jmax/Kmax 82/42 82/42 55/26 55/26 82/42 55/26
NA/NE[thin space (1/6-em)]h 8514/6686 8048/6573 2526/2452 2497/2414 8048/6573 2497/2414
RMSi/kHz 191.5 80.6 148.9 52.2 74.6


Because the A/E splittings in the ground torsional state are only of the order of 1–2 MHz, the fit is only weakly sensitive to the parameters governing the torsional motion. In particular, the internal rotation constant F0 and the threefold barrier height V3 affect the splittings in a very similar manner and remain strongly correlated in a fit restricted to the ground state. This is reflected in a correlation coefficient of 0.97 between F0 and V3, indicating that these parameters cannot be determined independently from νT = 0 data alone. Consequently, F0 was kept fixed in the ground-state analysis.

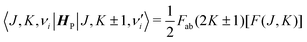
Stahl et al.11 analysed the first torsionally excited state ν24 = 1 using 2526 A and 2452 E symmetry rotational transitions recorded between 75 and 950 GHz. In this state, the A/E splittings are much larger (up to 100 MHz) and exhibit a pronounced dependence on J and K, providing substantially increased sensitivity to the torsional parameters compared to the ground state. Nevertheless, a fit restricted to ν24 = 1 still shows a strong correlation between F0 and V3. The corresponding correlation coefficient of 0.94 demonstrates that, despite the large splittings, the information content of a single torsional manifold is insufficient to fully disentangle these two parameters. Therefore, a curated line list of 2497 transitions of A-symmetry and 2414 transitions of E-symmetry was reanalysed using the improved ground-state constants shown in Table 2. The new set of parameters reduces the RMS value from 148.9 kHz to 52.2 kHz (Table 1). The resulting parameter set gives a consistent description of the torsional splitting and the associated centrifugal distortion effects.

Table 2 Effective centrifugal distortion parameters determined in the separate fit of transition frequencies of ν24 = 1 and in the simultaneous analysis of the ground torsional state and ν24 = 1
Parameter Separate fit Simultaneous fit
Numbers in parentheses are the 1σ uncertainties.
DEJ/kHz −0.603 (29) −0.590 (24)
image file: d6cp00517a-t16.tif −163.26 (83) −153.99 (36)
image file: d6cp00517a-t17.tif 0.4552 (30) 0.4207 (13)
image file: d6cp00517a-t18.tif −0.3058 (27) −0.2752 (13)
DE/kHz −0.9316 (76) −0.9385 (67)
image file: d6cp00517a-t19.tif 7.26 (23) 7.69 (20)
image file: d6cp00517a-t20.tif −43.90 (80) −46.96 (69)
image file: d6cp00517a-t21.tif −0.9568 (45) −0.9095 (23)
image file: d6cp00517a-t22.tif 6.089 (42) 5.635 (20)
image file: d6cp00517a-t23.tif −9.418 (95) −8.445 (53)
image file: d6cp00517a-t24.tif 4.049 (68) 3.432 (44)
image file: d6cp00517a-t25.tif 48.70 (81) 52.82 (66)


A decisive reduction of the mutual correlation between F0 and V3 is achieved only when the refined νT = 0 and ν24 = 1 data sets are combined in a simultaneous GFC analysis. By exploiting the fundamentally different magnitudes and J, K dependences of the A/E splittings in the two torsional states, the parameter space is constrained from complementary directions. As a result, the correlation coefficient between F0 and V3 is reduced to 0.30 in the simultaneous fit, effectively breaking the near-linear dependence observed in the single-state analyses and allowing both parameters to be determined independently with high confidence.

In the separate fit of the ground state and the ν24 state we fixed F0 to the value obtained from the simultaneous fit, which is F0 = 159.86 GHz. The combined approach also enables a reliable determination of the small sixfold contribution V6, which cannot be constrained from one torsional state alone. The parameters δ and ε describe the orientation of the internal rotor axis with respect to the principal axis system and the phase of the torsion–rotation interaction term in the effective Hamiltonian. In the simultaneous fit, ε shows strong correlations with other torsion–rotation parameters and could not be determined independently. It was therefore fixed to the value obtained from the ground-state analysis in the paper of Mesko et al.10 The sextic centrifugal distortion parameters ϕJ, ϕJK, and ϕK are only weakly constrained by the present dataset and were fixed to calculated values to stabilize the fit. The final torsional parameters from the simultaneous fit are listed in Table 1.

