 Open Access Article
 Open Access Article
      
        
          
            Francis 
            Delano
             IV
          
        
       a, 
      
        
          
            Florian 
            Benner
a, 
      
        
          
            Florian 
            Benner
          
        
       a, 
      
        
          
            Seoyun 
            Jang
a, 
      
        
          
            Seoyun 
            Jang
          
        
       a, 
      
        
          
            Samuel M. 
            Greer
a, 
      
        
          
            Samuel M. 
            Greer
          
        
       b and 
      
        
          
            Selvan 
            Demir
b and 
      
        
          
            Selvan 
            Demir
          
        
       *a
*a
      
aDepartment of Chemistry, Michigan State University, 578 South Shaw Lane, East Lansing, Michigan 48824, USA. E-mail: sdemir@chemistry.msu.edu
      
bLos Alamos National Laboratory (LANL), Los Alamos, New Mexico 87545, USA
    
First published on 26th July 2024
The generation of noncovalent intermolecular interactions represents a powerful method to control molecular vibrations and rotations. Combining these with the axial ligand field enforced by the metallocene ligand scaffold provides a dual-pronged approach in controlling the magnetic-relaxation pathways for dysprosium-based single-molecule magnets (SMMs). Here, we present the first implementation of 2,3,4,5-tetraiodopyrrole (TIPH) in its anionic form [TIP]− as a ligand in three isostructural rare-earth metal complexes Cp*2RE(TIP) (1-RE, RE = Y, Gd, and Dy; Cp* = pentamethylcylopentadienyl), where the TIP ligand binds through the nitrogen and one iodine atom κ2(N,I) to the metal centre. The shallow potential energy surface of the intermolecular σ-hole interaction yields distortions of the interatomic distances at elevated temperatures which were investigated by variable-temperature SCXRD. 1-RE constitute the first crystallographically characterized molecules containing TIP as a ligand for any metal ion, and 1-Dy is the first SMM that employs the TIP ligand. The structural dependence on temperature allowed the mechanism of magnetic relaxation to be explored through ab initio calculations at different temperatures. The electronic influence of the coordinated iodine substituent was probed via magnetometry and cw-EPR spectroscopy on 1-Gd. To further scrutinize the impact of the iodine substituents on the physical properties, a second set of new complexes Cp*2RE(DMP) (2-RE, RE = Y, and Dy) where DMP = 2,5-dimethylpyrrolyl were synthesized. Here, the DMP ligand binds similarly to the TIP ligand and represents an all-hydrocarbon analogue to 1-RE. 2-Dy constitutes the first SMM bearing a DMP ligand.
The generation of noncovalent inter- and intramolecular interactions represents a powerful tool for (supra)molecular chemistry and crystal engineering.18 Halogen bonding originates from a net attractive interaction between a charge depleted region of a halogen atom and a nucleophilic region of a molecule or molecular fragment.19 σ-holes, or areas of positive electrostatic potential along the extensions of covalently bonded halogen atoms, stem from the charge density anisotropy of the heavy halogens. Consequently, negative electrostatic potential accumulate on the equatorial regions of the atom.20 This phenomenon is typically observed for the heavy halogen atoms due to the increased polarizability ascribed to the larger ionic radii. Intermolecular interactions of this class have garnered enormous attention in supramolecular chemistry and related fields.21
Our search for ligand scaffolds suitable for fostering halogen bonding stabilization interaction led to the attractive 2,3,4,5-tetraiodopyrrole ligand (TIPH), Fig. 1. Excitingly, its electrostatic potential map reveals a region of depleted electron density, a key observable of σ-holes.19 Generally, the positive extrema of the electrostatic potential, Vs,max, corresponds to the location of the σ-hole.20 Notably, co-crystals containing TIPH and tetraphenylphosphonium iodide, tri(n-propyl)ammonium or 1,3,5-trimethylpyridinium iodide exhibit short I⋯TIP interatomic distances,22,23 indicative of halogen bonding. Discrete installation of both halogen atoms and halogen-containing substituents has enabled a controlled design of catalysts and supramolecular structures. Remarkably, halogen bonding interactions were integral for the production of molecular motors and catalysts,24 by helping maintain a specific geometry that best favours the rotational behaviour of said molecule.
We are intrigued to implement non-covalent interactions in the realm of the rare earth (RE) metals, using TIP, which is hitherto unexplored in coordination chemistry at large. In particular, our interest is to generate new single-molecule magnets (SMMs) featuring such non-covalent interactions and study their impact on the mechanism of magnetic relaxation.
Albeit its scarce use, TIPH is an intriguing molecule that was first discovered by Ciamician and Dennstedt in 1882.25 The molecule itself is generally stable, however decomposes releasing I2 at elevated temperatures (140–150 °C). As such, TIPH represents a promising material as an agent defeat weapon,26 a molecule designed to destroy or neutralize active agents by releasing large amounts of biocides such as I2 after detonation, owing to its inherent high iodine content, and impact sensitivity.
Herein, the synthesis and characterization of three unprecedented mononuclear yttrium, gadolinium, and dysprosium tetraiodopyrrole complexes Cp*2RE(TIP) (1-RE, RE = Y, Gd, and Dy; Cp* = pentamethylcyclopentadienyl, TIP = 2,3,4,5-tetraiodopyrrolyl) are presented. The three isostructural complexes represent the first crystallographically characterized compounds containing TIP as a ligand for any metal ion. Noteworthy, the TIP ligand formally binds κ2(N,I) to the metal centre involving both the nitrogen atom and the iodine atom of the 2-position of the heterocyclic ring. This binding motif was unambiguously confirmed through single-crystal X-ray diffraction (SCXRD) analysis and density functional theory calculations. As intermolecular halogen-bonding interactions may be prone to depend strongly on temperature,27,28 the structure of 1-Dy was thoroughly examined through variable temperature SCRXD. This strong intermolecular interaction manifests itself in a significant distortion to the primary crystal field of the DyIII ion, as a result of the elongation of the intermolecular I⋯I interactions over the investigated temperature range. Excitingly, The DyIII congener, 1-Dy, displays out-of-phase components of the ac magnetic susceptibility, indicative of slow magnetic relaxation. The observed structural distortions with respect to temperature affords the opportunity to investigate how small alterations to the Dy–I distance influences the mechanism of magnetic relaxation through ab initio calculations at three different temperatures. Additionally, the electronic structure of 1-Gd was probed through both magnetometry and cw-EPR spectroscopy, in order to assess the influence of the proximal iodine atom on the electronic structure of the GdIII centre. The analogous 2,5-dimethylpyrrolyl complexes Cp*2RE(DMP) (2-RE, RE = Y, Dy, DMP = 2,5-dimethylpyrrolyl) were additionally isolated. Here, the DMP ligand binds in a similar fashion to the tetraiodopyrrole ligand and represent excellent hydrocarbon analogues to the halogen substituted complexes.
|  | (1) | 
The data collection strategy, unit cell determination, and data reduction were performed by the CrysAlisPro software,33 which corrects for Lorentz-polarization. Absorption effects were accounted for through use of a numerical absorption correction based on Gaussian integration over a multifaceted crystal model using spherical harmonics implemented in the SCALE3 ABSPACK34 scaling algorithm.
The structure of 1-RE and 2-RE were solved in the space group P21/c by using dual methods with the ShelXT35 and refined by least squares using version 20189/2 of XL36 incorporated in Olex2.37 All non-hydrogen atoms were refined anisotropically. Hydrogen atom positions were calculated geometrically and refined using the riding model.
![[H with combining low line]](https://www.rsc.org/images/entities/i_char_0048_0332.gif) NC4I4). 13C (126 MHz, ppm, DMSO-d6, 25 °C) δ 87.25 (N
NC4I4). 13C (126 MHz, ppm, DMSO-d6, 25 °C) δ 87.25 (N![[C with combining low line]](https://www.rsc.org/images/entities/i_char_0043_0332.gif) 4H4), 80.34 (N
4H4), 80.34 (N![[C with combining low line]](https://www.rsc.org/images/entities/i_char_0043_0332.gif) 4H4). (ATR, cm−1) 3379s, 3360m, 2846w, 1469m, 1383m, 1333w, 1282m, 1224m, 1207w, 1005m, 941s, 911w, 842w.
4H4). (ATR, cm−1) 3379s, 3360m, 2846w, 1469m, 1383m, 1333w, 1282m, 1224m, 1207w, 1005m, 941s, 911w, 842w.
      
