DOI:
10.1039/D3TC00939D
(Paper)
J. Mater. Chem. C, 2023,
11, 6588-6596
Pressure-induced structural phase transition, irreversible amorphization and upconversion luminescence enhancement in Ln3+-codoped LiYF4 and LiLuF4†
Received
15th March 2023
, Accepted 25th April 2023
First published on 26th April 2023
Abstract
Lanthanide ion (Ln3+)-codoped inorganic materials have been widely studied owing to their unique upconversion photoluminescence (UC PL) performance, which can be employed for promising applications in imaging, sensing, detection, and treatment. However, the forbidden transition of 4f inner shell and the nonradiative relaxation from the interaction of Ln3+ and a host lattice lead to low emission efficiency, limiting the industrial application. In this study, we report pressure-induced 1.2–2.6 times UC PL enhancement in the range of 10.0–25.0 GPa in Ln3+ (19%Yb3+/1%Er3+, 19%Yb3+/1%Ho3+, and 19.9%Yb3+/0.1%Tm3+)-codoped LiYF4 and LiLuF4. In situ X-ray diffraction pattern and Raman spectra indicated that both LiYF4 and LiLuF4 underwent structure transitions at a pressure around 10.0 GPa. Moreover, improved UC emissions were observed for the released sample in a completely amorphous state. The luminescence spectra of Eu3+-doped LiYF4 and LiLuF4 probes revealed that the phase transitions resulted in the reduction of Ln3+ site symmetry. Our research shows that pressure would be a powerful implement to design high-efficiency UC PL materials. Simultaneously, research on the “structure-luminescence” relationship can provide a deeper insight into the exploitation of potential UC PL materials and optimization of current luminescent materials.
1. Introduction
Lanthanide ions (Ln3+) can generate high-energy UC PL by the successive absorption of multiple low-energy (usually near-infrared, NIR) excitation photons, realized through the ladder-like energy levels depending on their specific electronic configurations.1–4 Yb3+ ions are general sensitizers to absorb near-infrared photons (980 nm), while Er3+, Ho3+, and Tm3+ are typical activators for UC PL ranging from near-infrared to visible and even ultraviolet regions.5 Another essential ingredient for the constitution of upconverters is the host material, which offers a crystal lattice to accommodate activator and sensitizer ions at certain concentrations, determining the phonon energy, interionic distance, coordination numbers, and local crystallographic symmetry around the dopants.6 The UC performances, emission efficiency, and emission profile, are heavily affected by the component and crystal structure of the host materials.7
Among diverse host materials, rare-earth fluoride compounds with a low phonon energy can effectively decrease nonradiative relaxation rates between the emitting and intermediate energy levels, so that they are considered superior hosts for UC PL, where hexagonal NaYF4 is the exponent used most extensively for its superior emission efficiency.8–10 By comparison, LiYF4 and LiLuF4, with smaller Li+ ions located at the cation sites, can crystallize uniquely in a tetragonal crystal system as a lower symmetrical structure and form a more compact matrix, which may enhance the emission efficiency in some spectral ranges.11,12 For example, LiYF4:Er3+ nanocrystals were found to give nearly 4 times the UC quantum yield (with excitation of a 1490 nm laser) of NaYF4:Yb3+/Er3+ nanocrystals under 980 nm excitation.13 Besides, the Y hexagon-circle arrangement in LiYF4 was proved to promote the UV UC intensity by about 3 times compared with NaYF4 at the same doping level (70%Yb3+,0.2%Tm3+),14 so that Ln3+-doped LiYF4 and LiLuF4 have attracted considerable attention owing to their excellent UC properties and promising applications in the fields of solid-state lasing, solar cells, biomedical imaging, and phototherapy.15–20
Hydrostatic pressure, a thermodynamic variable besides temperature, can efficiently tune the crystal structure and electronic configuration of the materials.21–23 In general, high pressures (HPs) can give rise to a series of variations in physicochemical characteristics through manipulating the crystal structure, that is, the pressure-driven contractive lattice volume, shortened interionic distances, newly emerged defects, transformed symmetry, and even phase transition or amorphization can possibly induce drastic changes in the electronic structure, phonon energy, electroconductivity, magnetism, thermostability, and mechanical and optical properties.24–30 In recent years, high pressure has been proved to be a robust tool in the optical fields such as pressure-induced emission (PIE), pressure-driven energy transfer and pressure-modulated application as luminescent pressure sensors.31–39 Even the UC PL of Ln3+-doped phosphors, based on inner shell electron f–f transition, can also be altered by pressure, including the emission intensity, peak profile, lifetime, transition selectivity and quantum yield.40–43 As reported, cubic NaYF4:Yb3+/Er3+ nanoparticles presented a 1.7-fold UC PL enhancement at 2.1 GPa for the strain-induced modification of optical selection rules.44 A similar effect was also observed in the upconverting SrF2:Yb3+,Er3+ nanoparticles.45 In another layer-structured fluoride, with increased hydrostatic pressures, the UC PL intensity of KAlF4:Yb3+/Er3+ microsheets increases and obtains a record-high of 2.5-fold UC PL enhancement at 6.0 GPa, which can be attributed to the local geometric distortion promoted energy transfer efficiency between Ln3+ ions upon compression.46
Herein, we report the pressure-driven UC PL performance coupled with the structural evolution of Ln3+-codoped LiYF4 and LiLuF4 up to 40 GPa upon excitation at 980 nm. The pressure-driven evolutions of average and local crystal structures are detected by in situ X-ray diffraction (synchrotron), Raman spectroscopy and Eu3+ luminescent probe technique. The experimental results of Ln3+-codoped LiYF4 show that obvious UC PL enhancement occurs following the phase transition and reaches the maximum at 25.0 GPa, with a 1.6–1.8-fold increase. Then, the UC emission intensity is depressed after 25.0 GPa with increasing crystal strain and overclose interionic distance. Notably, the released samples keep the amorphous state, but their UC intensity recovers to 1.8–2.6 times relative to the initial state. Especially in LiYF4:19%Yb3+/1%Er3+, the released sample has ∼1.4 times the UC intensity of the compressed state with the emission maximum at 25.0 GPa.