5.2 Vibrational mode ν17 = 1

The band origin of the ν17 fundamental, located at approximately 1023.5 cm−1, was largely covered by the room-temperature measurements and exhibits a predominantly b-type band structure, in agreement with the ab initio predictions. Initial assignments were based on several unresolved Q-branches (K″ = 7–14, Fig. 2), as well as selected P-branch transitions (K″ = 0, and K″ = 7–9). In the vicinity of the band origin, several weak spectral features were observed that cannot be attributed to b-type transitions. The positions of these weak lines are in reasonable agreement with the expected locations of a- and c-type transitions inferred from the assigned b-type structure. However, due to their low intensity, these features could not be assigned unambiguously, and no quantitative conclusions regarding the relative transition dipole strengths could be drawn from the experimental data. The absence of reliably assignable a- and c-type transitions is consistent with their predicted weak intensities. The assignments were guided by spectral simulations employing the ground-state spectroscopic parameters listed in Table 1 together with the calculated band origin and vibration–rotation interaction constants. The resulting molecular constants were subsequently used to extend the assignments to spectra recorded under supersonic expansion conditions.
image file: d6cp00517a-f2.tif
Fig. 2 Part of the measured (upper) and simulated (lower) P-branch transitions of propylene oxide. The strongest features correspond to unresolved Q-branches. The missing regions around 1015 and 1016.5 cm−1 are due to the mode hops of the QCL.

In the jet-cooled spectrum, all assigned b-type transitions in the R-, Q-, and P-branches with K″ = 0–4 form well-defined doublets (Fig. 3). The large splittings observed in the ν17 = 1 band (10–110 MHz) are far greater than the intrinsic torsional splitting expected for this vibrational mode (of order 1 MHz) and therefore indicate perturbative mixing with a nearby torsionally excited dark state. Ab initio calculations place several combination levels within a few cm−1 of ν17 (Fig. 1), and the most plausible candidates involve an odd number of torsional quanta, e.g. combinations containing ν24 = 1, 3, or 5. For torsional manifolds of propylene oxide, the A/E level ordering alternates with the torsional quantum number; in particular, the experimentally established ordering in ν24 = 1 is E below A. Assuming that the dominant perturber carries an odd number of torsional quanta, the resolved ν17 doublets for image file: d6cp00517a-t28.tif are therefore naturally assigned with the E-symmetry component at lower frequency and the A-dominated component at higher frequency.


image file: d6cp00517a-f3.tif
Fig. 3 Jet spectrum showing the band origin of ν17 = 1, with several zoomed-in views highlighting the resolved internal rotation splitting.

This assignment is supported quantitatively by upper-state A/E offsets ΔEu = Eu(E) − Eu(A) extracted from paired A- and E-symmetry transitions using combination differences (with the small ground-state A/E splitting accounted for). The mean offsets, averaged over all available Kc and J ≤ 15, decrease systematically with increasing Ka for Ka ≤ 4 (Fig. 5), i.e. the effective A/E splitting becomes progressively smaller at higher Ka.

At higher Ka the same trend manifests as a characteristic lineshape evolution. For image file: d6cp00517a-t29.tif, both the asymmetry splitting and the effective A/E splitting decrease to values comparable to the Doppler-limited linewidth (FWHM ≈ 40–50 MHz), and the components are no longer fully resolved (see Fig. 4). Instead, the transitions develop a reproducible low-frequency shoulder. The shoulder intensity is typically about one third of the main feature, consistent with an isolated E-symmetry contribution on the low-frequency side, whereas the high-frequency feature is dominated by an unresolved superposition in which two nearly coincident A-symmetry components overlap with an E contribution. The persistent appearance of the weaker feature at lower frequency thus supports an E-below-A ordering throughout the perturbed ν17 = 1 manifold.


