DOI:
10.1039/D4GC05569A
(Tutorial Review)
Green Chem., 2025,
27, 2629-2660
Green chemistry approaches in materials science: physico-mechanical properties and sustainable applications of grass fiber-reinforced composites
Received
2nd November 2024
, Accepted 17th January 2025
First published on 5th February 2025
Abstract
Escalating environmental crises have spurred research into biodegradable composites as sustainable alternatives to synthetic materials. Fibers from the grass family (Poaceae) are promising due to their renewable nature, lightweight and low-density structure, and favorable mechanical properties. This review highlights their potential to address the environmental and performance challenges of conventional materials, which also aligns with the principles of green chemistry. Grass fibers, derived from stems, leaves, and roots, are abundant, fast-growing, and eco-friendly. Rich in cellulose, they offer excellent reinforcement potential, especially when modified for improved fiber–matrix adhesion. Their desirable mechanical characteristics, including high tensile and flexural strength, make them suitable for applications in the automotive, construction, and packaging industries. Additionally, their biodegradability and sustainable sourcing help mitigate issues related to non-degradable plastics. This study examines their processing techniques and physico-mechanical properties while emphasizing barriers to adoption and the role they play in promoting sustainable material lifecycles as per the defined sustainable development goals.
 Shruti S. Pattnaik | Ms. Shruti Swaroop Pattnaik is pursuing a Ph.D. in the Department of Chemistry at Utkal University, India. She earned her M.Sc. from the Department of Chemistry at the Central University of Punjab, India. Her research is centered on enhancing the reinforcing capabilities of natural fibers in bioresin-based composites. She has published over 13 research papers and contributed to one book chapter. |
 Diptiranjan Behera | Mr Diptiranjan Behera is pursuing a Ph.D. in the Department of Chemistry at Utkal University, India. He holds an M.Sc. from Utkal University, Odisha, India. His research focuses on the reinforcing behavior of lignocellulosic waste materials in bioresin-based composites. He has published more than 11 research papers. |
 Debasis Nanda | Mr Debasis Nanda is pursuing a Ph.D. in the Department of Chemistry at Utkal University, India. He holds an M.Sc. from Centurion University of Technology and Management, Odisha, India. His research focuses on agro-waste-based hybrid material for environmental remediation. He has published more than 2 research papers. |
 Nigamananda Das | Prof. Nigamananda Das is working as a professor at the Department of Chemistry, at Utkal University, India. He received his D.Sc. from NOU, Baripada, India, post-doctorate from France, and Ph.D. from Utkal University, India. He has published more than 120 research papers and 15 book chapters. His research interests are Materials Chemistry and Catalysis, Wastewater Treatment (Physicochemical/Biological), and Synthesis and Reactivity of Transition Metal Complexes. He also holds the title of FRSC. |
 Ajaya K. Behera | Dr Ajaya Kumar Behera is working as an Assistant Professor in the Department of Chemistry, Utkal University, Bhubaneswar, India. He pursued an M.Tech. and Ph.D. at I.I.T. Kharagpur. He has published more than 48 research papers and 3 book chapters. His research interests are centered on green composites based on natural fiber, waste-water treatment, and conducting polymers. |
Green foundation
1. Using natural fibers as opposed to synthetic fibers in fiber-reinforced composite industries is on the rise, as these are green feedstock. Grasses, which are underexploited yet abundant in nature, have been extensively studied as reinforcements in biocomposites.
2. The study focuses on the effect of various grass fibers in numerous matrices, on the wide range of physico-mechanical properties of the final composites. This shall help engineers design products with suitable grass-fiber composites based on their characteristic features, and helps to foresee the shortcomings related to it, thus reducing failures.
3. The future of green chemistry will increasingly focus on renewable yet cost-effective fibers like those of grasses. By addressing the strengths and limitations of these fiber composites, we aim to foster innovation and optimization, and contribute to industry standards that prioritize sustainability, without compromising on safety and performance.
|
1. Introduction
In the contemporary era, the escalating environmental calamity and the rapid depletion of fossil-fuel resources have triggered an imperative shift of focus towards sustainable and eco-friendly materials.1–3 Amidst this transformative transition, grass fibers have emerged as a shining symbol of hope, offering a sustainable alternative to conventional synthetic fibers.4,5 These fibers, often dismissed as mere detritus of the plant kingdom due to their high abundance and invasive growth, harbor an untapped potential, which can yield high-performance biocomposites with exceptional physico-mechanical properties when harnessed judiciously.6–8 Traditionally, grass fibers have been referred to only for humble applications, such as traditional weave crafts, paper production, and erosion control.9–11 Yet, recent ground-breaking advancements in materials science have illuminated the promising role they may play as reinforcements within polymer matrices.12–14 Grasses occur abundantly in almost every climatic and vegetative region, with an estimated annual world production in the range of billions of tons, contributing almost 24% to the vegetative area present on the Earth (Fig. 1).15
 |
| | Fig. 1 Some common grass species and their contribution as per estimated annual production worldwide. | |
The grass family or Poaceae (earlier Gramineae) is an important and one of the most abundant classes of flowering plants in the plant kingdom. They range widely in their shape and sizes, from tall Bamboo jungle plants to short backyard Bermuda grass, and have robust functions in ecology, from being forage for herbivores (Napier) to providing grains (rice, wheat, sorghum) and essential oil (Lemongrass and Vetiver), hence supporting biodiversity. Grasses play a vital role in ecology by stabilizing soil with their extensive root systems and preventing soil erosion.16–21 Their abundance is a result of their fast growth rate, which makes them available in almost every landscape on the planet. But this also points out their invasiveness and possible disproportionation of ecological balance, due to their intrinsic properties of high thermal stability and lignocellulosic nature.22–25 Hence, materials scientists have been using these characteristics for reinforcements in composites. Grasses which have been commonly utilised in composite sectors have been classified into different categories according to different bases. A typical classification of grass fiber is reported in Fig. 2.
 |
| | Fig. 2 Pictorial representation of classification of grass fiber. | |
Physico-mechanical properties encompass the physical and mechanical characteristics of materials, essential for understanding their behavior under various conditions. Key physical properties include density, thermal resistance, stability and elasticity in thermal conditions, affinity to water, and dimensional stability,26–30 whereas the mechanical properties cover strength in stress and strain conditions or under high impact forces, hardness, ductility, fatigue resistance, and other similar characteristics.31–36 These properties are vital for selecting appropriate composite materials for specific applications, enabling engineers to predict performance under diverse loads and environmental conditions in everyday life. By optimizing these properties, designers can achieve a balance between weight, strength, and cost, tailoring fiber-reinforced composites to meet specific needs.37–40 Furthermore, insights into physico-mechanical properties facilitate failure analysis, improving safety and reliability in engineering designs.41 Along with these properties, sustainability has become an important factor in the consideration of materials these days.42,43 Hence, many scientists are now characterizing fabricated composites with biodegradability tests in varying environmental conditions. This foundational knowledge also drives innovation in materials development, leading to the creation of advanced composites and smart materials that enhance performance across various fields. The potential applications of these biocomposites span diverse sectors, from automotive and construction to packaging and consumer goods, showcasing their versatility and environmental benefits.44–47 As we navigate through the complexities of grass fiber-reinforced biocomposites, this review aspires to provide a thorough understanding of their composition, properties, applications, and challenges, and envision a future where waste grass fibers contribute significantly to sustainable development for a greener tomorrow. The use of these fibers will also help adhere to many of the “sustainable development goals (SDG)” as per the United Nations’ “2030-agenda for sustainable development” like SDG 9 (industry, innovation and infrastructure), SDG 11 (sustainable cities and communities), SDG 12 (responsible consumption and production), SDG 13 (climate action) and SDG 15 (life on land). Photographs of some types of grasses are shown in Fig. 3.
 |
| | Fig. 3 Digital images of (a) sugarcane bagasse, (b) corn, (c) Napier, (d) rice, (e) sabai, (f) tiger, (g) kans, (h) lemongrass, (i) pampas, (j) wheat, (k) vetiver, and (l) Bermuda grasses. | |
1.1. Structural features of the grass family
The grass family is a significant group of monocotyledonous plants characterized by their jointed stems, parallel-veined leaves, and small, wind-pollinated flowers arranged in spikelets. Morphologically, grasses typically feature narrow leaves with a sheath that wraps around the stem and a ligule that separates the leaf blade from the sheath. This family exhibits remarkable adaptability to various environments, hence thriving in a range of habitats from arid deserts to humid rainforests. Grasses possess adaptations such as deep root systems for drought resistance, rapid growth cycles, and the ability to regenerate from basal meristems, which help them withstand grazing pressure and frequent disturbances. This adaptability makes them crucial for stabilizing soils, supporting diverse ecosystems, and contributing significantly to global agricultural systems. Hence, their fibers can be exploited for use as reinforcements.7 Grass fibers, primarily derived from different parts of grasses, exhibit distinctive anatomy suited for reinforcing composites. The fibers consist of long, slender cells with a high degree of cellulose, hemicellulose, and lignin, which contribute to their strength and rigidity.48Fig. 4 depicts the chemical constituents of typical grass fibers.
 |
| | Fig. 4 Chemical constituents of a typical grass fiber, classified into cellulosic and non-cellulosic parts. | |
Each fiber is composed of a central lumen surrounded by thick, fibrous cell walls, which are layered in a spiral or helical pattern to enhance tensile strength. The outer surface of grass fibers often features a cuticular layer that can affect adhesion and bonding with polymer matrices. Additionally, the internal structure includes vascular bundles and parenchyma cells that support nutrient transport and provide structural integrity.49,50 The morphology of a typical grass is shown in Fig. 5.
 |
| | Fig. 5 (a) Morphology of a typical grass (Poaceae) plant. Parts like inflorescence, leaf, sheath, nodes–internodes, and rhizome can be correlated to every (b) common grass plant of different shapes and sizes. | |
1.2. Mechanical characteristics of grass fiber and effect of surface treatments
Major grass fibers, like bamboo, are renowned for their favorable mechanical characteristics, including high tensile strength, which makes them effective reinforcements in composite materials.13,51–53 These fibers exhibit tensile strength, often comparable to some synthetic fibers, allowing them to withstand significant stress without failure. Their flexural rigidity ensures that they provide structural support and resistance to bending. Changes in mechanical properties of grass fibers have also been observed upon surface treatments, which remove the hard non-cellulosic parts and make them flexible.54–57 Out of these surface treatment methods, alkali treatment is one of the most effective and widely used approaches. The treatment involves immersing the fibers in an alkaline solution, typically sodium hydroxide (NaOH), which removes hemicellulose, lignin, and other impurities. The result is an increased surface area and improved fiber strength, leading to better adhesion when used in composite materials as shown in Fig. 6II.58,59 Other treatments, such as silane, acetylation, and benzoylation, also enhance fiber properties.60–62 Silane treatment (via aminopropyl-triethoxy-silane) improves moisture resistance and interfacial bonding by introducing reactive silane (–Si–O–H) groups,60 while acetylation modifies the fiber by substituting hydroxyl groups with acetyl groups and increasing dimensional stability, carried out by reacting with acetic anhydride.61 Benzoylation, on the other hand, imparts additional thermal stability due to its bulky nature, and treatment is with benzoyl chloride for grafting the group.62 Following surface treatment, morphological changes can be observed through various microscopic and spectral techniques like optical microscopy, field emission scanning electron microscopy (FESEM), etc., which highlight the roughened surface texture, suitable for better matrix binding.63,64 Additionally, the FTIR analysis of untreated and alkali-treated vetiver fibers at varying NaOH concentrations (1, 2, 3, 4, and 5 wt%) reveals significant structural and chemical changes as shown in Fig. 6I. The untreated fibers show characteristic peaks of hydroxyl (–OH) stretching vibrations at 3250–3580 cm−1, C–H stretching at 2900–2950 cm−1, and C–O–C stretching at 1020–1075 cm−1, representing the cellulose backbone. Upon alkali treatment, these peaks become sharper and more defined, indicating the removal of non-cellulosic components such as lignin, hemicellulose, and other impurities. Notably, the intensity of the –C–H peak at ∼2900 cm−1 decreases progressively with increasing alkali concentration, signifying hemicellulose elimination.65 The lignin-associated peaks, typically observed between 1500–1700 cm−1, are reduced or shifted, reflecting the breakdown of hydrogen bonds in lignin.66 Higher alkali concentrations (3–5 wt%) further enhance these effects, exposing more cellulose functional groups, as evident from the intensification of the –OH peak. This progressive removal of non-cellulosic material with increasing NaOH concentration leads to a more purified cellulose structure, as also corroborated by changes in peak positions and intensities across the FTIR spectra.
 |
| | Fig. 6 Post-alkali surface treatment analyses of vetiver grass fiber through (I) FTIR-spectra, and (II) FESEM images of (a) untreated and (b) treated fibers. The –OH region has significantly improved for 2 wt% alkali treatment, suggesting optimized concentration as per the FTIR spectra. The surface roughness has also increased after removing other unwanted bio-components.67 | |
Overall, these treatments contribute to the optimization of grass fibers for selective industrial applications from a wide range of availability, along with maintaining the principles of green chemistry by avoiding harsh chemical use (5th principle). Table 1 represents the mechanical properties of some reported grass fibers in their treated and untreated forms.
Table 1 Mechanical analysis of various reported grass fibers
| Grass fibers |
Surface treatment |
Tensile strength (MPa) |
Tensile modulus (GPa) |
Elongation at break (%) |
Ref. |
| Napier |
Untreated |
88.40 ± 4.35 |
13.15 ± 2.15 |
0.99 ± 0.12 |
Kommula et al. (2016)54 |
| Napier |
5% Acetic acid |
108.01 ± 4.71 |
14.21 ± 2.64 |
1.22 ± 0.11 |
Kommula et al. (2016)54 |
| Napier |
10% Acetic acid |
121.16 ± 5.12 |
16.21 ± 1.98 |
1.36 ± 0.08 |
Kommula et al. (2016)54 |
| Napier |
15% Acetic acid |
105.23 ± 3.98 |
15.11 ± 2.21 |
0.91 ± 0.09 |
Reddy et al. (2012)55 |
| Napier |
Untreated |
75 |
6.8 |
2.8 |
Reddy et al. (2012)55 |
| Napier |
2% NaOH |
111 |
8.0 |
3.1 |
Reddy et al. (2012)55 |
| Napier |
5% NaOH |
136 |
10.5 |
3.2 |
Reddy et al. (2012)55 |
| Elephant |
Retting |
185.0 |
7.40 |
2.50 |
Rao et al. (2007)68 |
| Elephant |
Retting and KMnO4 |
150.0 |
6.50 |
— |
Rao et al. (2007)68 |
| Elephant |
0.1N NaOH |
292.3 |
10.44 |
— |
Rao et al. (2007)68 |
| Elephant |
0.1N NaOH and KMnO4 |
237.4 |
8.79 |
— |
Rao et al. (2007)68 |
| Wheat Straw |
2% NaOH |
273 ± 26 |
13 ± 1.5 |
2.7 ± 0.1 |
Reddy et al. (2007)69 |
| Corn |
Untreated |
112.95 ± 24.15 |
3.69 ± 0.96 |
3.64 ± 0.52 |
Liu et al. (2019)70 |
| Corn |
5% NaOH |
152.90 ± 32.51 |
5.13 ± 1.18 |
3.67 ± 1.05 |
Liu et al. (2019)70 |
| Corn |
5% NaOH-5% Silane |
113.87 ± 19.36 |
4.63 ± 0.81 |
2.74 ± 0.36 |
Liu et al. (2019)70 |
| Corn |
5% Silane |
223.33 ± 41.22 |
7.05 ± 1.07 |
4.02 ± 1.24 |
Liu et al. (2019)70 |
| Sabai |
10% NaOH |
493 ± 34 |
20.9 ± 6.8 |
3.0 ± 1.8 |
Guna et al. (2019)71 |
| Broom |
Mechanical |
32.6 ± 1.8 |
— |
4.2 ± 1.3 |
Cerchiara et al. (2010)72 |
| Broom |
15% NaOH |
35.9 ± 1.6 |
— |
5.8 ± 1.7 |
Cerchiara et al. (2010)72 |
| Kans |
Untreated |
337 ± 34 |
8.91 ± 0.18 |
— |
Devnani et al. (2019)73 |
| Kans |
3% NaOH |
381 ± 17 |
9.38 ± 0.16 |
— |
Devnani et al. (2019)73 |
| Kans |
5% NaOH |
430 ± 16 |
9.88 ± 0.21 |
— |
Devnani et al. (2019)73 |
| Kans |
7% NaOH |
372 ± 25 |
9.02 ± 0.22 |
— |
Devnani et al. (2019)73 |
| Pampas |
Retting |
20 ± 1 |
8.88 |
— |
Khan et al. (2021)74 |
| Vetiver |
2% NaOH |
247–723 |
12.0–49.8 |
1.6–2.4 |
Vinayagamoorthy et al. (2019)75 |
2. Grass fiber-reinforced polymer composites
Natural fibers as reinforcements in polymeric matrix-based composites have been seen to serve as sound competition to synthetic fibers, and there is a close comparison in the mechanical performances of the two.76 As seen in reports by Salasinska et al., the synthetic fiber composites reinforced with aramid fabric and epoxy resin exhibited the highest tensile strength and stiffness, with Young's modulus and tensile strength values exceeding 12 GPa and 350 MPa, respectively. In contrast, glass fiber (GF)-reinforced composites demonstrated the most unsatisfactory mechanical performance among synthetic fibers (tensile strength of 75 MPa, and tensile modulus of 6 GPa). Basalt fiber (BF)-reinforced composites showed improved properties compared with GF composites, with stiffness and tensile strength higher by 1 GPa and 45 MPa. Carbon fiber (CF)-reinforced composites exhibited increased stiffness compared with GF and BF composites; however, this value was still 30% lower than the stiffness of aramid fabric composites. Interestingly, natural fiber composites, including those reinforced with flax fibers (FF), displayed tensile strength higher than GF composites, but Young's modulus remained the lowest among all these materials analyzed. Furthermore, composites reinforced with GF and BF demonstrated the highest elongation at break, which Salasinska et al. attributed to lower fiber load transfer, interlaminar propagation of breakage, and the lower volume content of fillers. These contrasts highlight the gap between synthetic and grass fiber composites while emphasizing the ability of grass fibers to serve as sustainable and greener/renewable feedstock (as per the 7th principle of green chemistry), with considerable mechanical properties.77 Some mechanical properties of a few reported grass-fiber-reinforced composites have been summarised in Table 2 for these comparisons.
