 Open Access Article
 Open Access Article
      
        
          
            Caterina 
            Trotta
          
        
      a, 
      
        
          
            Pardeep 
            Dahiya
          
        
      b, 
      
        
          
            Lorenzo 
            Baldinelli
          
        
       a, 
      
        
          
            Gabriel 
            Menendez Rodriguez
a, 
      
        
          
            Gabriel 
            Menendez Rodriguez
          
        
       *a, 
      
        
          
            Priyanka 
            Chakraborty
          
        
      b, 
      
        
          
            Giovanni 
            Bistoni
*a, 
      
        
          
            Priyanka 
            Chakraborty
          
        
      b, 
      
        
          
            Giovanni 
            Bistoni
          
        
       *a, 
      
        
          
            Filippo 
            De Angelis
          
        
      a, 
      
        
          
            Basker 
            Sundararaju
*a, 
      
        
          
            Filippo 
            De Angelis
          
        
      a, 
      
        
          
            Basker 
            Sundararaju
          
        
       *b and 
      
        
          
            Alceo 
            Macchioni
*b and 
      
        
          
            Alceo 
            Macchioni
          
        
       *a
*a
      
aDepartment of Chemistry, Biology and Biotechnology and CIRCC, Università degli Studi di Perugia, Via Elce di Sotto 8, 06123-Perugia, Italy. E-mail: gabriel.menendezrodriguez@unipg.it; giovanni.bistoni@unipg.it; alceo.macchioni@unipg.it
      
bDepartment of Chemistry, Indian Institute of Technology Kanpur, 208 016 Kanpur, Uttar Pradesh, India. E-mail: basker@iitk.ac.in
    