image file: d6cp00517a-f4.tif
Fig. 4 Portion of the jet-cooled spectrum showing partially resolved A/E splittings in selected b-type R-branch transitions and the associated K-doubling of the E-symmetry species (four line pairs highlighted). The upper trace schematically illustrates the corresponding energy levels (in cm−1). For the transition J′ = 8, image file: d6cp00517a-t26.tif, the lower-frequency component corresponds to the isolated E(85,4) line, while the higher-frequency feature arises from an unresolved overlap of A(85,4), A(85,3), and an E contribution. The splitting between E(85,4) and E(85,3) reflects K-doubling, i.e. the lifting of the ±K degeneracy in the E species. Because E(85,3) lies close to the A components, it is not fully resolved, resulting in an effective intensity ratio of approximately 1[thin space (1/6-em)]:[thin space (1/6-em)]3.

image file: d6cp00517a-f5.tif
Fig. 5 Mean upper-state A/E offsets in the ν17 = 1 band as a function of Ka for Ka ≤ 4. Offsets were obtained from paired A- and E-symmetry transitions using combination differences, yielding ΔEu = Eu(E) − Eu(A) for individual upper-state levels. For each Ka, values were averaged over all available Kc and J ≤ 15; points with |ΔEu| < 6 MHz were discarded. Error bars indicate the standard error of the mean (SEM). Negative offsets correspond to the observed E-below-A ordering.

The ν17 data were fitted in an effective Hamiltonian framework that captures the influence of the torsional dark state via symmetry-dependent term values and a small torsional correction. Accordingly, the observed level energies assigned to ν17 = 1 are written as

 
Eobs = EA/Evib + Erot + Ecorr, (18)
with
 
Ecorr = Eτvib+rotEτvib, (19)
where τ denotes the torsional character of the perturbing contribution. The quantities EAvib and EEvib in Table 3 thus represent effective, symmetry-dependent band origins induced by the perturbation (not an intrinsic A/E splitting of the pure ν17 vibration). The rotational contribution Erot is described by the rotational and centrifugal distortion constants, while the residual, rotation-dependent part of the splitting is captured through the effective torsional parameters (V3, F0, δ, ε), which should be regarded as phenomenological descriptors of rovibrational–torsional mixing. A simultaneous fit of the ground state and the ν17 state was tested but did not improve the stability of the fit due to strong parameter correlations arising from perturbative interactions with nearby torsional states. The ground-state constants were therefore fixed in the fit.

Table 3 Effective spectroscopic parameters derived from the analysis of the perturbed ν17 = 1 band of propylene oxide
Parameter ν17 = 1
Numbers in parentheses give 1σ uncertainties in the last digit(s). EAvib, EEvib are the band origins of the A and E states respectively. Parameters in square brackets are fixed at ground state values. NA/NE correspond to number of A- and E symmetry transitions. RMS is the standard deviation of the fit.
EAvib/cm−1 1023.517190 (39)
EEvib/cm−1 1023.513785 (39)
A/MHz 18007.679 (67)
B/MHz 6677.721 (30)
C/MHz 5952.844 (15)
ΔJ/kHz 2.818 (12)
ΔJK/kHz −3.43 (26)
ΔK/kHz 147.2 (11)
δJ/kHz 0.1165 (88)
δK/kHz [2.5977]
ΦJ/mHz [1.5582]
ΦJK/mHz [−6.864]
ΦKJ/mHz [28.11]
ΦK/mHz [37.45]
ϕJ/mHz [0.083]
ϕJK/mHz [−0.18]
ϕK/mHz [130]
F0/GHz [159.86]
V3/cm−1 1102 (12)
δ/rad [0.456516]
ε/rad [1.55]
Jmax/Kmax 47/13
NA/NE 817/754
RMS/MHz 40.8


Using the resulting effective constants, additional b-type transitions in the room-temperature spectra were assigned, extending the data set to P- and R-branch lines with K″ = 0–10. Several Q-branch transitions with K″ > 12 could also be identified, but were excluded from the final fit because of pronounced systematic deviations from the predicted frequencies, indicative of interaction with a nearby vibrational state. The final analysis of the curated data set yielded the effective parameters summarized in Table 3; the complete line list is provided in the SI.

