Open Access Article
This Open Access Article is licensed under a
Creative Commons Attribution 3.0 Unported Licence

Lanthanide complexes of aminopolycarboxylates reveal deuteration of aminoacetate carbons in alkaline aqueous media

Sebastian Friedrich , Lukas Waurick , Björn Drobot , Robin Steudtner , Katharina Müller , Astrid Barkleit , Thorsten Stumpf and Jerome Kretzschmar *
Helmholtz-Zentrum Dresden–Rossendorf, Institute of Resource Ecology, Bautzner Landstr. 400, 01328 Dresden, Germany. E-mail: j.kretzschmar@hzdr.de

Received 14th May 2025 , Accepted 10th July 2025

First published on 14th July 2025


Abstract

Hydrogen isotope exchange at aminoacetate carbons is facilitated in lanthanide aminopolycarboxylate complexes in NaOD D2O solution. Ionic radius-dependent yields revealed that Lu3+ is the choice. NMR and Raman spectroscopy evidence yields insights into selectivity, while theoretical calculations help in understanding the mechanism.


Since its discovery in 1931,1 deuterium has become increasingly important for numerous research applications, not only in the form of deuterated solvents used in various spectroscopies,2 but also as an isotopic label in in situ and in vivo reaction mechanistic studies or pharmacokinetic studies.3 Since the strength of the C–D bond slows metabolism, D-containing drugs reveal longer biological half-lives, requiring lower pharmaceutical doses.4 Spin-labeling has revolutionized NMR spectroscopy of proteins. In particular, deuteration enhances the signal-to-noise ratio by suppressing spin diffusion and improves resolution by narrowing the line widths upon reducing dipolar interactions and relaxation rates of 13C and 15N spins, thereby facilitating the determination of 3D structures.5 Given the significant interest in deuterated compounds, it is essential to develop straightforward methods for their syntheses.

To introduce deuterium into the target molecule, several strategies have been pursued.6 One way is to start from deuterated compounds as building blocks, for instance ethylene-d4 glycol, acetic acid-d3, or aniline-d5, to build up the target molecule.7–9 Alternative approaches facilitate transition metal catalysts, frustrated ion pairs, or radicals.10–17 Electro- and photo-catalytical deuteration has also been described.18,19 Perdeuterated complex biomolecules can be obtained by microorganisms growing in deuterated media.20 Deuterium sources are diverse: for instance, hexafluoro-2-propanol-d1, tBuOD, or DBpin as well as gaseous D2 were reported.13,15,18,21 Utilizing D2O as both a deuterium source and solvent, deuteration can be an environmentally friendly and cost-effective process.11–13,16–18,22 NaOD/D2O mixtures have been used to deuterate various substrates. For instance, using an iridium bipyridonate complex as a catalyst deuterates secondary alcohols (at 100 °C).23 Additionally, several metal catalyst-free reactions are reported, e.g., deuteration of dimethyl sulfoxide and benzyl methyl sulfoxide,24 porphobilinogen derivatives,25 nucleobases in nucleotides (in DMSO mixtures at 60 °C),26 N-heterocyclic oxides (at 100 °C under N2 atmosphere),27 pyridine (at around 200 °C),28 as well as methyl moieties in dimethyl-2,2′-bipyridines (>10 bar, >160 °C, microwave-assisted).29

In this work, we report on the in situ deuteration occurring at the aminoacetate methylene carbons in aminopolycarboxylate complexes of lanthanides under alkaline conditions, using D2O/OD as the deuterium source and reagent. Typically, Lewis acid- as well as base-catalyzed H–D exchange reactions occur at elevated temperatures of around 100 °C.30 In the present study, the Ln3+-augmented deuteration reaction proceeds already at room temperature. Although the reaction is slow at room temperature, requiring approximately 6–8 weeks, the H–D exchange is virtually complete, making this approach very mild and thus suitable for temperature-sensitive ligands. Of course, elevated temperatures help to accelerate the reaction. Aminoacetate groups in aminopolycarboxylic acids possess an increased C–H acidity due to multiple electron-withdrawing groups nearby. Treating only the ligand with a NaOD solution is insufficient to abstract the methylene hydrogens. However, upon formation of the lanthanide complexes, the polarity of the aminoacetate methylene groups’ C–H bond increases. This augments C–H-bond activation to facilitate substitution of H by D. Selecting La3+, Lu3+, and Sm3+ as representatives of largest, smallest, and intermediate ionic radius, respectively, in a parallel approach, the yield of deuterated product was strongly dependent on the Lewis acidity of the Ln3+, rendering Lu3+ the most effective among the metal ions tested.

