DOI:
10.1039/C6RA23246A
(Paper)
RSC Adv., 2016,
6, 114235-114243
Effect of epoxy matrix architecture on the self-healing ability of thermo-reversible interfaces based on Diels–Alder reactions: demonstration on a carbon fiber/epoxy microcomposite
Received
18th September 2016
, Accepted 29th November 2016
First published on 29th November 2016
Abstract
Thermally reversible Diels–Alder adducts formed between furan and maleimide groups have been introduced into the interphase of a carbon fiber-reinforced composite material to design a self-healable composite material. The influence of the content of furfuryl glycidyl ether, FGE, comonomer which acts as a furan donor close to the interface was investigated on the architecture and on the thermomechanical properties of an epoxy network by using micro-debonding test. From this method, the debonding force and the fracture energy, Gic, of the interface were determined to analyze the interfacial mechanical properties of these functional composite materials. The suitable content of FGE, i.e. with which the composite system displays not only high interfacial self-healing ability but also keeps significant interfacial mechanical performances, was found to be an inclusion of between 20% and 30% wt.
1. Introduction
Carbon fiber reinforced composite materials are widely used for aeronautics, aerospace, and automotive applications because of their excellent mechanical performances which depend on: (1) the mechanical properties of the fibers such as strength and modulus, (2) the thermomechanical behavior and chemical stability of the matrix, and (3) stress transfer between the polymer matrix and the high modulus fiber via the interface which results from chemical and/or physical effect.1 Different types of interphases can be generated depending on fiber/matrix reactivity resulting in a gradient of morphology and interfacial properties which are quite different from the neat matrix and that will determine the mechanical performances of the final composite materials. However, due to the large differences between the properties of fiber and matrix, the interphase is a privileged place where the stress concentration occurs, which induces the formation of localized micro-cracks. By increasing applied load and/or life time, these micro-cracks will propagate until the creation of large damages and the final fracture of the composite material. To increase service life of material, a biologic concept, self-healing, was applied into composite material, i.e. material can heal micro-damage depending on some intrinsic mechanism. Until now, numerous routes were already proposed to repair micro-cracks in composite materials such as embedding of microcapsules or hollow fibers into the polymer matrix which are previously filled with a liquid healing agent.2–8 The three-dimensional microvascular network is another new healing route to continuously deliver healing agent into cracks through capillary driving force.9–14 Nevertheless, these routes can only heal cracks that have been grown into the bulk matrix on a relatively large scale, but can not heal the interfacial microcracks and fiber/matrix debondings.
In another way, Peterson et al.15,16 proposed a new concept that only focused on the healing of micro-cracks in the interphase regions of composite materials, named ‘interfacial self-healing’. According to this work, thermally reversible Diels–Alder (D–A) adducts, which tends to separate into reactants (furan and maleimide) above 90 °C and reconnect below 60 °C, have been introduced into the interphase of glass/epoxy composite material. When interfacial debonding happens, a simple heating/cooling process can reform or heal the interface. The healing efficiency was evaluated from micro-debonding test allowing for quantifing the interfacial shear strength, IFSS. After the first healing cycle, about 41% of IFSS was recovered and the self-healing ability could be observed even after more than five debonding/healing cycles. In our previous paper,17 we have transferred this self-healing concept to carbon fiber/epoxy interfaces even if creation of functional groups is much more difficult on carbon fiber surface. Thermo-reversible D–A adducts were successfully introduced into the interphase from a three-step fiber surface treatment process leading to maleimide functionality and a matrix functionalization with furan groups (Fig. 1). The optimum fiber treatment consisted in an oxidation step to generate polar surface groups followed by an amination step with tetraethylenepentamine, TEPA, and then grafting the 1,1′-(methylene-di-4,1-phenylene)bismaleimide, BMI. The maleimide groups on fiber surface are able to react with the furan groups introduced from the copolymerization of furan glycidyl ether, FGE, with the diepoxy and diamine comonomers of the epoxy matrix to form a self-healable interphase. Such an interphase led to a relatively high interfacial healing efficiency, i.e. 75% without taking into account the frictional force.17
 |
| | Fig. 1 Formation of thermally self-healable interphase from ex-PAN carbon fiber surface treatment and matrix modification. | |
Here, we must notice that in this previous work, we have mainly studied the optimal treatment conditions of fiber to achieve an interfacial self-healing ability. In fact, the epoxy matrix architecture, governed by matrix component, is also significant. It influences not only the interfacial self-healing ability but also the final mechanical properties of composite material. Since the furan-epoxy monomer, FGE, being mono-functional (one epoxy group available for reaction with IPD), acts as chain extender in the epoxy network determining the matrix architecture. The FGE content for achieving both the highest interfacial healing efficiency and the lowest loss of thermal and mechanical performances of the epoxy matrix will be investigated in this paper. The interfacial self-healing efficiency (η) will be calculated from debonding force and critical fracture energy release rate (Gic), respectively. The fracture mechanisms related to η, involving shear yielding and crack propagation resistance as a function of crosslink density of the interphase, will be discussed.