Table 2 Mechanical analysis of some reported grass fiber-reinforced composites after surface treatments
| Reinforced fiber(s) |
Resin |
Tensile strength (MPa) |
Tensile modulus (MPa) |
Flexural strength (MPa) |
Flexural modulus (MPa) |
Ref. |
| Bagasse (NaOH) |
Epoxy |
32 |
1250 |
— |
— |
Vidyashri et al. (2019)78 |
| Bagasse (KMnO4) |
Epoxy |
36 |
1420 |
— |
— |
Vidyashri et al. (2019)78 |
| Bagasse (H3PO4) |
Epoxy |
21 |
1325 |
— |
— |
Vidyashri et al. (2019)78 |
| Corn husk (untreated) |
Epoxy |
15 |
1750 |
— |
— |
Chun et al. (2020)79 |
| Corn husk (NaOH) |
Epoxy |
25 |
2400 |
— |
— |
Chun et al. (2020)79 |
| Corn husk (H2O2) |
Epoxy |
30 |
2600 |
— |
— |
Chun et al. (2020)79 |
| Corn |
PP |
25 |
— |
50 |
— |
Kumar et al. (2015)80 |
| Napier (untreated) |
Epoxy |
28.45 |
2720 |
56.21 |
3290 |
Kommula et al. (2014)81 |
| Napier (5% NaOH) |
Epoxy |
31.25 |
2900 |
63.49 |
3470 |
Kommula et al. (2014)81 |
| Napier (10% NaOH) |
Epoxy |
39.53 |
2950 |
76.21 |
3570 |
Kommula et al. (2014)81 |
| Napier (15% NaOH) |
Epoxy |
30.40 |
2830 |
61.36 |
3460 |
Kommula et al. (2014)81 |
| Rice straw (2% NaOH) |
Epoxy |
14 |
1380 |
33 |
3700 |
Ranjan et al. (2021)82 |
| Sabai |
Epoxy |
16.80 |
4487 |
— |
2450 |
Kumar et al. (2022)83 |
| Sabai |
Epoxy |
17.26 |
2600 |
33.9 |
3540 |
Kumar et al. (2024)84 |
| Sabai (5% NaOH) |
Epoxy |
103.15 |
— |
143 |
— |
Kumar et al. (2024)85 |
| Broom and Onion roots |
Polyester |
35 |
1720 |
14 |
520 |
Mahjabin et al. (2019)86 |
| Vetiver |
Epoxy |
11.9 |
800 |
18.2 |
1100 |
Bavan et al. (2014)87 |
| Vetiver (5% NaOH) |
Epoxy |
13.59 |
0.9 |
20.5 |
1200 |
Bavan et al. (2014)87 |
| Vetiver (longitudinal) |
Epoxy |
9.624 |
1792.234 |
45.74 |
3111.08 |
Natarajan et al. (2021)88 |
| Vetiver (transverse) |
Epoxy |
8.932 |
2447.313 |
17.43 |
2318.03 |
Natarajan et al. (2021)88 |
| Vetiver (bidirectional) |
Epoxy |
7.867 |
2538.86 |
25.74 |
2118.36 |
Natarajan et al. (2021)88 |
| Vetiver |
Epoxy |
51.78 |
— |
35,92 |
— |
Jena et al. (2022)89 |
| Vetiver & Jute |
Epoxy |
212.96 |
— |
266.267 |
— |
Jha et al. (2022)90 |
| Vetiver & Banana |
Vinyl ester |
60 |
3560 |
79 |
— |
Stalin et al. (2022)91 |
| Vetiver (0.5 M NaOH) |
Epoxy |
38.45 |
— |
43.70 |
— |
Janyakunmongkol et al. (2024)92 |
2.1. Bagasse fiber-reinforced composites
Sugarcane (Saccharum officinarum) is a tropical grass cultivated for its high sucrose content. For sugar extraction, its juice is squeezed from the harvested stalks, leaving behind a fibrous residue known as bagasse. Its use became prominent alongside the global spread of sugarcane cultivation, with significant contributions from regions such as India and China, but Brazil stands as the leading producer of bagasse, leveraging its extensive sugarcane industry to generate substantial quantities of this by-product.93–95 Bagasse comprises cellulose (≈40%), hemicellulose, and lignin, giving it a coarse texture and high strength.96 This morphology makes it suitable for a range of industrial uses like the production of paper and cardboard, fuel sources in sugar mills, components in construction materials like particle boards, etc. Additionally, bagasse has been used as animal feed in various regions. Modern applications have expanded to include biodegradable packaging materials and textiles, reflecting growing environmental awareness and the search for sustainable alternatives.97,98
Jimenez et al. created sustainable biocomposites by reinforcing sugarcane bagasse with polypropylene, high-density polyethylene, and starch-based polymer matrices, achieving an optimized Young's modulus of 3.413 GPa validated through micromechanical models.99 Asrofi et al. developed biodegradable plastics using tapioca starch and sugarcane bagasse cellulose fibers, demonstrating improved moisture resistance (28.3% at 22.5 hours) and tensile strength (20.84 MPa) when using nanofibers (20–45 nm).100,101 Ehman et al. produced biocomposite filaments for 3D printing with sugarcane-derived bio-polyethylene and bagasse pulp, achieving enhanced mechanical properties with 40 wt% fibers and reduced CO2-eq emissions by using bio-based compatibilizers.93 Kumari et al. incorporated bagasse fiber fillers into glass fiber–epoxy composites, significantly improving tensile strength, flexural properties, impact resistance, and interlaminar shear strength.102 Mohan et al. fabricated Opuntia dillenii fiber-reinforced epoxy composites with bagasse biosilica particles, achieving superior tensile strength (178 MPa), thermal stability, and laminar shear strength (33 MPa) through silane treatment.103 Mahmud et al. developed rigid films from modified potato starch and bagasse fibers, enhancing impact resistance (14.00 J m−1) and flexural strength (22.85 MPa) at up to 43% fiber content, though high porosity and water absorption (73% after 2 hours) were observed.104
These studies highlight sugarcane bagasse's versatility in enhancing various composite materials’ mechanical, thermal, and sustainability properties. When chemically modified or hybridized with other reinforcements, sugarcane bagasse fibers exhibit considerable potential for improving moisture resistance, mechanical strength, and environmental sustainability. These properties position bagasse as a promising material for biodegradable plastics, lightweight biocomposites, and structural reinforcements. However, challenges remain regarding its high water absorption, porosity, and scalability for industrial applications. Additionally, its short-fiber nature limits its load-bearing applications but points to efficient use as fillers or hybrid reinforcements. Further research on fire resistance, improved fiber–matrix bonding, and durability can advance the adoption of bagasse-based composites in high-performance industries. Fig. 7 gives an overview of the related reported works on bagasse fiber-reinforced biocomposites studied in this review.
 |
| | Fig. 7 Overview of literature studies on bagasse fiber-reinforced composites, highlighting the key findings of their physico-mechanical properties. Here, TS = tensile strength, YM = Young's modulus, FS = flexural strength, IS = impact strength. | |
2.2. Corn fiber-reinforced composites
Corn (Zea mays) plants generate significant quantities of agricultural waste, including stalks, leaves, husks, and cobs, upon harvesting and post-harvest handling. Corn stalks, leaves, and husks are predominantly fibrous, with 40–45% cellulose, which contributes to their structural integrity.105 Corn cobs, containing a dense, woody core, are also rich in cellulose and residual starch.106,107 From a morphological perspective, corn stalks are long and cylindrical, while leaves are broad and flat. Husks are thin and enveloping, and cobs are compact with kernels. Historically, the stalks and leaves are employed as animal feed or organic mulch; cobs have been used as fuel in traditional stoves or as scrubbers and corn husks as cultural crafts. However, these traditional methods are not very effective in minimizing solid waste consumption and hence require the intervention of materials science in a sustainable manner.108–110
Garadimani et al. demonstrated enhanced mechanical properties in hybrid composites reinforced with corn cob particles and E-glass fibers in epoxy resin, achieving optimal tensile strength (18.04 MPa) and modulus (926.78 MPa) at 27.5% corn cob and 2.5% E-glass fibers.109 Kumar et al. optimized corn fiber-polypropylene (CF-PP) composites using MAPP, achieving maximum tensile strength (25 MPa), flexural strength (50 MPa), and impact strength (45 J m−1).80 Liu et al. improved the wear resistance of corn stalk fiber (CSF) composites through silane treatment, achieving a 22.8% decrease in wear rate with 5% silane-treated CSF.110 Tarres et al. incorporated coupling agents into corn stover fiber-reinforced bio-polyethylene, achieving a 131.2% increase in tensile strength at 40 wt% reinforcement with 6 wt% coupling agent.108 Luo et al. enhanced corn stalk fiber/polylactide (CRF/PLA) composites with silica nanoparticle sizing, achieving tensile strength (50.1 MPa), modulus (5.4 GPa), and improved impact strength (31.2%).111 Sari et al. observed that the tensile properties of corn husk fiber/polyester composites peaked at 30% fiber content after 24 hours of water immersion but declined with higher fiber content and longer immersion times.112 Hazrol et al. studied corn starch-based hybrid composites reinforced with kenaf and cornhusk fibers, noting faster degradation in kenaf films and improved thermal properties in hybrid composites, with complete degradation in 12 days.113
The above studies correlate the versatility and improved performance of corn-based fibers in composite applications. Corn fibers, whether derived from cob, stalk, or husk, exhibit the potential for enhancing the mechanical, thermal, and biodegradable properties of composites. Their effectiveness is particularly pronounced when combined with coupling agents or surface treatments like silane or nanoparticle sizing, improving strength, wear resistance, and impact durability. However, challenges persist, such as decreased performance with higher fiber loading, water absorption, and degradation rates in specific environments. Despite these challenges, corn fibers find promising applications as reinforcements in hybrid composites, lightweight materials, and biodegradable films. Further advancements in fiber treatment, durability, and matrix compatibility could broaden their industrial adoption. Fig. 8 gives an outline of all the highlighted findings from the related literature on corn fiber-reinforced composites discussed above.
 |
| | Fig. 8 Parts of a mature maize plant and their uses in different composite fabrication as per literature studies. | |
2.3. Napier grass fiber-reinforced composites
Napier grass (Pennisetum purpureum), also known as elephant grass, is a high-yielding perennial grass native to tropical regions, including Africa and Asia. It is widely cultivated for its robust growth and nutritional value, making it a key forage crop in livestock farming. The grass can reach heights of up to 4 meters and features long, narrow, and lance-shaped leaves, with a dense, bushy appearance. Its stems are thick and strong, supporting rapid growth and high biomass production.114–116 Traditionally, Napier grass is used as feed for cattle, goats, and other livestock due to its high digestibility and protein content. Additionally, it plays a role in soil conservation and erosion control, thanks to its extensive root system.117 In some regions, it is also employed in thatching roofs, showcasing its versatility and importance in sustainable agricultural practices.118–120
Kommula et al. demonstrated that alkali treatment with 10% NaOH improved the tensile strength, modulus, and elongation of Napier fibers by 51.9%, 47.3%, and 12.1%, respectively, with optimal performance in epoxy composites containing 20 wt% fibers (tensile strength of 39.53 MPa; flexural strength of 61.36 MPa).81,114 Somseemee et al. extracted cellulose nanofibrils (CNFs) from Napier grass stems via alkali-steam explosion, reporting enhanced tensile strength (7 MPa at 5 parts per hundred) and modulus in natural rubber composites, particularly with TESPT-treated CNFs, due to improved filler interactions.116 Sucinda et al. developed nanocrystalline cellulose (NCC) films from Napier grass with PLA, achieving high crystallinity (69%) and low water absorption (0.37%) due to strong matrix interaction.121 Thandavamoorthy et al. reinforced PLA with Napier grass and porcelain fillers, resulting in 25% and 30% increases in tensile (39.76 MPa) and flexural strength (41.29 MPa), alongside reduced water absorption and bacterial resistance.122
These results collectively indicate the versatile potential of Napier grass fibers, especially when treated or modified, to enhance the mechanical, thermal, and interfacial properties of various polymer matrices. Comparative analysis suggests that alkali treatment and chemical modifications such as TESPT are critical in improving matrix–fiber compatibility and mechanical performance. Napier grass also shows promise in creating moisture-resistant and antibacterial composites, making it an ideal candidate for sustainable applications.
2.4. Rice fiber-reinforced composites
Rice straw, a by-product of paddy rice (Oryza sativa L.) cultivation, is produced in enormous amounts worldwide in rice-growing regions such as Asia, the Americas, and parts of Europe. This fibrous material, consisting of the dried stems and leaves left after rice grain harvest, is typically golden-brown with long, slender stalks and a tough outer layer. It has 35–40% cellulose and 20–25% lignin, making it valuable for various traditional uses, including livestock bedding, thatching roofs, and crafting mats and baskets.123–125 Despite its utility, substantial quantities of rice straw often become waste, and lead to large-scale burning of it, which contributes to air pollution and greenhouse gas emissions. Alternatively, viable management options can include using it as mulch to enhance soil fertility, incorporating it into compost, or converting it into bioenergy.126–128 Its wide use in the field of composites has an interesting journey too.
Fig. 9 summarises all the important findings for works on rice fiber-reinforced biocomposites which are discussed in this section. Elhussieny et al. developed biodegradable composites by combining rice straw fibers with chitosan extracted from shrimp shell waste, where nano rice straw fibers significantly enhanced the mechanical (23 MPa tensile strength), thermal, and biological properties through interaction and cross-linking.129 Bhattacharjee et al. utilized rice straw flour (RSF) in poly(butylene succinate) (PBS) composites with dicumyl peroxide (DCP) as a cross-linking agent, achieving minimal tensile strength improvement (19.56 MPa) due to limited compatibility between RSF and PBS.130 Ranjan et al. fabricated rice straw fiber-reinforced epoxy composites (30 wt% fiber, treated with 2 wt% NaOH) with tensile and flexural strengths of 14 MPa and 33 MPa, respectively, demonstrating potential for industrial use.82 Madival et al. hybridized rice straw with Furcraea foetida fibers in epoxy composites, achieving enhanced thermal stability (up to 272 °C) but limited tensile strength (29.45 MPa) due to ineffective fiber–matrix binding.126 Alkandary et al. needle-punched rice straw into jute fabric with soy protein isolate resin, yielding composites with 40% fiber content that increased tensile modulus and strength by 200% and 47%, respectively, though moisture absorption rose significantly at higher fiber contents.131 Dushyanthini et al. examined rice straw–natural latex composites, finding optimal thermal insulation properties (0.0636 W m−1 K−1 thermal conductivity) at 25% rice straw content, with pressurization improving specific heat capacity.132 Beniwal et al. grafted rice straw fibers onto PLA, enhancing thermal stability, crystallinity, tensile strength (94.9%), and toughness (605%) through improved matrix adhesion, as confirmed by FTIR, FESEM, and 13C-NMR analyses.133
 |
| | Fig. 9 Summary of reported literature for rice fiber-reinforced composites, with their highlighted findings in physico-mechanical properties. | |
These studies collectively demonstrate the versatility of rice straw fibers in enhancing mechanical, thermal, and environmental properties across diverse matrices. Rice straw fibers, whether used as raw material, modified, or hybridized, significantly improve the performance of composites through better fiber–matrix adhesion, increased thermal stability, and biodegradability. Surface treatments, such as alkali treatment, cross-linking agents, and grafting with polymers like PLA, are critical in overcoming compatibility challenges, yielding superior mechanical strength and toughness. While moisture absorption and matrix compatibility remain challenges, advancements in fiber treatment and hybridization approaches make rice straw an excellent candidate for eco-friendly, high-performance composites in industrial and thermal insulation applications.
