Trifluoroacetic acid formation from HFC-134a under atmospheric conditions
Received
1st September 2025
, Accepted 25th November 2025
First published on 26th November 2025
Abstract
Trifluoracetic acid (CF3COOH, TFA) is touted as a primary degradation product from atmospheric oxidation of HFC-134a (CF3CH2F). TFA poses a significant environmental challenge, such as bioaccumulation due to its high stability in terrestrial conditions. While several global atmospheric modeling studies predict varied amount of TFA formed from HFC-134a, the potential energy profile of this process has not been established and many of the proposed reaction mechanisms remain at the level of pushing arrows. This theoretical study first outlines the potential energy profile of OH radical initiated oxidation of HFC-134a along with subsequent reactions that lead to the formation of TFA. Secondly, master equation simulations are performed to quantify the kinetics of each reaction step mimicking atmospheric conditions. Key findings from the potential energy profile reveal detailed mechanism involved in TFA formation along with other competing fluorinated products. However, both TFA and its precursor trifluoroacetyl fluoride (CF3CFO, TFAF) product forming channels have inaccessible energy barriers under atmospheric conditions. Although this research does not rule out the possibility that TFA can be formed from HFC-134a in the atmosphere, it casts doubt on the feasibility of the previous proposed mechanism.
Introduction
Hydrofluorocarbons (HFCs) are the third generation of refrigerants when chlorofluorocarbons (CFCs) were identified as the main cause of ozone depletion in the 1980s.1 Since the early 1990s, HFCs have been found to be a suitable replacement for CFCs in accordance with the Montreal protocol.2 While the ozone depletion problem was resolved by replacing CFCs with HFCs, the relatively long tropospheric lifetime and high global warming potential of HFCs have raised concerns about its large-scale application on the commercial scale. In addition, a more nuanced consequence of HFCs is their potential contribution to the formation of per- and polyfluoroalkyl substances (PFAS) after they are released into the atmosphere. PFAS are chemically stable, persistent to environmental degradation, and can accumulate in living organisms. PFAS exposure has been linked to a range of health issues, including reproductive problems, developmental delays, increased cholesterol, immune system dysfunction, and an increased risk of certain cancers.3 One such molecule being touted as a major degradation product of HFCs in the atmosphere is trifluoroacetic acid (TFA, CF3COOH). TFA is highly soluble in water with a pKa value of 0.47.4,5 TFA has an atmospheric lifetime of up to 230 days with respect to OH radicals.6–8 There is little to no knowledge of its degradation pathways in the environment and it is considered to be a persistent chemical that accumulates in aquatic biospheres and soil samples.
HFC-134a (CF3CHF2) remains widely used in automotive air conditioning, commercial refrigeration, and medium-temperature chillers due to its favorable thermodynamic properties and zero ozone depletion potential.9–11 First reported by Wallington et al. in 1996, HFC-134a is one of the refrigerant molecules that has been proposed as one of the initial precursors for TFA formation.12 This report argues 7–20% of HFC-134a is estimated to form trifluoroacetaldehyde fluoride (TFAF, CF3COF) in the atmosphere, which further undergoes hydrolysis to form TFA. Franklin presents one of the earliest full-scale degradation of HFC-134a in the atmosphere to form TFA formation in both the gas- and condensed-phase.13 The amount of TFA formed from atmospheric breakdown of HFC-134a was first estimated to be ∼80 nM by Ball et al.14 Precipitation brings TFA to the surface of earth, where Kanakidou et al. estimated 1 nM of TFA in rainwater with global atmospheric modelling of the life cycle of HFC-134a in the troposphere.15 Wu et al. sampled the atmospheric concentration of TFA in Beijing, China and estimated the deposition flux using a deposition model.16 According to this study, about 14% of the TFA is formed from degradation of HFC-134a, which indicates other possible major sources of TFA. In another global atmospheric modeling of the hydrolysis and precipitation of TFA, Luecken et al. estimated the TFA formation from HFC-134a to be close to 21%.17 Jordan et al. conducted field observations in Germany in the duration but found when a substantial increase in atmospheric HFC-134a was observed, no significant increase in TFA concentration in the precipitation for as long as one year.18 There are other studies even reporting up to 90% of TFA formation from HFC-134a.19–23 The wide predicted range fuels speculations about how much TFA is formed from HFC-134a.
The degradation of HFC-134a starts with its oxidation by radicals in the atmosphere like O(1D), OH and Cl, and each have been extensively studied in literature since the 1990s.24–29 Since OH radical is the most abundant among the three, the widely accepted first step of the reaction is CF3CH2F + OH → CF3CHF + H2O, where the H atom from HFC-134a is abstracted by the radical. Clyne et al. reported the first rate constant of the reaction (k = (5.5 ± 0.7) × 10−15 cm3 molecule−1 s−1 at 295 K) with a flow tube experiment.30 This study was followed by a series of experiments, where although the details are different, the reported rate constant were all on the order of 10−15 cm3 molecule−1 s−1 within the temperature range between 220 K to 300 K.24,28,31–33 Regarding the subsequent reaction of CF3CHF radical to TFA or its precursor TFAF, O2 addition to form CF3CHFO2 peroxy radical has been regarded as the most probable.34 The lifetime of the peroxy radical has been measured to be ∼100 s in the atmosphere, which makes it feasible to react with other reactive radicals. Some example rate constants for the reaction of CF3CHFO2 peroxy radicals with atmospheric radicals are: k(CF3CHFO2 + HO2) = (4.0 ± 0.2) × 10−12 cm3 molecule−1 s−1 at 296 ± 2 K, k(CF3CHFO2 + NO2) = (5.0 ± 0.5) × 10−12 cm3 molecule−1 s−1 at 296 ± 2 K and k(CF3CHFO2 + NO) = (1.28 ± 0.36) × 10−11 cm3 molecule−1 s−1 at 298 K.35–39
By piecing the aforementioned studies (e.g., the H atom abstraction, O2 addition, and further decomposition) together, one can draw the current knowledge of the degradation pathway of HFC-134a in the atmosphere. However, a full-scale potential energy profile reflecting such knowledge, starting from the OH radical addition to HFC-134a to the formation of TFA, is yet to be established. In fact, none of these studies reported the energetics or the mechanism (e.g., what are the intermediates and rate-limiting steps involved) of these proposed reactions. Such information is of fundamental importance to understand the fate of refrigerant molecules in the atmosphere, which together, will shed light on predicting the potency of novel refrigerant molecules in forming TFA and other PFAS molecules. In this manuscript, we employ HFC-134a as an example and examine its proposed degradation in the atmosphere to form TFA. First, we provide an accurate potential energy profile to understand the reaction mechanisms and energetics involved. Second, we quantify the kinetics of these reactions at different temperatures and pressures that are relevant to atmospheric conditions. Together, we explore the most energy-efficient pathway and analyze whether HFC-134a has largely contributed to TFA's formation in the atmosphere. It is also important to note that since there are a large number of radical molecules in the atmosphere and there are other fundamentally different reaction pathways (e.g., photochemistry, reactions in aerosol and ice grains, etc.), it is impossible for any single study, including ours, to consider all possible reactions of HFC-134a.
