Recent strategy for the synthesis of indole and indoline skeletons in natural products
Abstract
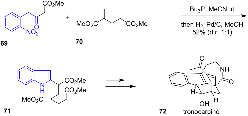
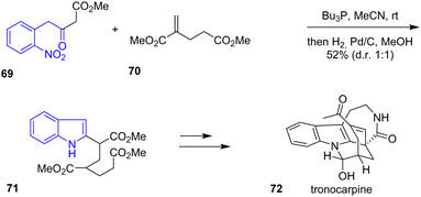
Indole alkaloids are one of the most important classes of natural products found in nature, particularly in a wide variety of plants. These compounds have compact polycyclic systems with at least one nitrogen atom. Several of these alkaloids are bioactive and have raised hopes for the development of new drugs. Their biosynthesis involves tryptophan as an amino acid precursor, since the indole or indoline moiety is the main heterocycle of these natural products. However, in their quest to synthesize such complex architectures, chemists have developed several different strategies to produce this key heterocycle quickly and in an unnatural way. This review focuses on the recent total synthesis methods used to prepare the indole and indoline core of these important alkaloids. Novel and older methods that allow the rapid formation of this heterocycle are described as key steps in the total synthesis of these fascinating structures designed by Mother Nature.

Please wait while we load your content...