2. Experimental section
2.1. Chemicals
Y(NO3)3, Lu(NO3)3, Yb(NO3)3, Er(NO3)3, Ho(NO3)3, Tm(NO3)3 and Eu(NO3)3 were obtained by dissolving Y2O3 (99.9%), Lu2O3 (99.9%), Yb2O3 (99.9%), Er2O3 (99.5%), Ho2O3 (99.9%), Tm2O3 (99.9%) and Eu2O3 (99.9%) with nitric acid, respectively. LiF (99.9%), NaF (99%), ammonia solution, and EDTA (ethylenediamine tetraacetic acid) of analytical grade were obtained from Aladdin. All chemicals were used without further purification in the current study.
2.2. Synthesis of LiYF4:Yb3+/Ln3+ and LiLuF4:Yb3+/Ln3+
All samples were synthesized by a hydrothermal method. The preparation process is presented as follows: we take the example of the synthesis of LiYF4:19%Yb3+/1%Er3+. First, 1 mL 0.2 M Y(NO3)3, 0.475 mL 0.1 M Yb(NO3)3, 0.05 mL 0.05 M Er(NO3)3, 0.0731 g EDTA and 10 mL deionized water were mixed under vigorous stirring for 1 hour until a transparent solution appeared. Second, 0.019 g LiF and 0.042 g NaF were added into the complex solution, and the mixture was stirred for 1 hour to get a milky white solution. Then, the pH value of the mixture was tuned around 5.0 with 67 μL ammonia solution. Finally, the white solution was transferred into a 20 mL Teflon-lined autoclave and heated at 220 °C for 48 h. After cooling to room temperature, the obtained product was collected by centrifugation and washing 3 times with deionized water and ethanol, respectively. The collected samples were dried at 60 °C for 30 minutes. A white powder was obtained. LiYF4:19%Yb3+/1%Eu3+ and LiLuF4:19%Yb3+/1%Eu3+ were prepared following a similar procedure, merely replacing Er(NO3)3 with the corresponding amount of Eu(NO3)3 solution.
2.3. Characterization
The phase purity was confirmed by X-ray diffraction (XRD) at room temperature and ambient pressure using a PANalytical Empyrean diffraction meter with Cu Kα (40 kV, 40 mA) radiation (λ = 1.5418 D). The morphology of samples was measured using a Quanta 250 FEG FEI scanning electron microscope (SEM).
A symmetric diamond anvil cell (DAC) with type-II diamonds polished to a diameter of 400 μm was employed to generate high pressures up to 40 GPa. Steel gaskets were pre-indented to about 40 μm thickness, and then 200 μm holes were drilled as the sample chambers. The pre-pressed samples and ruby balls were placed inside the sample chamber. To provide quasi-hydrostatic conditions, a methanol/ethanol/water (16/3/1 vol.) solvent system was employed as the pressure-transmitting medium for all of the high-pressure measurements. The pressure was calibrated by a ruby fluorescence method.47
The HP powder X-ray diffraction patterns were collected at the 4W2 High Pressure Station in Beijing Synchrotron Radiation Facility (BSRF) at room temperature. A focused monochromatic X-ray beam with a size of about 15 × 35 μm2 and a wavelength of 0.6199 Å was used. The diffraction data were recorded using a Mar345 image plate. High-purity CeO2 powder was used as the standard for calibration.
The HP Raman Spectra were recorded at room temperature using a Renishaw inVia reflex micro-Raman spectroscope with a 785 nm laser. The system was calibrated by the Raman signal of Si, and spectra were recorded in the range of 50–600 cm−1.
The HP PL spectrum measurements were conducted using a home-designed spectroscopy system equipped with a NOVA2S highly sensitive spectrometer in the band of 360–930 nm (Ideaoptics, China) with 980 nm and 405 nm lasers as the excitation light source.
Data analyses.
