Carbon-negative hydrogen: aqueous phase reforming (APR) of glycerol over NiPt bimetallic catalyst coupled with CO2 sequestration†
Abstract
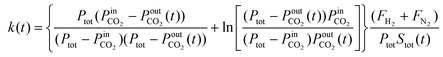
Herein we report the production of high-pressure (19.3 bar), carbon-negative hydrogen (H2) from glycerol with a purity of 98.2 mol% H2, 1.8 mol% light hydrocarbons (mainly methane), and 400 ppm of CO. Aqueous phase reforming (APR) of 10 wt% glycerol solution was studied with a series of NiPt alumina bimetallic catalysts supported on alumina. The Ni8Pt1-450 catalyst had the highest hydrogen selectivity (95.6%) and the lowest alkanes selectivity (3.7%) of the tested catalysts. The hydrogen selectivity decreased in the order of Ni8Pt1-450 > Ni8Pt1-260 > Ni1Pt1-260 > Pt-260. The CO2 was sequestered with CaO adsorbent which formed CaCO3. We measured the adsorption capacity of the CaO adsorbent at different temperatures. Life cycle analysis showed that the APR of glycerol coupled with CO2 capture has net negative CO2 equivalent greenhouse gas emissions. The CO2 emissions are −9.9 kg CO2 eq./kg H2 and −50.1 kg CO2 eq./kg H2 when grid electricity and renewable electricity are used, respectively, and the CO2 is allocated respectively to the mass of products produced. The cost of this H2 (denoted as “green-emerald”) was estimated to be 2.4 USD per kg H2 when grid electricity is used and 2.7 USD per kg H2 when using renewable electricity. The cost of glycerol has the highest contribution of 1.71 USD per kg H2. Participation in the carbon credit markets can further decrease the price of the produced H2.
- This article is part of the themed collection: Green Chemistry 25th Anniversary Collection

Please wait while we load your content...