6 Results and discussion

The ground-state and first torsionally excited rotational spectra of propylene oxide were reanalysed using the General Fitting Code (GFC) and refined line lists. The improved data sets led to a substantial reduction of the RMS deviations and to significantly increased precision of the spectroscopic parameters compared to previous studies. A simultaneous treatment of both torsional states enabled an independent determination of the internal rotation constant F0 and the threefold barrier height V3, and allowed the sixfold torsional barrier term V6 to be determined reliably.

The infrared spectrum of the ν17 = 1 band exhibits systematic A/E splittings that cannot be attributed to intrinsic torsional splitting of this vibrational mode. Instead, the magnitude and ordering of the observed doublets indicate perturbative coupling with torsionally excited dark states. The consistent observation of the E-symmetry component at lower frequency across all assigned transitions provides strong evidence that the dominant interaction involves combination/overtone levels with an odd number of torsional quanta ν24. Despite these perturbations, rotational series up to J = 47 and Ka = 13 could be assigned and analysed using an effective semi-rigid rotor Hamiltonian.

Guided by the vibrational energy level scheme shown in Fig. 1, several torsionally excited combination states emerge as plausible interaction partners. Based on ab initio estimates, these include 5ν24 (≈1020.0 cm−1), 3ν24 + ν22 (≈1019.6 cm−1), and ν24 + 2ν22 (≈1018.0 cm−1), all lying within a few wavenumbers of the ν17 fundamental at ≈1022.5 cm−1. All proposed candidates contain an odd number of torsional quanta and are therefore symmetry-compatible with the observed E-below-A ordering. Given the limited accuracy of the calculated combination-level energies, particularly for multiply excited states, the energetic ordering of these candidates should not be over-interpreted. Thus, while the experimental data clearly point to a dominant torsional contribution, the dense manifold of nearby states and the approximate nature of the energies prevent a unique identification of the specific perturbing dark state.

Author contributions

K. Vávra: conceptualization, investigation, formal analysis, data curation, software, writing – original draft. K. Luková: data curation, formal analysis, writing – original draft. E. Döring: investigation, writing – original draft. J. Jakob: investigation, writing – review. T. F. Giesen and G. W. Fuchs: funding acquisition, supervision, writing – review and editing.

Conflicts of interest

There are no conflicts to declare.

Data availability

The data supporting this article, including lists of assigned transitions and output files from the fitting procedure, are provided in the supplementary information (SI). See DOI: https://doi.org/10.1039/d6cp00517a.

The General Fitting Code (GFC) program is publicly available via the Zenodo repository at https://doi.org/10.5281/zenodo.17287288.

Appendix

A Appendix

The General Fitting Code (GFC) is a newly developed versatile tool for the analysis of pure rotational, vibrational and ro-vibrational spectra. It is suitable for the analysis of asymmetric tops as well as species with a single internal rotor with C3v symmetry. In this sense, GFC represents a new member of the family of programs developed for the analysis of internal rotation effects, complementing established tools such as XIAM,19,21,33,34 BELGI,20,21,27 ERHAM,35–37 RAM36,24,38,39 and Westerfit.25 The program is written in the Python (https://www.Python.org) programming language, the majority of numerical calculations are performed in Julia (https://julialang.org/) to enhance the performance and speed of the computation routines.

The General Fitting Code (GFC) program is available in the Zenodo repository, see DOI: https://doi.org/10.5281/zenodo.17287288. Any questions concerning GFC should be addressed to Dr Karel Vávra (vavrak@vscht.cz).

The main features of the software involve:

• Visualisation of experimental spectra (ASCII format)

• Processing of spectra (smoothing, convolution functions, …)

• Calculation and visualization of spectral predictions

• Loomis–Wood type plots, Fortrat diagrams, Reduced energy diagrams

• Line profile fitting, quantum numbers assignment

• Least square fitting (Gauss–Newton method) of parameters to Hamiltonian matrix elements

• Ro-vibrational coupling

• Plural nuclear quadrupole coupling

• Internal rotation (combined axis method, one C3v internal rotor, no symmetry constraints for the molecular frame)

• No imposed limits on quantum numbers, number of transitions, or vibrational/torsional states.

