Open Access Article
This Open Access Article is licensed under a Creative Commons Attribution-Non Commercial 3.0 Unported Licence

Ruthenium(II)-catalyzed C-2 alkenylation of indole with olefins via a quinazolin-4(3H)-one directing group: a platform for selective fluorescent anion sensors

Rekha Thakur , Vijay Luxami and Kamaldeep Paul *
Department of Chemistry and Biochemistry, Thapar Institute of Engineering and Technology, Patiala, 147004, India. E-mail: Kpaul@thapar.edu

Received 22nd February 2025 , Accepted 11th August 2025

First published on 14th August 2025


Abstract

We report a ruthenium(II)-catalyzed C–H alkenylation of 2-(1H-indol-3-yl)quinazolin-4(3H)-one with various alkenes. The reaction proceeds selectively at the C2 position of the indole moiety, facilitated by a cyclic amide as the directing group. Furthermore, the synthesized compounds were evaluated for their photophysical properties, revealing intriguing fluorescence characteristics that highlight their potential as promising fluorescent probes.


As one of the most privileged heterocycles, indole scaffolds have extensive applications in medicinal and materials chemistry.1,2 Indole derivatives are found in numerous natural products and pharmaceuticals, and show a wide range of biological activities including anticancer, antimicrobial, anti-inflammatory, and antifungal properties.3–5 Indole-based ligands can interact with metal centers, which are capable of binding with various receptors.6,7 Direct C–H functionalization of indoles has emerged as a powerful and straightforward route to synthesize substituted indoles.8 Transition metal-catalyzed C–H functionalization at different positions of indoles has been achieved by utilizing various directing groups.9,10 The synthesis of C2-functionalized indoles has gained the interest of chemists because of their applications in medicinal chemistry.11 Li and coworkers reported cobalt(III)-catalyzed C2-fluoroalkenylation of indoles using N-pyrimidine as a directing group (Scheme 1a).12 Most of the carbonyl-based directing groups favor C4 C–H functionalization.13 In 2017, Jia and coworkers reported Rh(III)-catalyzed C4-alkenylation of indole-3-carboxaldehyde using an aldehyde as a directing group (Scheme 1b).14
image file: d5cc00984g-s1.tif
Scheme 1 Transition-metal catalyzed C–H alkenylation of indoles.

Different alkenylated agents such as activated alkenes or alkynes have been used so far to obtain alkenylated indoles using transition metal catalyzed C–H functionalization.15 Wu and coworkers reported Rh(III)-catalyzed C2-alkenylation of indole using CF3-imidoyl sulfoxonium ylides as alkenylating agents (Scheme 1c).16 Despite significant progress in the C2-alkenylation of indoles, developing other structurally diverse directing groups is still highly important and desirable. To the best of our knowledge, there are no reports on the selective C2-alkenylation of indoles using a cyclic amide as a directing group. With our continuous efforts to develop late-stage C–H functionalization strategies for biologically active molecules,17 we herein report the Ru(II)-catalyzed C–H functionalization of indolyl quinazolinone with various alkenes (Scheme 1d). Here, this approach achieves selective C2-alkenylation of the indole moiety by employing a cyclic amide (quinazolin-4(3H)-one) as a directing group at the C3 position. Furthermore, the synthesized compounds are evaluated for their photophysical properties, leveraging their π-extended conjugation, and selective detection of F and CN ions.

We commenced our study by employing 2-(1H-indol-3-yl)quinazolin-4(3H)-one (1a) and methyl acrylate (2a) as substrates, [Ru(p-cymene)Cl2]2 as a catalyst, AgOAc as an oxidant, and AgSbF6 as an additive in DMF under a nitrogen atmosphere at 120 °C. The product 3aa was obtained in 40% yield (Table 1, entry 1). Next, we performed an extensive screening of the solvents. The yield of 3aa was further improved to 60% when DCE was used as a solvent (Table 1, entry 2). Using the other screened solvents, such as THF, 1,4-dioxane, toluene, and NMP, gave inferior results (Table 1, entries 3–6). Furthermore, to increase the product yield, we screened various oxidants, such as CuO, Cu(OTf)2, CuCl2, Ag2O, etc. (Table S2, SI), and all lowered the reaction yield. The yield of 3aa was increased up to 82% in the presence of Cu(OAc)2·H2O (Table 1, entry 7). Adding bases, including KOAc, NaOAc, and K2CO3, decreased the reaction yield significantly (Table 1, entries 8–10).