      
         ). 13C NMR (126 MHz, ppm, chloroform-d, 25 °C) δ 121.48, (
). 13C NMR (126 MHz, ppm, chloroform-d, 25 °C) δ 121.48, (![[C with combining low line]](https://www.rsc.org/images/entities/i_char_0043_0332.gif) 5Me5), 82.55, 82.33 (TIP), 12.23
5Me5), 82.55, 82.33 (TIP), 12.23  Anal. calcd for C24H30NI4Y·CH2Cl2: C 29.61, H 3.18, N 1.38. Found: C 29.61, H 3.05, N 1.37. (ATR, cm−1) 2898m, 1853m, 1429m, 1413w, 1377m, 1367w, 1356m, 1246w, 1213s, 1190s, 1163s, 1017m, 943s, 924s, 892w, 724s, 693s. Note for 1-Y: the initial precipitation of the yellow-green solid during warm-up of the reaction from −78 °C to room temperature, was additionally isolated through centrifugation in one event for further investigation. The solid amounted to approximately 76% crude yield, and both 1H NMR studies on the solid as well as single-crystals grown from this solid unambiguously have proven it to be 1-Y.
 Anal. calcd for C24H30NI4Y·CH2Cl2: C 29.61, H 3.18, N 1.38. Found: C 29.61, H 3.05, N 1.37. (ATR, cm−1) 2898m, 1853m, 1429m, 1413w, 1377m, 1367w, 1356m, 1246w, 1213s, 1190s, 1163s, 1017m, 943s, 924s, 892w, 724s, 693s. Note for 1-Y: the initial precipitation of the yellow-green solid during warm-up of the reaction from −78 °C to room temperature, was additionally isolated through centrifugation in one event for further investigation. The solid amounted to approximately 76% crude yield, and both 1H NMR studies on the solid as well as single-crystals grown from this solid unambiguously have proven it to be 1-Y.
      
      
         ), 2.04 (s, 6H,
), 2.04 (s, 6H,  ), 6.26 (s, 2H, NC4Me2
), 6.26 (s, 2H, NC4Me2![[H with combining low line]](https://www.rsc.org/images/entities/i_char_0048_0332.gif) 2). 13C{1H} NMR (126 MHz, ppm, toluene-d8, 25 °C) δ 120.45, (
2). 13C{1H} NMR (126 MHz, ppm, toluene-d8, 25 °C) δ 120.45, (![[C with combining low line]](https://www.rsc.org/images/entities/i_char_0043_0332.gif) 5Me5), 109.33 (N
5Me5), 109.33 (N![[C with combining low line]](https://www.rsc.org/images/entities/i_char_0043_0332.gif) 4Me2H2), 108.04 (N
4Me2H2), 108.04 (N![[C with combining low line]](https://www.rsc.org/images/entities/i_char_0043_0332.gif) 4Me2H2), 9.25–12.24 (q, 1JC–H: 125.83 Hz,
4Me2H2), 9.25–12.24 (q, 1JC–H: 125.83 Hz,  ), 15.00–17.92 (q, 1JC–H: 121.90 Hz,
), 15.00–17.92 (q, 1JC–H: 121.90 Hz,  ). Anal. calcd for C26H38NY: C 68.86, H 8.45, N 3.09. Found: C 68.48, H 8.81, N 3.05. (ATR, cm−1) 3083w, 2965w, 2902m, 2858m, 2719w, 1484w, 1433m, 1373m, 1307w, 1254m, 1051w, 1021w, 949w, 745s.
). Anal. calcd for C26H38NY: C 68.86, H 8.45, N 3.09. Found: C 68.48, H 8.81, N 3.05. (ATR, cm−1) 3083w, 2965w, 2902m, 2858m, 2719w, 1484w, 1433m, 1373m, 1307w, 1254m, 1051w, 1021w, 949w, 745s.
      