Methodology
Potential energy profile
The density functional theory (DFT) calculations reported in this work are carried out with NWChem 7.2.40 The geometry optimizations are performed using the M06-2X-D3 functional and cc-pVTZ basis set for all atoms.41,42 To account for long-range, non-covalent correlation effects such as van der Waals interactions, an empirical potential such Grimme's D3 dispersion correction is added to the DFT energies.43,44 The identity of the stationary points is confirmed by performing frequency calculations. 3N-6 vibrational modes correspond to the reactants, products, intermediates and 3N-7 vibrational modes correspond to the transition states, where N is the number of atoms in the species. Transition states connecting pairs of intermediates are confirmed using intrinsic reaction coordinate (IRC) calculations.45 Considering the large amount species to be identified in this research, M06-2X-D3/cc-pVTZ is selected for its efficiency in exploring the configurational space and finding optimal geometries.41,46–50 Although diffuse functions are generally necessary for best performance,51 they were excluded because the marginal gain in accuracy for the reactions examined did not justify the increased computational cost as shown in Table T1 in the SI. The potential energy of these optimal geometries is further refined with the cc-pVTZ-F12 basis set and coupled cluster with single and double excitations and perturbative triples with explicitly correlated F12 method (CCSD(T)-F12).52–54 These CCSD(T)-F12 calculations were carried out with ORCA 5.0.55 The hybrid method, CCSD(T)-F12/cc-pVTZ-F12//M06-2X-D3/cc-pVTZ, has shown to be accurate in similar radical systems.56
Pressure dependent kinetics
MultiWell-2023.1 program suite is employed to calculate rate constants and product fractional yields based on the Rice–Ramsperger–Kassel–Marcus (RRKM) theory.57,58 The inputs for MultiWell are the potential energy (CCSD(T)-F12/cc-pVTZ-F12) and vibrational frequencies (M06-2X-D3/cc-pVTZ) of the reactants, products, intermediates, and transition states. MultiWell uses this information to compute the sums and densities of states with the densum module. The ktools module calculates the microcanonical variational transition state theory rate (VTST) constants for barrierless association/dissociation for a collection of points along the reaction coordinate.59,60 The density of states is calculated up to Emax = 60
000 cm−1 with an energy grain ΔEgrain = 50 cm−1 to account for the highest reaction energy threshold. The lower energy domain of each state is accounted by using ΔEgrain = 5 cm−1 with 801 grain counts leading up to 4000 cm−1 which is well above the vibrational frequency of any mode in the current reaction system. N2 is used as the colliding medium, and the collision energy transfer is described by the single exponential-down model with average transfer energy function:61
| 〈Ed〉 = exp(−(E − E0)/α(E)) |
where, α(E) = 39.3 + (0.0159 × E) − (2.63 × E2) estimated by Schneider et al. for an analogous system CF3CFHO colliding with N2 gas.62 The spin–orbit coupling energies and degeneracies of OH and NO radicals are accounted for in the RRKM electronic partition function. The tunneling corrections for transition states are accounted for based on an unsymmetrical Eckart barrier within the MultiWell program.
Results and discussion
OH radical initiated oxidation of HFC-134a
The potential energy profile at doublet state for the OH radical and HFC-134a bimolecular reaction is shown in Fig. 1 with four bimolecular product channels being: (i) hydrogen abstraction channel forming CF3CHF radical and H2O (p1, −15.1 kcal mol−1), (ii) the H atom loss channel forming CF3CHFOH and H atom (p2, −4.2 kcal mol−1), (iii) C–C bond fission leading to formation of CF3OH and CH2F radical (p3, −17.7 kcal mol−1), and (iv) C–C bond fission leading to the formation of CFH2OH and CF3 radical (p4, −4.3 kcal mol−1). For discussion purposes the carbon of CF3 group in CF3CH2F is labelled as C1 and the carbon of CH2F group is labelled as C2. The barrierless association of OH and CF3CHF2 (r) leads to the van der Waals (vdW) complex i1 which is −4.0 kcal mol−1 with respect to r.
 |
| | Fig. 1 Potential energy profile of the CF3CH2F (HFC-134a) + OH reaction computed with CCSD(T)-F12/cc-pVTZ-F12//M06-2X-D3/cc-pVTZ level of theory with ZPE included. The atoms are represented as black (C), blue (F), red (O) and white (H). | |
i1 serves as the complex which has access to the rest of the potential energy profile via three energy barriers. First, i1 can go through a shallow transition state ts-1-2 (2.3 kcal mol−1) connecting to i2 (−17.8 kcal mol−1), where the H atom facing the radical is abstracted by the OH radical. i2, a hydrogen bond complex, can undergo barrierless dissociation to form p1 (CF3CHF + H2O). i2 can also form p2 (CF3CHFOH + H) via a steep energy barrier ts-2-p2 (46.4 kcal mol−1), where the O atom of the water molecule approaches the C2 atom, forms the O–C2 bond, and pops out an H atom. Second, i1 can go through a high transition state ts-1-p2 (54.2 kcal mol−1) to also form product p2. This pathway is similar to the SN2 reaction mechanism where the OH radical approaches the sterically less hindered C2 carbon, therefore distorting the tetrahedral bonding geometry of C2 atom which leads to the substitution of one of the H atoms by the OH radical. Last, i1 connects to another high transition state ts-1-3 (68.8 kcal mol−1). The weakened tetrahedral bonding geometry of C2 atom (see the previous pathway) leads to the dissociation of the C1–C2 bond. The resulting species form a vdW complex i3 ([CF3OH ⋯ CH2F], −21.1 kcal mol−1), which could directly dissociate in a barrierless process to form p3 (CF3OH + CH2F radical). Alternatively, the –OH group in i3 could be shuffled from C1 to C2 via transition state ts-3-4 (39.2 kcal mol−1) to form a vdW complex i4 ([CF3⋯CH2FOH], −6.2 kcal mol−1). Similar to i2 and i3, i4 can dissociate barrierlessly to form p4 (CF3 + CH2FOH). i4 also has access to product p2via a high transition state ts-4-p2 (51.6 kcal mol−1), where the C1 and C2 species recombine, weakened the tetrahedral bonding geometry of C2 atom, and lead to the dissociation of C2–H bond to form a Hydrogen loss product (p2).
Although all four products in Fig. 1 have lower energy than the reactant, forming them (except p1) involves overcoming significant barriers. Considering the low temperature in the atmosphere (210–300 K, corresponding to 0.6–0.9 kcal mol−1 collision energy), the barrierless dissociation pathway of i2, i3, and i4 should be favored over the isomerization pathway and p1 should be the predominant product. The more intriguing question is once i1 is formed as a result of the exothermal association of HFC-134a and OH radical (r), both of which are present in the atmosphere, is i1 long-lived enough to form p1, which involves larger configurational change, or does it simply dissociate back to r. Herein we employ the master equation simulations to mimic relevant temperatures and pressures of the troposphere to unravel the fate of i1.