Table 1 Screening of the reaction conditions

image file: d5cc00984g-u1.tif

Entry Oxidant Additive Solvent Base Yielda (%)
Reaction conditions: 1a (0.1 mmol), 2a (0.15 mmol), [Ru(p-cymene)Cl2]2 (2.5 mol%), oxidant (1.2 equiv.), additive (5 mol%), solvent (1 mL), N2, 120 °C, 24 h.a Isolated yields.b Pd(OAc)2.c Pd(PPh3)4.d PdCl4.
1 AgOAc AgSbF6 DMF 40
2 AgOAc AgSbF6 DCE 60
3 AgOAc AgSbF6 THF 4
4 AgOAc AgSbF6 Dioxane 15
5 AgOAc AgSbF6 Toluene Traces
6 AgOAc AgSbF6 NMP 20
7 Cu(OAc)2·H2O AgSbF6 DCE 82
8 Cu(OAc)2·H2O AgSbF6 DCE KOAc 30
9 Cu(OAc)2·H2O AgSbF6 DCE NaOAc 20
10 Cu(OAc)2·H2O AgSbF6 DCE K2CO3 5
11 Cu(OAc)2·H2O P(Cy)3 DCE Traces
12 Cu(OAc)2·H2O AcOH DCE 10
13 Cu(OAc)2·H2O AdCO2H DCE 12
14b Cu(OAc)2·H2O AgSbF6 DCE 35
15c Cu(OAc)2·H2O AgSbF6 DCE 10
16d Cu(OAc)2·H2O AgSbF6 DCE 20


The use of additives other than AgSbF6 resulted in a low yield (Table 1, entries 11–13). However, the reaction without an oxidant gave only a sluggish product, indicating the importance of Cu(OAc)2·H2O. The reaction was also performed with palladium catalysts such as Pd(OAc)2, Pd(PPh3)4 and PdCl4, resulting in low conversion (Table 1, entries 14–16). With the optimized conditions in hands, we examined the scope of substituted indolylquinazolinones for this reaction (Scheme 2). The reaction was found to be compatible with substrates having indole moiety-bearing electron donating and electron withdrawing substituents to give the final products (3ba–3ja) in moderate to good yields (68–86%). Electron donating substituents such as Me (3ba) and OMe (3ca) at the C5 position of the indole moiety provided good yields of 86% and 83%, respectively. Substrates bearing halogens showed good tolerance and gave the products 3da–3ea and 3ga–3ja in good yields (68–76%). The position of the substituents on indole had no significant effect on the reaction yield, and substitutions at the C4, C5, and C6 positions were equally tolerated for the reaction. Delightfully, the reaction involving the substrate with N-methylindole, N-ethylindole, N-benzylindole, and N-allylindole proceeded efficiently resulting in the desired products with satisfactory yields of 3ka (69%), 3la (70%), 3ma (66%) and 3na (68%), respectively.


image file: d5cc00984g-s2.tif
Scheme 2 Scope of the phenanthroimidazole substrate.a Reaction conditions: 1 (0.38 mmol), 2a (0.57 mmol), [Ru(p-cymene)Cl2]2 (2.5 mol%), Cu(OAc)2·H2O (1.2 equiv.), AgSbF6 (5 mol%), DCE (2 mL), N2, 120 °C, 24 h. a[thin space (1/6-em)]Yields of isolated products.

Next, the scope of different alkenes towards this reaction was investigated. A variety of acrylates was compatible, giving the desired products in good yields (3ab–3af). The tert-butyl and isobornyl acrylate substituted compounds (3ad and 3af) were produced in lower yields compared to others (Scheme 3), suggesting that steric hindrance significantly impacted these reactions. Other active alkenes like methyl vinyl ketone, styrene acrylonitrile, cyclohexenone, etc. were also examined.


image file: d5cc00984g-s3.tif
Scheme 3 Scope of alkenes.a Reaction conditions: 1a (0.38 mmol), 2 (0.57 mmol), [Ru(p-cymene)Cl2]2 (2.5 mol%), Cu(OAc)2·H2O (1.2 equiv.), AgSbF6 (5 mol%), DCE (2 mL), N2, 120 °C, 24 h. a[thin space (1/6-em)]Yields of isolated products.