The powder XRD patterns were integrated using the Dioptas program.48 Lattice parameter refinements were performed using the FULLPROF program.49
3. Results and discussion
3.1. Ambient crystal structure and UC spectra
Under ambient conditions, LiYF4 and LiLuF4 crystallize in the tetragonal scheelite structure.50,51Fig. 1a shows the crystal structure of LiYF4 and LiLuF4, where edge-sharing [YF8] and [LuF8] dodecahedrons form the framework and distorted [LiF4] tetrahedrons are imbedded in it. The dopant lanthanide ions are considered to occupy the Y3+ and Lu3+ sites in the lattice, for the similarity of ionic radii and equivalence of valence states. Fig. 1b and c show good phase purity of LiYF4 and LiLuF4 and all the doped samples, which are tetragonal phase with space group I41/a in synthetic white powders. The SEM images in Fig. S1 (ESI†) show that the crystals are formed as octahedra of tens of microns in size. The corresponding calculated lattice parameters for undoped and Ln3+ codoped LiYF4 and LiLuF4 samples are listed in Table S1 (ESI†). The normalized UC PL spectra of the Ln3+ codoped LiYF4 and LiLuF4 show the similitude in the peak profile and wavelength.
 |
| | Fig. 1 (a) Crystal structure of LiYF4 and LiLuF4 under ambient conditions. Powder XRD patterns of undoped and Ln3+-codoped (b) LiYF4 and (c) LiLuF4 samples, respectively. (d–f) Normalized UC PL spectra of Ln3+-codoped LiYF4 and LiLuF4 under 980 nm excitation. | |
3.2. Structural evolution under compression
The LiYF4:20%Yb3+ and LiLuF4:20%Yb3+ samples were loaded in a symmetrical DAC for in situ high-pressure study. Fig. 2a and d show the powder XRD patterns of LiYF4:20%Yb3+ and LiLuF4:20%Yb3+ collected during compression up to 40.0 GPa and released pressure. Below 10.0 GPa, all diffraction peaks of LiYF4:20%Yb3+ and LiLuF4:20%Yb3+ are indexed well in tetragonal phase with space group I41/a and keep shifting to a higher angle under pressure, implying the contraction of the unit cell. At 10.0 GPa, the splits presented in diffraction peaks (101) and (103) indicate a symmetry reduction related to a phase transition from tetragonal to monoclinic (I2/a).50,51 The Le Bail refinement plots of the phases for LiYF4:20%Yb3+ and LiLuF4:20%Yb3+ are shown in Fig. S2 (ESI†). It is notable that the diffraction peak (112) shifts to lower angles after 10.0 GPa in both samples (Fig. S3, ESI†), indicating the unnatural enlargement of an interplanar spacing of (112) upon compression, which intuitively represent the anomalous increase of a-axis, so that it can be considered as negative linear compressibility (NLC). At 17.4 GPa, a new Bragg peak appears at 8.2° in LiYF4:20%Yb3+, indicating the second-phase transition under compression, which is not observed in the LiLuF4:20%Yb3+ sample. P21/c is chosen to fit the second HP phase of LiYF4:20%Yb3+ and the structure refinements suggest that the first and second HP phases coexist in the range of 19.4 to 25.9 GPa.52 Both LiYF4:20%Yb3+ and LiLuF4:20%Yb3+ become amorphous after 25.0 GPa, which are kept to the released state. The fitting of the P–V curve by using the second-order Birch–Murnaghan equation of state shows that the HP phase of both LiYF4:20%Yb3+ (B0 = 279.2(1) GPa) and LiLuF4:20%Yb3+ (B0 = 291.1(0) GPa) is harder to compress than the LP phase (B0 = 109.0(3) GPa for LiYF4:20%Yb3+ and B0 = 69.8(2) GPa for LiLuF4:20%Yb3+). Previous studies have shown that the phase transition behavior of scheelite-structured LiLnF4 fluoride under high pressure is closely related to the radius of Ln3+ cation.50,51,53 During I41/a → I2/a transition, there is almost no discontinuity in the evolution of the unit cell volumes and lattice parameters.