      
        Dc magnetic susceptibility data were collected at temperatures ranging from 2 to 300 K. Ac magnetic susceptibility data were collected under a 3 Oe oscillating magnetic field. All data were corrected for diamagnetic contributions from the eicosane and core diamagnetism estimated using Pascal's constants.39 The molar masses used to work up the raw magnetic data for all compounds are based on the molar mass determined by single-crystal X-ray diffraction study and matching elemental analysis.
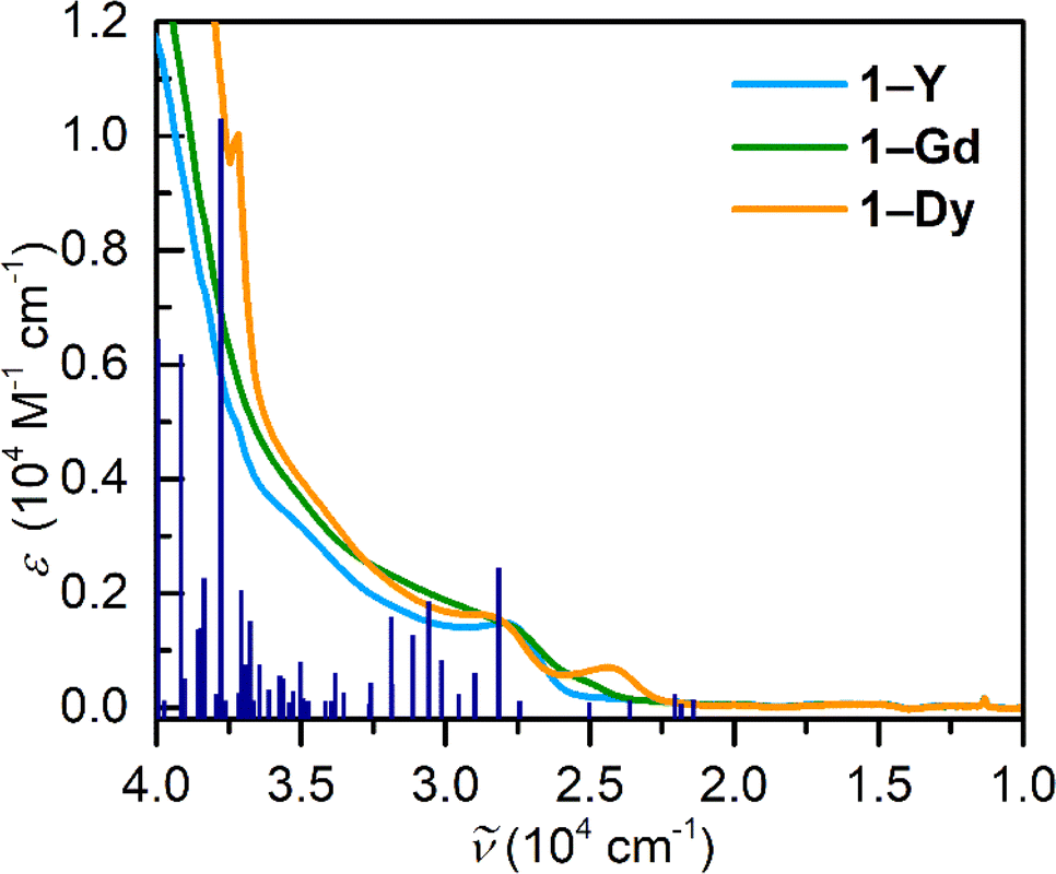
The electronic structure of 1-Y and 2-Y were studied by density functional theory (DFT) calculations through use of the Gaussian software suite.48 A suitable functional for the characterization of 1-Y and 2-Y was determined through comparison of the experimental and computed bond metrics of various functionals employing the def2-SVP basis set, Tables S26, S27 and S30, S31.†![[thin space (1/6-em)]](https://www.rsc.org/images/entities/char_2009.gif) 42,49 It was determined that the hybrid meta-GGA functional TPSSh, most accurately described the structure of 1-Y, and thus, a final geometry optimization was performed using the larger def2-TZVP functional on all atoms, as well as a 28 in-core electron pseudopotential (ECP28MDF45) and GD3 (ref. 50 and 51) empirical dispersion correction on both the central Y ion, as well as the ancillary iodine substituents. TDDFT calculations were conducted on the optimized structure of 1-Y for 50 excited states on the def2-TZVP/ECP28MDF(Y,I) level of theory using the TPSSh functional with GD3 dispersion correction. A CPCM implicit solvent model for dichloromethane was included.46,47 In the case of 2-Y, multiple functionals accurately predicted the experimentally determined geometry, Tables S30 and S31.† Owing to the success of the TPSSh functional in the optimization of 1-Y, the final geometry of 2-Y was also completed using this description. Final optimizations were performed employing the very-tight optimization criteria. The minimum structures were confirmed through analytical frequency calculations. One small, imaginary frequency (10i cm−1) was found for 1-Y, owing to the flat potential energy surface regarding the rotation of the [Cp*]− ligands. This phenomenon has also been observed in similar RE metal organometallic complexes, and is considered benign if the frequency in question does not concern the atoms of interest.52 The bonding situation of 1-Y and 2-Y were investigated through a natural localized molecular orbital (NLMO)53 analysis, at def2-TZVP/ECP28MDF(Y,I) level of theory using the TPSSh functional with GD3 dispersion correction. The relevant donor/acceptor NLMO interactions are provided in Tables S29 and S32,† respectively. Only strongest interactions between the pyrrolyl ligand and metal ion are depicted (>1 kcal mol−1).
42,49 It was determined that the hybrid meta-GGA functional TPSSh, most accurately described the structure of 1-Y, and thus, a final geometry optimization was performed using the larger def2-TZVP functional on all atoms, as well as a 28 in-core electron pseudopotential (ECP28MDF45) and GD3 (ref. 50 and 51) empirical dispersion correction on both the central Y ion, as well as the ancillary iodine substituents. TDDFT calculations were conducted on the optimized structure of 1-Y for 50 excited states on the def2-TZVP/ECP28MDF(Y,I) level of theory using the TPSSh functional with GD3 dispersion correction. A CPCM implicit solvent model for dichloromethane was included.46,47 In the case of 2-Y, multiple functionals accurately predicted the experimentally determined geometry, Tables S30 and S31.† Owing to the success of the TPSSh functional in the optimization of 1-Y, the final geometry of 2-Y was also completed using this description. Final optimizations were performed employing the very-tight optimization criteria. The minimum structures were confirmed through analytical frequency calculations. One small, imaginary frequency (10i cm−1) was found for 1-Y, owing to the flat potential energy surface regarding the rotation of the [Cp*]− ligands. This phenomenon has also been observed in similar RE metal organometallic complexes, and is considered benign if the frequency in question does not concern the atoms of interest.52 The bonding situation of 1-Y and 2-Y were investigated through a natural localized molecular orbital (NLMO)53 analysis, at def2-TZVP/ECP28MDF(Y,I) level of theory using the TPSSh functional with GD3 dispersion correction. The relevant donor/acceptor NLMO interactions are provided in Tables S29 and S32,† respectively. Only strongest interactions between the pyrrolyl ligand and metal ion are depicted (>1 kcal mol−1).
The magnetic properties of 1-Dy and 2-Dy were calculated via a complete active space self-consistent field (CASSCF) +N-valence perturbation theory (NEVPT2) approach implemented in the ORCA 5.0.4 package.54,55
To implement these interactions into crystals containing bis-cyclopentadienyl scaffolds containing rare-earth centres, we turned to the halogenated heterocycle 2,3,4,5-tetraiodopyrrole. Complexes innate to tetraiodopyrrole ligands are unknown, rendering them intriguing synthetic targets for the development of new multifunctional materials. The synthesis of 2,3,4,5-tetraiodopyrrole (TIPH) was first described in 1882,25eqn (1), and has since been investigated in the development of building blocks for halogen bond-assisted supramolecular structures.23
The installation of RE metallocene units into larger molecules benefits from the isolation of materials that have prolific use in various applications such as in catalysis and magnetism.56,57 An attractive synthetic strategy utilizes allylic complexes Cp*2RE(η3-C3H5), where the allyl component can readily extrude the relatively inert propene gas by adding an acidic proton. The use of this particular driving force has been demonstrated for RE and other early transition metals giving rise to both mono- and multi-nuclear complexes including, Cp*2Y(NH2)THF, [Cp′2Zr(μ3-S)DyCp*2]2, [Cp*2Dy(μ-CNC6H4O-κC:κO)]2,58 [((η5-Cp*)2RE)2(μ-1η2-pyr-2κN)(μ-2η2-pyr-1κN)],59 and dinuclear complexes in the presence of H2.60,61