The master equation simulation is initiated from i1 with a temperature range of 210–300 K and a pressure range of 0.05–1.0 bar, corresponding to the altitude between sea level and ∼17 km above sea level (the tropopause). The Lennard-Jones (LJ) parameters for HFC-134a (σ1 = 3.82 Å, ε1 = 140.4 K) and OH radical (σ2 = 3.05 Å, ε2 = 56.8 K) is used to obtain the LJ parameters for the intermediates i1 and i2 using the following combination expressions, σi = (σ2 + σ2)/2 and
.63,64 The LJ parameters for N2 (σ = 3.70 Å, ε = 84.9 K) as bulk gas is employed in the master equations. The results indicate that none of the transition states except ts-1-2 are energetically accessible under the simulated atmospheric condition and the only populated outcome is the hydrogen abstraction product, p1, and the dissociated reactants, HFC-134a + OH (r). Therefore, the reaction pathway r ↔ i1 ↔ ts-1-2 ↔ i2 ↔ p1 is the focus of the kinetics study, where all steps along the pathway are considered to be reversible. The fraction of p1 formed from i1 is plotted in Fig. 2 at various temperatures and pressures. The dotted line represents the temperature-pressure trendline with increasing altitude in the troposphere. At room temperature and ambient pressure (e.g., sea level), p1 is barely formed and most of the i1 dissociates back to the reactants. As the altitude increases (e.g., the temperature and pressure decreases), more p1 forms. For example, at 0.1 atm and 210 K (altitude: ∼17 km), 42% of the i1 goes through the aforementioned reaction path and form p1.
 |
| | Fig. 2 Fraction of p1 formed as a function of temperature and pressure. The dotted line represents the temperature and pressure trend with altitude increase in the troposphere, starting from T = 300 K and P = 1 atm at sea level to T = 210 K and P = 0.1 atm at 18 km (tr). | |
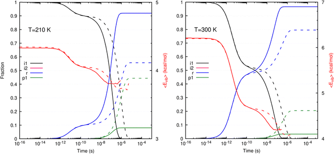
This interesting trend prompted an analysis of the vibrational energy of remaining i1 and yield of r and p1 as a function of time. Herein we focused on the upper and lower limit of temperature and pressure (300 K and 1.0 atm; 210 K and 0.1 atm) in Fig. 3. Note at the beginning of the simulation (t = 0), the vibrational energy (Evib) of i1 includes the ZPE (EZPE, 36.4 kcal mol−1), the thermal vibrational excitation sampled at corresponding temperature (ET), and the potential energy release from the association of HFC-134a and OH radical (EP, 4.0 kcal mol−1). ET is sampled from a Boltzmann distribution. After the simulation starts, the fraction of i1 with large Evib predominantly dissociates to form the reactants (r, 4.0 kcal mol−1 above i1). The fraction is higher at 300 K (47%) compared to 210 K (10%), as there is a larger portion of i1 possessing enough energy to dissociate to r. At the beginning of the simulation, the fraction of i1 that can access ts-1-2 (6.3 kcal mol−1 above i1) is negligible (2.9% and 0.3% for 300 K and 210 K, respectively), thus i2 and p1 are not formed. Once the vibrationally excited i1 is eliminated, the depletion rate of i1 fraction slows down. The reaction only takes place when i1 is excited through collisions with N2 bath gas, which forms either r or cross ts-1-2 to form i2. Since i2 is only 2.6 kcal mol−1 lower than the dissociated species p1, the excess energy released from ts-1-2 makes it short-lived (i.e., steady-state approximation) thus its fraction is on the order of 10−5 and not visible in Fig. 3. The N2 collision activation makes those i1 molecules possessing relatively high energy react first, thus the vibrational energy of remaining i1 (red line) keeps decreasing, until all of the species are eliminated. Here, we stop tracking the vibrational energy of the remaining i1 once its fraction drops below 0.1% to avoid large fluctuations. A lower pressure (dashed line, P = 0.1 atm) elongates the process as the N2 collision activation is less frequent, but it does not fundamentally change how the species evolve. The simulation shows that p1 can be formed from HFC-134a at high altitudes in the troposphere, which is supported by the experimental and/or global atmospheric modeling studies where CF3CHF is the only product being formed in this step. It is also interesting to note that tunneling plays an important role in forming p1, as the simulation without the tunneling effects results in 100% of i1 going back to r. From now on, the analysis of the manuscript will focus on the further degradation of CF3CHF radical in the atmosphere and disregard the rest of potential products in Fig. 2.
 |
| | Fig. 3 Time evolution of the average vibrational energy of remaining i1 (red line) and relative population of r, i1, i2 and p1. Solid and dotted lines represent P = 1.0 atm and P = 0.1 atm, respectively. Left and right panels show results at T = 210 K and T = 300 K, respectively. | |
O2 addition to CF3CHF radical
CF3CHF radical has been hypothesized to undergo further degradation through reaction with O2 (3Σ−g) in the atmosphere but the energetics of these reactions have not been reported.34 Since DFT is prone to misrepresent reactions of multi-reference character due to spin contamination, only for the addition of O2 (3Σ−g) to CF3CHF radical path, we employed the procedure adopted by Maranzana et al. A series of constrained geometry optimizations at CASSCF(7,5)/cc-pVTZ level of theory were performed, where the distance between O and C2 (radical center in CH3CHF) gradually changes, ensuring the minimal energy path of O2 addition. This was followed by MRCI(7,5)/cc-pVTZ energy calculations at each point along the path. The active space for the multireference calculation was chosen to account for six valence electrons from four π-orbitals of O2 molecule and one unpaired electron and its orbital of the radical center. This procedure maintains the doublet spin state along the addition path, which is consistent with the rest of the potential energy profile in Fig. 4. The constrained optimized geometries and energies are used as input for the VTST calculation mentioned in the methods section.
 |
| | Fig. 4 Potential energy profile of the CF3CHF radical + O2 (3Σ−g) reaction computed with CCSD(T)-F12/cc-pVTZ-F12//M06-2X-D3/cc-pVTZ level of theory with ZPE included. The atoms are represented as black (C), blue (F), red (O) and white (H). | |
O2 (3Σ−g) can add to the radical center (C2) of CF3CHF via barrierless association to form the intermediate i5 (CF3CHFO2 radical, −30.3 kcal mol−1). This process is highly exothermic, releasing over 30 kcal mol−1 energy. i5 could isomerize, where the terminal oxygen in CF3CHFO2 radical abstracts the hydrogen bonded to C2 and breaks the O–O bond to form i6 (−67.9 kcal mol−1), via a high transition state ts-5-6 (12.3 kcal mol−1). Note the potential energy released from O2 addition (CF3CHF + O2 → i5) is smaller than the barrier height (ts-5-6) of further degradation. This observation supports the reported long-lifetime (i.e., ∼100 s) of i5 in the atmosphere.1i6 is a vdW complex consisting of trifluoroacetyl fluoride (TFAF, CF3CFO) and OH fragments. i6 can either dissociate to TFAF and OH radical without a transition state (p6, TFAF + OH, −65.6 kcal mol−1) or isomerize via a transition state ts-6-8 (−60.4 kcal mol−1), where the OH radical makes a bond with the carbonyl carbon (C2) to form i8 (−78.6 kcal mol−1). It is interesting to note that from the perspective of HFC-134a, OH radical acts as the catalyst in the overall reaction:
Similar to how i8 is formed, the other pathway of i6 involves the OH radical making a bond with the carbonyl carbon via a transition state ts-6-7 (−37.1 kcal mol−1), but ts-6-7 leads to the elimination of the F atom and forms trifluoroacetic acid (TFA, CF3COOH), p5 (TFA + F, −56.2 kcal mol−1). i8 can also lead to p5viats-8-7 (−53.2 kcal mol−1) following the formation of i7 (−57.4 kcal mol−1) due to the elimination of the F atom from C2.