 |
| | Fig. 2 HP XRD patterns of (a) LiYF4:20%Yb3+ and (d) LiLuF4:20%Yb3+ at selected pressures, respectively. Cell parameters of (b) LiYF4:20%Yb3+ and (e) LiLuF4:20%Yb3+ as a function of applied pressure, respectively. Pressure dependence of the cell volumes of (c) LiYF4:20%Yb3+ and (f) LiLuF4:20%Yb3+ and the fitting results using the second-order Birch–Murnaghan equation of state, respectively. | |
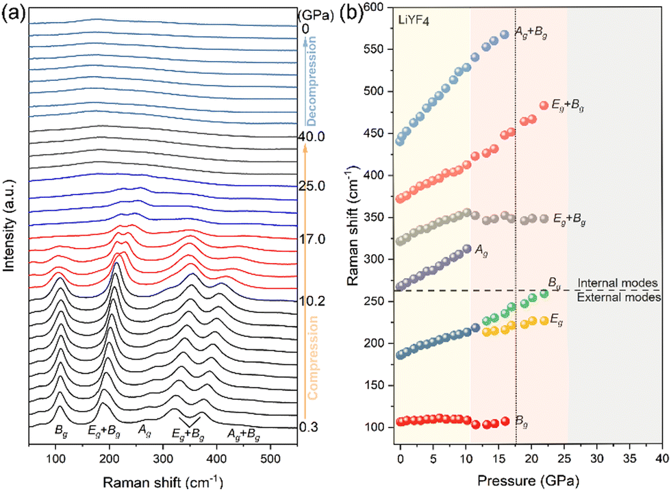
Raman spectra are an effective tool to reveal the subtle local structure evolution. To better understand the lattice dynamics of LiYF4 and LiLuF4 and coordination environment changes of central cation units, in situ HP Raman spectra of undoped and Ln3+-codoped LiYF4 and LiLuF4 were collected at applied pressures, as shown in Fig. 3 and Fig. S4 (ESI†). Fig. 3a presents the pressure dependence of Raman spectra in the range of 50–600 cm−1, where the internal modes stand for vibrations within the [LiF4] tetrahedra and the external modes correspond to lattice translations.54,55 Six Raman peaks were clearly observed experimentally at ambient pressure inside DAC, four of which were doublets, namely (Eg + Bg) modes at 185.8 cm−1, 320.1 cm−1 and 370.9 cm−1 and (Ag + Bg) mode at 445.1 cm−1, as well as Bg modes at 106.9 cm−1 and Ag modes at 267.5 cm−1, respectively. At the first-phase transition point around 11.5 GPa, the mode (Eg + Bg) at 185.8 cm−1 split into two peaks and the deviation between them keep expanding, into 32 cm−1 at 22.0 GPa. The mode (Eg + Bg) at 320.1 cm−1 start to shift to a lower wavenumber, i.e. phonon softening, corresponding to the negative linear compression along the a-axis in the HP phase. Ag vibration mode disappears at 11.5 GPa because of the enhanced distortion degree of [LiF4] tetrahedra. All Raman peaks become weakened and broadened under HP above 25.0 GPa, which is consistent with the partial amorphization of LiYF4 and LiLuF4 shown in the diffraction pattern. After pressure relief treatment, the absence of Raman mode signals suggests that the sample remained entirely amorphous.
 |
| | Fig. 3 (a) HP Raman spectra of LiYF4 at selected pressures. (b) Pressure dependence of the Raman peak positions in the wavenumber range of 50–600 cm−1. | |
3.3. Pressure-induced UC luminescence enhancement
The UC performance of Ln3+-codoped LiYF4 and LiLuF4 upon compression was measured by use of in situ HP spectrometer with 980 nm laser as the excitation source. Fig. 4 illustrates the pressure-driven UC emission spectra, the integrated intensity and the relative intensity ratios for red and green emission bands (R/G) of Ln3+-codoped LiYF4 as a function of pressure. With the increase in pressure, the evolution of UC intensity can be divided into three stages: (i) Before 10.0 GPa, the UC intensity decreased gradually owing to increased multiphonon relaxation and nonradiative cross-relaxation in the crystal.56 (ii) After phase transition, an obvious rise in UC intensity can be observed in the range from 10.0 to 25.0 GPa, which may be associated with the symmetry breaking caused by the phase transition from tetragonal phase (I41/a) to monoclinic phase (I2/a).34,57 The UC intensities reach the maxima at about 25.0 GPa. Typically, LiYF4:19%Yb3+/1%Er3+ and LiYF4:19.9%Yb3+/0.1%Tm3+ exhibit 1.8-fold UC enhancement compared with the initial state. (iii) The sudden drop of UC intensity is observed in all the samples after 25.0 GPa, which can be attributed to the crystal strains and further reduction in interionic distance in the compressed material.58 It is worth noting that a nearly linear enhancement in UC PL is detected during the pressure release process, which suggests that the host lattice retains its amorphous state. The UC intensity of the released LiYF4:19%Yb3+/1%Er3+ is almost 2.6 times more than that of the initial state. The enhancement multiples of UC intensity can be found in Fig. 4d–f. The pressure-dependent tendencies of R/G match well with the structural evolutions. The transformations of Ln3+-codoped LiLuF4 samples display a similar change trend, as shown in Fig. S5 and S6 (ESI†). A 1.5-fold UC enhancement is obtained in LiLuF4:19.9%Yb3+/0.1%Tm3+ at 25.3 GPa. After release, a 2.0-fold UC enhancement is observed in LiLuF4:19%Yb3+/1%Er3+.