• Partition function calculations

• Export of high-quality figures in .eps, .svg, .png formats

GFC is designed to accommodate a wide range of spectroscopic problems. It features a graphical user interface (GUI) for intuitive operation, enabling users to construct the Hamiltonian matrix using predefined matrix elements. These include A- and S-reduced effective rotational Hamiltonian in different representations, second-order ro-vibrational terms, nuclear quadrupole couplings, and internal rotation parameters. Users can also define custom-made matrix elements within a symmetric top basis set tailored to the molecular system under investigation.

The predefined matrix elements for constructing the full Hamiltonian are as follows

 
H = HR + HCD + HT + HP + HQ1+ ⋯ +HQn (20)
and are further described in the following enumeration:

• Rotational Hamiltonian HR for an asymmetric top in any representation:

 
image file: d6cp00517a-t30.tif(21)
 
image file: d6cp00517a-t31.tif(22)

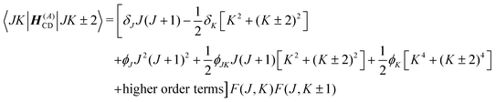
• Centrifugal distortion (CD) parameters diagonal in K:

 
image file: d6cp00517a-t32.tif(23)

• CD parameters off-diagonal in K ± 2 (A-reduction):

 
image file: d6cp00517a-t33.tif(24)

• CD parameters off-diagonal in K ± 2n, where n is an integer: n = 1, 2, 3,… (S-reduction):

 
image file: d6cp00517a-t34.tif(25)

• The matrix elements of the torsional Hamiltonian in the rho-axis system are given in eqn (9) and (10) in the main text. Additional effective parameters defined in eqn (11), (12) and (14) can be included in the semi-rigid rotor Hamiltonian for the E-symmetry state(s) to treat further perturbation arising from coupling between overall and internal rotation.

• First order a-type Coriolis mixing (Ga) matrix element:

 
image file: d6cp00517a-t35.tif(26)

• Second order a-type Coriolis mixing (Fbc) matrix element:

 
image file: d6cp00517a-t36.tif(27)

• First order b-type Coriolis mixing (Gb) matrix element:

 
image file: d6cp00517a-t37.tif(28)

• Second order b-type Coriolis mixing (Fac) matrix element:

 
image file: d6cp00517a-t38.tif(29)

• First order c-type Coriolis mixing (Gc) matrix element:

 
image file: d6cp00517a-t39.tif(30)

• Second order c-type Coriolis mixing (Fab) matrix element:

 
image file: d6cp00517a-t40.tif(31)

• Matrix elements for Fermi resonance/anharmonic (W) coupling:

 
image file: d6cp00517a-t41.tif(32)
 
image file: d6cp00517a-t42.tif(33)
 
image file: d6cp00517a-t43.tif(34)

• Matrix elements, including those off-diagonal in J and K, of the quadrupole interaction Hamiltonian for one nucleus:40

 
image file: d6cp00517a-t44.tif(35)
 
image file: d6cp00517a-t45.tif(36)
where I is the spin quantum number, F is the total angular momentum quantum number F = J + I and q is an integer q = KK

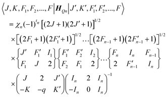
• Matrix elements for n nuclei, including those off-diagonal in J, K, and F1,…, Fn−1, of the quadrupole interaction Hamiltonian:41

 
image file: d6cp00517a-t46.tif(37)
 
image file: d6cp00517a-t47.tif(38)
 
q = K′ − K (39)
χn:
 
image file: d6cp00517a-t48.tif(40)
 
image file: d6cp00517a-t49.tif(41)
 
image file: d6cp00517a-t50.tif(42)
where χ is the quadrupole coupling tensor χq = eQVq with e as elemental charge, Q as nuclear electric quadrupole moment and Vq as electric field gradient. The terms enclosed in round and curly brackets in eqn (35) and (37) correspond to the Wigner 3j and 6j symbols.

The implementation of the rho-axis method to treat internal rotation, as well as the extension of the program applicability to two and more internal rotors and to symmetric and linear molecules, is currently in progress.

Acknowledgements

The authors thank P. Stahl for providing the experimental spectrum used in the analysis of the ground vibrational state and the first torsionally excited state in this study. The authors also thank Y. Kawashima and S. Herbers for discussions on the internal-rotation analysis and fitting-code development. This project was supported by the DFG via grant SFB 1319 ELCH and the DFG grant 466220934 (FU 715/4-1).