Among these, acrylonitrile and styrene gave the desired products 3ag and 3ah in 65% and 62% yields, respectively. Other alkenes like methyl vinyl ketone and cyclohexenone were found to be unsuccessful.

Next, a gram-scale experiment was performed under the optimized reaction conditions at 3.8 mmol scale to demonstrate the synthetic utility of this reaction. The product 3aa was obtained in 78% yield (Scheme 4).


image file: d5cc00984g-s4.tif
Scheme 4 Gram scale synthesis.

To get an insight into the reaction mechanism, preliminary control experiments were carried out. The reaction between 3-methyl indole and methyl acrylate did not give any alkenylated product, confirming the role of quinazolinone as a directing group (Scheme 5a). Furthermore, a series of deuterium labeling experiments were performed. The H/D exchange experiment of 1a with D2O without the addition of alkene gave 1a-[D] with 50% deuteration at the C2 position of the indole ring (Scheme 5b).


image file: d5cc00984g-s5.tif
Scheme 5 Mechanistic experiments.

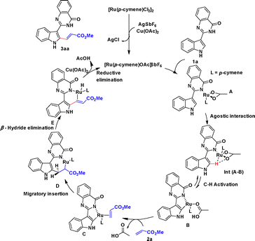
On the other hand, reaction of 1a with methyl acrylate in the presence of D2O gave the product 3aa-[D] with 40% deuteration at C2 of the indole moiety, indicating that the C–H activation step is reversible (Scheme 5c).18 In addition, the kinetic isotope effect was determined by the parallel reaction with 1a/1a-[D] to give PH/PD = 1.05, which indicates that C–H activation might not be the rate determining step (Scheme 5d).19 Based on these experiments and previous literature reports,20 we proposed the following reaction mechanism (Scheme 6). Initially, active catalyst [Ru(p-cymene)(OAc)]SbF6 was generated from [Ru(p-cymene)Cl2]2 in the presence of Cu(OAc)2 and AgSbF6. Coordination of the quinazolinone nitrogen atom of substrate 1a with the active catalyst followed by agostic interaction (Int A-B) and ortho-metalation provided an intermediate B. Alkene 2a coordinated to the ruthenium center by substitution of the acetic acid ligand to give intermediate C that underwent migratory insertion to give intermediate D. β-Hydride elimination of D followed by reductive elimination afforded the alkenylated product 3aa.


image file: d5cc00984g-s6.tif
Scheme 6 Proposed mechanism.

Photophysical properties. The extended conjugated systems in these molecules endowed them with potential to exhibit promising fluorescence properties.21 Hence, we studied the photophysical behaviour of these alkenylated compounds. The absorption and emission spectra of compound 3 were recorded in CH3CN at a concentration of 5 × 10−6 M (Table S8, SI). The absorption maximum of unsubstituted compound 3aa appeared at 343 nm. Both electron-donating and electron-withdrawing substituents caused a bathochromic shift in absorption maxima, which ranged from 344 to 355 nm. Similarly, the emission maximum of compound 3aa appeared at 525 nm with a Stokes shift of 9940 cm−1. Substitution with an electron-donating methyl group (3ba) shifted the emission band to 535 nm with a Stokes shift of 9500 cm−1. The bromo-substituted compound 3da exhibited an emission maximum at 518 nm with a Stokes shift of 9765 cm−1. Meanwhile, the phenyl substituted compound (3fa) showed an emission maximum at 545 nm with a Stokes shift of 10[thin space (1/6-em)]640 cm−1. Thus, the electron-donating substituents induce a bathochromic shift in the emission band, while in the case of electron-withdrawing substituents, the emission maxima showed a hypsochromic shift (Fig. 1a). Substrates with an electron-donating group showed an increase in fluorescence quantum yield (ΦF) of 0.80 compared to those with an electron-withdrawing substituent (ΦF = 0.66). Interestingly, the introduction of an aromatic ring increased the quantum yield to a maximum of 0.88. Additionally, under UV light, compounds 3ba and 3fa also exhibited notable emission colour changes to mild blue and green fluorescence, respectively (Fig. 1b).


image file: d5cc00984g-f1.tif
Fig. 1 (a) Absorption maxima (solid lines) and emission maxima (dashed lines), and (b) under UV radiations (312 nm) of 3aa, 3ba, 3da and 3fa in acetonitrile.