 |
| | Fig. 4 UC PL spectra of (a) 2H11/2 → 4I15/2, 4S3/2 → 4I15/2 and 4F9/2 → 4I15/2 in LiYF4:19%Yb3+/1%Er3+, (b) 5F4,5S2 → 5I8, 5F5 → 5I8 and 5S2 → 5I7 in LiYF4:19%Yb3+/1%Ho3+, and (c) 1D2 → 3F4, 1G4 → 3H6, 1G4 → 3F4, and 3H4 → 3H6 in LiYF4:19.9%Yb3+/0.1%Tm3+ under compression and release. (d–f) Pressure-dependent UC PL total intensity evolution of Ln3+-codoped LiYF4. The relative intensity ratios (R/G) of (g) red (4F9/2 → 4I15/2) and green (2H11/2 → 4I15/2, 4S3/2 → 4I15/2), (h) red (5F5 → 5I8, 5S2 → 5I7) and green (5F4,5S2 → 5I8) and (i) red (1G4 → 3F4, 3H4 → 3H6) and green (1D2 → 3F4, 1G4 → 3H6) band transition of Ln3+-codoped LiYF4 under pressure. (The solid circle represents the compression process and the hollow circle represents the decompression process.) | |
Fig. 5 depicts the energy Stark splitting of each band of Ln3+-codoped LiYF4 into individual narrow sublevels. The distinguishable peaks are designated with consecutive letters for convenience in the UC spectra. Fig. 5d–f show the spectral shift of each individual sublevel under compression. Theoretically, the emission peak positions according to sublevels are unable to shift much due to the insensitiveness of inner 4f–4f transitions, which is in agreement with the peak position tendency depending on the pressure. While, at the phase transition points around 10, 17 and 25 GPa, some inflexions present on several trend curves, typically the emission peak C, D, E, F, K, L and V. Simultaneously, the FWHM show a similar tendency with the increase in pressure, as shown in Fig. 5g–i. Both can be attributed to the drastic changes of the crystal field around Ln3+ ions at phase transition points, which can directly affect the band splitting.59,60
 |
| | Fig. 5 Resolved sublevel transition evolution of (a) LiYF4:19%Yb3+/1%Er3+, (b) LiYF4:19%Yb3+/1%Ho3+, and (c) LiYF4:19.9%Yb3+/0.1%Tm3+ at selected pressures. (d–f) Pressure dependence of peak position of individually resolved sublevels. (g–i) Band FWHM of optical transition as a function of pressure. (The solid circle represents the compression process; the hollow circle represents the decompression process and the pentagram represents a new peak.) | |
3.4. Eu3+ ions probe site symmetry of Y3+ and Lu3+ ions under high pressure
Generally, the UC emission efficiency of doped ions is relative to the site symmetry, which can be explored by use of Eu3+ ions, as the site symmetry of Eu3+ ions closely depend on the splitting number of energy level 7FJ and transition number of 5D0 → 7FJ.61,62Fig. 6a shows the emission spectra of LiYF4:19%Yb3+/1%Eu3+ and LiLuF4:19%Yb3+/1%Eu3+ excited at 405 nm, where the emission peaks of Eu3+ can be well assigned to 5D0 → 7F0 (582 nm, very weak), 5D0 → 7F1 (591 nm), 5D0 → 7F2 (613 nm), 5D0 → 7F3 (650 nm), and 5D0 → 7F4 (698 nm). Fig. 6b shows the typical magnetic dipole emission 5D0 → 7F1, and electric dipole emission 5D0 → 7F2 and 5D0 → 7F4 of LiYF4:19%Yb3+/1%Eu3+ under compression and decompression cycles. We performed multipeak fitting for 5D0 → 7F1 near the phase transition points. At low pressures, the magnetic dipole 5D0 → 7F1 emission exhibits two peaks, corresponding to the C4h-symmetry of Eu3+ ions. After the first-phase transition at 10.4 GPa, 5D0 → 7F1 emissions split into three peaks, implying that the symmetry of doping site reduces from C4h to C2h. The changes observed in the emission spectra of 5D0 → 7F2 and 5D0 → 7F4 around 17.1 GPa provide evidence that the second HP phase modifies the environment around the Eu3+ ions. As the pressure is increased further, above 24.9 GPa, the spectra for each emission peak widen. This change is sustained until 40.0 GPa and released state, which forcefully supports the claim that local symmetric reduction at the HP phase and amorphous state bring the enhancement of the UC PL, corresponding to structural analysis results according to XRD and Raman measurements. The local symmetry of the doped Eu3+ ions before and after phase transformation is shown in Fig. 6d. The HP PL spectra of LiLuF4:19%Yb3+/1%Eu3+ are shown in Fig. S7 (ESI†), which present similar changing trends.
 |
| | Fig. 6 (a) Emission spectra of LiYF4:19%Yb3+/1%Eu3+ and LiLuF4:19%Yb3+/1%Eu3+ under ambient conditions and 405 nm excitation. (b) Emission spectra of LiYF4:19%Yb3+/1%Eu3+ under compression and decompression. (c) Multipeak fitting of 5D0 → 7F1 at selected pressures. (d) Local symmetry of Ln3+ ions in phase I41/a (left) and I2/a (right). | |
The experimental results indicate that the UC PL in Ln3+-codoped LiYF4 and LiLuF4 exhibits significant changes under high pressure. The UC PL decreases at low pressures due to non-radiative relaxation and subsequently increases due to symmetry breaking caused by phase transitions. At 25.0 GPa, the UC PL reaches its maximum and then weakens because of crystal strains and further reduced interionic distance. During pressure relief, the UC PL increases almost linearly. Further analysis of the Raman spectra and Eu3+ spectral probe reveals that the samples maintain a low symmetry and disorder structure during pressure release from 40.0 GPa. It can conclude that the local structure distortion and disorder caused by the high pressure and the expanded interionic distances during releasing process give rise to the UC re-enhancement, even higher than that at the high-pressure state. These observations suggest that the high-pressure phase was successfully intercepted, resulting in the improved UC emission.