Capitalizing on this fruitful synthetic approach, the bis(pentamethylcyclopentadienyl) RE tetraiodopyrrole complexes Cp*2RE(TIP), 1-RE, (RE = Y (1-Y), Gd (1-Gd), and Dy (1-Dy)) were isolated from a protonolysis reaction of H-tetraiodopyrrole and the respective RE allyl complexes in toluene, Fig. 2. Notably, 1-RE is poorly soluble in toluene, causing it to precipitate as a yellow-green solid as the reaction progresses (where the isolated solid amounted to approximately 76% crude yield for 1-Y). Yellow crystals suitable for single-crystal X-ray diffraction analysis were grown from concentrated dichloromethane solution at −35 °C in 56, 43, and 47% crystalline yields, for 1-Y, 1-Gd, and 1-Dy, respectively. All three complexes are isostructural and crystalize in the space group P21/c with four molecules in the unit cell, Fig. S8.† In all cases the first coordination sphere of the eight-coordinate metal centre is comprised of two pentamethylcyclopentadienyl ligands, the nitrogen and one iodine atom of the TIP ligand.
In order to assess the influence of the ancillary iodine atoms we pursued the synthesis of an all-hydrocarbon alternative in the first coordination sphere. For this, we turned to 2,5-dimethylpyrrole (DMPH). Here, the differing substitution has a dramatic influence on the basicity of the N-atom of the heterocycle. In order to estimate the pKa of the TIPH, pyrrole, and DMPH ligands, we computationally determined the thermodynamic parameters for the proton transfer reaction between the heterocycle and one water molecule. This approach has been described in the estimation of pKa for several carboxylic acids.41,62 The relevant thermodynamic values are provided in Tables S24 and S25,† resulting in estimated pKa values of 6.19, 21.10, and 23.45 for TIPH, H-pyrrole, and H-2,5-dimethylpyrrole respectively. Interestingly, when DMPH is reacted directly with Cp*2RE(η3-C3H5) no reaction is observed likely because of the decreased acidity of the N-proton.
Thus, we pursued an alternative synthetic approach to isolate the unprecedented Cp*2RE(DMP) (RE = Y (2-Y) and Dy (2-Dy), DMP = 2,5-dimethylpyrrolyl), which were obtained from salt-metathesis reactions of Cp*2RE(BPh4) (RE = Y, Dy) and the potassium salt of 2,5-dimethylpyrrolyl, K[DMP], Fig. 3. Similar approaches have been employed to implement the [CpR2RE]+ cation (where R = alkyl) to obtain both mono- and multinuclear RE compounds.31,63–69 Notably, we recently extended this approach to systems bearing guanidinate anions.70,71 Recently, both guanidinate and the structurally and electronically related amidinate ions have been shown to be attractive ligands for the design of single-molecule magnets.70,72–75 Yellow single-crystals of 2-RE were grown from concentrated n-hexane solutions at −35 °C in 42 and 37% crystalline yield for 2-Y and 2-Dy, respectively. 2-RE are isostructural and crystalize in the monoclinic space group P21/c akin to 1-RE. The structure of 2-RE is topologically similar to that of 1-RE as each metal centre is seven-coordinate and ligated by two pentamethylcyclopentadienyl anions and one asymmetrically coordinated DMP substituent with one main interaction to the nitrogen atom, and two weak agostic interactions to one of the methyl groups of the pyrrole ring, and the adjacent C2 carbon of the pyrrole ring.
Excitingly, 1-RE represent the first report of tetraiodopyrrole as a ligand for any metal ion. Notably, the σ- and π-type Lewis basicity of pyrrolyl ligands allows a wide range of coordination modes from η1–η5.76 Recently, the first report of an η1:η2-bridging coordination mode of the pyrrolyl ligand was reported by some of us, resulting from a highly strained dinuclear complex.59 However, in both 1-RE and 2-RE, the N-atom of the pyrrolyl ligand forms a σ-type interaction with the metal centre, without any additional interactions arising from the π-system. Notably, the RE–N interaction in 1-RE is significantly elongated with 2.367(6), 2.410(3) and 2.376(3) Å for 1-Y, 1-Gd, and 1-Dy, respectively, compared to 2.289(1) and 2.299(2) Å for 2-Y and 2-Dy, respectively. This is attributed to the significant differences in basicity of the coordinating nitrogen atom in TIP vs. DMP. The small differences in interatomic distances across isostructural complexes are attributed to the slight variations in ionic radii for Y, Gd, and Dy (YIII = 1.019, GdIII = 1.053, and DyIII = 1.027 Å; CN = 8).77 Remarkably, neither pyrrolyl ligand coordinates symmetrically to the metal centre. In both cases, one substituent in the 2-position of the heterocyclic ring lies substantially closer to the metal than the other. The shortest interatomic RE–I distances in 1-RE (RE–I1) amount to 3.238(1) (1-Y), 3.253(1) (1-Gd), and 3.233(1) (1-Dy) Å, hinting at a significant metal iodine interaction, see Fig. S7† for relevant atom labels. These interatomic distances are significantly longer than other complexes bearing direct Dy–I bonding interactions such as (NNTBS)DyI(THF)2,78 (NNTBS = Fc(NHSitBuMe2)2; Dy–I = 3.09 Å), Cp*2DyI(THF),79 (Dy–I = 2.982 Å), and Dy(Cy3PO)3I3 (Dy–I = 3.055–3.097 Å).80 In contrast, the nearest methyl substituent of the DMP ligand in 2-RE resides significantly closer to the metal centre, with distances of 2.993(2) and 2.996(2) Å in 2-Y and 2-Dy, respectively. The Cnt–RE distances in 1-RE (where Cnt centroid of the pentamethylcyclopentadienyl ring) are 2.355 and 2.344 Å for 1-Y, 2.391 and 2.390 Å for 1-Gd, and 2.357 2.359 Å for 1-Dy. By contrast, the respective Cnt–RE distances in 2-RE are marginally shorter with 2.342 and 2.338 Å for 2-Y, and 2.347 and 2.341 Å for 2-Dy. For both set of compounds, the ∠Cnt–RE–Cnt metallocene angle is slightly larger than 131.8° found in [Cp*2Y(μ-pyr)]2 (139.4°, 139.3°, 139.9°, 139.5°, and 139.7° for 1-Y, 1-Dy, 1-Gd, 2-Y, and 2-Dy, respectively).