2. Experimental
2.1 Chemicals and materials
Table 1 displays the reagents related to this paper. The amines (tetraethylenepentamine, TEPA, and isophorone diamine, IPD, purchased from Sigma-Aldrich Co.; purity: 95% and 97%, respectively), epoxy prepolymer (diglycidyl ether of bisphenol-A, DGEBA, D.E.R. 332, purchased from Dow Chem Co.; n = 0.15), furan-epoxy comonomer (furfuryl glycidyl ether, FGE, purchased from Sigma-Aldrich Co.; purity: 96%), and bismaleimide (1,1′-(methylenedi-4,1-phenylene)bismaleimide, BMI, purchased from Sigma-Aldrich Co.; purity: 97%) were used as received. The untreated and unsized ex-polyacrylonitrile (PAN)-based carbon fiber, denoted as T700-U, was kindly provided by Toray Inc. The average diameter is 7 μm. The tensile strength and tensile modulus are 4.9 GPa and 230 GPa, respectively. Nitric acid used for oxidization of the carbon fibers (purchased from Sigma-Aldrich Co.; aqueous solution, 69% wt), was also used as received. Table 2 reports the characteristics of the fiber and the matrix.
Table 1 Chemical formula of reagents used for surface grafting of ex-PAN carbon fibers and epoxy-amine matrices
| Reagent |
Chemical formula |
| TEPA |
 |
| BMI |
 |
| DGEBA |
 |
| IPD |
 |
| FGE |
 |
Table 2 Characteristics of the considered ex-PAN carbon fiber T700-U (Toray Inc.) and the epoxy matrix
| Parameter |
Value |
Reference |
| Df (μm) |
7 |
Supplier data |
| Ef (GPa) |
230 |
Supplier data |
| αf (K−1) |
−0.4 to −1.0 × 10−6 |
Supplier data |
| αm (K−1) |
1.71 × 10−4 |
18 |
2.2 Carbon fiber surface treatment and epoxy matrix functionalization
For grafting maleimide groups onto the fiber surface, the ex-PAN carbon fiber, T700-U, was modified following three steps: (1) T700-U fiber was immersed in acetone for 1 hour to remove surface impurities and further oxidized using aqueous solution of nitric acid at 115 °C for 60 minutes to increase the concentration of acidic group on surface. After such an oxidization treatment, the carbon fiber is denoted as T700-HNO3; (2) the acidic groups on the T700-HNO3 fiber surface reacted with TEPA at 190 °C for 17 hours to amine-functionalize the surface. The amine-functionalized fiber is denoted as T700-TEPA; (3) during the third step, ‘Michael’ additional reaction19 was carried out onto the fiber surface by immersing T700-TEPA into a BMI saturated solution, i.e. N,N-dimethylformamide (DMF, ACS grade) solution at 80 °C for 2 hours. And then the fibers were immersed into DMF for 2 hours to remove the unreacted BMI, i.e. BMI which is physically absorbed on the fiber surface. An additional washing step, consisted in rinsing with acetone, was applied. At last, the washed fibers were dried at 80 °C for 24 hours under vacuum. The so treated fiber is denoted as T700-BMI. The results of X-ray photoelectron spectrometry (XPS) and Atomic Force Microscopy (AFM) indicated that maleimide groups can be successfully grafted onto fiber surface by the three steps. More details about fiber surface treatment and characterization were reported in a previous paper.17
The furan-functionalized epoxy matrices were prepared by copolymerizing DGEBA epoxy prepolymer with various weight contents of FGE comonomer, i.e. 0% (neat DGEBA), 10%, 20%, 30%, 40%, and 50%. The crosslinker, i.e. IPD, was added according to a stoichiometric epoxy
:
amino-hydrogen ratio of 1
:
1 for DGEBA–FGE combinations. The curing of the DGEBA + FGE/IPD system was performed at 80 °C for 2 hours followed by a post-curing at 160 °C for 2 hours. DSC analysis proved that, after this cure process, the epoxy matrix can be fully cured whatever the FGE content. The glass transition temperature, Tg, of the cured matrices was found to decrease with the FGE content (Fig. 2) due to the functionality of FGE comonomer which acts as chain extender.