Next, we performed solvatochromic studies on the compound 3fa due to its red shifted emission. The absorption maxima in various solvents showed minimal variation, ranging from 344 to 350 nm. On the other hand, the emission maxima were significantly affected by solvent polarity, shifting from 473 nm in methanol (polar solvent, Stokes shift = 7760 cm−1, ΦF = 0.90) to 535 nm in diethyl ether (nonpolar solvent, Stokes shift = 10[thin space (1/6-em)]000 cm−1, ΦF = 0.58) (Table S9, SI). The blue shift of the emission spectra in polar solvents is attributed to the existence of the enol form in the excited state. Lippert's plot of compound 3fa showed a linear correlation, confirming negative solvatochromism (Fig. S1, SI). The increase in fluorescence quantum yield with an increase in solvent polarity could be due to Intramolecular Charge Transfer (ICT).22 Furthermore, to assess the selectivity towards different anions, fluorescence screening was carried out with compound 3aa (Fig. 2).


image file: d5cc00984g-f2.tif
Fig. 2 Change in emission spectra of compound 3aa (5 μM) with ions (250 μM).

In CH3CN at 5 × 10−6 M, compound 3aa interacted with 50 equivalents of various anions including Br, Cl, CN, F, I, HSO4, NO3, SCN, DCP, H2PO4 and HS. Strong fluorescence quenching and red shifts were observed with 3aa for both F and CN, while negligible changes occurred with other anions. The emission maxima of compound 3aa were shifted to 570 nm for F (25 nm shift) and 587 nm for CN (62 nm shift) with fluorescence quenching. The fluorescence spectral titration of 3aa with varying concentrations of F and CN anions in CH3CN gave the limits of detection of 88 nM and 50 nM, respectively (Fig. S2 and S3, SI). The NMR titrations and Job's plots of 3aa with F and CN ions indicated the interaction of the compound with ions through hydrogen bonds in a 1[thin space (1/6-em)]:[thin space (1/6-em)]2 ratio (Fig. S4–S8, SI).

In conclusion, we successfully developed a ruthenium-catalyzed C2 alkenylation of indoles using a cyclic amide of quinazolinone as a directing group. The reaction is compatible with a variety of substituents on the indole moiety and accommodates diverse alkenes. The alkenylated compounds demonstrated intriguing photophysical properties, including extended π-conjugation and negative solvatochromism. Additionally, compound 3aa exhibited selective fluorescence-based detection of F and CN anions, establishing its potential as a fluorescent probe.

We gratefully acknowledge ANRF (CRG/2023/004080), CEEMS-TIET (TIET/CEEMS/Regular/2021/018) for financial support and DST-FIST (SR/FST/CS-II/2018/69) for HRMS analysis.

Conflicts of interest

There are no conflicts to declare.

Data availability

The data supporting this article have been included as part of the SI. Supplementary information available: Experimental procedures, NMR, HRMS, and crystallographic data. See DOI: https://doi.org/10.1039/d5cc00984g