Intriguingly, the closest intermolecular I⋯I interaction is 3.838(1) Å, observed in 1-Y, which is approximately 0.15 Å less than the van der Waals radii for two I atoms (3.98 Å).81 In addition to the reduced I⋯I interatomic distance, another key observable of a σ-hole interaction is the interatomic distance between the C and halogen substituent.82 A σ-hole interaction typically changes the length of the C–I covalent bond that is colinear with the σ-hole interaction by ±0.03 Å or less.83–85 The C–I interatomic distances in free TIPH range from 2.060(6) to 2.054(6) Å,38 which is 0.039 Å shorter than the C–I1 distance of 2.099(8) Å observed in 1-Y. Typically, halogen⋯halogen interactions are separated into two types: type I and type II.82 There are clear chemical and geometric criteria for the designation of which classification is most appropriate for a given interaction.82 Interactions of type I are typically geometry-based and arise from close crystal packing, which are observed for all halogen atoms. By contrast, type II interactions originate from electrophile-nucleophile pairings, which is a direct consequence of the increased polarizability of the I atom. Since the region of positive electrostatic potential lies along the same axis of the covalent bond, the σ-hole interaction is normally colinear with the covalent C–I bond. For 1-Y, the ∠C–I–I angle is 166.5(2)°, where the deviation from linearity is attributed to crystal-packing affects.
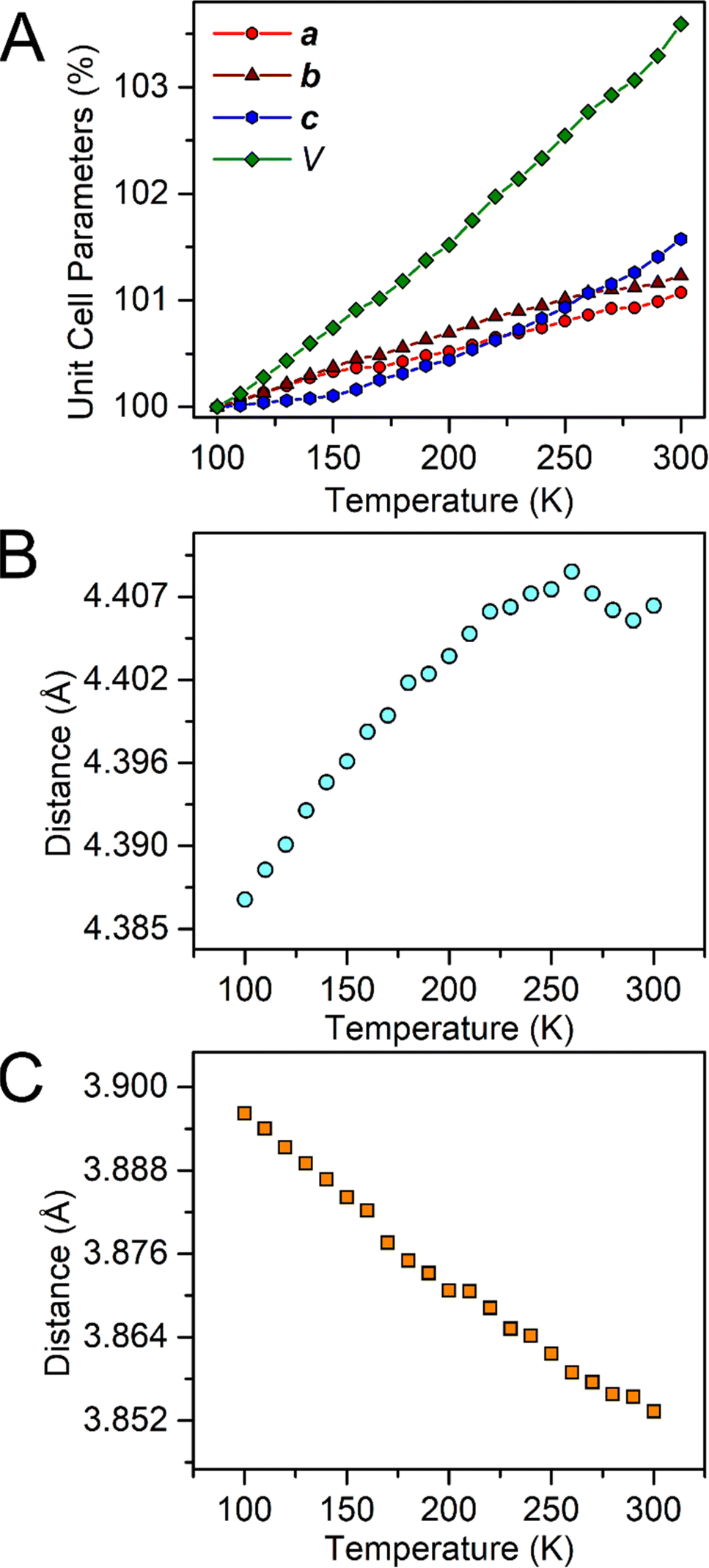
In general, weak interactions with shallow potential energy wells do not cost much energy, thus have large deformation with changing temperatures. Notably, the interatomic distances of halogen bonding interactions are extremely dependent on temperature.28 To probe the temperature dependence of the structure of the complex in the solid state, a single-crystal X-ray diffraction analysis of 1-Dy was conducted at varying temperatures from 100 to 300 K, Fig. 4, S5 and S6.† The monotonic changes in unit cell dimensions, Fig. 5, preclude any potential phase transition over the probed temperature range. Traversing the temperature from 100 to 300 K, the unit cell parameters for 1-Dy elongate (Δa = 0.1106 Å, Δb = 0.1754 Å, and Δc = 0.3346 Å) causing an expansion of 3.6% for the unit cell volume (compare V = 3058.4(1) and 3168.2(2) Å3 for 100 and 300 K, respectively). Over the entire probed temperature range, the TIP ligand maintains a κ2-coordination mode, Fig. 4. Noteworthy, the Dy–I1 interatomic distance increases substantially (ΔDy–I1 = 0.024 Å), Fig. 5B, whereas the Dy–N interatomic distance remains unchanged, as it relates to the magnitude of the standard deviation, Fig. S9.† The displacement of the coordinated iodine atom is also observed in the I1–I2 interatomic distance, Fig. 5C, which declines substantially with increasing temperature. In addition, the N–C and C–C distances around the pyrrole ring remain invariant as a function of temperature, suggesting that this phenomenon is localized to the ancillary I-substituents, Fig. S10.†
|  | ||
| Fig. 5 Plots of the temperature dependence of the unit cell parameters (A), and interatomic Dy–I1 (B), and I1–I2 (C) distances of Cp*2Dy(TIP)·CH2Cl2. The error bars are within the radius of the symbols. Please see Fig. S7† for relevant atom labels. Graphical representations of the intermolecular halogen⋯halogen interactions are provided in Fig. S11–S13.† | ||
Several description of halogen bonding have been developed, including those based on the natural orbitals of chemical valence (ETS-NOCV), which provides a quantitative picture of the electronic and electrostatic influences at play between donor and acceptor units.86 One description of intermolecular halogen⋯halogen bonding invokes molecular orbital theory along the X⋯X axis.21 Due to the energy lowering arising from the favourable orbital overlap between the two halogen substituents, the formation of both a formally bonding and antibonding molecular orbital is observed.87 Notably, the closest intermolecular I⋯I interaction (I1–I3) monotonically increases from 3.838(1) to 3.980(1) Å (ΔI1–I3 = 0.142 Å) with elevating temperature, Fig. S11,† consistent with the population of the σ*-LUMO with increasing temperatures. The same scenario is found for the second closest intermolecular I⋯I interaction (I1–I4), Fig. S12,† which increases from 4.374(1) Å to 4.535(1) Å (ΔI1–I4 = 0.161 Å). Notably, instead of the linear growth in intermolecular interatomic distance observed for the other I⋯I interactions, the I3–I3 distances display a parabolic behaviour, Fig. S13,† likely owing to the colinear orientation of the σ-hole relative to the halogen⋯halogen interaction.
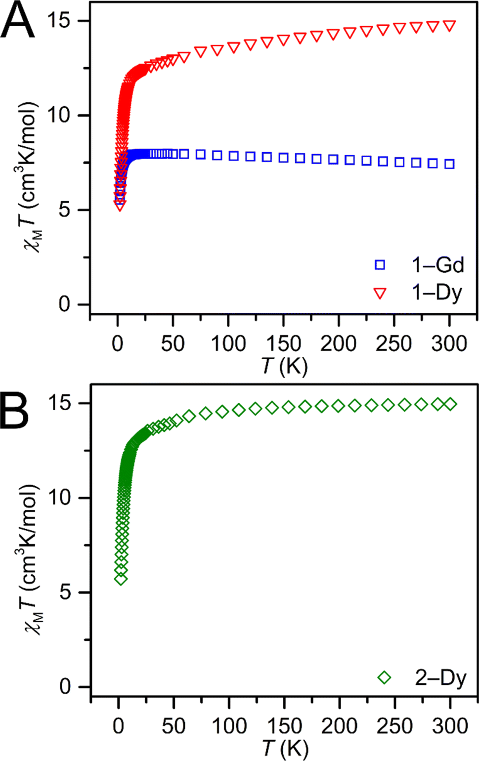
As the temperature is lowered, a slight decline in χMT is observed until 13.0 and 14.2 K, respectively, for 1-Dy and 2-Dy. At the lowest temperatures, a sharp drop in χMT occurs, in accordance with the depopulation of the Stark sublevels of the DyIII ion.89 The field- and zero-field-cooled magnetic susceptibility data of both 1-Dy and 2-Dy are superimposable, indicating the absence of magnetic blocking. The field-dependent magnetization data of 1-Gd, 1-Dy, and 2-Dy were collected between 2 and 10 K. For the DyIII complexes, magnetic saturation was not reached even at 7 T. At 2 K, the magnetization grows with increasing magnetic field until it reaches a value of 5.82 and 6.09 NμB, slightly higher than the expected saturation magnetization for one DyIII ion (5.23 NμB), suggestive of the presence of significant magnetic anisotropy.90 Similarly, at 2 K the magnetization of 1-Gd grows with increasing applied field until it reaches a value of 7.56 NμB. The reduced magnetization curves (H/T versus M) for 1-Dy and 2-Dy at temperatures ranging from 2 to 10 K are non-superimposable, indicative of thermally accessible excited states, Fig. S50 and S60.†![[thin space (1/6-em)]](https://www.rsc.org/images/entities/char_2009.gif) 89