 |
| | Fig. 2 Glass transition temperature (Tg) of the fully cured DGEBA–FGE/IPD matrices with different weight contents of FGE. | |
Same trends were obtained for epoxy networks designed from the combination of difunctional and tetrafunctional amine comonomers copolymerized with a diepoxy prepolymer. Won20 reported the case of DGEBA–3DCM (4,4′-diaminodicyclohexylmethane)–TMCA (trimethylcyclohexylamine) networks whereas Urbaczewski et al.21 studied the same network in presence of –MCHA (methylcyclohexylamine). In both cases, the MCHA or TMCA monoamines act as chain extender between crosslinks, i.e. leading to a decrease of the crosslink density and consequently to a decrease of glass transition temperature of the networks. On the other hand, the evolution of the Young's modulus, denoted as Em, of the epoxy matrix as a function of FGE, plotted in Fig. 3, is a little bit confusing.
 |
| | Fig. 3 Young's modulus of the fully cured epoxy matrices as a function of FGE content at room temperature (amino-hydrogen-to-epoxy = 1 for all the epoxy networks). | |
Usually, the Young's modulus of epoxy matrix decreases with the increase of Mc, i.e. increasing the content of chain-extender (FGE). Nevertheless, our results are totally contrary. The same trend has also been observed by Won et al. and was considered as an antiplasticization effect.20 This special effect might be related to the formation of hydrogen bond or/and to the change of β-relaxation in epoxy network.
2.3 Interface characterization: micro-droplet debonding
To characterize mechanical properties of the designed interface, micro-droplet debonding test was carried out. The test sample was a single fiber segment with a cured epoxy droplet that was formed by using a thin copper wire to deposit liquid epoxy resin on bridged single fiber. The size of droplet varied with quantity of deposited liquid resin. The test was carried out on a tensile testing machine (MTS) using a 10 N maximum load cell with a sensitivity of 0.001 N (Fig. 4). The displacement rate and the data collection rate were 0.1 mm min−1 and 100 Hz, respectively. Details about the experiments were given in a previous paper.17
 |
| | Fig. 4 Micro-droplet debonding test set up and schema. | |
As the loading rate remains very low, the maximum tensile force was considered as force required for debonding, denoted as F1max. After debonding, the droplet was not separated from fiber but slid along it. The frictional force was denoted as f1. After the first debonding, the samples were heated at 90 °C for 1 hour and cooled down slowly in furnace until to the room temperature and then left at room temperature for 24 hours. This treatment was applied as healing treatment as it would allow to reform the D–A adducts in the interface/interphase region where interfacial fracture occurred. These samples were tested again to repeat the debonding test. The second debonding force and the frictional force were denoted as F2max and f2, respectively. Fig. 5 reports the typical force–time curves during first and second debonding tests. In order to ensure the repeatability of measurements, more than 50 samples of each fiber/matrix system have been tested. Nevertheless, standard deviations remain quite large (∼20%) but are consistent with the literature data and results from the nature of microdroplet testing. Before testing, all the microdroplet specimens were observed by optical microscopy to measure the droplet dimensions. The defective or asymmetric samples were not considered.