CCDC 2409835 contains the supplementary crystallographic data for this paper.23

Notes and references

  1. T. V. Sravanthi and S. L. Manju, Eur. J. Pharm. Sci., 2016, 91, 1–10 CrossRef CAS PubMed.
  2. Y. Liu, K. Ai and L. Lu, Chem. Rev., 2014, 114, 5057–5115 CrossRef CAS PubMed.
  3. (a) N. Devi, K. Kaur, A. Biharee and V. Jaitak, Curr. Med. Chem.: Anti-Cancer Agents, 2021, 21, 1802–1824 CrossRef CAS PubMed; (b) P. V. Thanikachalam, R. K. Maurya, V. Garg and V. Monga, Eur. J. Med. Chem., 2019, 180, 562–612 CrossRef CAS PubMed.
  4. J. Kaur, D. Utreja, N. Jain and S. Sharma, Curr. Organ. Synth., 2019, 16, 17–37 CrossRef CAS PubMed.
  5. (a) C. A. Broka and J. A. Campbell, US Pat., 6872744B2, 2005 Search PubMed; (b) S. Singh, N. Sharma and R. Chandra, Org. Chem. Front., 2022, 9, 3624–3639 RSC.
  6. S. S. Alharthi, Chem. Pap., 2023, 77, 7379–7394 CrossRef CAS.
  7. A. Kumari and R. K. Singh, Bioorg. Chem., 2019, 89, 103021 CrossRef CAS PubMed.
  8. (a) K. Urbina, D. Tresp, K. Sipps and M. Szostak, Adv. Synth. Catal., 2021, 363, 2723–2739 CrossRef CAS; (b) P. Kumar, P. J. Nagtilak and M. Kapur, New J. Chem., 2021, 45, 13692–13746 RSC; (c) D. G. Matesanz, L. Gamarra, T. M. del Campo, P. Almendros and S. Cembellín, ACS Catal., 2023, 13, 14523–14529 CrossRef CAS; (d) R. K. Shukla, A. Singh, R. Shetty and C. M. Volla, Adv. Synth. Catal., 2025, 367, e202401400 CrossRef CAS; (e) C. Lázaro-Milla, J. L. Mascareñas and F. López, ACS Catal., 2024, 14, 2872–2882 CrossRef.
  9. J. A. Leitch, Y. Bhonoah and C. G. Frost, ACS Catal., 2017, 7, 5618–5627 CrossRef CAS.
  10. (a) V. Lanke and K. R. Prabhu, Chem. Commun., 2017, 53, 5117–5120 RSC; (b) T. A. Shah, P. B. De, S. Pradhan and T. Punniyamurthy, Chem. Commun., 2019, 55, 572–587 RSC.
  11. M. Mor, G. Spadoni, B. D. Giacomo, G. Diamantini, A. Bedini, G. Tarzia, P. V. Plazzi, S. Rivara, R. Nonno, V. Lucini and M. Pannacci, Bioorg. Med. Chem., 2001, 9, 1045–1057 CrossRef CAS PubMed.
  12. L. Kong, X. Zhou and X. Li, Org. Lett., 2016, 18, 6320–6323 CrossRef CAS PubMed.
  13. Y. Yang, P. Gao, Y. Zhao and Z. Shi, Angew. Chem., Int. Ed., 2017, 56, 3966–3971 CrossRef CAS PubMed.
  14. J. Lv, B. Wang, K. Yuan, Y. Wang and Y. Jia, Org. Lett., 2017, 19, 3664–3667 CrossRef CAS PubMed.
  15. (a) M. Y. Wong, T. Yamakawa and N. Yoshikai, Org. Lett., 2015, 17, 442–445 CrossRef CAS PubMed; (b) K. Sakata, M. Eda, Y. Kitaoka, T. Yoshino and S. Matsunaga, J. Org. Chem., 2017, 82, 7379–7387 CrossRef CAS PubMed; (c) J.-W. Li, S. Shi, M.-G. Huang, X.-H. Chen, L.-Y. Qiao and Y.-J. Liu, J. Org. Chem., 2024, 90, 35–43 CrossRef PubMed.
  16. Z. Yang, J. Tang, C. Li, Z. Chen and X. F. Wu, Chem. Commun., 2023, 59, 318–321 RSC.
  17. (a) R. Thakur and K. Paul, J. Org. Chem., 2024, 89, 6016–6026 CrossRef CAS PubMed; (b) D. Singla, V. Luxami and K. Paul, Eur. J. Org. Chem., 2023, e202300531 CrossRef CAS.
  18. W. Ma, K. Graczyk and L. Ackermann, Org. Lett., 2012, 14, 6318–6321 CrossRef CAS PubMed.
  19. R. Sharma and S. Chaudhary, J. Org. Chem., 2022, 87, 16188–16203 CrossRef CAS PubMed.
  20. Y. Zheng, W. B. Song, S. W. Zhang and L. J. Xuan, Org. Biomol. Chem., 2015, 13, 6474–6478 RSC.
  21. H. Hazarika, D. Duttaa, S. Brahma, B. Das and P. Gogoi, J. Org. Chem., 2022, 88, 12168–12182 CrossRef PubMed.
  22. S. Kothavale and N. Sekar, ChemistrySelect, 2017, 2, 7691–7700 CrossRef CAS.
  23. R. Thakur, V. Luxami and K. Paul, CCDC 2409835: Experimental Crystal Structure Determination, 2025>,  DOI:10.5517/ccdc.csd.cc2lwmmr.

This journal is © The Royal Society of Chemistry 2025
Click here to see how this site uses Cookies. View our privacy policy here.