89
A single DyIII ion is a Kramers' ion and innate to high magnetic anisotropy, which can be augmented by pairing it with an appropriate ligand field, ushering in single-molecule magnet behaviour.91 Multinuclear SMMs featuring real magnetic memory require strong magnetic exchange coupling between multiple lanthanide centres due to the deeply contracted nature of the 4f-orbitals. Strong coupling ensures the emergence of a giant spin which helps suppressing quantum tunnelling of the magnetization (QTM) and thus, engendering slower magnetic relaxation. Several strategies to foster strong coupling has been proven to be successful: (1) metal–metal bonding interactions,92 (2) radical-bridging ligands with diffuse spin orbitals,31,64,66,93 and (3) diamagnetic heavy main group element-containing bridges, also innate to diffuse orbitals, capable of penetrating the core-like 4f-mainfold.94,95 Notably, the inclusion of heavy main-group elements into the primary coordination sphere of a given metal ion influences the zero-field splitting parameter,88,96,97 owing to the ∼Z4 dependence on the spin–orbit coupling Hamiltonian.98 With this in mind, the dynamic magnetic properties of both 1-Dy and 2-Dy were explored under zero dc field, Fig. S39, S40 and S53.†1-Dy displays out-of-phase  components of the ac magnetic susceptibility from 1.8 to 14 K. The position of the signals hinges marginally on temperature and move past 1000 Hz at temperatures above 14 K. Relative to some other neutral, mononuclear SMMs containing a dysprosium metallocene unit,99,100 the
 components of the ac magnetic susceptibility from 1.8 to 14 K. The position of the signals hinges marginally on temperature and move past 1000 Hz at temperatures above 14 K. Relative to some other neutral, mononuclear SMMs containing a dysprosium metallocene unit,99,100 the  signals move faster which originates from more prevalent quantum tunnelling of the magnetization (QTM), potentially arising from the asymmetric crystal field imparted by the coordinated TIP ligand relative to that of the neutral ammonia or large [BPh4]− anion. Employing the Cole–Davidson model implemented in CCFit2 to extract relaxation times yielded seemingly satisfactory fits,48,49 however, with large standard deviations attributed to the high frequency
 signals move faster which originates from more prevalent quantum tunnelling of the magnetization (QTM), potentially arising from the asymmetric crystal field imparted by the coordinated TIP ligand relative to that of the neutral ammonia or large [BPh4]− anion. Employing the Cole–Davidson model implemented in CCFit2 to extract relaxation times yielded seemingly satisfactory fits,48,49 however, with large standard deviations attributed to the high frequency  peak position.
 peak position.
For 2-Dy, the peak maximum of the out-of-phase  component of the ac magnetic susceptibility resides past the frequency limit of the magnetometer at 2 K and the peak loses intensity with raising temperature up to 10 K, thus precluding the extraction of relaxation times, Fig. S53.†
 component of the ac magnetic susceptibility resides past the frequency limit of the magnetometer at 2 K and the peak loses intensity with raising temperature up to 10 K, thus precluding the extraction of relaxation times, Fig. S53.†
The application of an external magnetic field can mitigate these fast relaxation pathways. To determine the optimum field, out-of-phase ac susceptibility  was collected at 2 K under dc fields ranging from 250 to 1500 Oe (1-Dy) and 250 to 1550 Oe (2-Dy), Fig. S42 and S54,† respectively. In both cases, the exposure to external magnetic fields influences the shape of the
 was collected at 2 K under dc fields ranging from 250 to 1500 Oe (1-Dy) and 250 to 1550 Oe (2-Dy), Fig. S42 and S54,† respectively. In both cases, the exposure to external magnetic fields influences the shape of the  signals. Subjecting to strong magnetic fields decreases substantially the intensity of the peaks positioned at higher frequency, concurrent with the appearance of signals at lower frequency. The optimum dc fields are 1250 Oe for 1-Dy and 1450 Oe for 2-Dy as the high-frequency peak at these fields vanished entirely. Thus, variable-temperature ac susceptibility measurements of 1-Dy and 2-Dy were performed at these dc fields which uncovered much stronger temperature dependences than were apparent under zero dc fields.
 signals. Subjecting to strong magnetic fields decreases substantially the intensity of the peaks positioned at higher frequency, concurrent with the appearance of signals at lower frequency. The optimum dc fields are 1250 Oe for 1-Dy and 1450 Oe for 2-Dy as the high-frequency peak at these fields vanished entirely. Thus, variable-temperature ac susceptibility measurements of 1-Dy and 2-Dy were performed at these dc fields which uncovered much stronger temperature dependences than were apparent under zero dc fields.
Temperature-dependent  peaks were observed for 1-Dy between 4.5 and 26.5 K under a 1250 Oe applied dc field, Fig. 7A. Using the program CCFit101 the relaxation times (τ) were extracted from a generalized Debye model from the generation of Cole–Cole plots, Fig. S45,† and were subsequently used to construct an Arrhenius plot. A satisfactory fit of the relaxation times was achieved through considering a Raman process utilizing the eqn (2)
 peaks were observed for 1-Dy between 4.5 and 26.5 K under a 1250 Oe applied dc field, Fig. 7A. Using the program CCFit101 the relaxation times (τ) were extracted from a generalized Debye model from the generation of Cole–Cole plots, Fig. S45,† and were subsequently used to construct an Arrhenius plot. A satisfactory fit of the relaxation times was achieved through considering a Raman process utilizing the eqn (2)
|  | (2) | 