First published on 29th May 2024
Herein, we show that [Cp*Co(2-ampy)I]I (2-ampy = 2-aminomethyl-pyridine) is an extremely active catalyst for HER, exhibiting a TOF of 109![[thin space (1/6-em)]](https://www.rsc.org/images/entities/char_2009.gif) 000 s−1 in phosphate buffered water solution (pH 7). The key to this remarkable activity stems from the establishment of a network of weak interactions in the second coordination sphere. As a matter of fact, both experimental and theoretical studies strongly suggest that the –NH2 functionality of the 2-ampy ligand acts as an anchoring and orienting group for H2PO4− through the establishment of an intermolecular hydrogen bonding with it that, in turn, intermolecularly donates a proton to Co–H liberating H2.
000 s−1 in phosphate buffered water solution (pH 7). The key to this remarkable activity stems from the establishment of a network of weak interactions in the second coordination sphere. As a matter of fact, both experimental and theoretical studies strongly suggest that the –NH2 functionality of the 2-ampy ligand acts as an anchoring and orienting group for H2PO4− through the establishment of an intermolecular hydrogen bonding with it that, in turn, intermolecularly donates a proton to Co–H liberating H2.
![[thin space (1/6-em)]](https://www.rsc.org/images/entities/char_2009.gif) 000 s−1, in acetonitrile with 1.2 M of water) in HER attributed to the key role played by a pendant amine acting as intramolecular proton relay.39 Analogously, Nocera and co-workers showed that the presence of a carboxylic acid hanging group of a cobalt “hangman” porphyrin facilitates HER by mediating, intramolecularly, a proton-coupled electron transfer (PCET) process.66–68
000 s−1, in acetonitrile with 1.2 M of water) in HER attributed to the key role played by a pendant amine acting as intramolecular proton relay.39 Analogously, Nocera and co-workers showed that the presence of a carboxylic acid hanging group of a cobalt “hangman” porphyrin facilitates HER by mediating, intramolecularly, a proton-coupled electron transfer (PCET) process.66–68
      |  | ||
| Scheme 1 Second coordination sphere proton relay processes (a–c) facilitating HER catalysis (M = transition metal, D–H = proton donor, A–H = anchoring group). | ||
Interestingly, there are now some pieces of evidence clearly indicating that HER reaction can be also facilitated by intermolecular protonation (D–H⋯H–M, Scheme 1b). Particularly, Bren and co-workers recently reported insightful studies on the effects of pKa and buffer nature on the activity of cobalt-based catalysts.70–72 They found an acceleration of HER rates of 2 to 4 orders of magnitude moving from water to buffered water solution, at the same pH, demonstrating an active role of the buffer as a proton donor. Sakai and co-workers attributed the remarkable activity of a cobalt catalyst with a pentadentate macrocyclic ligand in HER to the key role played by H2PO4− derived from the phosphate buffer as a proton source.73
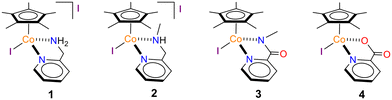
Herein, we show that [Cp*Co(2-ampy)I]I (2-ampy = 2-aminomethyl-pyridine; 1, Scheme 2) is an extremely active catalyst for HER exhibiting a remarkable TOF of 109![[thin space (1/6-em)]](https://www.rsc.org/images/entities/char_2009.gif) 000 s−1 in phosphate buffered water solution (PBS, pH 7). Mechanistic studies suggest that the key to success of 1 lies in the occurrence of a crucial hydrogen bond network in the second coordination sphere: the –NH2 functionality of the 2-ampy ligand acts as an anchoring and orienting group for H2PO4− through the establishment of an intermolecular hydrogen bonding with it, which, in turn, donates a proton to the M–H group (D–H⋯A–H⋯H–M, Scheme 1c).74 This hypothesis has been supported by i) contrasting the electrocatalytic performances of 1 to those of selected members of the novel family of potentially active [Cp*CoL3] catalysts (Scheme 2), deliberately turning of or altering the crucial intermolecular hydrogen bonds by a proper choice of the bidentate ligand; ii) in depth quantum DFT calculations aimed at understanding the ligand effect on the catalytic performance implicitly taking into account the interactions with the buffer.