2.5. Sabai grass fiber-reinforced composites
Sabai grass (Miscanthus floridulus) is a versatile, perennial plant native to Southeast Asia, notably India, Thailand, Laos, and Vietnam. It features tall, slender stems and narrow, elongated leaves, often reaching heights of up to 3 meters.134,135 Sabai grass is traditionally used in rural communities for crafting durable, eco-friendly mats, baskets, and roofing materials due to its strong fibers. Its fast growth and ability to thrive in various soil types make it an essential resource for sustainable living. Beyond traditional uses, Sabai grass is increasingly recognized for its potential in renewable biomass energy source and soil pollution control.136–138
Fiber properties were studied by Teja et al. where significant mechanical strength, including bursting strength, was analyzed. The high packing density of the fiber web results in the 600 GSM fabric having a strength of 8.5 kg cm−2, which is higher than that of 300 GSM (2.6 kg cm−2). The fabric's water contact angle is 66°, similar to that of pineapple fibers (49 ± 5°) and hemp fibers (50 ± 7°).139 Guna et al. used untreated Sabai grass in polypropylene composites. They also highlighted the high levels of flavonoids (630 mg g−1) and phenols (510 mg g−1) in it, conferring strong antibacterial and antifungal properties to the fibers. The extracted fiber bundles exhibited a tensile strength of 493 MPa and a tensile modulus of 21 GPa, comparable to other common natural cellulosic fibers, and their composites demonstrated high noise insulation and thermal resistance.71 Kumar et al. investigated an application-based study where Sabai grass fiber was used as brake friction material, and had excellent physico-mechanical properties in phenolic resin. These included a tensile strength of 16.80 MPa, Young's modulus of 4487 MPa, a flexural modulus of 2.45 GPa, a fracture strain of 1.64%, an ultimate shear strength of 1620 Kgf, and a compressive strength of 170.6 MPa, outperforming standard brake materials with asbestos. They maintained an acceptable coefficient of friction, lower wear rates, and better heat dissipation.83 Cenosphere (0 wt% and 5 wt%) and Sabai grass woven yarn were reinforced in epoxy resin using the hand-lay-up method by Kumar et al. The composite laminate with 5 wt% cenosphere showed a tensile strength of 17.26 MPa, a modulus of elasticity of 2.6 GPa, and an elongation of 1.7 mm. In the flexural test, it exhibited a strength of 33.9 MPa and a modulus of 3.54 MPa, suggesting the pros of using fillers.84 The same authors have also compared treated and untreated Sabai fibers arranged in various orientations in epoxy resin. The fibers were treated with different NaOH concentrations (3 to 9 wt%). The 5 wt% NaOH-treated fibers demonstrated the highest tensile properties due to reduced fiber thickness, hence increased fiber concentration. The treated composite laminate with a 0° fiber orientation showed a maximum tensile of 103.15 MPa and flexural strength of 143 MPa, a higher density of 1.20 g cm−3, and lower porosity of 0.70%, while untreated fibers had higher impact strength.85 Hence, the roles played by fiber packing and density have been highlighted in the above studies, which directly impact the mechanical properties. For a better adhesive interface, chemical surface treatments are necessary; however, they have a consequent effect on the natural products derived from the grass, which are useful for biomedical applications. Hence, surface treatment should be kept optional as per case-to-case use of the biocomposite formed. The structural applications are also dependent on the fiber orientations, which requires more in-depth studies through micromechanical modelling, along with discussions on the aspect ratio of the fiber used.
2.6. Tiger grass fiber-reinforced composites
Tiger grass (Thysanolaena latifolia), commonly known as broom grass, is a feathery grass species native to tropical and subtropical regions of Southeast Asia, including India and Sri Lanka. It typically thrives year-long in forest clearings and grasslands, adapting well to a range of soil types and moisture conditions. Morphologically, tiger grass features tall, erect stems with narrow, elongated leaves arranged in dense clusters.140,141 The plant produces distinctive, plume-like inflorescences. Traditionally, its fibrous stems are harvested for making brooms, mats, and thatch roofing.142 Additionally, it serves as an erosion control agent due to its dense root system. However, its aggressive growth can sometimes lead to it becoming invasive, displacing native flora and disrupting local ecosystems. Despite its utility, the high cellulose content (30%) can limit its application in certain contexts, as its fibrous nature may be less desirable in some industrial and forage uses.143–145
Ramanaiah et al. focussed on using waste broom grass natural fibers as reinforcement and polyester resin as a matrix to create hybrid biocomposites. Waste broom grass fiber demonstrates a tensile strength of 297.58 MPa, a modulus of 18.28 GPa, and an effective density of 864 kg m−3. Fiber volume fractions in the composites ranged from 0.163 to 0.358. The thermal conductivity was measured using a guarded heat flow meter method, suggesting decreased thermal conductivity with increasing fiber content. The composites exhibited a maximum tensile strength and modulus improvement of 222% and 173%, respectively, compared with the pure matrix.140 Hybrid polymer composites were prepared using polypropylene as the matrix and onion roots and broom grass as fibers by Mahjabin et al. Three composites with different fiber contents (5, 10, and 15 wt%) were produced using the hot-press technique. Results showed the optimum tensile strength of 35 MPa, Young's modulus of 1720 MPa, flexural strength of 14 MPa, flexural modulus of 520 MPa, and impact strength of 178 J m−1 for 15 wt% composite (optimized), while % elongation decreased as the natural elements are stiffer.86 Subhramanyam et al. modified the use of stiff tiger grass fiber (15–20 wt%) by hybridizing it with glass fiber (5 wt%) in polyester resin. The ultimate tensile strength for the hybrid composite was around 68.5 MPa with 2.97 GPa of modulus. Good impact strength (3.5J) and sturdiness were observed for the same.144 Kurdekar et al. used a bioresin of guar gum for making composites with tiger grass fillers that were tested as cutlery. Physico-mechanical testing like tensile, impact, and water absorption showed low strength (2.53 MPa) and high water absorption.
The behavior of Tiger grass fiber as long aspect ratio reinforcement was not very promising due to its low cellulosic content and higher stiffness. But, the use of all natural components implicates high biodegradability, which makes it suitable for disposable utilities with low load-bearing capacity use and also fulfills the 10th principle of green chemistry (design for degradation into safer byproducts).146
2.7. Kans grass fiber-reinforced composites
Kans grass (Saccharum spontaneum) or wildcane is a tall perennial grass indigenous to South Asia, particularly prevalent in India, Bangladesh, and Pakistan. It flourishes in varied habitats such as riverbanks and wetlands, exhibiting slender, fibrous stems and plume-like seed heads.147 Despite its applications in mat-making, erosion control, and re-vegetation, kans grass poses several disadvantages like invasiveness, low nutritional fodder, and high flammability.148,149 Furthermore, its extensive root system can deplete soil nutrients, potentially affecting soil fertility. Therefore, it is treated as a unwanted plant, and hence could be used for composite formation as a renewable feedstock (as per the 7th principle of green chemistry).
Prasad et al. extracted wildcane grass stalk fibers from the stem using retting and chemical (NaOH) processes. These fibers were treated with KMnO4 to enhance matrix adhesion. The treated fibers were unidirectionally reinforced into a polyester matrix, and their flexural properties were tested. Fibers extracted via retting had a tensile strength of 159 MPa and a flexural strength of 99.17 MPa in the composite, with a modulus of 3.96 GPa. KMnO4-treated fibers showed a 12% increase in flexural strength and a 76% increase in modulus compared with retted fibers, but a 3% decrease in strength and a reduction in modulus by 48% as compared with chemically extracted fibers.148 The focus on the alkali treatment of these fibers was also emphasized by Devnani et al. Extracted fibers were treated with 3–7 wt% alkali solutions and 5 wt%-treated ones had an optimum tensile strength of 430 ± 16 MPa, a tensile modulus of 9.88 ± 0.21 GPa, a crystallinity index of 76, and a density of 1.272 ± 0.012 g cm−3. Theoretical studies were carried out to assess decomposition activation energy and thermal kinetics, where 5% alkali-treated fibers showed the highest value from 137 ± 3.1 kJ mol−1 to 194 ± 2.4 kJ mol−1.73 Ahlawat et al. collected fibers from kans grass plants and incorporated them into polyester resin at varying volumes (0 to 20.08%). The tensile strength, tensile modulus, and density of the Kans grass fiber were measured at 278–619 MPa, 8.1–11.1 GPa, and 441 kg m−3, respectively. The tensile strength and modulus of the composites increased with higher fiber volumes but remained lower than that of pure polyester. Additionally, the inclusion of fibers enhanced the flexural modulus, making the 20.08% fiber specimen 2.1 times stiffer than the neat polyester specimen.150 Kans fibers were also seen to be used in particulate form by Baruah et al. They isolated microcrystalline cellulose (MCC) using an integrated alkaline delignification, chlorine-free bleaching, and acid hydrolysis. The acid hydrolysis conditions were optimized with the Taguchi orthogonal L9 design, evaluating reaction time, temperature, acid concentration, and solution-to-pulp ratio, achieving an 83% yield of MCC, which can be further used in biofilms.151
2.8. Lemongrass fiber-reinforced composites
Lemongrass (Cymbopogon sp.) is a tropical grass known for its lemon-like scent and flavor, primarily utilized in both culinary and medicinal contexts. It is predominantly cultivated in countries with tropical climates, including Malaysia, Thailand, and India.152,153 The plant features a bulbous base from which the leaves emerge. Its anatomy includes a complex vascular system for nutrient transport and a fibrous root system that supports its growth.154 In traditional medicine, lemongrass is employed for its digestive, antimicrobial, and anti-inflammatory properties. The plant's essential oil contains high concentrations of citral (monoterpene aldehyde), which provides it with anti-microbial and inflammatory properties, and geraniol (monoterpene alcohol), which are responsible for its characteristic aroma.155,156 However, post-oil extraction, the fibrous residue is again a waste but gold for composite fabricators.
Chaiphut et al. developed biocomposite films using poly(lactic acid) (PLA), Polybutylene succinate (PBS), and lemongrass powder (LE) as fillers. They varied the PBS at 0–20 wt% and LE at 0–10 wt%. Results showed a comparatively negative impact of increasing LE content in PLA.157 Jing et al. prepared poly(lactic acid) grafted with maleic anhydride (PLA-g-MAH) via melt grafting and incorporated into poly(lactic acid)/lemongrass fiber (PLA/LF) biocomposites. Results showed that although LF addition improved the flexural modulus, crystallinity, and crystallization rate of the biocomposites, adding 5 wt% PLA-g-MAH further enhanced the mechanical properties and reduced internal cavities and fiber peeling in the composites.158 Raja et al. investigated the potential of Cymbopogon flexuosus stem (CFS), a by-product of the oil extraction industry, as a reinforcement. The CFS fibers had a high cellulose content of 68.13%, offering high tensile strength of 431.19 ± 23.96 MPa, and density of 1270 kg m−3. Additional analyses showed the presence of functional groups, thermal stability at 253.17 °C, the activation energy of 73.01 kJ mol−1, maximum degradation temperature of 345.08 °C, and semi-crystalline nature with a crystallinity index of 46.02% and crystallite size of 13.96 nm.159 Fiore et al. extracted fibers from both the leaf and stem of lemongrass. Despite having similar chemical compositions (cellulose, hemicellulose, and lignin contents of 44–45%, 28–29%, and 17%, respectively), leaf fibers exhibited significantly higher mechanical properties, with a 55% increase in tensile strength and a 76% increase in modulus compared with stem fibers. This difference was attributed to the stem fibers’ higher water absorption (+4%), as well as the leaf fibers’ more compact structure and higher density (1.139 g cm−3versus 1.019 g cm−3).160 Parsai et al. synthesized bio-based films from extracted lemongrass leaves by combining conventional alkali and deep eutectic solvents (DES). This method separated the components of leaves and then used them for composite film synthesis. Hybrid Film 4 (with cellulose and lignin) demonstrated excellent water absorption of nearly 65% and a high contact angle of 99.90°, while Film 2 exhibited the highest thermal stability. Film 3 showed superior UV properties due to the presence of carboxymethyl cellulose (CMC) and lignin.161
These studies showed that the lemongrass fiber is not very compatible with the polymeric matrices like PLA, and needed some kind of grafting for improvement of mechanical properties. However, it is still useful as a reinforcement since its cellulose content is quite high along with low density, making it favorable for light-weight applications. The leaf, as well as the stem fibers, can be utilized, although the leaf fibers are a little denser and hence stronger than the latter. It has been proved to have higher thermal stability but its fire resistance hasn't been analyzed. The challenge in its use is mainly its moisture sensitivity, processability, and limited resourcing regions increasing its cost of composite production.
2.9. Pampas fiber-reinforced composites
Pampas grass or Cortaderia selloana, native to South American plains grasslands ‘Pampas’, are tall reed-like grasses. They are perennial and can grow up to 13 feet tall, featuring long, sharp-edged leaves that fold at the midrib to create a dense tuft. The seeds are light and feathery and, hence, are easily carried away by the wind, which makes them highly invasive in some parts of the United States, New Zealand, and South Africa. Another variant of this grass is used for ornamental purposes.162 They have been reported to have good phytoremediation properties and also prevent groundwater pollution.163 Being an invasive agro-grass waste, they are extensively pruned and create waste. This was hence used as ‘green gold’ for biodiesel production by converting the sticks of the grass into porous carbon-based catalysts, through simple carbonization and sulphonation.164
For its use as reinforcement in composites, knowledge about the fiber is necessary. This was obtained by the studies of Khan et al., where an in-depth characterization of these grass fibers through various analyses like FTIR, XRD, thermogravimetric analysis (TGA), single-fiber tensile testing, and SEM analysis was carried out. These revealed that the fibers have a diameter of 372.6 μm, a density of 1261 kg m−3, and a cellulose content of 53.7 wt%. The mechanical properties like tensile strength had a value of 20 ± 1.0 MPa, Young's modulus of 8.88 GPa, and a thermal stability of 320 °C, making it competitive for semi-structural uses.74 Jorda-Vilaplana et al. investigated the effect of filler loading for thermoplastic composite made of short pampas grass fiber waste with bio-based polyethylene. They tested for mechanical and thermal properties and found out that a range of 15 to 30 wt% of fiber loading gave optimum results with higher stiffness (with tensile strength nearly 20.1 MPa) and thermal stability up to 250 °C, and the effect of compatibilizers was neutral.165 In many cases, the use of compatibilizers or surface treatment of the fiber or resin resulted in better adhesive forces between the fiber and matrix, hence improving the mechanical properties. Some of these have been listed below in Fig. 10.
 |
| | Fig. 10 Compilation of fiber and resin surface treatments through chemical and physical methods for improvement of fiber–matrix interface adhesion. | |
2.10. Wheat straw fiber-reinforced composites
Wheat (Triticum aestivum L.) is a staple crop cultivated globally, characterized by its robust stalks, leaves, and grain-bearing heads. The straw, or the stems and leaves remaining post-harvest, plays a significant role in agricultural and industrial applications.166 Traditionally, wheat straw has been utilized for purposes such as animal bedding, composting, and biofuel.167 However, incorrect management of wheat straw can lead to environmental concerns, including soil degradation and air pollution created by the direct burning of the stalks after harvesting.168 Wheat straw is particularly rich in cellulose, with an approximate content of 30–40%, which is crucial for its use in paper production, building materials, and biofuels. This emphasizes the importance of sustainable practices in handling straw to maximize its benefits and mitigate potential misuse.69 Wheat straws have been successfully incorporated into various polymeric matrices to create materials of varying applications. Some of the discussed works have been summarised in Fig. 11.
 |
| | Fig. 11 Summary of advances in wheat straw fiber-reinforced composites and their related physico-mechanical outcomes. | |
Fan et al. prepared PLA/wheat straw fiber (WSF) composites using dopamine-treated WSF or 12-amino-dodecanoic acid-modified montmorillonite (MMT)-treated WSF, achieving a 123% increase in MMT interlayer spacing and a 367% improvement in tensile strength.169 Building on the use of WSF in sustainable applications, Rojas et al. developed insulation blocks from wheat straw and corn husk fibers, achieving thermal conductivity values (0.046–0.047 W m−1 K−1) comparable to expanded polystyrene and improved flexural stress, demonstrating their potential for eco-friendly thermal insulation.170 Ali et al. further enhanced thermal properties by combining agave and wheat straw with a cornstarch binder, achieving improved thermal conductivity up to 0.06835 W m−1 K−1 in hybrid boards.171 Jiang et al. focused on enhancing the durability of WSFs through modifications with sodium silicate, acrylic acid emulsion, and silicone emulsion, which reduced water absorption by 10.67%, 5.18%, and 1.05%, respectively, and improved the physico-mechanical properties of WSF cement-based composites.168 Advancing WSF applications, Tong et al. fabricated transparent composites by impregnating WSFs with methyl methacrylate, achieving 74.63% light transmittance, a tensile strength of 58.19 MPa, and a thermal conductivity of 0.07 W m−1 K−1, suitable for building applications.172 Haque et al. enhanced the tensile strength of polyester–WSF composites by 69% through alkali treatment, with thermal stability up to 315 °C, highlighting their suitability for high-performance uses.173 Althoey et al. demonstrated the structural potential of wheat straw in concrete by replacing cement with wheat straw ash (WSA) and silica fume (SF), achieving a compressive strength of 174.8 MPa and superior durability in a mix with 15% WSA and 15% SF reinforced with polypropylene fibers.174 Together, these studies highlight the versatility and potential of WSFs in enhancing the mechanical, thermal, and environmental performance of various composites.