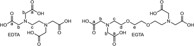
Working in the field of (aqueous) Ln and actinide (An) chemistry, understanding their complexation behavior and environmental fate, including in vivo effects and decorporation, multidentate chelators are of importance not only as benchmarking model substances but also as a means to address these complex issues. Therefore, different aminopolycarboxylates were used to complex Ln3+, revealing deuteration at the methylene carbons of the aminoacetate. These comprise nitrilotriacetic acid (NTA), ethylenediaminetetraacetic acid (EDTA), ethylene glycol-bis(β-aminoethyl ether)-N,N,N′,N′-tetraacetic acid (EGTA), and diethylenetriaminepentaacetic acid (DTPA). The presented results focus on EDTA and EGTA (Fig. 1). Further details on experimental procedures, as well as additional spectra of all ligands, including NTA and DTPA, are provided in the ESI. C–H bond activation is the prerequisite for H–D exchange, which can be facilitated by metal ions, here Ln3+. In the absence of Ln3+, i.e., treating only the substrates at pD 13–14 for several weeks, has no effect. The D content in the final product can be easily determined by high-resolution mass spectrometry or 1H, 2H, or 13C NMR spectroscopy, exploiting nuclear properties for direct observation or indirectly via characteristic spin coupling patterns.8–10,18,31


image file: d5cc02730f-f1.tif
Fig. 1 Structures of the substrates (ligands) EDTA and EGTA, along with atomic labelling for further assignment. The site of interest, i.e., the aminoacetate methylene groups, is denoted by b.

Decreasing the Ln's ionic radius, i.e., increasing its Lewis acidity, translates into higher yields of (faster conversion into) selectively deuterated compounds.

The results demonstrate a stepwise replacement of aminoacetate methylene carbon-bound protons by deuterons, facilitated by Ln3+-augmented bond polarization. This work highlights the potential of Ln3+-mediated H–D exchange for targeted, low-temperature isotopic substitution, advancing the deuteration of compounds with high selectivity at low cost.

To achieve this, we prepared solutions of the corresponding Ln-ligand complexes in D2O/NaOD at a pD value of approximately 12.5. These solutions were shaken at room temperature for up to 8 weeks. Afterwards, the reaction was quenched using DCl to adjust the pD to ∼7, and the mixture was further processed with HCl/H2O. Upon adjusting pH to around 1.5, the metal–ligand complexes dissociate concomitantly protonating the ligand. Prevailing in their charge-neutral zwitterions forming in strongly acidic medium,32 the ligands reach their minimum solubility and crystallize. As such, they can be easily separated from the supernatant mother liquor and obtained in high purity. The Ln salts can be recovered and reused. For further details on the experimental procedure, see ESI. Depending on the Ln3+ used, different degrees of deuteration (yields) were achieved, as shown in Fig. 2, using EGTA as an example.


image file: d5cc02730f-f2.tif
Fig. 2 Post-reaction 1H NMR spectra of EGTA treated with D2O/NaOD at pD 12.5 without and in the presence of different Ln3+ for 8 weeks. Signal assignment is according to Fig. 1. Numbers represent percentages of CH2/CHD/CD2 groups in the molecule obtained from signal integrals. Note that CD2 groups are not visible in the 1H NMR.

Apparently, with decreasing Ln3+ ionic radius, the corresponding aminopolycarboxylate complexes become better substrates, easing the H–D exchange. Evidently, the more substantial Lewis acidity increases C–H bond polarization (i.e., corresponding to increased C–H acidity), facilitating, H+ abstraction by a base. The base, in this study, deuteroxide ions (OD), remove a hydrogen from the most acidic site at a pD of around 12.5 (with all carboxyl and amino groups deprotonated), being a C–H-acidic site, presumably resulting in the formation of a short-lived carbanion. Since the reaction occurs in heavy water, upon nucleophilic attack, the carbanion efficiently abstracts a deuteron (D+) from a D2O molecule, yielding a CHD group (Fig. 3). Further reaction then successively replaces the remaining aminoacetate methylene H by D, eventually yielding CD2.


image file: d5cc02730f-f3.tif
Fig. 3 Proposed reaction mechanism of the deuteration of the aminoacetate groups in D2O with NaOD. For better visualization, the molecule is simplified. M and Y denote a trivalent lanthanide ion and N or O donor atoms in EDTA or EGTA, respectively.