Although the reported reaction pathway of forming TFA from HFC-134a degradation has been identified in our research, the high energy barrier (ts-5-6) opens the question of how relevant it is under atmospheric conditions.13 Therefore, kinetic study was carried out for i5, which is formed from barrierless association of CH3CHF radical (its formation has been confirmed in the previous section) and O2 (3Σ−g). The LJ parameters for CH3CHF radical (same as HFC-134a) and O2 (σ = 3.39 Å, ε = 121.7 K) were used to estimate the LJ parameters for i5, i6, i7 and i8 using the aforementioned combination expressions.63,64 The master equation simulations were initiated from i5 at different temperatures (210–300 K) and pressures (0.1–1 atm). Fig. 5(a) shows that until 0.001 second, well over 90% of the species remain as i5 across all temperature and pressure ranges. For those i5 that dissociated, they form p1 + O2. The master equation simulations were extended to 1 s for extreme conditions, (e.g., 300 K and 1.0 atm; 210 K and 0.1 atm), and the results are shown in Fig. 5(b). Here we reiterate that at the beginning of the simulation (t = 0), the vibrational energy (EP) of i5 includes the ZPE (EZPE, 26.9 kcal mol−1), the thermal vibrational excitation sampled at its corresponding temperature (ET), and the potential energy release from the association of CH3CHF radical and O2 (EP, 30.3 kcal mol−1). As the figure shows, EP is quickly depleted as the collision with N2 bath takes place. At this point, thermal stabilized i5 is not expected to cross the high barrier ts-5-6 and further degrade to TFA in large quantity.
 |
| | Fig. 5 (a) Residual i5 as a function of temperature and pressure. The dotted line represents the temperature and pressure trend with altitude increase in the troposphere starting from T = 300 K and P = 1 atm at sea level to T = 210 K and P = 0.1 atm at 18 km. (b) Average vibrational energy, excluding ZPE contributions, over time of i5 at two temperatures (red, 210 K; blue, 300 K) and pressures (solid, 1.0 atm; dashed, 0.1 atm). | |
Another potential degradation product of HFC-134a, TFAF (p6, CH3CFO) is also identified in Fig. 4. TFAF has been reported to undergo hydrolysis reaction to form TFA in the water droplets or ice crystals in the atmosphere and then is brought to the ground with precipitation.65 Although making TFAF relies on forming i6, which has been shown to be infeasible under atmospheric conditions for HFC-134a, we studied the energetics of the hydrolysis of TFAF in the gas phase. TFAF could potentially be formed from other sources and is a species that have been proposed by atmospheric modeling.15,23 The earliest ab initio potential energy profile study for the gas-phase hydrolysis of TFAF has been reported by Francisco, where a high reaction barrier of 35.5 kcal mol−1 leads to TFA + HF formation.66 In the present study, the potential energy profile for the hydrolysis step at singlet state is extended to study other possible reaction channels and is shown in Fig. 6.
 |
| | Fig. 6 Potential energy profile of the CF3CFO + H2O reaction computed with CCSD(T)-F12/cc-pVTZ-F12//M06-2X-D3/cc-pVTZ level of theory with ZPE included. The atoms are represented as black (C), blue (F), red (O) and white (H). | |
The association between TFAF and H2O is slightly exothermic and leads to a vdW complex (i9, −3.6 kcal mol−1). i9 connects to two dissociation pathways. First, it can go through a transition state (ts-9-10, 32.3 kcal mol−1) where the oxygen atom in H2O forms a bond with the carbonyl C atom of TFAF. Simultaneously, the O–H and C (carbonyl)–F bonds are broken, leading to the forming of a vdW complex i10, −9.9 kcal mol−1. i10 can dissociate to form TFA and HF, p7 (−7.9 kcal mol−1) without a transition state. The second pathway goes through a much higher transition state, ts-9-11 (79.0 kcal mol−1), where the H2O molecule attacking the carbonyl carbon in TFAF leads to the C–C bond breaking. The H2O molecule simultaneously splits – the H atom is transferred to the C1 atom of the TFAF, forming trifluoromethane (CHF3), while the OH radical is transferred to the C2 atom of TFAF, forming fluoroacetic acid (FCOOH) – and forms the vdW complex i11 (−12.6 kcal mol−1). i11 can dissociate to form CHF3 and FCOOH, p8 (−10.1 kcal mol−1) without a transition state. The higher barriers associated in formatting p7 and p8 suggest that TFAF is stable in the gas phase under atmospheric conditions.
Degradation of i5 with other atmospheric radicals
Our kinetics study shows that CF3CHFO2 radical (i5) is collision-stabilized under atmospheric conditions. Combining with the observed ∼100 s lifetime of i5, it is of interest to understand i5's reactivity with reactive radicals such as NO, HO2, and NO2. Although the abundances of these radicals (108 to 109 molecules cm−3) largely depend on the altitude and locations, there have been reports on their rate constants reacting with i5 in the range of 10−11 to 10−12 cm3 molecule−1 s−1.
NO radical addition to CF3CHFO2 radical
The NO radical can add barrierlessly to i5 intermediate with the N atom forming a Sigma bond with the terminal O atom of i5 to form an intermediate i12 (−27.0 kcal mol−1). The reaction pathways associated with the NO radical addition at singlet state are outlined in Fig. 7(a). The O–O bond dissociation leads to the three decomposition pathways from i12. First, the oxygen atom in the departing NO2 group can abstract the hydrogen atom viats-12-13 (2.8 kcal mol−1), forming a vdW complex i13 (−85.0 kcal mol−1) that can dissociate to form TFAF and HONO (p9, −82.6 kcal mol−1). The second pathway is similar to the first, except that the hydrogen atom was abstracted by the nitrogen atom of the NO2 departing group viats-12-14 (−1.4 kcal mol−1), which leads to the formation of a vdW complex i14 (−79.5 kcal mol−1). i14 can further dissociate to form CF3CFO and HNO2 (p10, −74.9 kcal mol−1) without a barrier. Both p9 and p10 include TFAF but differ in structural isomers of HNO2. In the third pathway, the departing NO2 group pivots and forms a new N–O Sigma bond viats-12-15 (0.6 kcal mol−1), leading to a vdW complex, i15 (−50.2 kcal mol−1). i15 can dissociate to form CF3CHFO and NO2 (p11, −18.6 kcal mol−1). Judging by Fig. 7, the potential energy released from NO addition (CF3CHFO2 + NO → i12) is 27.0 kcal mol−1, which is enough to cross ts-12-14 and eventually form TFAF + HNO2 (p10). Nonetheless, the other two barriers (ts-12-13 and ts-12-15) are not much higher and could be competitive reactions. Hence a kinetic study of i12 is carried out at atmospheric temperatures and pressures.
