C–H functionalization through benzylic deprotonation with π-coordination or cation–π-interactions
Abstract
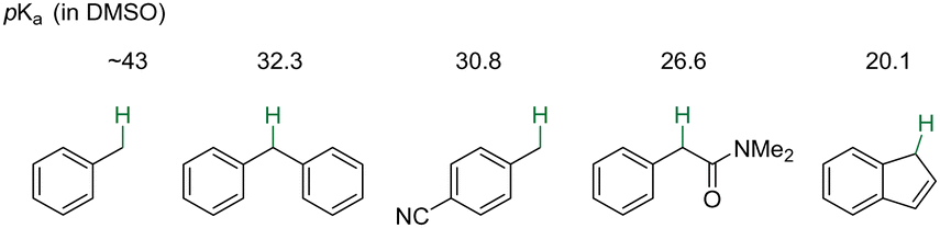
Benzylic C–H functionalization is a valuable tool to make complex aromatic molecules from simple, readily available alkylbenzenes. While methods that involve benzylic radicals or cations generated by hydrogen atom transfer or oxidation have been well demonstrated, they often require oxidative conditions. In contrast, deprotonation methods offer a complementary approach to transform benzylic C–H bonds through a benzylic carbanion generated by deprotonation. Electrophilic transition metal complexes acidify benzylic protons upon π-coordination to the phenyl ring of substrates, facilitating deprotonation by stabilizing the corresponding benzylic carbanion. Cation-complexes with group(I) metals also acidify benzylic C–H bonds. These approaches enable a significant expansion of the scope and diversity of alkylarenes with various electrophilic reagents. In this review, we discuss the development of benzylic functionalization through deprotonation of η6-arene complexes of transition-metals and cation–π interactions with group(I) metals, as well as progress made in catalysis through reversible arene–metal interactions.

Please wait while we load your content...