The 13C NMR spectrum of EGTA obtained from Lu3+-augmented deuteration evidences the virtually complete substitution of the aminoacetate groups’ protons by deuterons (see Fig. 4A). While all signals associated with 1H-bearing carbons (and of course the quaternary carboxyl carbons) are singlets due to 1H-decoupling (at 600 MHz), the aminoacetate carbon gives rise to a quintet (M = 5). The multiplicity M is calculated by 2 × N × I + 1, where I is the spin quantum number (I = 1 for 2H) and N is the number of coupled nuclei. Correspondingly, the number of deuterons (N) equals 2, proving that deuterium binds exclusively to the aminoacetate carbon, whose one-bond coupling (1JCD) of 22 Hz (compared to the aminoacetates’ 1JCH of 145 Hz) is not removed since 2H is not decoupled as it correspondingly resonates at 92 MHz (at 14.1 T). Raman spectroscopy provides further evidence for the effective deuteration of the aminopolycarboxylates. Normally, the 2500–2000 cm−1 spectral region is void of signals except for X[triple bond, length as m-dash]Y triple bonds (X,Y being C or N) or cumulative double bonds, as well as thiol groups. Therefore, the Raman spectrum of EGTA-d0 shows no signals in this particular region, but the regular CH stretching vibrations around 2900 cm−1 (Fig. 4B). In contrast, owing to the doubled isotopic mass of D compared to that of H, the vibrational frequency shifts to approximately 2250 cm−1, making the stretching vibrational mode, ν(CD2), a unique and valuable analytical marker, as is the NMR signal of the deuterium nucleus.


image file: d5cc02730f-f4.tif
Fig. 4 (A) Inverse-gated 1H-decoupled 13C NMR spectrum of EGTA-d8. (B) Raman spectra of EGTA-d8 (top) and EGTA-d0 (bottom).

Since 2H has a very low natural abundance (0.016%), spectra of isotopically labeled compounds are often more transparent and easier to interpret by reducing the number of (background) signals. Fig. 5 depicts 2H NMR spectra of aminoacetate-deuterated EDTA and EGTA in the presence of Lu3+, depending on pH present as free ligand (acidic solution) and/or as Lu3+ complex. In the free ligand, the four aminoacetate residues are equivalent; thus, the signals appear as singlets. In the Lu3+ complexes, however, the molecular symmetry is reduced, rendering the four aminoacetate residues pairwise equivalent.33 This results in two distinct resonances for each pair of equivalent methylene groups, i.e., four signals overall. Further spectroscopic examination is discussed in the ESI.


image file: d5cc02730f-f5.tif
Fig. 5 (A) pH-Dependent 2H NMR spectra of EDTA-d7 in presence of Lu3+. (B) 1H NMR spectrum of Lu(EGTA-d0) in D2O (blue, bottom) and 2H NMR spectrum of Lu(EGTA-d8) in H2O (orange, top). The respective aminoacetate signals are denoted by b.

Coupled cluster calculations corroborate experimental findings. Gibbs free energy, G, of species with protonated and deprotonated aminoacetate C–H bond in free EDTA and EGTA, as well as in their respective La3+ and Lu3+ complexes, were calculated (Table 1). In general, H+ abstraction from the aminoacetate carbon, i.e., formation of the carbanion, is much lower in energy for the respective Ln3+ complexes than for the free ligand. In the Ln3+ complexes, the electron-withdrawing effects on the C–H bond and thus its polarization are reinforced, causing sufficient bond activation to facilitate the above-discussed H–D exchange (cf.Fig. 3).

Table 1 Coupled cluster calculated energy differences between species with protonated and deprotonated aminoacetate methylene C–H bond in free EDTA and EGTA, as well as in their respective La3+ and Lu3+ complexes
Speciesa G protonated (Hartree) G deprotonated (Hartree) ΔG (kJ mol−1)
a Protonated and deprotonated species refer to the tetraanionic ligand L4− and its corresponding carbanion L–H5−, as well as the Ln3+ complex [LnL] and its carbanion [LnL–H]2−, respectively.
EDTA −1098.943 −1098.382 249
EDTA + La −9815.489 −9814.974 175
EDTA + Lu −15[thin space (1/6-em)]879.038 −15[thin space (1/6-em)]878.525 188
EGTA −1406.182 −1405.628 239
EGTA + La −9970.306 −9969.631 174
EGTA + Lu −15[thin space (1/6-em)]957.148 −15[thin space (1/6-em)]956.636 161