000 s−1 in phosphate buffered water solution (PBS, pH 7). Mechanistic studies suggest that the key to success of 1 lies in the occurrence of a crucial hydrogen bond network in the second coordination sphere: the –NH2 functionality of the 2-ampy ligand acts as an anchoring and orienting group for H2PO4− through the establishment of an intermolecular hydrogen bonding with it, which, in turn, donates a proton to the M–H group (D–H⋯A–H⋯H–M, Scheme 1c).74 This hypothesis has been supported by i) contrasting the electrocatalytic performances of 1 to those of selected members of the novel family of potentially active [Cp*CoL3] catalysts (Scheme 2), deliberately turning of or altering the crucial intermolecular hydrogen bonds by a proper choice of the bidentate ligand; ii) in depth quantum DFT calculations aimed at understanding the ligand effect on the catalytic performance implicitly taking into account the interactions with the buffer.
Novel complexes 1 and 2 were synthesized by the reaction of Cp*Co(CO)I2 (ref. 75) with commercially available inexpensive 2-ampy and characterized both in solution and in the solid state (ESI†) (Scheme 3). Complexes 3 (ref. 76) and 4 (ref. 77) were reported by one of us and prepared as per the procedure described.
|  | ||
| Scheme 3 Synthesis of cobalt complexes 1 and 2 (ORTEP diagram of complexes with thermal ellipsoids are shown at the 50% probability level, H atoms are omitted for clarity). | ||
Complexes 1–4 were characterized electrochemically by cyclic voltammetry (CV) and square wave voltammetry (SWV) (Fig. 1). Each compound displays a redox event in the −0.2 and −0.5 V potential range attributed to the CoIII/II reduction. Peak current versus square root of scan rate is always linear, indicating a diffusional nature of the process (Fig. S2–S5†).
|  | ||
| Fig. 1 a) CVs of 1–4 (500 μM) at 100 mV s−1 scan rate and b) SWVs of 1–4 (500 μM) recorded in 0.1 M PBS at pH 7 under N2. | ||
As shown in Table 1, the half-wave potential (E1/2) and redox behavior of the CoIII/CoII couple of 1–4 are sensitive to the nature of the ligand coordinated at the Cp*Co moiety. 1–2 show a quasi-reversible reduction as indicated by the large peak-to-peak separation (ΔEp), with a peak current ratio (iox/ired) nearly one. Notably, a positive shift of 58 mV is observed when comparing the E1/2 of 1 (−0.350 V) to that of 2 (−0.292 V). Considering the greater electron donation ability of methyl relative to hydrogen, a shift in the opposite direction should be observed suggesting that a different ligand is coordinated at Cp*Co(N,N) moiety in 1 and 2.
| Complex | E 1/2 (V) | ΔEp (mV) | i ox/ired | 
|---|---|---|---|
| 1 | −0.350 | 95.2 | 0.93 | 
| 2 | −0.292 | 88.2 | 0.89 | 
| 3 | −0.345 | 65.9 | 1.49 | 
| 4 | −0.375 | 64.1 | 1.01 | 
To validate this possibility, CVs and SWVs of 1 and 2 were recorded in a 0.1 M NaClO4 (pH 7) electrolyte solution instead that in PBS. This led to an anodic shift of 30 mV of the CoIII/II redox potential of 1, while had no (or a negligible) effect on that of 2 (Fig. S6 and S7†), confirming the hypothesis that 1 and 2 in PBS differ in the nature of the third ligand coordinated at Co, which is most likely phosphate in 1 and water in 2. Consistently, a cathodic shift of E1/2 was observed for 1 upon increasing pH (i.e. increasing the HPO42−/H2PO4− ratio, Fig. S8†).78,79 The CoIII/II redox couple of 3 and 4 are observed at E1/2 = −0.345 (ΔEp = 65.9 mV) and −0.375 V (ΔEp = 64.1 mV), respectively, indicating the higher electron donor properties of the carboxylate ligand.
At more cathodic potentials, an additional irreversible wave, characterized by a significant current increase, was observed (Fig. 2). It was ascribed to the electrocatalytic hydrogen evolution reaction: 2H+ + 2e− → H2 (HER). H2 production was confirmed by rotating ring disk electrochemistry (ESI†). 1 and 2 show similar onset potentials (−1.13 V and −1.11 V, respectively). For 2 the catalytic wave is preceded by an irreversible wave that might be ascribed to the transformation of the precatalyst into the active species or the formation of a stable catalytic intermediate.78,793 and 4 exhibit a considerably more anodic onset potential of −0.88 V and −0.95 V, respectively. As shown in Table 2, the largest current increase (icat/id = 136, where icat is the maximum catalytic current and id is the cathodic peak current of the CoIII/II redox couple) was observed for 1, suggesting an extremely fast catalytic reaction, followed by 2 (icat/id = 77), 4 (icat/id = 15) and 3 (icat/id = 10). Remarkably, moving from 1 to 2, i.e. substituting a hydrogen atom with a methyl group, strongly affects the catalytic activity, causing a decrease of approximately one-half of the icat/id ratio.