The temperature-dependent out-of-phase  signals of 2-Dy occur between 2.75 and 10 K at 1450 Oe dc field, Fig. 7B. Similarly, through the generation of Cole–Cole plots, Fig. S57,† the relaxation times were extracted using a generalized Debye model as implemented in CCFit2.101 The resulting experimentally determined relaxation times were subsequently fit to a Raman process yielding C = 0.00062(5) s−1 K−n, n = 6.92(4), Fig. 7C.
 signals of 2-Dy occur between 2.75 and 10 K at 1450 Oe dc field, Fig. 7B. Similarly, through the generation of Cole–Cole plots, Fig. S57,† the relaxation times were extracted using a generalized Debye model as implemented in CCFit2.101 The resulting experimentally determined relaxation times were subsequently fit to a Raman process yielding C = 0.00062(5) s−1 K−n, n = 6.92(4), Fig. 7C.
The retention of magnetization in the absence of an applied dc magnetic field is a key observable for any SMM. Variable-field magnetization measurements were conducted on 1-Dy at ±7 T from 1.8 to 4 K, Fig. S51 and S52.† At the lowest temperatures, the variable-field magnetization data displays a slightly open butterfly hysteresis loop, where the coercivity of Hc = 0.18 T exceeds the sweep rate of 100 Oe at its largest point. The magnetic hysteresis measurement conducted on 2-Dy lacks coercivity at the lowest temperature measured, Fig. S61.†
![[thin space (1/6-em)]](https://www.rsc.org/images/entities/char_2009.gif) 000 cm−1 from the first excited state (6P).103 The EPR spectrum of a well-isolated spin ground state can be described in terms of the following spin Hamiltonian, eqn (3).
000 cm−1 from the first excited state (6P).103 The EPR spectrum of a well-isolated spin ground state can be described in terms of the following spin Hamiltonian, eqn (3).|  | (3) | 
The first term is the zero-field splitting (ZFS) interactions. Here, Ŝμ is the component of the spin operator (μ = x, y, z) and D/E are the axial and rhombic terms of the ZFS, respectively. In cases where S ≥ 2, the spin system may need to be characterized by higher order ZFS terms.104 We have limited the analysis to only second-order terms as not to overparameterize the model. The second term is the electronic Zeeman interaction where βe is the electron Bohr magneton,  is the magnetic field vector,
 is the magnetic field vector, ![[g with combining tilde]](https://www.rsc.org/images/entities/i_char_0067_0303.gif) is the g-tensor (assumed to be isotropic), and Ŝ represents the electron spin operator.
 is the g-tensor (assumed to be isotropic), and Ŝ represents the electron spin operator.
Our best simulations for the spectrum, Fig. 8 and Table S10,† recorded at 5 K of 1-Gd require E/D to be near 1/3 with D = −0.121 cm−1, |E| = 0.039 cm−1 (|E/D| = 0.322), and giso = 1.992. A second spectrum recorded at 100 K required slightly different parameters to simulate. The necessity for different parameters is best appreciated by comparing the ∼2 mT shift in the lowest field resonance (∼0.05 T) and the splitting of the second lowest field feature near 0.09 T. We find that both observations can be reproduced by using D = −0.122, |E| = 0.037 cm−1 (|E/D| = 0.304), and giso = 1.992.
|  | ||
| Fig. 8 Experimental (black) and simulated (red) X-band EPR spectra of Cp*2Gd(TIP), 1-Gd recorded at 5 (bottom) and 100 (top) K. | ||
These values are very similar to those observed for the metallocenium complex [Cpttt2Gd][B(C6F5)4] (Cpttt = C5H2tBu3-1,2,4) (D = −0.1937 cm−1 and |E| = 0.0148 cm−1) indicative of substantial axial ZFS.105 Notably, the halogenated species, Cpttt2Gd(Cl) yields a more rhombic signal (D = 0.0920 cm−1 and |E| = 0.0239 cm−1).
The low-lying energy spectrum for 1-Dy was first assessed for the 100 K structure (Fig. 10). The ground state Kramers doublet (KD1) comprises essentially purely of MJ = |±15/2〉 character, with negligible gx and gy contributions rivalling the predominant gz tensor component. The first excited KD2 is found 202 cm−1 above the ground state, with predominant MJ = |±13/2〉 composition. However, admixture of the higher lying |±9/2〉 MJ state results in considerable reduction of the uniaxiality of this state, manifesting in noticeable transversal gx and gy contributions (0.3 and 0.7, respectively) to the primary gz component (15.8). While the transition dipole moment (TDM) connecting ±KD2 is considerably higher than the KD1 TDM it is not large enough to shortcut the barrier. By contrast, the second excited state KD3 at 297 cm−1 is no longer ascribable to a singular MJ state due to heavy admixture of excited states, with gx = 3.0 and gy = 3.2 concurring with gz = 15.0. Such strong equatorial fields result in the gz axis being tilted by 92° in KD2 compared to the ground state gz orientation, and the TDM crossing the relaxation barrier becoming largest, marking the high end of the estimated relaxation barrier for 1-Dy.
Having identified the maximum KD determining the magnetic relaxation in 1-Dy, we then interrogated the effect of increasing Dy–I distances on the MJ composition of KD1–KD3. Surprisingly, it was found that the relative energy of the three lowest-lying KDs remains essentially unchanged between 100 and 300 K, with a maximum change of ∼1% for KD3. The magnetic moment of KD3 decrease continuously upon increasing temperatures, a manifestation of increased excited state admixture. Similarly, the intra KD3 TDM increases slightly by ∼1% from 100–300 K, reaching a maximum TDM at 200 K ∼2% larger than in the ground KD1. Overall, the considerable Dy–I distance modulation observed in single crystal XRD is not reflected in a modulation of the relaxation dynamics in 1-Dy. Moreover, the calculated crystal field parameters (CFPs) of 1-Dy vary across the temperatures: Inspecting the dominant CFPs, B02 and B22, together attesting for ∼66% weight of the entire crystal field splitting, B02 decreases from −4.04 (100 K) to −4.14 (300 K) while B22 increases from 6.50 (100 K) to 6.79 (300 K).