 |
| | Fig. 7 (a) Potential energy profile of the CF3CHFO2 radical + NO reaction computed with CCSD(T)-F12/cc-pVTZ-F12//M06-2X-D3/cc-pVTZ level of theory with ZPE included. The atoms are represented as black (C), blue (F), red (O), green (N) and white (H). (b) Residual i12 as a function of temperature and pressure. The dotted line represents the temperature and pressure trend with altitude increase in the troposphere starting from T = 300 K and P = 1 atm at sea level to T = 210 K and P = 0.1 atm at 18 km (tropopause). (c) Time evolution of the average vibrational energy of i12 at T = 210 (red) and 300 K (blue). The solid and dotted lines represent P = 1.0 atm and P = 0.1 atm, respectively. ZPE has been subtracted from the vibrational energy shown in the figure. | |
The LJ parameters from the master equation simulation of i12, i13, i14, i15 and i16 are derived by combining the LJ parameters of i5 (σ = 3.61 Å, ε = 130.5 K) and NO radical (σ = 3.49 Å, ε = 117.0 K) using the combining rules described in the previous section.67 The master equation simulations were initiated from i12 at different temperatures (210–300 K) and pressures (0.1–1.0 atm) mimicking atmospheric conditions. The results are shown in Fig. 7(b) and (c). We note the simulations were extended up until 1 s but yielded no significant change in the results. Similar to the previous master equation simulations, the vibrational energy of i12 at t = 0 is the sum of thermal vibrational excitation energy at a corresponding temperature and potential energy released in the formation of i12 (27.0 kcal mol−1) on top of the ZPE energy of i12 (EZPE, 32.3 kcal mol−1). Less than 2% of i12 forms i5 + NO reactants mostly at pressures less than 0.1 atm and around 300 K, far from atmospheric conditions. The remaining i12 is collisionally stabilized as the collisions with N2 bath gas takes place. Although ts-12-13, ts-12-14, ts-12-15 and i5 + NO are close in energy, only dissociation to i5 + NO is observed due to large configurational change in the transition states as compared to i12. It would be of interest to perform unimolecular ab initio molecular dynamics simulations to further confirm the fate of i12, as this reaction would be non-RRKM. Nonetheless, with the evidence gathered so far, NO radical addition to CF3CHFO2 is not likely leading to the formation of TFAF or TFA.
HO2 radical addition to CF3CHFO2 radical
The HO2 radical adds barrierlessly to the β oxygen of the peroxy radical i5 to form an intermediate i17 (−16.9 kcal mol−1). The HO2 addition reaction potential energy profile at singlet state is outlined Fig. 8(a). Three product channels have been identified from the degradation of i17. First, the hydrogen atom in HO2 radical is transferred to the fluorine atom on C2 which breaks the C2–F bond to form HF. This simultaneously leads to the bond cleavage between α oxygen and β oxygen, forming O3 molecule viats-17-18 (11.8 kcal mol−1). HF, O3, and the remaining molecule (TFAF) form a loosely bond, vdW complex, i18 (−22.4 kcal mol−1). O3 can break off from this complex, leaving a vdW complex of TFAF – HF behind (p13, −16.1 kcal mol−1). Second, the hydrogen atom from the HO2 radical could transit from the δ oxygen to the β oxygen viats-17-19 (18.1 kcal mol−1), subsequently breaking the bond between the β oxygen and γ oxygen and forming a vdW complex i19 (−44.9 kcal mol−1). i19 can dissociates to form CF3CHFOOH and 3O2 without a transition state (p14, −44.0 kcal mol−1). The last pathway features the simultaneous bond cleavage between β oxygen and γ oxygen and H atom abstraction from C2 viats-17-20 (17.9 kcal mol−1) to form a vdW complex i20 (−11.7 kcal mol−1). i20 can dissociate to form CF3CFO2 and H2O2 (p15, −2.4 kcal mol−1) without a transition state. Although the addition of HO2 radical to i5 could lead to the formation of TFAF, it seems unlikely judging from the barriers associated with these pathways. Nonetheless, the master equation simulation was still performed.
 |
| | Fig. 8 (a) Potential energy profile of the CF3CHFO2 radical + HO2 reaction at CCSD(T)-F12/cc-pVTZ-F12//M06-2X-D3/cc-pVTZ level of theory with ZPE included. The atoms are represented as black (C), blue (F), red (O) and white (H). (b) Residual i17 as a function of temperature and pressure. The dotted line represents the temperature and pressure trend with altitude increase in the troposphere starting from T = 300 K and P = 1 atm at sea level to T = 210 K and P = 0.1 atm at 18 km (tropopause). (c) Time evolution of the average vibrational energy of i17 at T = 210 (red) and 300 K (blue). The solid and dotted lines represent P = 1.0 atm and P = 0.1 atm, respectively. ZPE has been subtracted from the vibrational energy shown in the figure. | |
The LJ parameters from the master equation simulation of i17, i18, i19 and i20 are derived by combining the LJ parameters of i5 (σ = 3.61 Å, ε = 130.5 K) and HO2 radical (σ = 4.19 Å, ε = 289.3 K) using the combining rules described in the previous section.68 The master equation simulations were initiated from i17 at different temperatures (210–300 K) and pressures (0.1–1.0 atm) mimicking atmospheric conditions. Fig. 8(b) presents the fraction of residual i17 at the end of the simulation, while Fig. 8(c) shows the average vibrational energy of surviving i17 over time at two extreme temperatures (210 K and 300 K) and pressures (0.1 atm and 1.0 atm). The vibrational energy (Evib) of i17 at t = 0 is the sum of thermal vibrational excitation energy (ET) at a corresponding temperature and potential energy (EP) released in the formation of i17 (16.9 kcal mol−1) on top of the ZPE energy of i17 (EZPE, 39.2 kcal mol−1). In the temperature regime of ≥270 K, up to 16% of vibrationally excited i17 dissociate back to the reactant (i5 + HO2) and the rest are stabilized by the collision with N2 bath. Whereas in the temperature range of 210 – 270 K, almost all of i17 remain unreactive. A large fraction of vibrationally excited i17 is below the barrier threshold relative to i17viz.ts-17-18 (28.7 kcal mol−1), ts-17-19 (35.0 kcal mol−1) and ts-17-20 (34.8 kcal mol−1) whereas the i5 + HO2 reactant channel is at 16.9 kcal mol−1, thus making the reactant channel more easily accessible.