| Complex | i cat/id | η(Ecat/2) (V) | TOF (s−1) | 
|---|---|---|---|
| 1 | 136 | 1.034 | 39 ![[thin space (1/6-em)]](https://www.rsc.org/images/entities/char_2009.gif) 000 ± 3000 | 
| 2 | 77 | 0.964 | 16 ![[thin space (1/6-em)]](https://www.rsc.org/images/entities/char_2009.gif) 000 ± 2500 | 
| 3 | 10 | 0.635 | 900 ± 50 | 
| 4 | 15 | 0.689 | 2000 ± 250 | 
Before conducting further mechanistic studies, we investigated whether the electrocatalytic activity of 1–4 was indeed ascribed to the homogeneous catalyst in solution, rather than to any electrocatalytically active species bound to the surface. The possible formation of any deposited species under catalytic conditions was evaluated by continuously recording 50 CV scans from 0.19 to −1.45 V at 1 V s−1 scan rate on a 500 μM solution of catalyst. In all cases, the catalytic current at −1.45 V gradually loses intensity as new oxidation waves appear in the −0.7 to 0.2 V potential range (Fig. S13–S16†). This behaviour is consistent with the formation of new deposited species derived from partial catalyst decomposition. The intensity of the CoIII/II redox couple of 1–4 also decreased over the same period, further indicating that the surface composition of the glassy carbon electrode was changing. However, the rinse test, performed after 50 scans, clearly shows a negligible activity of the catalyst decomposition products. Controlled-potential electrolysis (CPE) measurements carried out at −1.35 V confirmed the rather short live of the catalytic systems, as well as the substantial inactivity of deposited species, since the recorded current abruptly decreases, reaching the one obtained in the absence of catalyst in less than 3 minutes (Fig. S17†). Exception made for complex 4, whose degradation somehow leads to a slightly active species (Fig. S17†). It is worth noting that a significant difference was found between 1 and 2–4 in terms of catalyst stability. In particular, the degradation of 2–4 is more pronounced than that of 1. This can be deduced by the noticeable appearance of new oxidative waves in the first CV of the solution of 2–4. Unlike 1, for which additional redox events due to catalyst decomposition are almost negligible (Fig. 2b). This result demonstrates that 1, not only is the most active catalyst, but also the one that is less prone to degradation. More importantly, it was found that such degradation processes are only relevant in those experiments for which the catalyst is exposed to reductive potentials for a substantial period of time. As a matter of fact, in CV experiments of 1 recorded at high scan rates (>6 V s−1), i.e. where the time scale of the experiment is considerably reduced, no sign of degradation is observed (Fig. S18†). Under such conditions, pure catalytic regime is reached, allowing the TOF to be determined.
Considering the above results, to prevent that any deposited species negatively influences the current response of the studied complexes, only the first scan, recorded on a freshly polished electrode, was considered. Moreover, this work focuses only on the evaluation of the activity of the molecular complexes in solution and the related HER mechanism, not on long-term activity since in that case the formation of heterogeneous deposits on the electrode surface cannot be neglected.
In order to benchmark our catalysts, the HER overpotential, η(Ecat/2),80,81 and TOF82,83 of 1–4 were determined (ESI†). As summarized in Table 2, 1–2 operates at higher overpotentials (1.034 and 0.964 V, respectively) than 3–4 (0.635 V and 0.689 V, respectively). Catalysts with somewhat lower overpotential have been reported in the literature.63,84–86 For 1, a remarkable TOF of 39![[thin space (1/6-em)]](https://www.rsc.org/images/entities/char_2009.gif) 000 s−1 was observed (Fig. S20†). Whereas TOF values of 16