Notes and references

  1. K. Vávra, E. Döring, J. Jakob, F. Peterß, M. Kaufmann, P. Stahl, T. F. Giesen and G. W. Fuchs, Phys. Chem. Chem. Phys., 2024, 26, 23886–23892 RSC.
  2. V. Barone, M. Biczysko, J. Bloino and C. Puzzarini, J. Chem. Phys., 2014, 141, 034107 CrossRef PubMed.
  3. S. Luber, M. Ianuzzi and J. Hutter, J. Chem. Phys., 2014, 141, 094503 CrossRef PubMed.
  4. M. C. Tam, N. J. Russ and T. D. Crawford, J. Chem. Phys., 2004, 121, 3550–3557 CrossRef CAS PubMed.
  5. M. Hodecker, M. Biczysko, A. Dreuw and V. Barone, J. Chem. Theory Comput., 2016, 12, 2820–2833 CrossRef CAS PubMed.
  6. B. A. McGuire, P. B. Carroll, R. A. Loomis, I. A. Finneran, P. R. Jewell, A. J. Remijan and G. A. Blake, Science, 2016, 352, 1449–1452 CrossRef CAS PubMed.
  7. J. D. Swalen and D. R. Herschbach, J. Chem. Phys., 1957, 27, 100–108 CrossRef CAS.
  8. D. R. Herschbach and J. D. Swalen, J. Chem. Phys., 1958, 29, 761–776 CrossRef CAS.
  9. W. Fateley and F. A. Miller, Spectrochim. Acta, 1963, 19, 611–628 CrossRef CAS.
  10. A. Mesko, L. Zou, P. B. Carroll and S. L. Widicus Weaver, J. Mol. Spectrosc., 2017, 335, 49–53 CrossRef CAS.
  11. P. Stahl, B. E. Arenas, O. Zingsheim, M. Schnell, L. Margules, R. A. Motiyenko, G. W. Fuchs and T. F. Giesen, J. Mol. Spectrosc., 2021, 378, 111445 CrossRef CAS.
  12. F. X. Sunahori, Z. Su, C. Kang and Y. Xu, Chem. Phys. Lett., 2010, 494, 14–20 CrossRef CAS.
  13. A. Ainetschian, G. T. Fraser, J. Ortigoso and B. H. Pate, J. Chem. Phys., 1994, 100, 729–732 CrossRef CAS.
  14. W. J. Lafferty, J.-M. Flaud and M. Herman, J. Mol. Struct., 2006, 780, 65–69 CrossRef.
  15. D. Witsch, E. Döring, A. A. Breier, J. Gauss, T. F. Giesen and G. W. Fuchs, J. Phys. Chem. A, 2023, 127, 3824–3831 CrossRef CAS PubMed.
  16. R. C. Woods, J. Mol. Spectrosc., 1966, 21, 4–24 CrossRef CAS.
  17. J. K. G. Watson, Vibrational Spectra and Structure, 1977, pp. 1–89 Search PubMed.
  18. I. Kleiner, J. Mol. Spectrosc., 2010, 260, 1–18 CrossRef CAS.
  19. H. Hartwig and H. Dreizler, Z. Naturforsch., A, 1996, 51, 923–932 CrossRef CAS.
  20. J. Hougen, I. Kleiner and M. Godefroid, J. Mol. Spectrosc., 1994, 163, 559–586 CrossRef CAS.
  21. S. Khemissi, S. Herbers, I. Gulaczyk, M. Kreglewski, P. Asselin, S. Chawananon, H. V. L. Nguyen and I. Kleiner, J. Quant. Spectrosc. Radiat. Transfer, 2025, 346, 109601 CrossRef CAS.
  22. P. Groner, J. Chem. Phys., 1997, 107, 4483 CrossRef CAS.
  23. P. Groner, J. Mol. Spectrosc., 2012, 278, 52 CrossRef CAS.
  24. V. V. Ilyushin, Z. Kisiel, L. Pszczókowski, H. Mäder and J. T. Hougen, J. Mol. Spectrosc., 2010, 259, 26–38 CrossRef CAS.
  25. J. Westerfield and S. Worthington-Kirsch, J. Mol. Spectrosc., 2024, 404, 111928 CrossRef CAS.