The observed marginal changes in the low-lying KD composition and associated relaxation dynamics likely arise from the relatively weak Dy–I interaction compared to the Dy–N distance, which experiences a far less pronounced elongation in comparison and therefore dominates the crystal field (Fig. S66†). In this situation, the Dy–I interactions are far too insignificant to meaningfully modulate the relaxation behaviour in 1-Dy when the Dy–N distance remains unchanged.
We conducted ab initio calculations on 2-Dy as well. Here, the formal change of α-substituents from iodine to methyl groups serves as an excellent tool to gauge the impact of lighter or heavier atoms within the vicinity of the Dy site on its relaxation behaviour. Similar to 1-Dy, the ground state KD1 of 2-Dy is strongly uniaxial with predominant MJ = |±15/2〉 character, resulting in a gz = 18.59 and small gx and gy equatorial contributions. Although small, these equatorial contributions are already 26× and 35× higher for gx and gy compared to 1-Dy, respectively, manifesting in a 28× acceleration of the ground state tunnelling TDM, Fig. 10. Looking at the first excited KD2, lying ∼126 cm−1 above KD1, the adversely effect of methyl substitution becomes apparent: the uniaxiality is lost and excited states are strongly admixed, resulting gx and gy of 2.39 and 4.68, respectively. It is therefore not surprising that the crossing transition is dominant already in the second excited state, with TDM = 2.72 being 17× higher than in 1-Dy. This is in excellent qualitative agreement with the experimentally found acceleration in magnetic relaxation from 1-Dy to 2-Dy. While their relaxation behaviour has experienced considerable altercations, the crystal fields remain rather comparable: Similar to 1-Dy, B02 and B22 remain dominant with ∼70% weight, but B22 is larger by 44% to the detriment of B02. A similar study by Mills, Chilton and coworkers on a series of dysprosocenium halobenzene adducts (CptttCp*Dy)(X-Ph)(Al{OC(CF3)}4) (where X = F, Cl, Br),107 where the lighter fluorobenzene was found to accelerate magnetic relaxation most whereas heavier bromobenzene showed slowest relaxation.
The ab initio calculations showed that the presence of α-methyl substitution compared to iodine dramatically impacts the single ion anisotropy of DyIII in a destructive way. It can be hypothesized that the presence of methyl protons close to the DyIII site in 2-Dy induces a multitude of low-energy vibrations that facilitate relaxation of the magnetic moment. By contrast, the weak equatorial Dy–I interaction in 1-Dy barely affects the single ion anisotropy due to the higher atomic weight of iodine vs. hydrogen. One can further hypothesize that the coordination of multiple TIP ligands within the equatorial plane, while simultaneously providing strongly electronegative donor ligands in the axial positions could yield a viable route for future stable high-performance SMMs.
The frontier orbitals of 1-Y and 2-Y are depicted in Fig. 11 and S74,† respectively. For both, the highest occupied molecular orbital (HOMO) resides predominantly on the pyrrolyl ligand. However, the lowest unoccupied molecular orbital (LUMO) of 1-Y is mainly localized on the TIP ligand, whereas it is centred on the metal in 2-Y. The metal centred LUMO implies that a chemical reduction by one electron will render the highly reducing REII oxidation state accessible.
|  | ||
| Fig. 11 Calculated frontier orbitals of Cp*2Y(TIP), 1-Y, with the TPSSh functional and def2-TZVP basis set. All isovalues were set to 0.4. | ||
Owing to the strongly delocalized structure of 1-Y and 2-Y, the bonding interactions were investigated through a natural localized molecular orbital (NLMO)53 analysis, where the relevant donor/acceptor NLMO interactions are provided in Tables S29 and S32,† respectively. The NLMOs of 1-Y prove the ionic bonding picture between the YIII cation and the [TIP]− and [Cp*]− anionic ligands. A second-order perturbation analysis of the Y–N interactions are strongly localized toward the coordinating N atom (92.8%), representative of a RE–N bonding situation. The Y–I interaction vastly exceeds that for the chelating nitrogen with summed contributions of 93.16 and 31.42 kcal mol−1, respectively, attributable to the augmented negative charge located on the I-substituents of the TIP ligands. This interaction is also strongly localized (90.6–98.4%) toward the donor I atom. The structure of 1-Y additionally benefits from small stabilization energies arising from the C–N molecular orbitals (7.58–1.84 kcal mol−1).
The bonding between the yttrium ion and DMP ligand in 2-Y is most accurately reflected as ionic because the Y–N interactions are similarly polarized toward the N-atom. The strongest interaction arises from the donation of the N lone pair into the d-manifold of the yttrium centre for a summed contribution of impressive 41.12 kcal mol−1, slightly greater than that observed for 1-RE. A small stabilization energy is detected originating from the C–H bonds of the methyl substituent of the dimethylpyrrolyl ligand (22.09 kcal mol−1). The much lower stabilization energy of 2-Y relative to that of 1-Y is allocated to the difference in partial anionic charge on the substituent when comparing iodine to methyl.
In both cases, DFT calculations uncover the bonding situations of both 1-Y, and 2-Y respectively. The introduction of ligand scaffolds bearing covalently bonded I-atoms represent an exciting frontier of research where the intermolecular interactions of these species can potentially mitigate fast, vibrationally activated, relaxation pathways. From a more general perspective, the introduction of tetraiodopyrrole into coordination chemistry may inspire the pursuit of coordination compounds with the entirety of the transition metals that could be relevant for catalysis and small molecule activation.
| Footnote | 
| † Electronic supplementary information (ESI) available. CCDC 2350192–2350216. For ESI and crystallographic data in CIF or other electronic format see DOI: https://doi.org/10.1039/d4sc03786c | 
| This journal is © The Royal Society of Chemistry 2024 |