000 s−1 was observed (Fig. S20†). Whereas TOF values of 16![[thin space (1/6-em)]](https://www.rsc.org/images/entities/char_2009.gif) 000 s−1, 900 s−1 and 2000 s−1 were obtained for 2, 3 and 4, respectively (Fig. S21–S23†). It can be hypothesized that the superior performances of 1 is due to the presence of the –NH2 functionality that binds H2PO4− anion, properly orienting it in a way to facilitate the proton transfer to Co–H (vide infra).87,88 The significant lower activity of 2 compared to 1 is also consistent with such interpretation since having a –NHMe in place of –NH2 clearly disfavors hydrogen bonding with H2PO4−, at least statistically. The higher activity of 4 with respect to 3 might be attributed to the greater ability of the former to undergo hydrogen bonding with H2PO4−, using the lone pairs of the coordinated carboxylic oxygen atom.
000 s−1, 900 s−1 and 2000 s−1 were obtained for 2, 3 and 4, respectively (Fig. S21–S23†). It can be hypothesized that the superior performances of 1 is due to the presence of the –NH2 functionality that binds H2PO4− anion, properly orienting it in a way to facilitate the proton transfer to Co–H (vide infra).87,88 The significant lower activity of 2 compared to 1 is also consistent with such interpretation since having a –NHMe in place of –NH2 clearly disfavors hydrogen bonding with H2PO4−, at least statistically. The higher activity of 4 with respect to 3 might be attributed to the greater ability of the former to undergo hydrogen bonding with H2PO4−, using the lone pairs of the coordinated carboxylic oxygen atom.
Interestingly, the Log(TOF) versus overpotential plot for 1–4 exhibits a nice linear trend (Fig. 3) suggesting that the same reaction mechanism is reasonably active and the structural differences of complexes systematically tune the free energies of intermediates and reaction steps of the catalytic cycle.89–94 Our DFT computational results are in line with this hypothesis (vide infra).
Additional electrochemical mechanistic studies were carried out for 1 exhibiting the highest catalytic performances. TOF remains constant (TOFmean = 42![[thin space (1/6-em)]](https://www.rsc.org/images/entities/char_2009.gif) 000 s−1) changing catalyst concentration in the 100–500 μM range (Fig. 4a), consistently with a first order on 1. By varying the pH of PBS from 5 to 6 does not significantly affect the activity of 1 (TOF = 49
000 s−1) changing catalyst concentration in the 100–500 μM range (Fig. 4a), consistently with a first order on 1. By varying the pH of PBS from 5 to 6 does not significantly affect the activity of 1 (TOF = 49![[thin space (1/6-em)]](https://www.rsc.org/images/entities/char_2009.gif) 000 ± 2000 s−1, pH 5; TOF = 55
000 ± 2000 s−1, pH 5; TOF = 55![[thin space (1/6-em)]](https://www.rsc.org/images/entities/char_2009.gif) 000 ± 4000 s−1, pH 6) (Fig. 4b). However, a further increase of pH leads to a significant decrease of TOF (42
000 ± 4000 s−1, pH 6) (Fig. 4b). However, a further increase of pH leads to a significant decrease of TOF (42![[thin space (1/6-em)]](https://www.rsc.org/images/entities/char_2009.gif) 000 ± 2000 s−1, pH 7; 2400 ± 250 s−1, pH 8). This peculiar behavior suggests that H2 evolution rate might be also influenced by the concentration of H2PO4−, whose concentration decreases as pH increases.38,95–97 To corroborate this hypothesis, electrocatalytic experiments were performed at constant pH varying buffer strength. It was observed a marked increase of TOF with increasing buffer strength (Fig. 4c), up to a value of 109
000 ± 2000 s−1, pH 7; 2400 ± 250 s−1, pH 8). This peculiar behavior suggests that H2 evolution rate might be also influenced by the concentration of H2PO4−, whose concentration decreases as pH increases.38,95–97 To corroborate this hypothesis, electrocatalytic experiments were performed at constant pH varying buffer strength. It was observed a marked increase of TOF with increasing buffer strength (Fig. 4c), up to a value of 109![[thin space (1/6-em)]](https://www.rsc.org/images/entities/char_2009.gif) 000 ± 7000 s−1, obtaining another strong hint that H2PO4− plays an active role in hydrogen evolution, likely acting as proton source. Consistently, a significantly lower current was observed using NaClO4 or K2SO4 as supporting electrolytes instead of PBS (Fig. 4d).
000 ± 7000 s−1, obtaining another strong hint that H2PO4− plays an active role in hydrogen evolution, likely acting as proton source. Consistently, a significantly lower current was observed using NaClO4 or K2SO4 as supporting electrolytes instead of PBS (Fig. 4d).