NO2 radical addition to CF3CHFO2 radical
The potential energy profile at singlet state of the NO2 radical addition to i5 is presented in Fig. 9(a). In an exothermic process, the NO2 radical forms a N–O bond with i5 to form i21 (−24.6 kcal mol−1). i21 can isomerize to i22 (−0.2 kcal mol−1) undergoing the ‘nitro-to-nitrite’ reaction viats-21-22 (6.4 kcal mol−1). Similar ‘nitro’ to ‘nitrite’ linkage isomerization has been observed in unimolecular decomposition of energetic materials such as FOX-7.69,70 The isomerization of i22 to i25 (−50.1 kcal mol−1) involves a series of bond breaking and forming process. The bond between β oxygen and γ oxygen dissociates, where the NO2 fragment pivots and forms a C2–O bond. As a result, the hydrogen atom bonded with C2 transits to β oxygen. ts-22-25 is identified to have the highest energy barrier relative to all other stationary points in the addition reaction of i5. i25 undergoes further isomerization via 90° dihedral angle rotation of O–N–O–C2, directing the NO moiety pointing towards the fluorine atom attached to C2. The NO fragment dissociates and abstracts the F atom to form i26 (−46.2 kcal mol−1). The vdW complex i26 can either dissociate barrierlessly to form nitrosyl fluoride (NOF) and trifluoroperacetic acid (CF3COOOH) (p18, −41.0 kcal mol−1), or the vdW complex could isomerize viats-26-27 (−30.1 kcal mol−1) to form i27 (−57.4 kcal mol−1). The isomerization step viats-26-27 involves the fluorine atom (dissociated from the NOF fragment) abstracting the hydrogen atom from the β oxygen atom in CF3COOOH. i27 can either dissociate to form nitrosyl trifluoroperoxyacetate (CF3C(O)OONO) along with HF (p19, −55.1 kcal mol−1) without a transition state or isomerize viats-27-28 (−17.8 kcal mol−1) to form a vdW complex, i28 (−55.4 kcal mol−1). Along this isomerization path, the fluorine atom of the HF fragment recombines with the carbonyl carbon (C2) and breaks the α oxygen–C2 bond. The leftover hydrogen atom and OONO fragment forms nitrosyl-O-hydroxide (HO-ONO). i28 can barrierlessly dissociate to form TFAF and HO-ONO (p20, −52.8 kcal mol−1) without a transition state. The NO2 group departing as a result of β oxygen–N bond dissociation in i21 can also lead to the abstraction of H atom from C2 viats-21-23 (10.4 kcal mol−1) and form a vdW complex, i23 (−4.3 kcal mol−1). i23 can either dissociate to form CF3CFOO + HONO (p16, 5.9 kcal mol−1) without a transition state or isomerize to another vdW complex i24viats-23-24 (17.8 kcal mol−1). In the isomerization pathway, the N atom from the HONO fragment abstracts the β oxygen atom and forms the HNO3 fragment. i24 could also be directly formed from i21, followed by a bond cleavage between the α and β oxygen and a hydrogen abstraction. i24 can dissociate to TFAF and HNO3 without a transition state.
 |
| | Fig. 9 (a) Potential energy profile of the CF3CHFO2 radical + NO2 reaction at CCSD(T)-F12/cc-pVTZ-F12//M06-2X-D3/cc-pVTZ level of theory with ZPE included. The atoms are represented as black (C), blue (F), red (O), green (N) and white (H). Structures of the transition states can be found in the SI. (b) Residual i21 as a function of temperature and pressure. The dotted line represents the temperature and pressure trend with altitude increase in the troposphere starting from T = 300 K and P = 1 atm at sea level to T = 210 K and P = 0.1 atm at 18 km (tropopause). (c) Time evolution of the average vibrational energy of i21 at T = 210 (red) and 300 K (blue). The solid and dotted lines represent P = 1.0 atm and P = 0.1 atm, respectively. ZPE has been subtracted from the vibrational energy shown in the figure. | |
The LJ parameters for all intermediates in Fig. 9(a) are derived by combining the LJ parameters of i5 (σ = 3.61 Å, ε = 130.5 K) and NO2 radical (σ = 4.68 Å, ε = 146 K) using the combining rules described in the previous section.71 The master equation simulations were initiated from i21 at different temperatures (210–300 K) and pressures (0.1–1.0 atm) mimicking atmospheric conditions. Fig. 9(b) presents the fraction of residual i21 by the end of the simulation, while Fig. 9(c) shows the average vibrational energy of surviving i21 over time. The vibrational energy of i21 at t = 0 is the sum of thermal vibrational excitation energy at a corresponding temperature and potential energy released in the formation of i21 (24.6 kcal mol−1) on top of the ZPE energy of i21 (EZPE, 36.1 kcal mol−1). Similar to the results obtained for HO2 addition reaction, the higher temperature regime (≥270 K) has up to 2% of i21 dissociating back to reactants (i5 + NO2). The remaining fraction of i21 is collisionally stabilized by N2 bath gas. Therefore, i5 reacting NO2 is not likely to be a major source of TFAF or TFA in the atmosphere either.
Conclusions
This study explores the formation of TFA from HFC-134a under atmospheric conditions. 20 product channels have been identified, out of which two involve forming TFA and five involve forming TFAF, a key precursor of TFA reported in the literature.65 However, master equation simulations reveal that under atmospheric conditions, although HFC-134a can react with OH radical and form an intermediate, the further evolution of this intermediate to TFA and TFAF seems to be forbidden. Once again, the radicals and reaction pathways studied in this manuscript are the first attempt of characterizing the energetics of the reaction pathways that have already been proposed, but the results cast doubt on the relevance of these pathways in forming TFA. However, this work should not lead to the conclusion that HFC-134a is not responsible for TFAs in the atmosphere, as there are a large number of radicals in the atmosphere, leading to an astronomical number of potential reaction pathways. Potential reactions also include self-reactions of CF3CHFO2 (i5) and other radicals such as i12, i17 and i21. Interestingly, aerosols could play a role in alternating reaction pathways of these molecules, as seen in the recent atmospheric chemistry study of organosulfate molecules.72 Further, photochemistry could play an important role in the formation of TFA, as the UV absorption cross section for CF3CHFO2 (220 nm, gas-phase, 298 K) is reported to be (5.34 ± 0.2) × 10−18 cm2 molecule−1.73,74 Another potential factor that has not be explored is the role that ice grains might play.75
Author contributions
A. V. and R. S. designed the research; A. V. performed the calculations and analyzed the results; A. V. wrote the manuscript; K. F., Y. L., R. I. K., and R. S. edited the manuscript. R. S. supervised the research.
Conflicts of interest
There are no conflicts to declare.
Data availability
All the data are included in the manuscript and/or the SI. Supplementary Information is available. See DOI: https://doi.org/10.1039/d5cp03359d.