4. Conclusions
In summary, we reported the pressure-induced UC PL enhancement in Ln3+-doped LiYF4 and LiLuF4 under 980 nm excitation. The UC emission intensity increases sharply along with the phase transition process and a maximum of 1.8-fold enhancement obtained at 25.0 GPa in LiYF4:19%Yb3+/1%Er3+ and LiYF4:19.9Yb3+/0.1%Tm3+. After pressure relief, the UC PL intensity increases again, to about 2.6 times as high as the initial state in LiYF4:19%Yb3+/1%Er3+. HP XRD reveals that both LiYF4 and LiLuF4 undergo a phase transition from I41/a to I2/a around 10.0 GPa and become amorphous above 25.0 GPa. In LiYF4, there is another phase transition at 17.4 GPa. Moreover, we confirmed that the phase transition leads to a reduction in local site symmetry around Ln3+ ions by means of Eu3+ ion luminescence probes. We believe that pressure-modulated LiYF4 and LiLuF4 are able to promote the UC PL efficiency of the doped rare earth ions, which can work as novel UC hosts to apply under ambient conditions. Hopefully, the results of this work could guide the design of pressure-responsive UC PL materials with high performance in emerging photoelectric fields.
Conflicts of interest
There are no conflicts to declare.
Acknowledgements
This work was supported by the National Natural Science Foundation of China (52073003), the Major Program of the National Natural Science Foundation of China (22090041), and the National Key R&D Program of China (2018YFA0305900). HP XRD data were collected at beamline station 4W2 of Beijing Synchrotron Radiation Facility (BSRF), Beijing, China.
References
- F. Auzel, Chem. Rev., 2004, 104, 139–173 CrossRef CAS PubMed.
- M. Haase and H. Schafer, Angew. Chem., Int. Ed., 2011, 50, 5808–5829 CrossRef CAS PubMed.
- J. Huang, L. Yan, S. Liu, L. Tao and B. Zhou, Mater. Horiz., 2022, 9, 1167–1195 RSC.
- Y. Wang, J. Low, Y. Bi, Y. Bai, Y. Jiang, H. Wang, W. Liu, Y. Ma, Y. Chen, R. Long and Y. Xiong, Chin. Chem. Lett., 2022, 33, 1087–1090 CrossRef CAS.
- X. Cheng, J. Zhou, J. Yue, Y. Wei, C. Gao, X. Xie and L. Huang, Chem. Rev., 2022, 122, 15998–16050 CrossRef CAS PubMed.
- B. Zheng, J. Fan, B. Chen, X. Qin, J. Wang, F. Wang, R. Deng and X. Liu, Chem. Rev., 2022, 122, 5519–5603 CrossRef CAS PubMed.
- H. Dong, L.-D. Sun and C.-H. Yan, J. Am. Chem. Soc., 2021, 143, 20546–20561 CrossRef CAS PubMed.
- Y. Wang, Z. Yang, Y. Ma, Z. Chai, J. Qiu and Z. Song, J. Mater. Chem., 2017, 5, 8535–8544 CAS.
- N. Niu, F. He, S. Gai, C. Li, X. Zhang, S. Huang and P. Yang, J. Mater. Chem., 2012, 22, 21613–21623 RSC.
- M. Gunaseelan, S. Yamini, G. A. Kumar and J. Senthilselvan, Opt. Mater., 2018, 75, 174–186 CrossRef CAS.
- W. Gao, J. Dong, Z. Wang, Z. Zhang and H. Zheng, Mater. Res. Bull., 2017, 91, 77–84 CrossRef CAS.
- Y. Chang, H. Chen, X. Xie, Y. Wan, Q. Li, F. Wu, R. Yang, W. Wang and X. Kong, Nat. Commun., 2023, 14, 1079 CrossRef CAS PubMed.
- G. Chen, T. Ohulchanskyy, A. Kachynski, H. Agren and P. Prasad, ACS Nano, 2011, 5, 4981–4986 CrossRef CAS PubMed.
- B. Purohit, Y. Guyot, D. Amans, M.-F. Joubert, B. Mahler, S. Mishra, S. Daniele, C. Dujardin and G. Ledoux, ACS Photonics, 2019, 6, 3126–3131 CrossRef CAS.
- M. Ambapuram, R. Ramireddy, G. Maddala, S. Godugunuru, P. Yerva and R. Mitty, ACS Appl. Electron. Mater., 2020, 2, 962–970 CrossRef CAS.