 |
| | Fig. 5 Force vs. time during two successive microdroplet debondings (performed on the same droplet; healing treatment was applied between the two runs). | |
The healing efficiency, η, was evaluated by comparing the second and the first interfacial shear strength (IFSS) calculated from the debonding force; of course, such an approach could be considered as a first approximation:
| |
 | (1) |
| |
 | (2) |
where
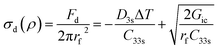
Fd is debonding force,
Df is fiber diameter, and
Le is embedded length. The critical energy release rate,
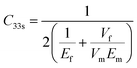
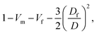
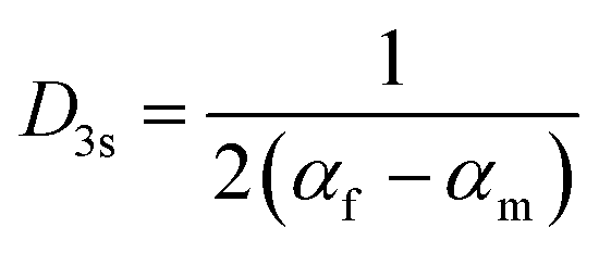
Gic, is another approach to characterize the interfacial properties of the interface/phase. The critical value, based on shear-lag theory, could be determined according to the following equations:
22| |
 | (3) |
| |
 | (4) |
| |
 | (5) |
| |
 | (6) |
where
Fd is the debonding force,
rf is the fiber radius, Δ
T is the difference between the stress free temperature and the testing temperature.
Ef and
Em are the fiber axial modulus and Young's modulus of the matrix,
Vf and
Vm are the volume fraction of fiber and matrix, and
αf and
αm are the fiber and matrix thermal expansion coefficients.
D is the diameter of droplet.
3. Results and discussion
3.1 Influence of FGE content in the epoxy matrix on the interfacial properties
As the FGE content in the matrix increases, the number of D–A adducts formed in the fiber/matrix interphase should increase gradually until all the maleimide groups grafted onto the fiber surface are consumed completely. During this process, the interfacial bonding strength which is determined by the number of covalent bonds between fiber and matrix should follow the same trend, i.e. increasing to a constant value. Fig. 6 plots the first interfacial debonding force as a function of the embedded length (Le) for different mass ratio of FGE in the DGEBA–IPD epoxy matrix. It's obvious that the debonding force increases with the FGE content. Fig. 7 displays the average interfacial shear strength (IFSS) calculated from the first debonding force, in which a plateau value can be observed for 40% wt of FGE. Therefore, 40% wt FGE can be considered as a critical value, with which all the maleimide groups on fiber surface can react to form D–A bonds. This value is quite similar to the one estimated in Peterson's works, for which the surface concentration of furan was about 0.4 molecules per nm2.16
 |
| | Fig. 6 Evolution of debonding force (1st run) as a function of the embedded length (Le) for different weight contents of FGE introduced in DGEBA–IPD based matrices. | |
 |
| | Fig. 7 Evolution of the interfacial shear strength (1st run) as a function of the content of FGE introduced in the DGEBA–IPD based matrix. | |
It should be noticed that FGE, which is a monofunctional comonomer in the epoxy-amine system, contributes to decrease the crosslink density of the epoxy networks. As reported in literature,21 the fracture toughness of the networks in the generated interphases increases with decreasing the crosslink density, i.e. with increasing of the FGE content. The stress intensity factor, KIc, which is related to the resistance to crack propagation, was found to increase linearly with decreasing Tg and 1/Mc, where Mc is the molar mass between crosslinks. The same trends were obtained on DGEBA–dicyandiamide networks differing from their crosslink density changed from the cure schedule as KIc varies with (Mc)1/2.23 In addition, it was reported that the fracture properties of networks could be related to the yield stress, σY, which decreases with decreasing the crosslink density.21,24 Thus, according to the stress concentration generated close to the fiber surface, i.e. in the interphase, in the microdroplet test configuration, one can suppose that the shear yielding of the epoxy matrix close to the fiber will govern the final debonding behavior. As a consequence, the macromolecular architecture of the epoxy network in the interphase will play an important role in the debonding processes: stress transfer, shear yielding, and fracture propagation along the interface or in the interphase. Fig. 8 displays the displacement of micro-droplet from the beginning of loading to debonding which can be qualitatively considered as an ‘interfacial shear strain’ and thus can be used to characterize the interfacial toughness. The average values reported in this figure show that the interfacial toughness increases with the increase of FGE content in matrix, i.e. with the reduction of crosslink density.