Regarding our primary interest in Ln and An coordination chemistry, studying Ln3+ and An3+ exploits their outstanding luminescence properties. However, excited-state quenching, involving vibrational energy transfer, is a significant cause of non-radiative deactivation.34 With a ligand at hand that is virtually quantitatively deuterated in its aminoacetate methylene groups, we performed exemplary experiments to study its impact on luminescence quenching behavior. Details are presented in the ESI. Briefly, we can show that aminoacetate methylene groups (CH2, more than CD2) as moieties enclosed between the coordinating carboxyl and amino groups contribute to vibrational energy transfer quenching. This demonstrates that the deuteration approach presented here can help mitigate such effects, thereby advancing studies of a ligand's fundamental luminescence behavior.

In summary, this study presents a straightforward, mild, and cost-effective method for the selective deuteration of aminoacetate methylene carbons in aminopolycarboxylic acids under aqueous alkaline conditions, utilizing Ln3+ ions for C–H bond activation. Among the Ln3+ ions, Lu3+ was shown to be the choice owing to its strong Lewis acidity caused by the smallest ionic radius of all Ln. Multinuclear NMR as well as Raman spectroscopies unambiguously prove the yield and selectivity of the H–D exchange reaction. In addition, quantum chemical calculations support the hypothesized mechanism of a carbanionic intermediate, and TRLFS results contribute to the growing body of evidence elucidating the role of ligand vibrational dynamics on luminescence quenching phenomena. Presented results open up new opportunities for the synthesis of functionally deuterated compounds, which hold promise for applications ranging from molecular spectroscopy to biomedical research. It is therefore conceivable to selectively label the aminoacetate carbons with tritium, 3H, using T2O/NaOT as the isotope source.

The results presented here form the basis for a follow-up study35 that leverages the synthesis method and access to meaningful analyses. Beyond numerous conceivable examples (molecules), the described deuteration reaction can be applied to and their subsequent usage; we utilize these compounds in the context of in vitro speciation studies. That is, radionuclide sequestration is studied in artificial body fluids of the digestive system. The deuterated aminopolycarboxylates are valuable probes that enable the examination of chemically active substances in complex mixtures with a strongly interfering (biomolecular) 1H signal background, accessible by 2H NMR.

J. K. acknowledges funding from the German Federal Ministry for the Environment, Nature Conservation, Nuclear Safety and Consumer Protection (BMUV) under grant agreement no. 02E11860B; S. F. and A. B. are thankful for funding from the German Federal Ministry of Education and Research (BMBF) within the RADEKOR project, no. 02NUK057A.

Conflicts of interest

There are no conflicts to declare.

Data availability

All data supporting this article have been included as part of the ESI.