- A. Kaczmarek, M. Suta, H. Rijckaert, T. van Swieten, I. van Driessche, M. Kaczmarek and A. Meijerink, J. Mater. Chem. C, 2021, 9, 3589–3600 RSC.
- Y. Xiao, M. Ju, H. Yuan and Y. Yeung, J. Phys. Chem. C, 2021, 125, 18015–18021 CrossRef CAS.
- Y. Qiao, S. Qiao, X. Yu, Q. Min, C. Pi, J. Qiu, H. Ma, J. Yi, Q. Zhan and X. Xu, Nanoscale, 2021, 13, 8181–8187 RSC.
- M. Lederer, H. Rijckaert and A. M. Kaczmarek, ACS Appl. Nano Mater., 2023, 6, 2438–2449 CrossRef CAS.
- C. Cao, Q. Liu, M. Shi, W. Feng and F. Li, Inorg. Chem., 2019, 58, 9351–9357 CrossRef CAS PubMed.
- A. Jaffe, Y. Lin, W. Mao and H. Karunadasa, J. Am. Chem. Soc., 2015, 137, 1673–1678 CrossRef CAS PubMed.
- Y. Ma, M. Eremets, A. Oganov, Y. Xie, I. Trojan, S. Medvedev, A. Lyakhov, M. Valle and V. Prakapenka, Nature, 2009, 458, 182–185 CrossRef CAS PubMed.
- P. Zhou, Q. Zhang, F. Peng, B. Sun, X. Dou, B. Liu, D. Han, Y. Xue and K. Ding, J. Rare Earths, 2022, 40, 870–877 CrossRef CAS.
- B. Yue, W. Zhong, W. Deng, T. Wen, Y. Wang, Y. Yin, P. Shan, J.-T. Wang, X. Yu and F. Hong, J. Am. Chem. Soc., 2023, 145, 1301–1309 CrossRef CAS PubMed.
- L. Wang, B. Liu, H. Li, W. Yang, Y. Ding, S. Sinogeikin, Y. Meng, Z. Liu, X. Zeng and W. Mao, Science, 2012, 337, 825–828 CrossRef CAS PubMed.
- Z. Li, F. Jiang, M. Yu, S. Li, L. Chen and M. Hong, Nat. Commun., 2022, 13, 2142–2151 CrossRef CAS PubMed.
- Y. Wang, T. Seto, K. Ishigaki, Y. Uwatoko, G. Xaio, B. Zou, G. Li, Z. Tang, Z. Li and Y. Wang, Adv. Funct. Mater., 2020, 30, 2001384 CrossRef CAS.
- S. Liu, L. He, Y. Wang, P. Shi and Q. Ye, Chin. Chem. Lett., 2022, 33, 1032–1036 CrossRef CAS.
- L. Zhao, Y. Liang, X. Cai, J. Du, X. Wang, X. Liu, M. Wang, Z. Wei, J. Zhang and Q. Zhang, Nano Lett., 2022, 22, 3840–3847 CrossRef CAS PubMed.
- S. Liu, S. Sun, C. Gan, A. G. del Aguila, Y. Fang, J. Xing, T. T. Ha Do, T. J. White, H. Li, W. Huang and Q. Xiong, Sci. Adv., 2019, 5, eaav9445 CrossRef CAS PubMed.
- K. Liu, T. Wen, C. Li, Y. Ma, D. Jiang, B. Yue and Y. Wang, J. Mater. Chem. C, 2023, 11, 2162–2168 RSC.
- G. Xiao, Y. Wang, D. Han, K. Li, X. Feng, P. Lv, K. Wang, L. Liu, S. Redfern and B. Zou, J. Am. Chem. Soc., 2018, 140, 13970–13975 CrossRef CAS PubMed.
- Q. Li, Z. Chen, B. Yang, B. Tan, B. Xiu, J. Han, Y. Zhao, J. Tang and Z. Quan, J. Am. Chem. Soc., 2022, 142, 1786–1791 CrossRef PubMed.
- T. Zheng, M. Runowski, P. Rodríguez-Hernández, A. Muñoz, F. J. Manjón, M. Sójka, M. Suta, E. Zych, S. Lis and V. Lavín, Acta Mater., 2022, 231, 117886 CrossRef CAS.
- S. Goderski, M. Runowski, P. Woźny, V. Lavín and S. Lis, ACS Appl. Mater. Interfaces, 2020, 12, 40475–40485 CrossRef CAS PubMed.
- Y. Wang, T. Seto, K. Ishigaki, Y. Uwatoko, G. Xiao, B. Zou, G. Li, Z. Tang, Z. Li and Y. Wang, Adv. Funct. Mater., 2020, 30, 2001384 CrossRef CAS.
- M. Runowski, P. Woźny and I. R. Martín, J. Mater. Chem. C, 2021, 9, 4643–4651 RSC.
- T. Zheng, M. Runowski, P. Woźny, S. Lis and V. Lavín, J. Mater. Chem. C, 2020, 8, 4810–4817 RSC.