Wheat straw fibers as reinforcement exhibit significant potential, upon chemical modification and hybridisation with other reinforcer, in mechanical strength, thermal insulation, transparency, and water resistance. These properties make the wheat straw fibers viable for diverse applications, including insulation, lightweight structures, and cement replacements. However, its durability, fire resistance, and scalability are still problematic challenges for adoption in industry. Furthermore, its use as a long aspect ratio fiber is weak. Rather, it points at its efficient applicability as short fibers or fillers. Hence, they support the design of safer materials, with the reduction of waste and the inclusion of biodegradability as per the principles of green chemistry.
2.11. Vetiver fiber-reinforced composites
Vetiver grass (Chrysopogon zizanioides) is a major bushy, ever-growing grass, native to India and Southeast Asia. Its anatomy includes long, slender, and deeply rooted stems that form dense, fibrous mats. Vetiver is notable for its extensive root system, which helps in soil erosion control and soil-system stabilization.175 Traditionally, vetiver is used in various cultural practices. Its roots are prized for their aromatic qualities, often utilized in perfumes and essential oils.176,177 In agriculture, vetiver grass is employed in sustainable farming practices for erosion control and soil health. Studies on vetiver grasses’ impact on soil shear strength have also been reported.87 Its aromatic roots are also used in traditional medicine and as natural insect repellents.178 Various parts of the vetiver grass have been used for extracting fibers and using them as reinforcements in various polymeric matrices to fabricate composites.
Chemically pre-treated vetiver fibers were tested by Vinayagamoorthy where benzoylation significantly enhanced the tensile, compressive, and impact strengths by 113%, 56.78%, and 95%, respectively. The peroxide treatment notably increased the flexural strength by 56.13% alongside the elongation during tension, flexure, and compression tests.75 Jena et al. worked on the thermo-mechanical properties of composites consisting of vetiver grass fiber and red mud, reinforced in epoxy resin. Results favoured this unique hybridization, where the best mechanical assets were obtained for the composite with 10 wt% of vetiver fiber and 30 wt% of red mud, achieving a tensile strength of 51.78 MPa, flexural strength of 35.92 MPa, and impact strength of 29 kJ m−2.89 Jha et al. fabricated jute and vetiver fiber-reinforced epoxy composites, with variable fiber mass but fixed content of graphite enhancer. Experimental analyses showed that the composites with 6 wt% vetiver fibers achieved a tensile strength of 212.96 MPa, a flexural strength of 266.267 MPa, and a Rockwell hardness of 70.08, and lower water absorption than 8% vetiver and 22% jute fibers.90 Senthilkumar et al. studied the same composites with 3% graphene as filler instead. These composites are proposed as replacements for asbestos-based automotive brake linings due to environmental and health concerns of the latter. The study supports the idea of increased fiber content (15% vetiver fiber) for improved mechanical properties, where the optimized composite had increased tensile, flexural, and impact strength by 82.66%, 34.25%, and 157.14%, respectively, with a reduced elongation by 29.03%.179 Janyakunmongkol et al. investigated the effect of alkali on these fibers reinforced in epoxy resin (ER) with concentration variation between 0.5 to 3 mol L−1, and fibers were reinforced at 10 wt% with respect to ER. The higher alkali concentrations led to diminished mechanical properties, with 0.5 mol L−1 NaOH providing the optimal results such as impact strength of 256.42 kJ m−2, tensile strength of 38.45 MPa, bending strength of 43.70 MPa, and compressive strength of 110.27 MPa.92 A bioresin made of soy seeds and its biocomposites with alkali-treated vetiver root fibers were investigated by Pattnaik et al., wherein physico-mechanical advancement were studied. Composites were fabricated through hand-laying the fibers in resin followed by hot-pressing in compression mould, as seen in Fig. 12. The maximum values of mechanical strength were obtained for 60 wt% of fiber loading at 49.78 MPa tensile strength.67 Further studies like dynamic mechanical analysis (DMA), Izod impact strength, and biodegradation in different natural mediums were analyzed in the extended work of the same author, where the storage modulus for the optimized composites was 3614 MPa.178 Another bioresin from cowpea milk was also utilized with vetiver, where the tensile strength ranged from 30.8 to 36.2 MPa, and the maximum impact strength of 11.2 kJ m−2. Further tests of hydrophobicity and degradability in microbial conditions were also assessed (Fig. 16).180 Alkali surface treatment was carried out in all the cases, to improve the interfacial adhesion of fiber–matrix.
 |
| | Fig. 12 (a) Process of making cowpea resin, (b) vetiver root fiber, (c) resin soaked vetiver, (d) vetiver-cowpea composite, and (e) jute-cowpea composite. (Reproduced from ref. 180, with permission from [Royal Society of Chemistry], copyright [2025]). | |
Vetiver fiber as reinforcement thus demonstrates exceptional mechanical performance and sustainability as discussed. Surface modifications, such as alkali, benzoylation, and peroxide treatments, enhance fiber–matrix adhesion due to functionalization, boosting tensile, flexural, and impact strengths. Hybridization with red mud, graphite, and graphene filler further optimizes structural integrity, enabling mild load-bearing or semi-structural applications. Bio-resins, including soy and cowpea-based matrices, ensure biodegradability and mild water stability, supporting eco-friendly alternatives. However, research gaps persist in long-term durability, fatigue behavior, and biodegradation of composites, especially epoxy based, under diverse environmental conditions. Furthermore, its application for solid structural applications is not promising as the maximum tensile strength achieved for the fibers still lies in the range of 250–720 MPa, questioning its aspect ratio.
3. Fabrication techniques and physico-mechanical properties of sustainable grass fiber-reinforced composites
3.1. Fabrication techniques of grass fiber-reinforced composites
The fabrication of grass fiber-reinforced composites involves several key techniques that determine the final material properties, including mechanical strength, durability, and sustainability. These methods vary depending on factors like fiber type, matrix material, and desired application. Also, many of these have been optimised to adhere to the principles of green chemistry with the use of less hazardous chemicals and safer reaction conditions with energy efficiency. Below, we elaborate on the most commonly used composite fabrication techniques for major grass fiber-reinforced materials.
3.1.1. Hand-layup method.
The hand-layup method is one of the most commonly used techniques for fabricating grass fiber-reinforced composites, primarily due to its simplicity and cost-effectiveness. In this process, layers of long aspect-ratio grass fibers are manually placed into a mould, followed by the application of a resin to impregnate the fibers. After the fiber and resin are combined, the composite is left to cure, either at room temperature or in an oven, depending on the resin system. One of the main advantages of the hand-layup method is its flexibility, allowing for the fabrication of parts with varying geometries. However, the process also presents certain challenges. The manual nature of fiber placement can lead to inconsistencies in fiber distribution and alignment, which may negatively impact the mechanical properties of the final composite. Additionally, achieving uniform resin impregnation can be difficult, and there is a risk of voids or air pockets forming in the composite. Despite these challenges, hand-layup remains a popular choice for small-scale production or applications where cost is a critical factor. Many of the works discussed in this review have utilized this method, which confirms its familiarity.81–84,89,104,140,150,173
3.1.2. Compression moulding.
Compression moulding is a more advanced technique that involves placing a pre-measured amount of grass fiber and resin mixture into a heated mould. The mould is then closed, and pressure is applied to ensure uniform fiber distribution and resin impregnation. This process offers several advantages, such as the ability to produce parts with high mechanical strength and consistent fiber alignment. Compression moulding is especially useful for larger-scale production, where high volume and consistent quality are essential. The main challenge of compression moulding lies in the precise control of temperature and pressure. Overheating or excessive pressure can degrade the fiber or resin, leading to weakened composite properties. Additionally, the initial cost of the necessary equipment can be high, making it less suitable for low-budget or small-scale applications. However, when properly managed, compression moulding provides high-quality and durable grass fiber-reinforced composites.67,179,180
3.1.3. Injection moulding.
Injection moulding is a highly efficient and precise technique used to fabricate grass fiber-reinforced composites, especially when complex shapes and high-volume production are required. In this process, chopped grass fibers are mixed with a polymer matrix, and the mixture is injected into a mould under high pressure. This method provides a high degree of precision and the ability to produce intricate and detailed composite parts. One of the significant advantages of injection moulding is its ability to produce parts with tight tolerances and consistent properties across large batches. However, the process also has its drawbacks. The high pressure used during injection can shorten the fibers, reducing their reinforcing effectiveness.
Furthermore, achieving the correct balance between fiber content and resin is crucial, as too much resin can lead to brittle composites, while too few fibers may not provide adequate reinforcement. Despite these challenges, injection moulding is widely used for producing high-performance, lightweight composite parts in various industries.99,108
3.1.4. Solution casting method.
Solution casting is a fabrication method commonly used for producing thin films, coatings, and composite materials. In this process, a polymer or resin is dissolved in a suitable solvent to create a homogeneous liquid solution. The solution is then poured or spread onto a flat surface or into a mold, where the solvent gradually evaporates, leaving behind a solid polymer film or composite layer. The thickness of the final product can be controlled by adjusting the concentration of the solution and the casting time.
Solution casting is widely employed in the production of biodegradable materials, polymer films, and coatings, often used in applications such as packaging, protective coatings, and electronics. While it offers advantages like uniformity and ease of processing, the method is typically limited to flat or simple-shaped products and may require careful handling of solvents to avoid health and environmental risks.100,101 Some of other fabrication techniques along with the ones mentioned above are listed in Table 3.
Table 3 Various techniques used for fabrication of composites
| Fiber |
Resin |
Techniques |
Ref. |
| Bagasse |
Polypropylene |
Compounding and injection moulding |
Jiménez et al. (2017)99 |
| High-density polyethylene |
| Starch |
| Bagasse cellulose |
Tapioca starch |
Solution casting |
Asrofi et al. (2019)100 |
| Bagasse |
Tapioca starch |
Solution casting |
Asrofi et al. (2020)101 |
| Bagasse |
Potato starch |
Hand-layup |
Mahmud et al. (2023)104 |
| Corn stover |
Bio-polyethylene |
Extrusion and injection moulding |
Tarres et al. (2020)108 |
| Napier |
Epoxy |
Hand-layup |
Kommula et al. (2014)81 |
| Rice straw |
PBS |
Melt extrusion |
Bhattacharjee et al. (2021)130 |
| Rice straw |
Epoxy |
Hand-layup |
Ranjan et al. (2021)82 |
| Sabai |
Phenolic |
Hand-layup |
Kumar et al. (2022)83 |
| Sabai |
Epoxy |
Hand-layup |
Kumar et al. (2024)84 |
| Broom |
Polyester |
Hand-layup |
Ramanaiah et al. (2012)140 |
| Broom |
Polypropylene |
Hot-press |
Mahjabin et al. (2019)86 |
| Kans |
Polyester |
Hand-layup |
Ahlawat et al. (2018)150 |
| Lemon |
PLA-g-MAH |
Melt grafting |
Raja et al. (2022)159 |
| Wheat straw |
Methyl methacrylate |
Hand-layup |
Haque et al. (2011)173 |
| Vetiver |
Epoxy |
Hand-layup |
Jena et al. (2022)89 |
| Vetiver |
Epoxy |
Hand-layup and compression moulding |
Senthilkumar et al. (2024)179 |
| Vetiver |
Soy |
Compression moulding |
Pattnaik et al. (2023)67 |
| Vetiver |
Cowpea |
Compression moulding |
Pattnaik et al. (2024)180 |
3.2. Physico-mechanical properties of grass fiber-reinforced composites
3.2.1. Mechanical properties related to stress–strain.
Mechanical properties like tensile, flexural, compressive, shear, and fatigue strength, along with some moduli like Young's and flexural modulus, and the percent of elongation at break determine the performance of any fabricated fiber-reinforced composite. These help measure how the formulated composites shall perform in different conditions of stress loading and suggest safer designs for various applications to mitigate failures.181,182 They are a measure of the stiffness and ductility of the designed material which determines the selection of plausible performance enhancers.80–82,102,104,113,122,148,150,158
For example, the mechanical strengths of compression-moulded vetiver root–soy resin-based composites were compared for all formulations in two different conditions, i.e. varying compression temperature and varying compression time, in Fig. 13(I).67 It can be seen that the optimized method now includes a compression time of 15 minutes at 120 °C compression temperature since the best strengths were found at these conditions. Similarly, for vetiver–cowpea composites, a comparison of tensile and flexural strengths for varying fiber load optimized the use of 60 wt% fiber loading with 40 wt% of resin matrix (Fig. 13(II)).180 Accordingly, the use of fillers, surface treatment, and orientation of Sabai fibers in various polymer matrices were compared based on compressive strengths, and then optimization for all of them was summed up.83–85
 |
| | Fig. 13 Mechanical behavior for (I) vetiver-reinforced soy, and (II) vetiver-reinforced cowpea composites under stress–strain conditions as adapted from Pattnaik et al.67,180 Reproduced from ref. 67, with permission from [Springer Nature], copyright [2025] and ref. 180, with permission from [Royal Society of Chemistry], copyright [2025]. | |
3.2.2. Micromechanical model analyses.
Micromechanical models are essential for predicting the mechanical properties of composite materials based on the properties of their fundamental components—fiber and matrix—and the interaction between them. Several well-established theoretical models provide different approaches to estimating the effective mechanical properties of composites, such as the tensile strength and flexural strength, modulus of elasticity, etc. Some of the common key models are as follows:
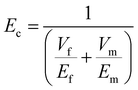
(i) Rule of mixtures (Upper Bound – Voigt Model):
The rule of mixtures gives an upper bound estimate for the composite's modulus, assuming that the composite's properties are weighted by the volume fractions of its constituents and that both the matrix and fiber deform uniformly.
where,
Ec = composite's modulus,
Ef = fiber’ modulus,
Em = matrix’ modulus,
Vf = fiber volume fraction and
Vm = matrix volume fraction (where
Vm +
Vf = 1).
Using the same parameters, the lower bound of the values can also be calculated.
(ii) Inverse rule of mixtures (Lower Bound – Reuss Model):
The inverse rule of mixtures gives the lower bound for the composite's Young's modulus, assuming that the fibers and matrix deform in parallel under stress.
| |  | (2) |
(iii) Guth and Gold model:
This model is used to estimate the modulus of composites containing small amounts of reinforcement, especially for particulate-filled composites or with fibers of small aspect ratio, which is also a limitation to its applicability. It accounts for the interactions between the matrix and the reinforcement, incorporating a correction factor (ϕ) based on particle volume fraction.
| | | Ec = Em(1 + 2.5ϕ + 14.1ϕ2) | (3) |
(iv) Hirsch model:
The Hirsch model is an extension of the Guth model and is often used for composites with a higher volume fraction of reinforcement. It includes an additional term (x) that accounts for the interaction between the matrix and reinforcement, and the stress transfer between them. All other variables are same as in previous equations.
| |  | (4) |
The value of (x) has been set by default at 0.4 for natural fiber composites, due to the internal structure of the natural fibers, their orientation, fiber length, etc.
(v) Cox–Krenchel model:
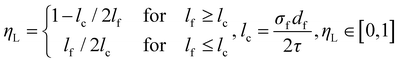
The Cox–Krenchel model is commonly used for composites reinforced with long fibers, where the reinforcement is assumed to be aligned and oriented in the same direction.
| | | Ec = η0ηLVfEf + (1 − Vf)Em | (5) |
This model includes a shape factor for the fibers, typically denoted ηL the Cox factor, that accounts for the fiber geometry efficiency.
| |  | (6) |
where the stress factor
β, is dependent on factors like
d, diameter and
Gm, shear modulus of the matrix depends on
χii.e. packing arrangement of fibers. For non-unidirectional fiber orientation, the Krenchel factor
η0 was put in (
eqn (5)) where
ϕn is the orientation angle between the fiber and the load applied, and
an is the fraction of fibers with this angle.
| |  | (7) |
(vi) Kelly–Tyson Model:
The model assumes that the fibers are uniformly distributed and aligned in the load's direction, enabling effective stress transfer through shear at the fiber–matrix interface. It accounts for the critical fiber length (lc), beyond which fibers can fully develop their tensile strength, and predicts the composite strength as a function of fiber volume fraction (Vf) and aspect ratio.
| |  | (9) |
where,
τ represents the interfacial shear strength and other variables come from the previously described equations. This model focuses on discontinuous and short fibers. The model was further modified by Bowyer and Bader solutions, which accounts for fibers with varying angles and orientations, making it more suitable for practical composite materials with non-aligned fibers.
