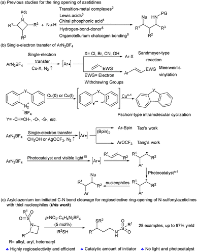
Aryldiazonium ion-initiated C–N bond cleavage for regioselective ring-opening of N-sulfonylazetidines with thiol nucleophiles
Abstract
Our investigations demonstrate that aryldiazonium salts effectively trigger the ring-opening of azetidines with excellent regiocontrol. This transformation exhibits remarkable versatility, accommodating different organic sulfur reagents under mild reaction conditions. The methodology combines several advantageous features: (a) scalability to gram quantities, (b) straightforward execution without metal catalysts, and (c) mild operating parameters. Mechanistic studies suggest that the process initiates through single-electron transfer from the azetidine to the diazonium species, generating a reactive amino radical cation intermediate.

Please wait while we load your content...