Notes and references

  1. H. C. Urey, F. G. Brickwedde and G. M. Murphy, Phys. Rev., 1932, 39, 164–165 CrossRef CAS.
  2. (a) G. Ochoa, C. D. Pilgrim, M. N. Martin, C. A. Colla, P. Klavins, M. P. Augustine and W. H. Casey, Angew. Chem., Int. Ed., 2015, 54, 15444–15447 CrossRef CAS PubMed; (b) D. E. Williams, E. A. Dolgopolova, P. J. Pellechia, A. Palukoshka, T. J. Wilson, R. Tan, J. M. Maier, A. B. Greytak, M. D. Smith, J. A. Krause and N. B. Shustova, J. Am. Chem. Soc., 2015, 137, 2223–2226 CrossRef CAS PubMed; (c) J. A. Faraldos, S. Wu, J. Chappell and R. M. Coates, J. Am. Chem. Soc., 2010, 132, 2998–3008 CrossRef CAS PubMed; (d) J. Wennerberg and K. Dreisch, J. Label. Compd. Radiopharm., 2023, 66, 138–144 CrossRef CAS PubMed.
  3. A. W. Cummins, S. Li, D. R. Willcox, T. Muilu, J. H. Docherty and S. P. Thomas, Tetrahedron, 2020, 76, 131084 CrossRef CAS.
  4. (a) C. Schmidt, Nat. Biotechnol., 2017, 35, 493–494 CrossRef CAS PubMed; (b) M. Kuchar and C. Mamat, Molecules, 2015, 20, 16186–16220 CrossRef CAS PubMed.
  5. (a) M. Sattler and S. W. Fesik, Structure, London, England, 1996, vol. 4, pp. 1245–1249 Search PubMed; (b) V. I. Bakhmutov, D. W. Elliott, G. P. Wylie, A. Clearfield, A. Contreras-Ramirez and H.-C. Zhou, Chem. Commun., 2020, 56, 3653–3656 RSC.
  6. S. Kopf, F. Bourriquen, W. Li, H. Neumann, K. Junge and M. Beller, Chem. Rev., 2022, 122, 6634–6718 CrossRef CAS PubMed.
  7. (a) P. Boehm, P. Müller, P. Finkelstein, M. A. Rivero-Crespo, M.-O. Ebert, N. Trapp and B. Morandi, J. Am. Chem. Soc., 2022, 144, 13096–13108 CrossRef CAS PubMed; (b) L. Huang, C. Colas and P. R. Ortiz de Montellano, J. Am. Chem. Soc., 2004, 126, 12865–12873 CrossRef CAS PubMed; (c) J. R. Hummel and J. A. Ellman, J. Am. Chem. Soc., 2015, 137, 490–498 CrossRef CAS PubMed; (d) K. Naksomboon, J. Poater, F. M. Bickelhaupt and M. Á. Fernández-Ibáñez, J. Am. Chem. Soc., 2019, 141, 6719–6725 CrossRef CAS PubMed; (e) M. Lanzi, T. Rogge, T. S. Truong, K. N. Houk and J. Wencel-Delord, J. Am. Chem. Soc., 2023, 145, 345–358 CrossRef CAS PubMed.
  8. K. Kumagai, K. Kawashima, M. Akakabe, M. Tsuda, T. Abe and M. Tsuda, Tetrahedron, 2013, 69, 3896–3900 CrossRef CAS.
  9. C. Xu, G. Li, M. Etienne, X. Leng and Y. Chen, Inorg. Chem. Front., 2020, 7, 4822–4831 RSC.
  10. T. Maegawa, Y. Fujiwara, Y. Inagaki, Y. Monguchi and H. Sajiki, Adv. Synth. Catal., 2008, 350, 2215–2218 CrossRef CAS.
  11. X.-T. Min, Y.-K. Mei, B.-Z. Chen, L.-B. He, T.-T. Song, D.-W. Ji, Y.-C. Hu, B. Wan and Q.-A. Chen, J. Am. Chem. Soc., 2022, 144, 11081–11087 CrossRef CAS PubMed.
  12. L. Neubert, D. Michalik, S. Bähn, S. Imm, H. Neumann, J. Atzrodt, V. Derdau, W. Holla and M. Beller, J. Am. Chem. Soc., 2012, 134, 12239–12244 CrossRef CAS PubMed.
  13. A. Uttry, S. Mal and M. van Gemmeren, J. Am. Chem. Soc., 2021, 143, 10895–10901 CrossRef CAS PubMed.
  14. (a) M. Farizyan, A. Mondal, S. Mal, F. Deufel and M. van Gemmeren, J. Am. Chem. Soc., 2021, 143, 16370–16376 CrossRef CAS PubMed; (b) G. Erdogan and D. B. Grotjahn, J. Am. Chem. Soc., 2009, 131, 10354–10355 CrossRef CAS PubMed; (c) W. J. Kerr, M. Reid and T. Tuttle, Angew. Chem., Int. Ed., 2017, 56, 7808–7812 CrossRef CAS PubMed; (d) B. I. P. Smith, N. M. L. Knight, G. J. Knox, D. M. Lindsay, L. C. Paterson, J. Bergare, C. S. Elmore, R. A. Bragg and W. J. Kerr, Angew. Chem., Int. Ed., 2024, e202417179 Search PubMed; (e) S. Roediger, E. Le Saux, P. Boehm and B. Morandi, Nature, 2024, 636, 108–114 CrossRef CAS PubMed; (f) A. Li, X. Song, Q. Ren, P. Bao, X. Long, F. Huang, L. Yuan, J. S. Zhou and X. Qin, Angew. Chem., Int. Ed., 2023, 62, e202301091 CrossRef CAS PubMed.