 |
| | Fig. 8 Average displacement at fracture of interphase for debonding as a function of FGE content. | |
3.2 Relationship between FGE content in DGEBA-based epoxy matrix and resulting self-healing efficiency
Fig. 9 reports the healing efficiency, η, defined previously as a function of the FGE content into the epoxy matrix. Unlike Peterson's works in which furan-functionalized thermosetting polymers were prepared with varying amounts of furan while keeping constant cross-linked densities.16 Some amounts of FGE were replaced with a stoichiometric amount of a comonomer identical to FGE except that it contained a pendant phenyl group instead of a pendant furan. In our case, by varying the amounts of furan, the so produced thermosetting networks are also depending on the DGEBA content and consequently the architecture and properties of network evolve with increasing the FGE content.
 |
| | Fig. 9 Healing efficiency vs. FGE content (efficiency is considered from 1st and 2nd microdebonding results, i.e. considering the reported healing treatment). | |
A change of interface for debonding tests could be evidenced for 20% wt of FGE into the epoxy matrix. As FGE content remains lower than 20%, a relatively high healing efficiency could be achieved (about 80%). However, for higher FGE weight ratios, the healing efficiency gradually decreases towards a much lower value. The changes in interfacial healing efficiency can be explained from the interface bonding and fracture mode. When the content of FGE is low (less than 20% wt), the interfacial shear strength is mainly related to the physical bonds which result from epoxy matrix–carbon fiber surface, i.e. mainly van der Waal's forces and inertial forces of the microdroplet. Such secondary interfacial forces which were already identified as key components for explaining macroscopic behavior as these physical forces can be totally recovered after debonding and thus lead to a higher healing efficiency.25 However, as shown in Fig. 6 and 7, these kind of physical interactions lead to a very low interfacial bonding strength. With the increasing of FGE, more and more D–A covalent bonds are formed in the interphase and must contribute to increase the interfacial strength. These changes must induce unstable crack propagation in the interphase during debonding, i.e. interphase is no longer a weak link and cracks could propagate into the bulk matrix. After debonding step, some small fragments of the epoxy matrix remain on fiber surface (cohesive fracture). In these residual epoxy fragments, a large number of furan groups in the form of D–A adducts exists, which indeed decreases the amount of furan groups available close to the new ‘resulting interface’ that should further be used to reform D–A adducts.
With the increase of FGE content, cohesive fracture became more and more important (Fig. 10). As a consequence, the healing efficiency decreases with the increasing of FGE content until no D–A bonds could be reformed by heating leading to a very low healing efficiency.
 |
| | Fig. 10 Scanning electron microscopy micrographs of fractured epoxy/T700-BMI interfaces after micro droplet debonding test. | |
Scheer et al.22 mentioned that the determination of IFSS by considering a constant shear stress along the embedded length is not quite exact since two limitations can be found: (i) the debonding force (Fd) and the embedded length (Le) do not display a linear relationship over all range of Le, but only on a defined range; (ii) the so calculated IFSS is an average IFSS that can't be considered as a criterion of interfacial fracture. To find another alternative, the micromechanical shear-lag model was used to determine the critical energy release rate for interface debonding, Gic. As shown in Table 2, the same αm was chosen for all the matrices since Won's study18 indicated that the values of αm do not change strongly with the compositions of matrix and Scheer22 has also shown that the precise values of these properties have not a strong influence on calculating Gic. For these reasons, using the same αm is reasonable. In fact, the fracture energy of the interface/phase displays a threshold above 20% wt of FGE. The value of Gic2/Gic1, i.e. the ratio between the fracture energies of the interface at the second and first debonding was evaluated to characterize the healing efficiency (Fig. 11). The change of Gic1 with the FGE content follows the same trend as the first debonding force, i.e. Gic1 increases as a function of FGE content. The value of Gic2/Gic1 which can be considered as the interfacial self-healing efficiency, denoted as η*, is very close to the η values determined from the ratio IFSS2/IFSS1. No matter in view of debonding force or energy release rate, interfacial strength and healing efficiency display an opposite trend.