  26. E. P. Wigner, Gruppentheorie und ihre Anwendung auf die Quantenmechanik der Atomspektren, Springer, 1944 Search PubMed.
  27. I. Kleiner and J. T. Hougen, J. Chem. Phys., 2003, 119, 5505–5509 CrossRef CAS.
  28. C. C. Lin and J. D. Swalen, Rev. Mod. Phys., 1959, 31, 841 CrossRef CAS.
  29. M. J. Frisch, G. W. Trucks, H. B. Schlegel, G. E. Scuseria, M. A. Robb, J. R. Cheeseman, G. Scalmani, V. Barone, G. A. Petersson, H. Nakatsuji, X. Li, M. Caricato, A. V. Marenich, J. Bloino, B. G. Janesko, R. Gomperts, B. Mennucci, H. P. Hratchian, J. V. Ortiz, A. F. Izmaylov, J. L. Sonnenberg, D. Williams-Young, F. Ding, F. Lipparini, F. Egidi, J. Goings, B. Peng, A. Petrone, T. Henderson, D. Ranasinghe, V. G. Zakrzewski, J. Gao, N. Rega, G. Zheng, W. Liang, M. Hada, M. Ehara, K. Toyota, R. Fukuda, J. Hasegawa, M. Ishida, T. Nakajima, Y. Honda, O. Kitao, H. Nakai, T. Vreven, K. Throssell, J. A. Montgomery, Jr., J. E. Peralta, F. Ogliaro, M. J. Bearpark, J. J. Heyd, E. N. Brothers, K. N. Kudin, V. N. Staroverov, T. A. Keith, R. Kobayashi, J. Normand, K. Raghavachari, A. P. Rendell, J. C. Burant, S. S. Iyengar, J. Tomasi, M. Cossi, J. M. Millam, M. Klene, C. Adamo, R. Cammi, J. W. Ochterski, R. L. Martin, K. Morokuma, O. Farkas, J. B. Foresman and D. J. Fox, Gaussian16 Revision C.01, Gaussian Inc., Wallingford CT, 2016 Search PubMed.
  30. M. J. Frisch, M. Head-Gordon and J. A. Pople, Chem. Phys. Lett., 1990, 166, 275–280 CrossRef CAS.
  31. R. A. Kendall, T. H. Dunning Jr and R. J. Harrison, J. Chem. Phys., 1992, 96, 6796–6806 CrossRef CAS.
  32. N. Hansen, H. Mäder and T. Bruhn, Mol. Phys., 1999, 97, 587–595 CrossRef CAS.
  33. S. Herbers and H. V. L. Nguyen, J. Mol. Spectrosc., 2020, 370, 111289 CrossRef CAS.
  34. S. Herbers, J. Mol. Spectrosc., 2024, 405, 111950 CrossRef CAS.
  35. P. Groner, S. Albert, E. Herbst and F. C. De Lucia, Astrophys. J., 1998, 500, 1059 CrossRef CAS.
  36. P. Groner, E. Herbst, F. C. De Lucia, B. J. Drouin and H. Mäder, J. Mol. Struct., 2006, 795, 173–178 CrossRef CAS.
  37. P. Groner, I. R. Medvedev, F. C. De Lucia and B. J. Drouin, J. Mol. Spectrosc., 2008, 251, 180–184 CrossRef CAS.
  38. V. V. Ilyushin, C. P. Endres, F. Lewen, S. Schlemmer and B. J. Drouin, J. Mol. Spectrosc., 2013, 290, 31–41 CrossRef CAS.
  39. V. Ilyushin, J. Mol. Spectrosc., 2018, 345, 64–69 CrossRef CAS.
  40. H. P. Benz, A. Bauder and H. H. Günthard, J. Mol. Spectrosc., 1966, 21, 156–164 CrossRef CAS.
  41. P. Thaddeus, L. C. Krisher and J. H. N. Loubser, J. Chem. Phys., 1964, 40, 257–273 CrossRef CAS.

This journal is © the Owner Societies 2026
Click here to see how this site uses Cookies. View our privacy policy here.