  15. M. Espinal-Viguri, S. E. Neale, N. T. Coles, S. A. Macgregor and R. L. Webster, J. Am. Chem. Soc., 2019, 141, 572–582 CrossRef CAS PubMed.
  16. V. Soulard, G. Villa, D. P. Vollmar and P. Renaud, J. Am. Chem. Soc., 2018, 140, 155–158 CrossRef CAS PubMed.
  17. S. Kopf, H. Neumann and M. Beller, Chem. Commun., 2021, 57, 1137–1140 RSC.
  18. F. Bu, Y. Deng, J. Xu, D. Yang, Y. Li, W. Li and A. Lei, Nature, 2024, 634, 592–599 CrossRef CAS PubMed.
  19. (a) T. Luo, Z. Wang, Y. Chen, H. Li, M. Peng, F. Tuna, E. J. L. McInnes, S. J. Day, J. An, M. Schröder and S. Yang, Angew. Chem., Int. Ed., 2023, 62, e202306267 CrossRef CAS PubMed; (b) P. L. Norcott, Chem. Commun., 2022, 58, 2944–2953 RSC.
  20. (a) S. Haon, S. Augé, M. Tropis, A. Milon and N. D. Lindley, J. Label. Compd. Radiopharm., 1993, 33, 1053–1063 CrossRef CAS; (b) V. Kselíková, M. Vítová and K. Bišová, Folia Microbiol., 2019, 64, 673–681 CrossRef PubMed.
  21. D.-H. Manz, P.-C. Duan, S. Dechert, S. Demeshko, R. Oswald, M. John, R. A. Mata and F. Meyer, J. Am. Chem. Soc., 2017, 139, 16720–16731 CrossRef CAS PubMed.
  22. (a) V. Krishnakumar and C. Gunanathan, Chem. Commun., 2018, 54, 8705–8708 RSC; (b) X. Chang, X. Cheng and C.-J. Wang, Chem. Sci., 2022, 13, 4041–4049 RSC.
  23. M. Itoga, M. Yamanishi, T. Udagawa, A. Kobayashi, K. Maekawa, Y. Takemoto and H. Naka, Chem. Sci., 2022, 13, 8744–8751 RSC.
  24. (a) A. Rauk, E. Buncel, R. Y. Moir and S. Wolfe, J. Am. Chem. Soc., 1965, 87, 5498–5500 CrossRef CAS; (b) E. Buncel, E. A. Symons and A. W. Zabel, Chem. Commun., 1965, 173 RSC.
  25. Y. C. Kim, Can. J. Chem., 1969, 47, 3259–3261 CrossRef CAS.
  26. X. Huang, P. Yu, E. LeProust and X. Gao, Nucleic Acids Res., 1997, 25, 4758–4763 CrossRef CAS PubMed.
  27. A. Montoli, A. Dimasi, A. Citarella, P. Ronchi, D. Passarella and V. Fasano, Adv. Synth. Catal., 2025, 367, e202401585 CrossRef CAS.
  28. J. A. Zoltewicz and C. L. Smith, J. Am. Chem. Soc., 1967, 89, 3358–3359 CrossRef CAS.
  29. K. Neranon and O. Ramström, RSC Adv., 2015, 5, 2684–2688 RSC.
  30. T. Junk and W. J. Catallo, Chem. Soc. Rev., 1997, 26, 401–406 RSC.
  31. C. Welton, P. Raval, J. Trébosc and G. N. M. Reddy, Chem. Commun., 2022, 58, 11551–11554 RSC.
  32. S. Friedrich, C. Sieber, B. Drobot, S. Tsushima, A. Barkleit, K. Schmeide, T. Stumpf and J. Kretzschmar, Molecules, 2023, 28, 4881 CrossRef CAS PubMed.
  33. S. Friedrich, A. Näder, B. Drobot, J. Kretzschmar, T. Stumpf and A. Barkleit, Inorg. Chem., 2025, 64, 5014–5028 CrossRef CAS PubMed.
  34. (a) J. Maillard, K. Klehs, C. Rumble, E. Vauthey, M. Heilemann and A. Fürstenberg, Chem. Sci., 2020, 12, 1352–1362 RSC; (b) D. Parker, J. D. Fradgley and K.-L. Wong, Chem. Soc. Rev., 2021, 50, 8193–8213 RSC.
  35. S. Friedrich, A. Barberon, A. Shamoun, B. Drobot, K. Müller, T. Stumpf, J. Kretzschmar and A. Barkleit, Int. J. Mol. Sci., 2025, 26, 7112 CrossRef.

Footnote

Electronic supplementary information (ESI) available: Details on experimental procedures and calculations as well as additional spectra. See DOI: https://doi.org/10.1039/d5cc02730f

This journal is © The Royal Society of Chemistry 2025
Click here to see how this site uses Cookies. View our privacy policy here.