- T. Zheng, L. Luo, P. Du, S. Lis, U. Rodríguez-Mendoza, V. Lavín, I. R. Martín and M. Runowski, Chem. Eng. J., 2022, 443, 136414 CrossRef CAS.
- T. Wen, X. Li, D. Ning, J. Yao, B. Yang and Y. Wang, J. Mater. Chem. C, 2018, 6, 11007–11014 RSC.
- P. Wozny, M. Runowski and S. Lis, J. Lumin., 2019, 209, 321–327 CrossRef CAS.
- Y. Zhao, K. Chen, N. Li, S. Ma, Y. Wang, Q. Kong, F. Baudelet, X. Wang and W. Yang, Phys. Rev. Lett., 2020, 125, 245701 CrossRef CAS PubMed.
- M. Runowski, T. Zheng, P. Wozny and P. Du, Dalton Trans., 2021, 50, 14864–14871 RSC.
- M. Wisser, M. Chea, Y. Lin, D. Wu, W. Mao, A. Salleo and J. Dionne, Nano Lett., 2015, 15, 1891–1897 CrossRef CAS PubMed.
- M. Runowski, J. Marciniak, T. Grzyb, D. Przybylska, A. Shyichuk, B. Barszcz, A. Katrusiak and S Lis, Nanoscale, 2017, 9, 16030–16037 RSC.
- K. Zhang, C. Gao, Z. Jiang, Y. Wei, Y. Pan, C. Wei, H. Li, K. Wang, B. Zou and L. Huang, Adv. Opt. Mater., 2019, 8, 1901031 CrossRef.
- H. K. Mao, J. Xu and P. M. Bell, J. Geophys. Res., 1986, 91, 4673–4676 CrossRef CAS.
- C. Prescher and V. B. Prakapenka, High Pressure Res., 2015, 35, 223–230 CrossRef CAS.
- J. Rodriguez-Carvajal, Phys. B, 1993, 192, 55–69 CrossRef CAS.
- A. Grzechnik, K. Syassen, I. Loa, M. Hanfland and J. Gesland, Phys. Rev. B: Condens. Matter Mater. Phys., 2002, 65, 104102 CrossRef.
- A. Grzechnik, K. Friese, V. Dmitriev, H.-P. Weber, J.-Y. Gesland and W. Crichton, J. Phys.: Condens. Matter, 2005, 17, 763–770 CrossRef CAS.
- B. Minisini, L. Hadj, M. Fomena, N. Garderen and F. Tsobnang, J. Phys.: Condens. Matter, 2006, 18, 2429–2441 CrossRef CAS.
- A. Grzechnik, W. Crichton, P. Bouvier, V. Dmtriev, H.-P. Weber and J.-Y. Gesland, J. Phys.: Condens. Matter, 2004, 16, 7779–7786 CrossRef CAS.
- E. Sarantopoulou, Y. Raptis, E. Zouboulis and C. Raptis, Phys. Rev. B: Condens. Matter Mater. Phys., 1999, 59, 4154–4162 CrossRef CAS.
- A. Jayaraman, B. Batlogg and L. G. VanUitert, Phys. Rev. B: Condens. Matter Mater. Phys., 1983, 28, 4774–4777 CrossRef CAS.
- M. Runowski, A. Shyichuk, A. Tymiński, T. Grzyb, V. Lavín and S. Lis, ACS Appl. Mater. Interfaces, 2018, 10, 17269–17279 CrossRef CAS PubMed.
- M. Runowski, P. Wozny, N. Stopikowska, Q. Guo and S. Lis, ACS Appl. Mater. Interfaces, 2019, 11, 4131–4138 CrossRef CAS PubMed.
- T. Tröster, Phys. Chem. Rare Earths, 2003, 33, 515–589 Search PubMed.
- H. Ghada, L. Yun, B. Ivona, N. Xejay, H. Ina, N. Pourima, S. Martin, M. Bartomeu, N. Daniel and F. Sascha, J. Am. Chem. Soc., 2022, 144, 15862–15870 CrossRef PubMed.
- M. Antoniak, S. Zelewski, R. Oliva, A. Zak, R. Kudrawiec and M. Nyk, ACS Appl. Nano Mater., 2020, 3, 4209–4217 CrossRef CAS.
- Z. Yang, G. Liu, Y. Zhao, Y. Zhou, J. Qiao, M. Molokeev, H. Swart and Z. Xia, Adv. Opt. Mater., 2022, 10, 2102373 CrossRef CAS.
- Y. Cao, X. Wang, J.-T. Wang, T. Seto and Y. Wang, Adv. Opt. Mater., 2022, 10, 2201806 CrossRef CAS.
Footnote |
| † Electronic supplementary information (ESI) available: Experimental section, characterization data, released experiments. See DOI: https://doi.org/10.1039/d3tc00939d |
|
| This journal is © The Royal Society of Chemistry 2023 |
Click here to see how this site uses Cookies. View our privacy policy here.