Acknowledgements
This study was funded through the NSF award, 2330175, Center: NSF Engineering Research Center for Environmentally Applied Refrigerant Technology Hub. The authors acknowledge the Information and Technology Services (ITS) from the University of Hawai’i, Manoa.
References
- Scientific Assessment of Stratospheric Ozone, National Aeronautics and Space Administration, 1989.
- Ozone Secretariat to the Vienna Convention for the Protection of the Ozone Layer and the Montreal Protocol on Substances that Deplete the Ozone Layer, Ed., Handbook for the international treaties for the protection of the ozone layer: the Vienna Convention (1985); the Montreal Protocol (1987), UNEP, Ozone Secretariat, Nairobi, 6th ed., 2003.
- L. M. Carlson, M. Angrish, A. V. Shirke, E. G. Radke, B. Schulz, A. Kraft, R. Judson, G. Patlewicz, R. Blain, C. Lin, N. Vetter, C. Lemeris, P. Hartman, H. Hubbard, X. Arzuaga, A. Davis, L. V. Dishaw, I. L. Druwe, H. Hollinger, R. Jones, J. P. Kaiser, L. Lizarraga, P. D. Noyes, M. Taylor, A. J. Shapiro, A. J. Williams and K. A. Thayer, Environ. Health Perspect., 2022, 130, 056001 CrossRef CAS PubMed
.
- D. J. Bowden, S. L. Clegg and P. Brimblecombe, Chemosphere, 1996, 32, 405–420 CrossRef CAS
.
- A. L. Henne and C. J. Fox, J. Am. Chem. Soc., 1951, 73, 2323–2325 CrossRef CAS
.
- M. D. Hurley, M. P. Sulbaek Andersen, T. J. Wallington, D. A. Ellis, J. W. Martin and S. A. Mabury, J. Phys. Chem. A, 2004, 108, 615–620 CrossRef CAS
.
- T. E. Møgelberg, O. J. Nielsen, J. Sehested, T. J. Wallington and M. D. Hurley, Chem. Phys. Lett., 1994, 226, 171–177 CrossRef
.
- M. de los A. Garavagno, R. Holland, M. A. H. Khan, A. J. Orr-Ewing and D. E. Shallcross, Sustainability, 2024, 16, 2382 CrossRef
.
- M. O. McLinden and M. L. Huber, J. Chem. Eng. Data, 2020, 65, 4176–4193 CrossRef CAS PubMed
.
- B. Xiang, P. K. Patra, S. A. Montzka, S. M. Miller, J. W. Elkins, F. L. Moore, E. L. Atlas, B. R. Miller, R. F. Weiss, R. G. Prinn and S. C. Wofsy, Proc. Natl. Acad. Sci. U. S. A., 2014, 111, 17379–17384 CrossRef CAS PubMed
.
- S. G. Penoncello, R. T. Jacobsen, K. M. de Reuck, A. E. Elhassan, R. C. Williams and E. W. Lemmon, Int. J. Thermophys., 1995, 16, 781–790 CrossRef CAS
.
- T. J. Wallington, M. D. Hurley, J. M. Fracheboud, J. J. Orlando, G. S. Tyndall, J. Sehested, T. E. Møgelberg and O. J. Nielsen, J. Phys. Chem., 1996, 100, 18116–18122 CrossRef CAS
.
- J. Franklin, Chemosphere, 1993, 27, 1565–1601 CrossRef CAS
.
- J. C. Ball and T. J. Wellington, Air Waste, 1993, 43, 1260–1262 CrossRef CAS PubMed
.
- M. Kanakidou, F. Dentener and P. Crutzen, J. Geophys. Res.: Atmos., 1995, 100, 18781–18801 CrossRef
.
- J. Wu, J. W. Martin, Z. Zhai, K. Lu, L. Li, X. Fang, H. Jin, J. Hu and J. Zhang, Environ. Sci. Technol., 2014, 48, 3675–3681 CrossRef CAS PubMed
.
- D. J. Luecken, R. L. Waterland, S. Papasavva, K. N. Taddonio, W. T. Hutzell, J. P. Rugh and S. O. Andersen, Environ. Sci. Technol., 2010, 44, 343–348 CrossRef CAS PubMed
.
- A. Jordan and H. Frank, Environ. Sci. Technol., 1999, 33, 522–527 CrossRef CAS
.
- A. Lindley, A. McCulloch and T. Vink, Open J. Air Pollut., 2019, 8, 81–95 CrossRef CAS
.
- R. Holland, M. A. H. Khan, I. Driscoll, R. Chhantyal-Pun, R. G. Derwent, C. A. Taatjes, A. J. Orr-Ewing, C. J. Percival and D. E. Shallcross, ACS Earth Space Chem., 2021, 5, 849–857 CrossRef CAS
.
- K. R. Solomon, G. J. M. Velders, S. R. Wilson, S. Madronich, J. Longstreth, P. J. Aucamp and J. F. Bornman, J. Toxicol. Environ. Health, Part B, 2016, 19, 289–304 CAS
.
- Q. Wang, X. Wang and X. Ding, Sci. Total Environ., 2014, 468–469, 272–279 CrossRef CAS PubMed
.
- V. R. Kotamarthi, J. M. Rodriguez, M. K. W. Ko, T. K. Tromp, N. D. Sze and M. J. Prather, J. Geophys. Res.: Atmos., 1998, 103, 5747–5758 CrossRef CAS
.
- R. Liu, R. E. Huie and M. J. Kurylo, J. Phys. Chem., 1990, 94, 3247–3249 CrossRef CAS
.
- T. J. Wallington and M. D. Hurley, Chem. Phys. Lett., 1992, 189, 437–442 CrossRef CAS
.
- J. P. Sawerysyn, A. Talhaoui, B. Meriaux and P. Devolder, Chem. Phys. Lett., 1992, 198, 197–199 CrossRef CAS
.
- G.-H. Leu and Y.-P. Lee, J. Chin. Chem. Soc., 1994, 41, 645–649 CrossRef CAS
.
- T. Gierczak, R. Talukdar, G. L. Vaghjiani, E. R. Lovejoy and A. R. Ravishankara, J. Geophys. Res., 1991, 96, 5001–5011 CrossRef CAS
.
- R. Warren, T. Gierczak and A. R. Ravishankara, Chem. Phys. Lett., 1991, 183, 403–409 CrossRef CAS
.
- M. A. A. Clyne and P. M. Holt, J. Chem. Soc., Faraday Trans. 2, 1979, 75, 582–591 RSC
.
- W. Braun, A. Fahr, R. Klein, M. J. Kurylo and R. E. Huie, J. Geophys. Res.: Atmos., 1991, 96, 13009–13015 CrossRef CAS
.
- V. L. Orkin and V. G. Khamaganov, J. Atmos. Chem., 1993, 16, 157–167 CrossRef CAS
.
- E. C. Tuazon and R. Atkinson, J. Atmos. Chem., 1993, 16, 301–312 CrossRef CAS
.
- M. Matti Maricq, J. J. Szente and E. W. Kaiser, Chem. Phys. Lett., 1992, 197, 149–156 CrossRef
.