 |
| | Fig. 11 Evolution of the first debonding critical energy release rate (Gic1) and the ratio of Gic2/Gic1 (considered as the ‘healing efficiency’) as a function of the FGE content in the epoxy matrix. | |
So, according to our results, the optimum content of FGE could be considered between 20 and 30 wt% to combine high stress transfer at the interface, i.e. about 70 MPa for IFSS1 and 100 °C for glass transition while keeping a high healing efficiency about 40%.
4. Conclusion
The Diels–Alder thermally reversible bonds formed by furan and maleimide groups have been introduced into the interphase of carbon fiber reinforced epoxy matrix composite material to achieve an interfacial self-healing ability. The stress transfer at the interface/phase with a varying content of FGE (furan donor) in the matrix was evaluated from the micro-droplet debonding test. The direct measurements lead to consider directly debonding forces whereas micromechanical analysis allows to calculate the fracture energy release rate, Gic. According to the fact that FGE is a monofunctional comonomer in DGEBA–IPD systems, it acts as a chain-extender between crosslinks, i.e. decreasing the crosslink density. According to this phenomenon, it was found that FGE content between 20% and 30% wt in matrix, could lead to the best compromise between the interfacial self-healing efficiency and interfacial shear strength.
The concept of self-healable interphase demonstrated in this study was considering a single fiber embedded into an epoxy matrix, i.e. microcomposite geometry. Nevertheless, for real fiber-reinforced composite materials, some additional factors could get involved during material use such as fiber–fiber interactions, and fibers' arrangement etc. Thus, the interfacial self-healing performance for real composite materials and corresponding characterization method should be investigated in future.
References
- D. A. Biro, P. McLean and Y. Deslandes, Application of the microbond technique: Characterization of carbon fiber-epoxy interfaces, Polym. Eng. Sci., 1991, 31(17), 1250–1256 CAS.
- S. R. White and N. R. Sottos, Autonomic healing of polymer composites, Nature, 2001, 409, 794–797 CrossRef CAS PubMed.
- E. Brown, N. Sottos and S. White, Fracture testing of a self-healing polymer composite, Exp. Mech., 2002, 42(4), 372–379 CrossRef CAS.
- M. R. Kessler and S. R. White, Self-activated healing of delamination damage in woven composites, Composites, 2001, 32(5), 683–699 CrossRef.
- K. S. Toohey, N. R. Sottos, J. A. Lewis, J. S. Moore and S. R. White, Self-healing materials with microvascular networks, Nat. Mater., 2007, 6, 581–585 CrossRef CAS PubMed.
- H. R. Williams, R. S. Trask and I. P. Bond, Self-healing composite sandwich structures, Smart Mater. Struct., 2007, 16(4), 1198–1207 CrossRef.
- X. F. Wu, A. Rahman, Z. Zhou, D. D. Pelot, S. Sinha-Ray, B. Chen and S. Payne, et al., Electrospinning core–shell nanofibers for interfacial toughening and self-healing of carbon-fiber/epoxy composites, J. Appl. Polym. Sci., 2013, 129(3), 1383–1393 CrossRef CAS.
- X. F. Wu and A. L. Yarin, Recent progress in interfacial toughening and damage self-healing of polymer composites based on electrospun and solution-blown nanofibers: an overview, J. Appl. Polym. Sci., 2013, 130(4), 2225–2237 CrossRef CAS.
