Influence of crystallization solvents on the crystal structures and supramolecular assemblies of a [2]naphthyl-extended pillar[6]arene
Abstract
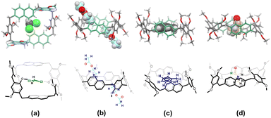
A newly synthesized [2]naphthyl-extended pillar[6]arene was crystallized from a range of solvent systems to examine the influence of crystallization conditions on its structural and supramolecular behavior. Single-crystal X-ray diffraction revealed solvent-dependent packing modes, giving rise to distinct assemblies including inclusion complexes, and supramolecular polymers driven by solvent guest molecules. The variations are governed by solvent–host interactions, emphasizing the crucial role of solvents in directing supramolecular assembly in the solid state. The resulting supramolecular assemblies were fully characterized using single-crystal X-ray diffraction and Hirshfeld surface analysis.
- This article is part of the themed collection: Articles behind the 2026 journal covers

Please wait while we load your content...