The experimental results reported above were complemented by extensive DFT computational studies for 1 (Fig. 5) and 3 (as reference, ESI†) aimed at providing insights into the mechanistic aspects of HER catalysis, focusing on understanding the intimate reason why 1 exhibit such a remarkable activity. Our results indicate that HER catalysis by 1 and 3 follows the same reaction mechanism (Fig. 5a and S33†), which is consistent with the observed scaling relationships for these catalysts. In the first step, [Co(III)–H]+n [where Co = Cp*Co(N,N)] forms through a PCET pathway by far at lower energy (+0.95 eV for 1 and +0.78 eV for 3) compared to the two-step reduction-protonation counterpart (+1.66 eV for 1 and +1.58 eV for 3). Importantly, the calculated energy associated to the formation of the hydride species of 3 (0.78 eV), which is responsible for the measured overpotential, is significantly lower than that of 1 (0.95 eV). This trend nicely correlates with the experimentally measured overpotentials of 1 and 3, which amounts to 1.03 V and 0.63 V, respectively. Once [Co(III)–H]+n is formed, the presence of the phosphate becomes crucial for the HER catalytic mechanism. It was found that the most favorable pathway for H2 generation involves the coordination of H2PO4− in the second sphere of [Co(III)–H]+n resulting in the formation of the key intermediate [Co(III)–H]+n(H2PO4−). It is in this context that the difference between 1 and 3 appear the most. The optimized [Co(III)–H]+nH2PO4− structures shown in Fig. 5b, reveal that while a strong Co–H⋯HOPO3H dihydrogen bond98,99 is present both in 1 (distance = 1.59 Å) and 3 (distance = 1.56 Å), a strong –NH2⋯OPO3H− establishes in 1 (distance = 1.78 Å). The cooperativity of those two types of H-bonding in 1 contributes to a more facile association of H2PO4− in the second coordination sphere in 1 (+0.08 eV) than in 3 (+0.29 eV), thus favoring hydrogen donation. Once H2PO4− is in the second coordination sphere, the kinetic barrier to transfer a proton to Co–H is almost zero for both 1 and 3, and the increase of energy passing from [Co(III)–H]+n(H2PO4−) to [Co(III)–OH2]+n and H2, through a PCET pathway, is similar (+0.15 eV for 1, +0.12 eV for 3; ESI†).
In conclusion, we have reported some molecular cobalt catalysts highly active in hydrogen evolution reaction. Particularly, complex [Cp*Co(2-ampy)I]I 1, whose second coordination sphere was rationally designed for having a –NH2 moiety that attracts and orients H2PO4− of the buffer, which, in turn, acts as proton donor to the metal hydride functionality, exhibits extremely high TOF (109![[thin space (1/6-em)]](https://www.rsc.org/images/entities/char_2009.gif) 000 s−1), importantly, working in water exclusively. To the best of our knowledge, only an organometallic [2Fe–2S] mimic of the active site of an [FeFe]-hydrogenase enzyme shows considerably higher TOF in water solution (250
000 s−1), importantly, working in water exclusively. To the best of our knowledge, only an organometallic [2Fe–2S] mimic of the active site of an [FeFe]-hydrogenase enzyme shows considerably higher TOF in water solution (250![[thin space (1/6-em)]](https://www.rsc.org/images/entities/char_2009.gif) 000 s−1).65 Considering that 1 belongs to a broad class of compounds, we believe that a rational design of the ancillary ligands, not only in terms of desired electronic and steric features but also of proper functionalities in the second coordination sphere, will likely lead to the discovery of other catalysts with even better performances.
000 s−1).65 Considering that 1 belongs to a broad class of compounds, we believe that a rational design of the ancillary ligands, not only in terms of desired electronic and steric features but also of proper functionalities in the second coordination sphere, will likely lead to the discovery of other catalysts with even better performances.
| Footnote | 
| † Electronic supplementary information (ESI) available: The authors have cited additional references within the supporting information.1–20 CCDC 1939352 and 2297771. For ESI and crystallographic data in CIF or other electronic format see DOI: https://doi.org/10.1039/d4cy00209a | 
| This journal is © The Royal Society of Chemistry 2024 |