(vii) Tsai–Pagano and Halpin–Tsai model:
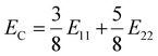
The Tsai and Pagano model is a modification of the rule of mixtures, specifically designed for composites with a two-phase reinforcement, such as in short fiber or particulate-reinforced composites. It provides a more accurate estimate by considering the interaction between phases and how the reinforcement affects the overall stiffness. The general form of the model is:
| |  | (10) |
where,
E11 and
E22 are the elastic modulus of longitudinal and transversal orientations of the fibers for composite, solved by the Halpin–Tsai models as follows with the usual variables:
| |  | (11) |
These micromechanical models provide valuable tools for predicting composite properties and are essential in composite design, especially in optimizing the fiber loading and orientation of reinforcement for specific applications.
Jimenez et al. analyzed fiber Young's moduli using the Hirsch model, showing slight deviations from experimental values based on matrix material dependence. A modified rule of mixture model confirmed the interphase significantly impacts fiber modulus. The Cox–Krenchel model linked this effect to fiber length efficiency, influenced by fiber topology. Tsai–Pagano and Halpin–Tsai models highlighted how these factors affect composite Young's modulus. Experimental results aligned with models for polyolefin-based matrices but deviated for starch-based matrices, likely due to errors in matrices with Young's moduli below 1.99 Tarres et al. employed the modified rule of mixtures model to evaluate the tensile strength of corn stover–short fiber composites, obtaining results consistent with experiments. Using the Bowyer–Bader solution to the Kelly–Tyson model, they analyzed the influence of fiber tensile strength, interphase, and orientation on composite performance. Optimal interphase values were observed at 6% MAPE coupling. Fiber loadings from 0–50 wt% correlated with theoretical values, though maximum error occurred at the highest wt%, likely due to poor fiber dispersion in the matrix causing deviations.108 Similarly, Das et al. extended the models’ use for strength of rice husk composite via nanoindentation and flammability. They proceeded with the rule of mixture and Halpin–Tsai and Pagano models for correlations. The Halpin–Pagano model was the closest to the experimental results since it is a modified form of the upper and the lower bound models. However, the minor discrepancies can be eliminated by considering activation energies, the heat of combustion, and other related factors.183 Panicker et al. reinforced bagasse fiber into virgin PP, which created an upsurge of 7.96% in the tensile strength of PP at 30 wt% of fiber loading. These data were also backed by the Kelly–Tyson model which approximately matched with them, whereas the Bowyer–Bader model had undervalued calculated figures. The key factor influencing the tensile strength of the composite was the decrease in the fiber tensile strength, which was reduced by a decrease in its critical length during the fabrication of the composite. The attrition caused by the fibers was more prominent in higher fiber loading samples, hence leading to fiber shortening. Other intrinsic factors like the degree of adhesion and mean orientation of the bagasse also affect the fracture mode of the composite.184 Delgado-Aguilar et al., calculated a fiber tensile strength factor (FTSF) to understand the role played by fiber in the tensile strength of the composite, wherever the experimental values deviated from the theoretical values as per modified ROM. Further contributions of interfacial shear strength (ISS) were evaluated using a modified Kelly–Tyson model with Bowyer–Bader solution, with an assumption that the strain of fiber, matrix, and composite are the same. They also adhered to the conclusion that increased loading after a limit affected the morphology of reinforcement in the composite due to attrition, which in turn affected the ISS due to changes in the critical length.185
3.2.3. Mechanical properties related to impact.
Under the stress and strain conditions, the loads applied (whether axially or transversally) are gradual and unidirectional, hence measuring the resistance to stretch or bend. But, when a sudden, high-intensity load or force is applied to a material, it may affect or deform it rapidly. Therefore, the impact strength of any formulated composite is studied, which measures the resistance to these impulsive shocks, evaluating the composite's stability, which helps support the use of these reinforced composites specifically. Fig. 14 compares the impact strength of various composites of vetiver in different resins. In Fig. 14(I) we can see that the alkali-treated fibers have shown the greatest impact resistance as compared with the non-treated ones.178 Similarly, in Fig. 14(II) the VRCP2-coded composites have higher performances in this test.180 The effect of fiber loading was also prominent in other reports, where 20 wt% of Napier grass fiber loading had the highest impact strength in epoxy resin.81 The use of SiO2 fillers in PLA matrix, for corn stalk fiber was also optimized, since the impact strength improved by a good margin.111 These then suggest optimization for various grass-reinforced composites, particularly to improve the impact resistance.80,85,86,102,104,146,172,186,187
 |
| | Fig. 14 Impact behavior of (I) vetiver-reinforced soy, and (II) vetiver-reinforced cowpea composites as adapted from Pattnaik et al.178,180 Reproduced from ref. 178, with permission from [John Wiley and Sons], copyright [2025] and ref. 180, with permission from [Royal Society of Chemistry], copyright [2025]. | |
3.2.4. Mechanical performances under varying temperatures and thermal degradation.
Understanding the mechanical performance and dimensional stability of fabricated composites at elevated temperatures is crucial, as heat can compromise structural integrity and longevity through matrix softening, fiber–matrix de-bonding, and potential thermal decomposition, ultimately leading to diminished strength and stiffness. Techniques such as thermogravimetric analysis (TGA), differential scanning calorimetry (DSC), thermal conductivity measurements, and dynamic mechanical analysis (DMA) are essential for optimizing the application of grass fiber-reinforced composites.83 In TGA and DSC, the application of heat can soften the matrix or char the grass fibers, significantly impacting the mechanical performance; this is evidenced in vetiver composites, which exhibit substantial mass loss between 250–300 °C (Fig. 15(I and III)).67
 |
| | Fig. 15 Thermal behavior assessment of vetiver-reinforced soy resin composites through (I) TGA and (II) DMA. A similar assessment was seen for vetiver-reinforced cowpea resin composites in (III) TGA and (IV) DMA.67,178,180 Reproduced from ref. 67, with permission from [Springer Nature], copyright [2025], ref. 178 with permission from [John Wiley and Sons], copyright [2025] and ref. 180, with permission from [Royal Society of Chemistry], copyright [2025]. | |
Thermal conductivity assessments quantify heat flow through the composite under controlled temperature gradients, providing insights into heat insulation properties.132,140,170,171,188 Conversely, DMA evaluates mechanical properties as a function of temperature, frequency, and time through oscillatory stress application.189 As illustrated in Fig. 15(II and IV), the damping factor (tan
δ) for optimized composites like AVS and VRCP2 indicates increased viscoelasticity and potential weaknesses at elevated temperatures. Additionally, higher storage moduli reflect the rigidity of composites at lower temperatures, around 40–60 °C.178,180
3.2.5. Dimensional stability under water/moisture conditions.
Moisture is a critical consideration in the fabrication of natural fiber-reinforced composites, as the high cellulose content in fibers readily absorbs ambient water. This leads to fiber swelling via capillary action, potentially causing matrix de-bonding and crack propagation, ultimately diminishing mechanical performance. The hydrophilicity of these composites can be assessed using various methodologies, including contact angle measurements, percentage swelling, and weight changes due to moisture/water absorption.90,93,104,112,122,139,146,160 In contact angle testing, a water droplet is placed on the composite surface, and the angle of contact is recorded using a camera; a smaller angle indicates greater hydrophilicity.190 As illustrated in Fig. 16(I and V), vetiver fiber composites exhibit less acute contact angles, signifying moderate hydrophobicity post-optimization.67,180 Additionally, comparisons of weight and thickness after 24 hours of immersion in water (Fig. 16(II and VI)) provide insights into the dimensional stability of the composites. Given that high relative humidity (RH) is prevalent in tropical and subtropical regions, materials must demonstrate moisture resilience. Furthermore, moisture absorption in grass fiber composites fosters microbial growth, facilitating biodegradation at end-of-life. Key parameters, such as moisture diffusion coefficients and uptake percentages for vetiver fiber-reinforced composites, are detailed in Fig. 16(III and IV).178,180
 |
| | Fig. 16 Assessment of water and moisture absorption behavior for vetiver fiber-reinforced composites. (I, II, III and IV) are the contact angle, % water absorption through weight and thickness, and % moisture absorption at 75% RH and 95% RH, respectively for various vetiver-reinforced soy composites. (V, VI) represent the contact angle and % water absorption through weight and thickness, respectively for various vetiver-reinforced cowpea composites.67,178,180 Reproduced from ref. 67, with permission from [Springer Nature], copyright [2025], ref. 178 with permission from [John Wiley and Sons], copyright [2025] and ref. 180, with permission from [Royal Society of Chemistry], copyright [2025]. | |
3.2.6. Extent of biodegradability assessment.
Biodegradability assessment of grass fiber-reinforced composites is crucial for evaluating their environmental impact and sustainability, along with marginally compromised mechanical strengths. Various tests are employed to measure biodegradation, including soil burial tests, composting trials, and controlled laboratory degradation studies through accelerated weathering.191 But, it is important to carry out these tests as per the standardized methods from various standard agencies like ASTM, ISO, etc., as it is still debatable to call a material fully biodegradable.192,193
In soil burial tests, samples are buried in a natural environment, and their mass loss is monitored over time to assess microbial activity and degradation rates. Composting trials involve placing composites in a controlled compost environment, where temperature, moisture, and microbial activity facilitate decomposition. This method provides insights into how the materials break down under conditions mimicking end-of-life scenarios.
Other natural environments include sea-water conditions, high UV-light exposure, or even attacks of pests like termites and other wood borers.178,194 Laboratory studies may utilize techniques of scanning electron microscopy (SEM) to analyze changes in morphology before and after degradation and microbial colonization (Fig. 17). Post-degradation analysis of mechanical strengths and their comparison can also help improve the materials, for the development of more sustainable yet strong composite materials and their end-of-life management strategies, which fits perfectly with the principles of green chemistry on developing safer designs with the use of renewable feedstock.195
 |
| | Fig. 17 Biodegradability assessment through morphological studies via FESEM. (I) Shows the vetiver-reinforced soy composite surface (a) before degradation, (b) after microbial degradation, (c and d) after sea-water aging, (e) after termite attack surface, and (f) its FESEM study. (II) portrays the vetiver reinforced cowpea composite's (a) before degradation surface, (b) after soil burial degradation, and (c and d) fungal degradation of the resin and the composite surface.67,178,180 Reproduced from ref. 67, with permission from [Springer Nature], copyright [2025], ref. 178 with permission from [John Wiley and Sons], copyright [2025] and ref. 180, with permission from [Royal Society of Chemistry], copyright [2025]. | |
4. Application of grass fiber-reinforced composites
The majority of the grass fiber-reinforced composites like bagasse, corn, rice, sabai, etc., are gaining significant attention in various industries due to their sustainable nature, lightweight characteristics, and mechanical properties. These biocomposites, made from grasses that were earlier considered worthless, offer a range of applications across multiple sectors as shown in Fig. 18, and are discussed in the following section.
 |
| | Fig. 18 Various application sectors of different grass fiber-reinforced composites. | |
4.1. Automotive industry
The automotive industry increasingly demands lightweight fiber-reinforced composites to enhance fuel efficiency and performance. This shift has prompted automakers to seek sustainable alternatives to traditional synthetic materials. Such composites reduce the overall weight of vehicles and minimize their carbon footprint in the long run, as they are biodegradable and derived from renewable resources. These materials are widely utilized in interior components such as door panels, dashboards, seat backs, brake pads, and linings.83,110,179 Marichelvam et al. developed automotive dashboards using a hybrid epoxy composite reinforced with palm sheath and sugarcane bagasse, achieving a tensile strength of 19.80 ± 0.78 MPa, Young's modulus of 0.953 ± 0.076 GPa, a flexural strength of 28.79 MPa, impact strength of 2 kJ m−2, and a hardness value of 38.02 HD.35 Similarly, Kumar et al. fabricated brake pads using Napier grass fiber reinforced with epoxy resin, with thermal stability being optimal at a 20% Napier fiber composition.196 Since they are made from hybrid epoxy resin, their degradability will take longer time (increased shelf-life), along with the utilization of cheap grass fibers. This, therefore, helps in developing a sustainable product, not only biomass-wise but also economy-wise.
4.2. Construction and building materials
In the construction industry, grass fiber-reinforced composites are widely used in the production of panels, insulation materials, and other structural components. The combination of the fibers’ inherent strength and the biopolymer matrix's flexibility makes these composites ideal for applications requiring durability and environmental sustainability. They are commonly employed in lightweight partition walls, ceiling panels, flooring systems, and light panels.170,172,197 These composites also provide superior thermal insulation and sound absorption due to their porous and hollow internal structures compared with traditional materials, contributing to improved energy efficiency in buildings.71,126,132 For example, Mehrzad et al. developed an eco-friendly and cost-effective thermal insulation and sound-absorbing material from sugarcane bagasse waste fiber reinforced with polyvinyl alcohol. The thermal conductivity of the specimens ranged between 0.034 and 0.042 W m−1 K−1, while their sound absorption average (SAA) and noise reduction coefficient (NRC) values were between 0.26–0.64 and 0.27–0.62, respectively.198 Similarly, Marques et al. fabricated sustainable building walls using rice straw bales, with comprehensive evaluations conducted on thermal conductivity, water vapor permeability, water absorption, and acoustic performance through airflow resistivity measurements.199 These studies point out the effectiveness of grass fibers as good sound and heat absorbers.
4.3. Packaging industry
The packaging industry is another sector where grass fiber-reinforced composites are driving significant change. With a growing demand for sustainable and environmentally friendly packaging solutions, these biocomposites are excellent alternatives. They are utilized in the production of biodegradable containers, trays, and films.92,129,161 The natural fibers or cellulose in these materials enhance their strength, making them suitable for protecting goods during transportation while also being compostable at the end of their lifecycle.23,119,151 For instance, Tibalia et al. developed biodegradable food containers from rice straw and sugarcane bagasse, incorporating orange peel for improved properties. The rice straw container achieved optimal water absorption at 11.02% with 10% (w/w) orange peel, while the best tensile strength was recorded at 6.592 MPa for bagasse containers and 4.3812 MPa for rice straw containers, both with 10% (w/w) orange peel.200 Moderate water absorption increases the shelf life of the container, yet also facilitates microbe action in composting conditions which will increase its degradability. Similarly, Aguirre et al. created biodegradable trays using cassava starch and corn husk flour, enhanced with additives like glycerol, potassium stearate, and guar gum in varying concentrations.201 All the components are almost non-cytotoxic and are safe to use as food packaging solutions.
4.4. Consumer goods
In the realm of consumer goods, there is increasing prominence for manufacturing a wide range of everyday products, from household items to sports equipment. These composites are particularly suitable for applications requiring a balance of strength, flexibility, and biodegradability.146,202 Examples include disposable utensils like spoons and plates. For instance, Rusdianto et al. developed a biodegradable spoon using cassava starch, glycerol, and bagasse, with the moisture content of the ingredients ranging between 3.78% and 2.16%. The solubility time of the biodegradable spoon in water increased, with the maximum recorded time being 79 hours and 50 minutes.203 Additionally, there is a growing focus on developing biodegradable materials for 3D printing. Islam et al. designed 3D-printable biocomposites using corn husk fibers and corn starch-derived resin, achieving tunable mechanical properties with up to a 3.3-fold increase, making them viable alternatives to petroleum-based plastics for engineering applications.204
4.5. Agricultural applications
In agriculture, grass fiber-reinforced biocomposites are widely used for producing biodegradable pots, mulch films, and other farming tools.128,205,206 The biodegradable nature of these materials allows them to decompose naturally in the soil, reducing waste and enhancing soil health. Additionally, these biocomposites are being explored for erosion control applications, such as biodegradable mats that stabilize soil and promote vegetation growth on slopes and embankments.207 For example, Boadu et al. developed biodegradable plant containers using corn husk fibers, which exhibited high water absorption (203.33%) and significant thickness swelling (41.63%). These containers biodegrade within 60 days in the soil, prevent root circling, and promote plant growth, contributing to advancements in modern agriculture.208 Similarly, Fuentes et al. designed biodegradable sapling pots using materials such as gelatin, corn- and wheat-waste flour, sunflower seed husks, rice husks, yerba mate waste, and used paper. Gelatin-based containers not only served as plantable pots but also acted as fertilizers, promoting greater plant growth compared with other containers. Meanwhile, pots made from wheat and corn-waste flour or paper biocomposites functioned as compostable options.209 This discussion suggests positive affirmations towards the use of many of these grass fibers in sustainable advanced materials. They have also been used in many traditional applications and some of these, along with non-conventional uses of various grass fibers, have been picturized in Fig. 19.
 |
| | Fig. 19 Various uses (traditional and non-conventional) of grass fiber and its reinforced composites, ranging from aesthetic products to furniture and construction materials. | |
5. Current research challenges and future perspectives
The use of grass fibers in the composite fabrication field comes with its limitations too, which require immediate attention. A flowchart explaining the current research challenges and future perspectives of grass fiber-reinforced composites has been presented in Fig. 20. These are discussed as follows.
 |
| | Fig. 20 Algorithm explaining the current research challenges and future perspectives of grass fiber-reinforced composites. | |
5.1. Current research challenges in grass fiber-reinforced composites
5.1.1. Fiber–matrix compatibility.
One of the most significant challenges in the development of grass fiber-reinforced composites is ensuring compatibility between the fibers and the polymer matrix. Grass fibers have hydrophilic properties, while most polymer matrices, especially synthetic ones, are hydrophobic. This difference in properties can lead to poor interfacial bonding, resulting in reduced mechanical performance of the composite. Surface treatments or coupling agents are often required to improve adhesion, but these can add complexity and cost to the manufacturing process.67,195,210
5.1.2. Variability in fiber properties.
Grass fibers, like all natural fibers, exhibit variability in their mechanical properties due to differences in plant species, growing conditions, and harvesting methods. This inconsistency poses a challenge for researchers and manufacturers seeking to produce biocomposites with predictable and uniform properties. Standardization of fiber processing techniques is needed to minimize this variability and ensure that the resulting composites meet the required performance standards.13
5.1.3. Durability and environmental resistance.
The long-term durability and environmental resistance of grass fiber-reinforced composites are still areas of concern. Exposure to moisture, UV radiation, and biological agents can lead to degradation of the fibers and the matrix, compromising the structural integrity of the composite. Research is ongoing to develop treatments and coatings that can enhance the durability of these materials, but achieving a balance between biodegradability and long-term performance remains a challenge.67,178
5.1.4. Processing techniques for composite fabrication.
Processing grass fiber-reinforced biocomposites involves several challenges, including fiber dispersion, orientation, and the control of fiber content within the matrix. Achieving uniform dispersion and optimal fiber orientation is critical for maximizing the mechanical properties of the composite. Current processing techniques, such as extrusion, injection moulding, and compression moulding, can struggle to handle the irregular shape and size of grass fiber.99,108,165,180 Additionally, processing at high temperatures can also lead to thermal degradation of natural fibers, limiting the types of polymers that can be used.
