Time-resolved solvation dynamics of Li+, Na+ and K+ ions in liquid helium nanodroplets
Abstract
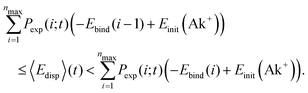
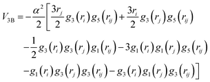
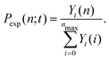
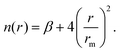
In 2023, ultrafast pump–probe spectroscopy was used to record the solvation dynamics of a single Na+ ion in a liquid helium droplet, atom-by-atom and with femtosecond time resolution [Albrechtsen et al., Nature, 2023, 623, 319]. Subsequently, theoretical studies showed that other alkali ions solvate in a similar manner but no experimental results have been reported so far. Here, we extend the previous measurement on Na+ to Li+ and K+ ions. A pump pulse selectively ionizes an alkali atom, initially residing at the droplet surface, and the ensuing solvation dynamics of the formed alkali cation, Ak+, is followed by ionizing a Xe atom, located in the droplet interior, and recording the yields of Ak+Hen ions expelled from the droplet as a function of the pump–probe pulse delay. We found that Li+, Na+ and K+ ions solvate with a binding rate of 1.8 ± 0.1, 1.8 ± 0.1 and 1.7 ± 0.1 He per ps, respectively. Furthermore, by comparing the number distribution of the Ak+Hen ion yields with the evaporation energies of these ion–He complexes, obtained by Path Integral Monte Carlo calculations, we identify signatures of the first solvation shells of Li+, Na+ and K+. Lastly, we determine the time-dependent dissipation of the solvation energy from the vicinity of the three alkali ion species and found that the rate is the highest (lowest) for Li+ (K+).

Please wait while we load your content...