π-Extended cis- and trans-bis(tetracyanobutadiene) Cu-porphyrins with unusual multiredox behavior
Abstract
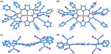
This work reports the efficient one-pot synthesis and isolation of two novel β-functionalized TCBD-appended copper porphyrin isomers, trans- and cis-Cu(TCBD)2, in good yields. Comprehensive characterization by spectroscopy, mass spectrometry, and single-crystal XRD shows that TCBD orients perpendicular to the porphyrin plane to minimize steric strain. Electrochemical studies revealed unprecedented multiredox behaviour, supported by FMO analysis, indicating significant spatial separation consistent with accessible charge-separated states. These unique properties make trans-/cis-Cu(TCBD)2 a promising candidate for charge-transfer materials and multi-electron catalysis.

Please wait while we load your content...