5.1.5. Cost competitiveness.
For grass fiber-reinforced composites to be widely adopted, they must be cost-competitive with traditional composites and materials. Although the cost of grass fibers is negligible, the cost of matrix material and its processing significantly increases. Research is needed to develop cost-effective production methods and to identify native fiber sources or treatments that do not compromise the material's performance.211
5.2. Future perspectives of grass fiber-reinforced biocomposites
5.2.1. Development of bio-based matrices.
Future research will likely focus on developing fully bio-based composites by using natural fibers and bio-based polymer matrices. This would enhance the environmental benefits of the composites, making them even more attractive for applications where sustainability is a priority. These advances, including developing new polymers with improved mechanical and thermal properties, will play a key role in improvement.178,180
5.2.2. Nanotechnology integration.
Incorporating nanomaterials, such as cellulose nanocrystals or carbon nanotubes, into grass fiber-reinforced biocomposites could significantly enhance their mechanical, thermal, and barrier properties.100,101,116,119,212 Nanotechnology could also offer solutions to the problem of fiber–matrix compatibility at the nanoscale, without the need for extensive chemical treatments.
5.2.3. Functionalization of fibers.
Future research may explore the functionalization of grass fibers to impart additional properties to the composites, such as antimicrobial activity, flame retardancy, or enhanced UV resistance. This could open up new applications for these materials in industries like healthcare, construction, and packaging. Functionalized fibers could be achieved through various chemical treatments or by incorporating functional additives during the fiber extraction process.80,158
5.2.4. Life cycle analysis and sustainability studies.
As the use of grass fiber-reinforced biocomposites grows, it will be important to conduct comprehensive life cycle analyses (LCA) to assess their environmental impact compared with traditional materials. Research in this area could help identify the most sustainable fiber sources, processing methods, and end-of-life disposal options. LCA studies will also be crucial for informing policy decisions and promoting the adoption of these materials in industries seeking to reduce their environmental footprint.93,213
5.2.5. Scale-up and commercialization.
Scaling up the production of grass fiber-reinforced biocomposites to meet industrial demand is another important aspect. Research will need to focus on optimizing production processes for large-scale manufacturing, ensuring that the composites can be produced consistently and cost-effectively. Collaborations between academic researchers, industry partners, and policymakers will be essential to overcome the barriers to commercialization and promote sustainability. A brief summary of all the strengths, weaknesses, opportunities, and threats (SWOT analysis) related to grass fiber-reinforced composites has been algorithmically presented in Fig. 21.
 |
| | Fig. 21 Diagrammatic representation of SWOT analysis for utilization of grass-reinforced composites. | |
6. Conclusion
Grass fiber-reinforced composites stand as a beacon of innovation in the quest for sustainable materials, embodying the harmonious blend of nature and technology. As the world pivots towards greener alternatives, these biocomposites offer a compelling solution, marrying the eco-friendly virtues of natural fibers with the performance needs of modern engineering. Their ability to significantly diminish environmental footprints, while maintaining or even enhancing mechanical properties, renders them versatile across various sectors, including the automotive industry, construction, packaging, and consumer goods. Yet, the road to widespread adoption is not without its challenges. The intricate dance between fiber and matrix, the natural variability of grass fibers, and the durability of these composites under the rigors of real-world conditions pose significant hurdles. Despite these challenges, the field is ripe with potential. Advances in bio-based polymer matrices, the integration of nanotechnology, and innovations in cost-effective processing methods are paving the way for these materials to reach their full potential. As research continues to push the boundaries, grass fiber-reinforced biocomposites are set to become a cornerstone in the evolution of sustainable materials, heralding a new era where ecological responsibility and technological advancement walk hand in hand.
Author contributions
Shruti S. Pattnaik: conceptualization, formal analysis, investigation, writing – original draft, writing – review & editing. Diptiranjan Behera: conceptualization, methodology, writing – original draft, review & editing. Debasis Nanda: writing – review & editing. Nigamananda Das: formal analysis, Ajaya K. Behera: supervision, visualization, formal analysis, editing – original draft.
Data availability
The data that support the findings of this study are available from the corresponding author [Behera, A. K.] upon reasonable request.
Conflicts of interest
The authors declare that they have no conflict of interest.
Acknowledgements
This research did not receive any specific grant from any funding agencies. We are very grateful to the Department of Chemistry, Utkal University, Odisha for helping us carry out the work and providing us with the necessary resources.
References
- V. Mazzanti, M. S. de Luna, R. Pariante, F. Mollica and G. Filippone, Composites, Part A, 2020, 137, 105990, DOI:10.1016/j.compositesa.2020.105990.
- D. Behera, S. S. Pattnaik, D. Nanda, P. Parhi and A. K. Behera, Biomass Convers. Biorefin., 2024, 1–12, DOI:10.1007/s13399-024-06107-x.
- A. K. Behera, S. Avancha, R. Sen and B. Adhikari, Polym.-Plast. Technol. Eng., 2013, 52, 833–840, DOI:10.1080/03602559.2013.763354.
- Y. Seki, F. Selli, U. H. Erdoğan, M. Atagür and M. O. Seydibeyoğlu, Cellulose, 2022, 29, 4877–4918, DOI:10.1007/s10570-022-04597-4.
- W. He, R. Wang, Q. Pang, Z. Dai, S. Liang, B. Wei and Q. Fu, Green Chem., 2023, 25, 9413–9421, 10.1039/D3GC02791K.
- A. K. Behera and S. Manna, Polym. Compos., 2022, 43, 1546–1556, DOI:10.1002/pc.26475.
- S. Kumar, R. Das and S. K. Parida, AIP Conf. Proc., 2023, 2704, DOI:10.1063/5.0144142.
- F. E. El-Abbassi, M. Assarar, R. Ayad, A. Bourmaud and C. Baley, Composites, Part A, 2020, 128, 105677, DOI:10.1016/j.compositesa.2019.105677.
- A. Taurbekov, B. Kaidar, A. Baltabay, A. Imash, W. B. Ko, J. W. Ko, M. Atamanov, Z. Mansurov and G. Smagulova, Appl. Sci., 2024, 14, 6680, DOI:10.3390/app14156680.
- R. Chandhasa, J. Boonpracha, S. Jerasilp and P. Wongtanasuporn, Asian Soc. Sci., 2017, 13(12), 77–85, DOI:10.5539/ASS.V13N12P77.
- A. C. Tay and P. Ratnam, IOP Conf. Ser.: Mater. Sci. Eng., 2020, 943, 012025, DOI:10.1088/1757-899X/943/1/012025.
- R. Vijay, A. Vinod, D. L. Singaravelu, M. R. Sanjay and S. Siengchin, Int. J. Lightweight Mater. Manuf., 2021, 4, 43–49, DOI:10.1016/j.ijlmm.2020.06.008.
- M. Z. Islam, M. E. Sarker, M. M. Rahman, M. R. Islam, A. F. Ahmed, M. S. Mahmud and M. Syduzzaman, J. Reinf. Plast. Compos., 2022, 41, 526–557, DOI:10.1177/07316844211058708.
- R. Ganesamoorthy, R. M. Reddy, T. Raja, P. K. Panda, S. Dhoria, O. Nasif, S. Alfarraj, V. Manikandan and I. Jenish, Adv. Mater. Sci. Eng., 2021, 1, 6907631, DOI:10.1155/2021/6907631.
-
C. S. Campbell, Poaceae, Encyclopedia Britannica, 2024. https://www.britannica.com/plant/Poaceae Search PubMed.
- M. V. Shavanov, IOP Conf., Ser.: Earth Environ. Sci., 2021, 624, 012111, DOI:10.1088/1755-1315/624/1/012111.
- J. C. Preston and S. Fjellheim, Plant Physiol., 2020, 183, 822–839, DOI:10.1104/pp.20.00100.
- E. Baiakhmetov, C. Guyomar, E. Shelest, M. Nobis and P. D. Gudkova, Sci. Rep., 2021, 11, 15345, DOI:10.1038/s41598-021-94068-w.
- F. Maclot, V. Debue, C. M. Malmstrom, D. Filloux, P. Roumagnac, M. Eck, L. Tamisier, A. G. Blouin, T. Candresse and S. Massart, Microbiol. Spectrum, 2023, 11, e04850–22, DOI:10.1128/spectrum.04850-22.
- D. Wang, Z. Yuan, Y. Cai, D. Jing, F. Liu, Y. Tang, N. Song, Y. Li, C. Zhao and X. Fu, J. Environ. Manage., 2021, 285, 112165, DOI:10.1016/j.jenvman.2021.112165.
- J. Li, X. Yuan, L. Ge, Q. Li, Z. Li, L. Wang and Y. Liu, Agric., Ecosyst. Environ., 2020, 304, 107126, DOI:10.1016/j.agee.2020.107126.
- F. Pattnaik, S. Nanda, V. Kumar, S. Naik and A. K. Dalai, Fuel, 2022, 311, 122618, DOI:10.1016/j.fuel.2021.122618.
- B. K. Dejene and A. D. Gudayu, Polym.-Plast. Technol. Mater., 2024, 1–37, DOI:10.1080/25740881.2024.2350686.
- A. K. Bhunia, D. Mondal, S. M. Parui and A. K. Mondal, Sci. Rep., 2023, 13, 9699, DOI:10.1038/s41598-023-35888-w.
- E. B. Duell, D. W. Londe, K. R. Hickman, M. J. Greer and G. W. Wilson, Plant Ecol., 2021, 222, 993–1006, DOI:10.1007/s11258-021-01156-y.
- M. K. Jha, P. P. Das, V. Pandey, P. Gupta, V. Chaudhary and S. Gupta, Biomass Convers. Biorefin., 2024, 14, 15769–15783, DOI:10.1007/s13399-022-03622-7.
- M. K. Smith, D. M. Paleri, M. Abdelwahab, D. F. Mielewski, M. Misra and A. K. Mohanty, Green Chem., 2020, 22, 3906–3916, 10.1039/D0GC00365D.
- M. Asim, M. T. Paridah, M. Chandrasekar, R. M. Shahroze, M. Jawaid, M. Nasir and R. Siakeng, Iran. Polym. J., 2020, 29, 625–648, DOI:10.1007/s13726-020-00824-6.
- J. S. Neto, H. F. de Queiroz, R. A. Aguiar and M. D. Banea, Polymers, 2021, 13, 4425, DOI:10.3390/polym13244425.
- N. I. N. Haris, M. Z. Hassan, R. A. Ilyas, M. A. Suhot, S. M. Sapuan, R. Dolah and M. R. M. Asyraf, J. Mater. Res. Technol., 2022, 19, 167–182, DOI:10.1016/j.jmrt.2022.04.155.
- B. K. Venkatesha, S. P. Kumar, R. Saravanan and A. Ishak, IOP Conf. Ser.: Mater. Sci. Eng., 2020, 1003, 012087, DOI:10.1016/j.matpr.2021.08.202.
- M. M. Ahmed, H. N. Dhakal, Z. Y. Zhang, A. Barouni and R. Zahari, Compos. Struct., 2021, 259, 113496, DOI:10.1016/j.compstruct.2020.113496.
- B. Ali, M. Azab, H. Ahmed, R. Kurda, M. H. El Ouni and A. B. Elhag, J. Build. Eng., 2022, 61, 105024, DOI:10.1016/j.jobe.2022.105024.
- J. Gan, Q. Gao, F. Zhang, W. Yu and Q. Lin, Ind. Crops Prod., 2024, 222, 119640, DOI:10.1016/j.indcrop.2024.119640.
- M. K. Marichelvam, P. Manimaran, A. Verma, M. R. Sanjay, S. Siengchin, K. Kandakodeeswaran and M. Geetha, Polym. Compos., 2021, 42, 512–521, DOI:10.1002/pc.25843.
- S. Gairola, S. Sinha and I. Singh, Ind. Crops Prod., 2022, 182, 114891, DOI:10.1016/j.indcrop.2022.114891.
- A. Vinod, M. R. Sanjay and S. Siengchin, Ind. Crops Prod., 2023, 192, 116099, DOI:10.1016/j.indcrop.2022.116099.
- S. Olhan, V. Khatkar and B. K. Behera, J. Mater. Sci., 2021, 1–44, DOI:10.1007/s10853-021-06509-6.
- T. Sippach, H. Dahy, K. Uhlig, B. Grisin, S. Carosella and P. Middendorf, Polymers, 2020, 12, 3048, DOI:10.3390/polym12123048.
- P. Roy, A. Rodriguez-Uribe, A. K. Mohanty, D. Pujari, M. Tiessen, A. Bali and M. Misra, Sustainability, 2024, 16, 5633, DOI:10.3390/su16135633.
-
M. Misra, J. K. Pandey and A. Mohanty, Biocomposites: Design and Mechanical Performance, Woodhead Publ., 2015 Search PubMed.
- M. Fazeli, S. Mukherjee, H. Baniasadi, R. Abidnejad, M. Mujtaba, J. Lipponen and O. J. Rojas, Green Chem., 2024, 26, 593–630, 10.1039/D3GC03154C.
- C. W. Weyhrich, S. P. Petrova, K. J. Edgar and T. E. Long, Green Chem., 2023, 25, 106–129, 10.1039/D2GC03384D.
- O. Akampumuza, P. M. Wambua, A. Ahmed, W. Li and X. H. Qin, Polym. Compos., 2017, 38, 2553–2569, DOI:10.1002/pc.23847.
- H. Ahmad, G. Chhipi-Shrestha, K. Hewage and R. Sadiq, Sustainability, 2022, 14, 15905, DOI:10.3390/su142315905.
- D. Merino, A. I. Quilez-Molina, G. Perotto, A. Bassani, G. Spigno and A. Athanassiou, Green Chem., 2022, 24, 4703–4727, 10.1039/D1GC03904K.
- W. A. da Silva, C. B. B. Luna, J. B. de Melo, E. M. Araujo, E. A. D. S. Filho and R. N. C. Duarte, J. Polym. Environ., 2021, 29, 2932–2951, DOI:10.1007/s10924-021-02076-8.
- T. Rahaman, S. Biswas, S. Ghorai, S. Bera, S. Dey, S. Guha and M. Das, Renewable Sustainable Energy Rev., 2023, 187, 113738, DOI:10.1016/j.rser.2023.113738.
- P. A. K. Eastman, N. G. Dengler and C. A. Peterson, Protoplasma, 1988, 142, 92–111, DOI:10.1007/BF01290867.
- R. D. Hatfield, D. M. Rancour and J. M. Marita, Front. Plant Sci., 2017, 7, 2056, DOI:10.3389/fpls.2016.02056.
- X. Gao, D. Zhu, S. Fan, M. Z. Rahman, S. Guo and F. Chen, J. Mater. Res. Technol., 2022, 19, 1162–1190, DOI:10.1016/j.jmrt.2022.05.077.
