Magnetically induced current density: a semiempirical approach†
Abstract
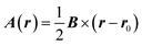
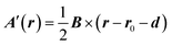
This study examines the calculation of magnetically induced current densities within the CTOCD-DZ (continuous transformation of origin of current density-dimagnetic zero) framework using various semiempirical methods based on the neglect of diatomic differential overlap (NDDO) approximation. The performance of these methods was assessed for a series of benzenoid hydrocarbons, by comparing their results with the B3LYP/def2-SVP reference. Additionally, it was proposed how the original NDDO-based semiempirical methods for calculating magnetically induced current densities can be modified to further reduce computational costs. The modified NDDO-based approach was shown to significantly decrease computational time while maintaining accuracy.

Please wait while we load your content...