- T. J. Wallington and O. J. Nielsen, Chem. Phys. Lett., 1991, 187, 33–39 CrossRef CAS
.
-
R. Atkinson, NASA, Washington, Scientific Assessment of Stratospheric Ozone: 1989, Volume 2. Appendix: AFEAS Report.
- R. V. Olkhov and I. W. M. Smith, Phys. Chem. Chem. Phys., 2003, 5, 3436–3442 RSC
.
- T. E. Møgelberg, O. J. Nielsen, J. Sehested, T. J. Wallington, M. D. Hurley and W. F. Schneider, Chem. Phys. Lett., 1994, 225, 375–380 CrossRef
.
- J. Sehested, T. Møgelberg, K. Fagerström, G. Mahmoud and T. J. Wallington, Int. J. Chem. Kinet., 1997, 29, 673–682 CrossRef CAS
.
- M. Valiev, E. J. Bylaska, N. Govind, K. Kowalski, T. P. Straatsma, H. J. J. Van Dam, D. Wang, J. Nieplocha, E. Apra, T. L. Windus and W. A. De Jong, Comput. Phys. Commun., 2010, 181, 1477–1489 CrossRef CAS
.
- Y. Zhao and D. G. Truhlar, Theor. Chem. Acc., 2008, 120, 215–241 Search PubMed
.
- T. H. Dunning, J. Chem. Phys., 1989, 90, 1007–1023 CrossRef CAS
.
- S. Grimme, J. Antony, S. Ehrlich and H. Krieg, J. Chem. Phys., 2010, 132, 154104 CrossRef PubMed
.
- S. Grimme, S. Ehrlich and L. Goerigk, J. Comput. Chem., 2011, 32, 1456–1465 CrossRef CAS PubMed
.
- K. Fukui, J. Phys. Chem., 1970, 74, 4161–4163 CrossRef CAS
.
- V. S. A. Bonfim, L. Baptista, D. A. B. Oliveira, D. E. Honda and A. C. F. Santos, J. Mol. Model., 2022, 28, 309 CrossRef CAS PubMed
.
- A. D. Buettner, B. J. Dilday, R. A. Craigmile, M. C. Drummer, J. M. Standard and R. W. Quandt, Phys. Chem. Chem. Phys., 2020, 22, 24583–24599 RSC
.
- T. Zhang, C. Zhang, X. Ma and H. Quan, Atmos. Environ., 2023, 294, 119467 CrossRef CAS
.
- R. R. Changmai and M. Sarma, ACS Earth Space Chem., 2022, 6, 1782–1792 CrossRef CAS
.
- R. R. Changmai, S. R. Daimari, A. K. Yadav and M. Sarma, Phys. Chem. Chem. Phys., 2024, 26, 23363–23371 RSC
.
- Y. Shang and S. N. Luo, Phys. Chem. Chem. Phys., 2024, 26, 20167–20215 RSC
.
- C. Hättig, W. Klopper, A. Köhn and D. P. Tew, Chem. Rev., 2012, 112, 4–74 CrossRef PubMed
.
- L. Kong, F. A. Bischoff and E. F. Valeev, Chem. Rev., 2012, 112, 75–107 CrossRef CAS PubMed
.
- K. Raghavachari, G. W. Trucks, J. A. Pople and M. Head-Gordon, Chem. Phys. Lett., 1989, 157, 479–483 CrossRef CAS
.
- F. Neese, Wiley Interdiscip. Rev.: Comput. Mol. Sci., 2012, 2, 73–78 CAS
.
- Y. Shang, H. Ning, J. Shi and S.-N. Luo, Proc. Combust. Inst., 2021, 38, 853–860 CrossRef CAS
.
-
J. R. Barker, T. L. Nguyen, J. F. Stanton, C. Aieta, M. Ceotto, F. Gabas, G. Mandelli, T. J. D. Kumar, C. G. L. Li, L. L. Lohr, A. Maranzana, N. F. Ortiz, J. M. Preses, J. M. Simmie, J. A. Sonk and P. J. Stimac, Multwell-2023.1 Software, University of Michigan, Ann Arbor, 2023, https://multiwell.engin.umich.edu/ Search PubMed
.
-
K. A. Holbrook, M. J. Pilling and S. H. Robertson, Unimolecular Reactions, Wiley, 1996 Search PubMed
.
- J. R. Barker, Int. J. Chem. Kinet., 2001, 33, 232–245 CrossRef CAS
.
- J. R. Barker and N. F. Ortiz, Int. J. Chem. Kinet., 2001, 33, 246–261 CrossRef CAS
.
- J. R. Barker, L. M. Yoder and K. D. King, J. Phys. Chem. A, 2001, 105, 796–809 CrossRef CAS
.
- W. F. Schneider, T. J. Wallington, J. R. Barker and E. A. Stahlberg, Ber. Bunsenges. Phys. Chem., 1998, 102, 1850–1856 CrossRef CAS
.
- A. W. Jasper and J. A. Miller, Combust. Flame, 2014, 161, 101–110 CrossRef CAS
.
- P. K. Rai, A. Kumar and P. Kumar, Phys. Chem. Chem. Phys., 2024, 26, 22395–22402 RSC
.
- Ch George, J. Y. Saison, J. L. Ponche and Ph Mirabel, J. Phys. Chem., 1994, 98, 10857–10862 CrossRef CAS
.
- J. S. Francisco, J. Phys. Chem., 1992, 96, 4894–4899 CrossRef CAS
.
- H. Hippler, J. Troe and H. J. Wendelken, J. Chem. Phys., 1983, 78, 6709–6717 CrossRef CAS
.
- A. Seif, L. R. Domingo and T. S. Ahmadi, Comput. Theor. Chem., 2020, 1190, 113010 CrossRef CAS
.
- Y. Luo, C. Kang, R. Kaiser and R. Sun, Phys. Chem. Chem. Phys., 2022, 24, 26836–26847 RSC
.
- K. Yadav, Y. Luo, R. I. Kaiser and R. Sun, Phys. Chem. Chem. Phys., 2024, 26, 11395–11405 RSC
.
- J. Troe, J. Chem. Phys., 1977, 66, 4758–4775 CrossRef CAS
.
- N. Tsona Tchinda, X. Lv, S. N. Tasheh, J. N. Ghogomu and L. Du, Atmos. Chem. Phys., 2025, 25, 8575–8590 CrossRef
.
- T. J. Wallington and O. J. Nielsen, Chem. Phys. Lett., 1991, 187, 33–39 CrossRef CAS
.
- A. A. Jemi-Alade, P. D. Lightfoot and R. Lesclaux, Chem. Phys. Lett., 1991, 179, 119–124 CrossRef CAS
.
- K. Mondal, S. Biswas, N. Melbourne, R. Sun and R. I. Kaiser, Chem. Sci., 2025, 16, 11039–11048 RSC
.
|
| This journal is © the Owner Societies 2026 |
Click here to see how this site uses Cookies. View our privacy policy here.