- F. Wang and Z. Shao, Ind. Crops Prod., 2020, 152, 112521, DOI:10.1016/j.indcrop.2020.112521.
- D. Liu, J. Song, D. P. Anderson, P. R. Chang and Y. Hua, Cellulose, 2012, 19, 1449–1480, DOI:10.1007/s10570-012-9741-1.
- V. P. Kommula, K. O. Reddy, M. Shukla, T. Marwala, E. S. Reddy and A. V. Rajulu, Int. J. Polym. Anal. Charact., 2016, 21, 18–28, DOI:10.1080/1023666X.2015.1089650.
- K. O. Reddy, C. U. Maheswari, M. Shukla and A. V. Rajulu, Mater. Lett., 2012, 67, 35–38, DOI:10.1016/j.matlet.2011.09.027.
- A. Noori, Y. Lu, P. Saffari, J. Liu and J. Ke, Constr. Build. Mater., 2021, 279, 122519, DOI:10.1016/j.conbuildmat.2021.122519.
- A. A. Mohammed, Z. Hasan, A. A. B. Omran, V. V. Kumar, A. M. Elfaghi, R. A. Ilyas and S. M. Sapuan, Polymers, 2022, 14, 4396, DOI:10.3390/polym14204396.
- P. Sahu and M. K. Gupta, Proc. Inst. Mech. Eng., Part L, 2020, 234, 198–217, DOI:10.1177/1464420719875163.
- Y. Huang, J. Tan, X. Xuan, L. Liu, M. Xie, H. Liu and G. Zheng, Mater. Chem. Phys., 2021, 262, 124304, DOI:10.1016/j.matchemphys.2021.124304.
- H. Al Abdallah, B. Abu-Jdayil and M. Z. Iqbal, J. Cleaner Prod., 2022, 346, 131242, DOI:10.1016/j.jclepro.2022.131242.
- R. Sukmawan, M. Kusmono and M. W. Wildan, ACS Omega, 2023, 8(30), 27117–27126, DOI:10.1021/acsomega.3c02178.
- S. N. A. Safri, M. T. H. Sultan and A. U. M. Shah, J. Mater. Res. Technol., 2020, 9(5), 11563–11573, DOI:10.1016/j.jmrt.2020.08.057.
-
S. S. Pattnaik, A. K. Behera and N. Das, Interfacial Bonding Characteristics in Natural Fiber Reinforced Polymer Composites. Composites Science and Technology, in Spectroscopic Analysis of Interfacial Adhesion in Natural Fibre Polymer Composites, ed. S. Krishnasamy, M. Hemath Kumar, J. Parameswaranpillai, S. Mavinkere Rangappa and S. Siengchin, Springer Nature, Singapore, 2024, pp. 79–96. DOI:10.1007/978-981-99-8327-8_4.
-
A. N. Azammi, R. A. Ilyas, S. M. Sapuan, R. Ibrahim, M. S. N. Atikah, M. Asrofi and A. Atiqah, Interfaces in particle and fibre reinforced composites, Woodhead Publishing, 2020, pp. 29–93. DOI:10.1016/B978-0-08-102665-6.00003-0.
- M. Pokhriyal, P. K. Rakesh, S. M. Rangappa and S. Siengchin, Biomass Convers. Biorefin., 2024, 14(16), 18481–18497, DOI:10.1007/s13399-023-03843-4.
- P. Sabarinathan, K. Rajkumar, V. E. Annamalai and K. Vishal, Int. J. Biol. Macromol., 2020, 163, 2457–2464, DOI:10.1016/j.ijbiomac.2020.09.159.
- S. S. Pattnaik, S. K. Mohapatra, C. Mohanty, A. K. Behera and B. C. Tripathy, Fibers Polym., 2023, 24(1), 265–274, DOI:10.1007/s12221-023-00085-z.
- K. M. M. Rao, A. R. Prasad, M. R. Babu, K. M. Rao and A. V. S. S. K. S. Gupta, J. Mater. Sci., 2007, 42, 3266–3272, DOI:10.1007/s10853-006-0657-8.
- N. Reddy and Y. Yang, J. Agric. Food Chem., 2007, 55(21), 8570–8575, DOI:10.1021/jf071470g.
- Y. Liu, J. Xie, N. Wu, Y. Ma, C. Menon and J. Tong, Cellulose, 2019, 26, 4707–4719, DOI:10.1007/s10570-019-02429-6.
- V. Guna, M. Ilangovan, K. Adithya, A. Koushik, C. V. Srinivas, S. Yogesh, G. S. Nagananda, K. Venkatesh and N. Reddy, Carbohydr. Polym., 2019, 218, 243–249, DOI:10.1016/j.carbpol.2019.04.085.
- T. Cerchiara, G. Chidichimo, M. C. Gallucci and D. Vuono, Fibers Text. East Eur., 2010, 1, 13–16 Search PubMed.
- G. L. Devnani and S. Sinha, Composites, Part B, 2019, 166, 436–445, DOI:10.1016/j.compositesb.2019.02.042.
- A. Khan, R. Vijay, D. L. Singaravelu, M. R. Sanjay, S. Siengchin, F. Verpoort and A. M. Asiri, J. Nat. Fibers, 2021, 18(11), 1893–1901, DOI:10.1080/15440478.2019.1709110.
- R. Vinayagamoorthy, J. Nat. Fibers, 2019, 16(2), 163–174, DOI:10.1080/15440478.2017.1410513.
- D. Behera, S. S. Pattnaik, D. Nanda, P. P. Mishra, S. Manna and A. K. Behera, Emergent Mater., 2024, 1–16, DOI:10.1007/s42247-024-00832-9.
- K. Salasinska, M. Barczewski, J. Aniśko, A. Hejna and M. Celiński, J. Compos. Sci., 2021, 5(3), 89, DOI:10.3390/jcs5030089.
- V. Vidyashri, H. Lewis, P. Narayanasamy, G. T. Mahesha and K. S. Bhat, Cogent Eng., 2019, 6(1), 1708644, DOI:10.1080/23311916.2019.1708644.
- K. S. Chun, T. Maimunah, C. M. Yeng, T. K. Yeow and O. T. Kiat, J. Phys. Sci., 2020, 31(3), 17–31, DOI:10.21315/jps2020.31.3.2.
- N. R. Kumar, C. R. Rao, P. Srikant and B. R. Rao, Mater. Today Proc., 2015, 2(4–5), 3084–3092, DOI:10.1016/j.matpr.2015.07.251.
- V. P. Kommula, K. O. Reddy, M. Shukla, T. Marwala and A. V. Rajulu, Int. J. Polym. Anal. Charact., 2014, 19(8), 693–708, DOI:10.1080/1023666X.2014.954186.
- C. Ranjan, Z. Ahmed, S. R. Kumar, A. Kumar, A. Kumar and K. Kumar, Mater. Today Proc., 2021, 46, 331–335, DOI:10.1016/j.matpr.2020.08.299.
- N. Kumar, J. S. Grewal, S. Kumar, S. Ali and N. Kumar, Polym. Compos., 2022, 43(1), 215–224, DOI:10.1002/pc.26368.
- S. Kumar, R. Das and S. K. Parida, J. Technol., 2024, 12(4), 419–431 Search PubMed.
- S. Kumar, R. Das and S. K. Parida, Proc. Inst. Mech. Eng., Part C, 2024, 09544062231220533, DOI:10.1177/09544062231220533.
-
T. Mahjabin, M. A. Al Amin and M. Hasan, Proceedings of the 2nd International Conference on Industrial and Mechanical Engineering and Operations Management, 2019.
- D. S. Bavan and G. M. Kumar, Procedia Mater. Sci., 2014, 5, 605–611, DOI:10.1016/j.mspro.2014.07.306.
- S. Natarajan, N. B. Thamba, S. Nandi, K. V. N. Kavitha and S. Ayyagari, IOP Conf. Ser.: Mater. Sci. Eng., 2021, 1123(1), 12048, DOI:10.1088/1757-899X/1123/1/012048.
- P. K. Jena, J. R. Mohanty, S. Nayak, S. K. Khuntia, K. R. Panda and R. Sahu, J. Nat. Fibers, 2022, 19(13), 5152–5162, DOI:10.1080/15440478.2021.1875360.
- K. Jha, P. Tamrakar, R. Kumar, S. Sharma, J. Singh, R. A. Ilyas and S. Siengchin, J. Ind. Text., 2022, 51(2), 2642S–2664S, DOI:10.1177/15280837221098573.
- A. Stalin, S. Mothilal, V. Vignesh, K. J. Nagarajan and T. Karthick, J. Nat. Fibers, 2022, 19(13), 5227–5238, DOI:10.1080/15440478.2021.1875366.
- K. Janyakunmongkol, W. Nhuapeng and W. Thamjaree, J. Mech. Behav. Mater., 2024, 33(1), 20220310, DOI:10.1515/jmbm-2022-0310.
- N. V. Ehman, D. Ita-Nagy, F. E. Felissia, M. E. Vallejos, I. Quispe, M. C. Area and G. Chinga-Carrasco, Molecules, 2020, 25(9), 2158, DOI:10.3390/polym16030419.
- L. M. Coelho Junior, E. P. Santos Júnior, C. F. F. da Silva, B. H. C. de Oliveira, J. B. C. Dantas, J. V. dos Reis and M. Carvalho, Sustain. Environ. Res., 2024, 34(1), 17, DOI:10.1186/s42834-024-00223-z.
- E. O. Ajala, J. O. Ighalo, M. A. Ajala, A. G. Adeniyi and A. M. Ayanshola, Bioresour. Bioprocess., 2021, 8, 1–25, DOI:10.1186/s40643-021-00440-z.
- A. Kumar, V. Kumar and B. Singh, Int. J. Biol. Macromol., 2021, 169, 564–582, DOI:10.1016/j.ijbiomac.2020.12.175.
- R. V. Singh, P. Sharma and K. Sambyal, Circ. Econ. Sustainability, 2022, 2, 1479–1500, DOI:10.1007/s43615-022-00167-9.
- M. Jalalah, Z. Khaliq, Z. Ali, A. Ahmad, M. B. Qadir, A. Afzal and F. A. Harraz, Sustainability, 2022, 14(24), 16450, DOI:10.3390/su142416450.
- A. M. Jiménez, M. Delgado-Aguilar, Q. Tarrés, G. C. Quintana, P. Fullana-i-Palmer, P. Mutjé and F. X. Espinach, Bioresources, 2017, 12(2), 3618–3629, DOI:10.15376/biores.12.2.3618-3629.
- M. Asrofi and E. S. Sujito, Int. J. Progr. Sci. Technol., 2019, 18(1), 1–4 Search PubMed
https://ijpsat.ijsht-journals.org
.
- M. Asrofi, S. Sujito, E. Syafri, S. M. Sapuan and R. A. Ilyas, Key Eng. Mater., 2020, 849, 96–101, DOI:10.4028/www.scientific.net/KEM.849.96.
-
P. Kumari, A. Alam and Saahil, Recent Developments in Mechanics and Design, Springer Nature Singapore, 2022, pp. 203–212. DOI:10.1007/978-981-19-4140-5_17.
- M. M. Prasad, S. M. Sutharsan, K. Ganesan, N. R. Babu and T. Maridurai, Biomass Convers. Biorefin., 2022, 1–11 Search PubMed
https://link.springer.com/article/10.1007%2Fs13399-021-02154-w
.
- M. A. Mahmud, S. A. Belal and M. A. Gafur, J. Mater. Res. Technol., 2023, 24, 1856–1874, DOI:10.1016/j.jmrt.2023.03.083.
- M. K. Moghaddam, F. G. Gheshlagh and M. Moezzi, Int. J. Biol. Macromol., 2024, 264, 130669, DOI:10.1016/j.ijbiomac.2024.130669.
- A. C. F. Louis and S. Venkatachalam, Int. J. Biol. Macromol., 2020, 163, 260–269, DOI:10.1016/j.ijbiomac.2020.06.276.
- D. Sartika, A. P. Firmansyah, I. Junais, I. W. Arnata, F. Fahma and A. Firmanda, Int. J. Biol. Macromol., 2023, 240, 124327, DOI:10.1016/j.ijbiomac.2023.124327.
- Q. Tarrés and M. Ardanuy, Polymers, 2020, 12(6), 1308, DOI:10.3390/polym12061308.
- K. R. Garadimani, G. U. Raju and K. G. Kodancha, Am. J. Mater. Sci., 2015, 5, 86–91, DOI:10.5923/c.materials.201502.18.
- Y. Liu, J. Xie, N. Wu, L. Wang, Y. Ma and J. Tong, Tribol. Int., 2019, 131, 398–405, DOI:10.1016/j.triboint.2018.11.004.
- H. Luo, Z. Yang, F. Yao, W. Li and Y. Wan, Polym. Polym. Compos., 2020, 28, 170–179, DOI:10.1177/0967391119867236.
- N. H. Sari and S. Suteja, IOP Conf. Ser.: Mater. Sci. Eng., 2020, 722(1), 12035, DOI:10.1088/1757-899X/722/1/012035.
- M. D. Hazrol, S. M. Sapuan, R. A. Ilyas, E. S. Zainudin, M. Y. M. Zuhri and N. I. Abdul, Heliyon, 2023, 9(4), e15153, DOI:10.1016/j.heliyon.2023.e15153.
- V. P. Kommula, K. O. Reddy, M. Shukla, T. Marwala and A. V. Rajulu, Int. J. Polym. Anal. Charact., 2013, 18(4), 303–314, DOI:10.1080/1023666X.2013.784935.
- M. R. Islam, S. C. Garcia, M. A. Islam, M. K. Bashar, A. Roy, B. K. Roy and C. E. F. Clark, Animals, 2024, 14(3), 467, DOI:10.3390/ani14030467.
- O. Somseemee, P. Sae-Oui and C. Siriwong, Ind. Crops Prod., 2021, 171, 113881, DOI:10.1016/j.indcrop.2021.113881.
- D. Maleko, A. Mwilawa, G. Msalya, L. Pasape and K. Mtei, Sci. Afr., 2019, 6, e00214, DOI:10.1016/j.sciaf.2019.e00214.
- B. S. Dien, W. F. Anderson, M. H. Cheng, J. E. Knoll, M. Lamb, P. J. O'Bryan and P. J. Slininger, ACS Sustainable Chem. Eng., 2020, 8(4), 2052–2060, DOI:10.1021/acssuschemeng.9b06637.
- S. Tamta, A. Kumar and D. P. Kushwaha, Int. Soil Water Conserv. Res., 2023, 11(3), 538–548, DOI:10.1016/j.iswcr.2023.02.001.
-
B. P. Singh, H. P. Singh and E. Obeng, Biofuel Crops: Production, Physiology and Genetics, CABI, 2013, pp. 271–291. DOI:10.1079/9781845938857.0271.
-
E. F. Sucinda, M. S. A. Majid, M. J. M. Ridzuan and E. M. Cheng, Intelligent Manufacturing Mechatronics: Proceedings of SympoSIMM 2020, Springer Singapore, 2021, pp. 997–1003. DOI:10.1007/978-981-16-0866-7_87.
- R. Thandavamoorthy and Y. Devarajan, J. Reinf. Plast. Compos., 2024, 07316844241253912, DOI:10.1177/07316844241253912.
- R. P. Sankar, M. Sukumaran and S. Savithri, Biomass Convers. Biorefin., 2024, 14(11), 11829–11847, DOI:10.1007/s13399-022-03508-8.
- K. Malik, J. Tokkas, R. C. Anand and N. Kumari, J. Appl. Nat. Sci., 2015, 7(1), 514–520, DOI:10.31018/jans.v7i1.640.
- G. Singh, M. K. Gupta, S. Chaurasiya, V. S. Sharma and D. Y. Pimenov, Environ. Sci. Pollut. Res., 2021, 28(25), 32125–32155, DOI:10.1007/s11356-021-14163-3.
- A. S. Madival, R. Shetty, D. Doreswamy and S. Maddasani, J. Build. Eng., 2023, 78, 107723, DOI:10.1016/j.jobe.2023.107723.
- A. Sharma, G. Singh and S. K. Arya, J. Cleaner Prod., 2020, 277, 124101, DOI:10.1016/j.jclepro.2020.124101.
- M. Parhizkar, M. Shabanpour, M. E. Lucas-Borja, D. A. Zema, S. Li, N. Tanaka and A. Cerda, Int. J. Sediment Res., 2021, 36(4), 468–478, DOI:10.1016/j.ijsrc.2020.12.002.
- A. Elhussieny, M. Faisal, G. D'Angelo, N. T. Aboulkhair, N. M. Everitt and I. S. Fahim, Ain Shams Eng. J., 2020, 11(4), 1219–1226, DOI:10.1016/j.asej.2020.01.008.
- S. K. Bhattacharjee, G. Chakraborty, S. P. Kashyap, R. Gupta and V. Katiyar, J. Polym. Environ., 2021, 29, 1477–1488, DOI:10.1007/s10924-020-01973-8.
- A. Alkandary and A. Netravali, Composites, Part B, 2023, 256, 110626, DOI:10.1016/j.compositesb.2023.110626.
- B. Dushyanthini, V. P. S. Perera, J. C. N. Rajendra, N. Karthikeyan and G. K. R. Senadeera, Ceylon J. Sci., 2023, 52(2), 155–161, DOI:10.4038/cjs.v52i2.8157.
- P. Beniwal and A. P. Toor, Ind. Crops Prod., 2023, 192, 116098, DOI:10.1016/j.indcrop.2022.116098.
- A. Khandual and S. Sahu, Sustain. Fibers Fash. Ind., 2016, 2, 45–60, DOI:10.1007/978-981-10-0566-4_4.
-
B. K. Trivedi, Grasses and Legumes for Tropical Pasture, Indian Agricultural Research Institute, New Delhi, India, 2010 Search PubMed.
- E. Chupakhin, O. Babich, S. Sukhikh, S. Ivanova, E. Budenkova, O. Kalashnikova and O. Kriger, Energies, 2021, 14(24), 8368, DOI:10.3390/en14248368.
- H. Yu, Y. Xiang and D. Zou, Environ. Sci. Pollut. Res., 2016, 23, 19212–19218, DOI:10.1007/s11356-016-6967-8.
- Y. Huang, H. Wang, D. S. Zou, Z. W. Feng, H. Huang and S. L. Wang, Soil Use Manag., 2004, 20(2), 150–155, DOI:10.1111/j.1475-2743.2004.tb00350.x.
- P. P. Teja, K. H. Rao, K. R. Kumar, K. B. Babu, S. K. S. Kumar and P. Vijetha, Mater. Today Proc., 2023, 72, 81–85, DOI:10.1016/j.matpr.2022.06.091.
- K. Ramanaiah, A. R. Prasad and K. H. C. Reddy, Mater. Des., 2012, 40, 103–108, DOI:10.1016/j.matdes.2012.03.034.
- B. K. Tiwari, R. P. Shukla, M. B. Lynser and H. Tynsong, For. Trees Livelihoods, 2012, 21(3), 176–187, DOI:10.1080/14728028.2012.732793.
- N. R. Talukdar, P. Choudhury, R. A. Barbhuiya and B. Singh, Trees For. People, 2021, 3, 100042, DOI:10.1016/j.tfp.2020.100042.
- T. Komolwanich, S. Prasertwasu, D. Khumsupan, P. Tatijarern, T. Chaisuwan, A. Luengnaruemitchai and S. Wongkasemjit, Mater. Res. Innov., 2016, 20(4), 259–267, DOI:10.1080/14328917.2015.1105573.
- B. V. Subrahmanyam, Y. Abshalomu, D. Mojeswararao and S. B. R. Devireddy, Mater. Today Proc., 2021, 46, 3193–3197, DOI:10.1016/j.matpr.2020.11.190.
- N. Srinivasababu, J. S. Kumar and K. V. K. Reddy, Procedia Mater. Sci., 2014, 6, 1006–1016, DOI:10.1016/j.mspro.2014.07.171.
-
R. Kurdekar, N. R. Banapurmath, S. A. Hallad, A. Y. Patil, R. Guttal, A. S. Shettar and S. Arakeri, Adv. Mech. Process. Des.: Proc. ICAMPD, 2019, Springer Singapore, 2021, 247–259, DOI:10.1007/978-981-15-7779-6_22.
- L. K. Singh, C. B. Majumder and S. Ghosh, Int. J. Green Energy, 2012, 9(5), 409–420, DOI:10.1080/15435075.2011.621488.
- A. R. Prasad, K. M. Rao, A. V. S. S. K. S. Gupta and B. V. Reddy, J. Mater. Sci., 2011, 46, 2627–2634, DOI:10.1007/s10853-010-5117-9.
- V. C. Pandey, O. Bajpai, D. N. Pandey and N. Singh, Genet. Resour. Crop Evol., 2015, 62, 443–450, DOI:10.1007/s10722-014-0208-0.
- V. Ahlawat, A. Parinam and S. Kajal, Indian J. Eng. Mater. Sci., 2018, 25, 295–300 CAS.
- J. Baruah, R. C. Deka and E. Kalita, Int. J. Biol. Macromol., 2020, 154, 672–682, DOI:10.1016/j.ijbiomac.2020.03.158.
- O. S. Oladeji, F. E. Adelowo, D. T. Ayodele and K. A. Odelade, Sci. Afr., 2019, 6, e00137, DOI:10.1016/j.sciaf.2019.e00137.
- G. Mwithiga, S. Maina, P. Muturi and J. Gitari, Heliyon, 2024, 10(4), e25540, DOI:10.1016/j.heliyon.2024.e25540.
- M. Manokari, A. Dey, M. Faisal, A. A. Alatar, N. Joshee and M. S. Shekhawat, Ind. Crops Prod., 2023, 197, 116648, DOI:10.1016/j.indcrop.2023.116648.
- A. N. M. A. Haque, R. Remadevi and M. Naebe, Cellulose, 2018, 25, 5455–5477, DOI:10.1007/s10570-018-1965-2.
- M. Mukarram, S. Choudhary, M. A. Khan, P. Poltronieri, M. M. A. Khan, J. Ali and M. Shahid, Antioxidants, 2021, 11(1), 20, DOI:10.3390/antiox11010020.
- M. Chaiphut, S. Ross, G. Ross, N. Suphrom and S. Mahasaranon, Mater. Today Proc., 2021, 47, 3537–3545, DOI:10.1016/j.matpr.2021.03.544.
- H. Jing, H. He, H. Liu, B. Huang and C. Zhang, Polym. Compos., 2021, 42(2), 973–986, DOI:10.1002/pc.25879.
- S. Raja, R. Rajesh, S. Indran, D. Divya and G. S. Priyadharshini, J. Ind. Text., 2022, 51(1), 1207S–1234S, DOI:10.1177/15280837211007507.
- V. Fiore, D. Badagliacco, C. Sanfilippo, R. Pirrone, S. Siengchin, S. M. Rangappa and L. Botta, J. Polym. Environ., 2022, 30(11), 4726–4737, DOI:10.1007/s10924-022-02545-8.
- G. Parsai, P. Patel, P. A. Parikh and J. K. Parikh, Bioresour. Technol. Rep., 2024, 26, 101849, DOI:10.1016/j.biteb.2024.101849.
-
T. Britannica, Editors of Encyclopedia, Encyclopedia Britannica, 2016. https://www.britannica.com/plant/pampas-grass Search PubMed.
- M. M. Mirzaee, M. Zakerinia and M. Farasati, Water Pract. Technol., 2022, 17(5), 1002–1018, DOI:10.2166/wpt.2022.032.
- Y. Shi and X. Liang, J. Saudi Chem. Soc., 2019, 23(5), 515–524, DOI:10.1016/j.jscs.2018.09.004.
- A. Jordá-Vilaplana, A. Carbonell-Verdú, M. D. Samper, A. Pop and D. Garcia-Sanoguera, Compos. Sci. Technol., 2017, 145, 1–9, DOI:10.1016/j.compscitech.2017.03.036.
- B. Shrivastava, K. K. Jain, A. Kalra and R. C. Kuhad, Sci. Rep., 2014, 4(1), 6360, DOI:10.1038/srep06360.
- A. Taghizadeh-Alisaraei, A. Tatari, M. Khanali and M. Keshavarzi, Biofuels, 2023, 14(1), 79–92, DOI:10.1080/17597269.2022.2118779.
- D. Jiang, P. An, S. Cui, S. Sun, J. Zhang and T. Tuo, Adv. Mater. Sci. Eng., 2020, 1, 5031025, DOI:10.1155/2020/5031025.
- Q. Fan, G. Han, W. Cheng, H. Tian, D. Wang and L. Xuan, Polymers, 2018, 10(8), 896, DOI:10.3390/polym10080896.
- C. Rojas, M. Cea, A. Iriarte, G. Valdés, R. Navia and R. J. P. Cárdenas, Sustainable Mater. Technol., 2019, 20, e00102, DOI:10.1016/j.susmat.2019.e00102.
- M. Ali, A. Alabdulkarem, A. Nuhait, K. Al-Salem, R. Almuzaiqer, O. Bayaquob and Z. Algafri, J. Nat. Fibers, 2021, 18(12), 2173–2188, DOI:10.1080/15440478.2020.1724232.
- J. Tong, X. Wang, B. Kuai, J. Gao, Y. Zhang, Z. Huang and L. Cai, Ind. Crops Prod., 2021, 170, 113685, DOI:10.1016/j.indcrop.2021.113685.
- M. E. Haque, M. W. Khan and M. Rani, Polym. Bull., 2011, 79(5), 2933–2952, DOI:10.1007/s00289-021-03630-z.
- F. Althoey, O. Zaid, R. Martínez-García, J. de Prado-Gil, M. Ahmed and A. M. Yosri, J. Mater. Res. Technol., 2023, 24, 6118–6139, DOI:10.1016/j.jmrt.2023.04.179.
-
D. N. D'Souza, A. K. Choudhary, P. Basak and S. K. Shukla, Ground Improvement Techniques and Geosynthetics: IGC 2016, Springer, 2019, vol. 2, pp. 135–142. DOI:10.1007/978-981-13-0559-7_15.
- A. David, A. Fărcaş and S. A. Socaci, Trends Food Sci. Technol., 2023, 104153, DOI:10.1016/j.tifs.2023.104153.
- A. David, F. Wang, X. Sun, H. Li, J. Lin, P. Li and G. Deng, Molecules, 2019, 24(10), 1897, DOI:10.3390/molecules24101897.
- S. S. Pattnaik, D. Behera, P. Jali and A. K. Behera, Polym. Int., 2024 DOI:10.1002/pi.6664.
- N. Senthilkumar, B. Deepanraj, C. K. Dhinakarraj and M. Yuvaperiyasamy, J. Environ. Nanotechnol., 2024, 13(2), 214–219, DOI:10.13074/jent.2024.06.242561.
- S. S. Pattnaik, D. Behera, N. Das, A. K. Dash and A. K. Behera, RSC Adv., 2024, 14(35), 25728–25739, 10.1039/D4RA03546A.
- K. Zhao, Y. Wei, S. Chen, K. Zhao and M. Ding, J. Appl. Polym. Sci., 2023, 140(9), e53554, DOI:10.1002/app.53554.
- D. U. Shah, P. J. Schubel, M. J. Clifford and P. Licence, Polym. Compos., 2012, 33(9), 1494–1504, DOI:10.1002/pc.22279.
- O. Das, M. S. Hedenqvist, C. Prakash and R. J. Lin, Composites, Part A, 2029, 125, 105566, DOI:10.1016/j.compositesa.2019.105566.
- M. Panicker, R. Maria, K. A. Rajesh and T. O. Varghese, J. Thermoplast. Compos. Mater., 2020, 33, 1175–1195, DOI:10.1177/0892705718820403.
- M. Delgado-Aguilar, F. Vilaseca, Q. Tarrés, F. Julián, P. Mutjé and F. X. Espinach, Composites, Part B, 2018, 137, 16–22, DOI:10.1016/j.compositesb.2017.11.006.
- W. M. A. Ramli, M. S. A. Majid, M. M. Ridzuan, M. T. H. Sultan, N. A. M. Amin and A. G. Gibson, Polym. Compos., 2020, 41(3), 824–837, DOI:10.1002/pc.25413.
- K. V. Kumar, A. A. M. Moshi and J. S. Rajadurai, Mater. Today Proc., 2021, 45, 1620–1625, DOI:10.1016/j.matpr.2020.08.423.
- Y. Guo, K. Ruan, X. Shi, X. Yang and J. Gu, Compos. Sci. Technol., 2020, 193, 108134, DOI:10.1016/j.compscitech.2020.108134.
- H. Takagi, Adv. Compos. Mater., 2019, 28, 525–543, DOI:10.1080/09243046.2019.1617093.
- J. H. Kim, D. J. Kwon, C. S. Lim, B. K. Seo, K. L. DeVries and J. M. Park, Compos. Interfaces, 2023, 30(3), 283–299, DOI:10.1080/09276440.2022.2099519.
- M. E. González-López, A. S. M. del Campo, J. R. Robledo-Ortíz, M. Arellano and A. A. Pérez-Fonseca, Polym. Degrad. Stab., 2020, 179, 109290, DOI:10.1016/j.polymdegradstab.2020.109290.
- D. Briassoulis and A. Mistriotis, Chemosphere, 2018, 207, 18–26, DOI:10.1016/j.chemosphere.2018.05.024.
- J. S. Viera, M. R. Marques, M. C. Nazareth, P. C. Jimenez, C. Sanz-Lázaro and Í.B Castro, J. Hazard. Mater., 2021, 416, 125957, DOI:10.1016/j.jhazmat.2021.125957.
- N. B. Erdal and M. Hakkarainen, Biomacromolecules, 2022, 23(7), 2713–2729, DOI:10.1021/acs.biomac.2c00336.
- D. Behera, S. S. Pattnaik, P. P. Mishra, R. Sahu, S. Manna, N. Das, M. Misra, A. K. Mohanty and A. K. Behera, Ind. Crops Prod., 2024, 212, 118328, DOI:10.1016/j.indcrop.2024.118328.
- N. Kumar, A. Singh, S. Singh, J. I. P. Singh and S. Kumar, Mater. Today Proc., 2022, 56, 2532–2536, DOI:10.1016/j.matpr.2021.09.006.
- A. K. Behera, S. S. Pattnaik, C. Mohanty, R. Srivastav and J. Pradhan, Vietnam J. Chem., 2024, 62(2), 151–159, DOI:10.1002/vjch.202200162.
- S. Mehrzad, E. Taban, P. Soltani, S. E. Samaei and A. Khavanin, Build. Environ., 2022, 211, 108753, DOI:10.1016/j.buildenv.2022.108753.
- B. Marques, A. Tadeu, J. Almeida, J. António and J. de Brito, J. Build. Eng., 2020, 28, 101041, DOI:10.1016/j.jobe.2019.101041.
- E. M. S. E. Tibalia, J. Wintoko and C. W. Purnomo, IOP Conf. Ser.: Earth Environ. Sci., 2023, 1275(1), 012012, DOI:10.1088/1755-1315/1275/1/012012 , IOP Publishing.
- E. Aguirre, J. Domínguez, E. Villanueva, J. A. Ponce-Ramirez, M. de Fátima Arevalo-Oliva, R. Siche, J. González-Cabeza and G. Rodríguez, Food Packag. Shelf Life, 2023, 38, 101129, DOI:10.1016/j.fpsl.2023.101129.
- A. K. Behera, S. Avancha, N. Das and B. Adhikari, Polym. Compos., 2021, 42(6), 2910–2919, DOI:10.1002/pc.26024.
- A. S. Rusdianto, W. Amilia, A. L. Pratiwi and H. Adila, Int. J. Food Agric. Nat. Resour., 2023, 4(3), 58–61, DOI:10.46676/ij-fanres.v4i3.167.
- M. N. Islam and Y. Jiang, ACS Sustainable Chem. Eng., 2022, 10(24), 7818–7824, DOI:10.1021/acssuschemeng.2c01806.
- X. Liu, C. Chen and J. Sun, Waste Manage., 2021, 121, 432–440, DOI:10.1016/j.wasman.2020.12.030.
- T. Gurunathan, S. Mohanty and S. K. Nayak, Composites, Part A, 2015, 77, 1–25, DOI:10.1016/j.compositesa.2015.06.007.
- S. Chhetri and H. Bougherara, Composites, Part A, 2021, 140, 106146, DOI:10.1016/j.compositesa.2020.106146.
- K. B. Boadu, H. K. Kyenkyehene and R. Anokye, J. Agric. Res., 2023, 61(3), 03681157, DOI:10.58475/2023.61.3.1977.
- R. A. Fuentes, J. A. Berthe, S. E. Barbosa and L. A. Castillo, Sustainable Mater. Technol., 2021, 30, e00338, DOI:10.1016/j.susmat.2021.e00338.
- S. S. Pattnaik, D. Behera, Y. Pani, N. Das, M. Misra, A. K. Mohanty and A. K. Behera, Polym. Eng. Sci., 2024, 64(7), 3048–3058, DOI:10.1002/pen.26746.
- E. Doineau, M. F. Pucci, B. Cathala, J. C. Benezet, J. Bras and N. Le Moigne, Composites, Part A, 2024, 184, 108270, DOI:10.1016/j.compositesa.2024.108270.
- D. Ita-Nagy, I. Vázquez-Rowe, R. Kahhat, I. Quispe, G. Chinga-Carrasco, N. M. Clauser and M. C. Area, Sci. Total Environ., 2020, 720, 137586, DOI:10.1016/j.scitotenv.2020.137586.
- L. J. Rodríguez, C. E. Orrego, I. Ribeiro and P. Peças, Proc. CIRP, 2018, 69, 585–590, DOI:10.1016/j.procir.2017.11.145.
|
| This journal is © The Royal Society of Chemistry 2025 |
Click here to see how this site uses Cookies. View our privacy policy here.