- R. P. Sijbesma, F. H. Beijer, L. Brunsveld, B. J. B. Folmer, J. H. K. K. Hirschberg, R. F. M. Lange, J. K. L. Lowe and E. W. Meijer, Reversible Polymers Formed from Self-Complementary Monomers Using Quadruple Hydrogen Bonding, Science, 1997, 278(5343), 1601–1604 CrossRef CAS PubMed.
- H. Harreld John, Self-healing organosiloxane materials containing reversible and energy-dispersive crosslinking domains, US Pat. Docket No. 19629–7003, 2002.
- M. Watanabe and N. Yoshie, Synthesis and properties of readily recyclable polymers from bisfuranic terminated poly(ethylene adipate) and multi-maleimide linkers, Polymer, 2006, 47(14), 4946–4952 CrossRef CAS.
- R. K. Farrell, M. L. David and L. C. Stephen, A hybrid polymer gel with controlled rates of cross-link rupture and self-repair, Interface, 2007, 4, 373–380 Search PubMed.
- J. S. Park, T. Darlington, A. F. Starr, K. Takahashi, J. Riendeau and H. T. Hahn, Multiple healing effect of thermally activated self-healing composites based on Diels–Alder reaction, Compos. Sci. Technol., 2010, 70(15), 2154–2159 CrossRef CAS.
- A. M. Peterson, R. E. Jensen and G. R. Palmese, Room-temperature healing of a thermosetting polymer using the Diels–Alder reaction, ACS Appl. Mater. Interfaces, 2010, 2(4), 1141–1149 CAS.
- A. M. Peterson, R. E. Jensen and G. R. Palmese, Thermoreversible and remendable glass–polymer interface for fiber-reinforced composites, Compos. Sci. Technol., 2011, 71(5), 586–592 CrossRef CAS.
- A. M. Peterson, R. E. Jensen and G. R. Palmese, Kinetic Considerations for Strength Recovery at the Fiber–Matrix Interface Based on the Diels–Alder Reaction, ACS Appl. Mater. Interfaces, 2013, 5, 815–821 CAS.
- W. Zhang, J. Duchet and J. F. Gérard, Self-Healable Interfaces Based on thermo-reversible Diels–Alder Reactions in Carbon Fiber Reinforced Composites, J. Colloid Interface Sci., 2014, 430, 61–68 CrossRef CAS PubMed.
- W. Yong-gu, Influence de la structure de reseaux epoxydes modeles sur les proprietes volumetriques, mecaniques et viscoelastiques, Doctoral thesis No. 89 ISAL 0024, in french, INSA, 1989.
- J. L. Hopwell, G. A. Geroge and D. J. T. Hill, Quantitative analysis of bismaleimide-diamine thermosets using near infrared spectroscopy, Polymer, 2000, 41, 8221–8229 CrossRef.
- Y. G. Won, J. Galy, J. F. Gérard, J. P. Pascault, V. Bellenger and J. Verdu, Internal antiplasticization in copolymer and terpolymer networks based on diepoxides, diamines and monoamines, Polymer, 1990, 31(9), 1787–1792 CrossRef CAS.
- E. Urbaczewski, J. Galy, J. F. Gérard, J. P. Pascault and H. Sautereau, Influence of chain flexibility and crosslink density on mechanical properties of epoxy/amine networks, Polym. Eng. Sci., 1991, 31(22), 1572–1580 Search PubMed.
- R. J. Scheer and J. A. Nairn, A Comparison of Several Fracture Mechanics Methods for Measuring Interfacial Toughness with Microbond Tests, Adhesion, 1995, 53, 45–68 CrossRef CAS.
- N. Amdouni, H. Sautereau and J. F. Gérard, Pascault. Epoxy networks based on dicyandiamide: effect of the cure cycle on viscoelastic and mechanical properties, Polymer, 1990, 31, 1245–1253 CrossRef CAS.
- O. Sindt, J. Perez and J. F. Gerard, Molecular architecture-mechanical behavior relationships in epoxy networks, Polymer, 1996, 37(14), 2989–2997 CrossRef CAS.
- P. Perret, J. F. Gérard and B. Chabert, A new method to study the fiber–matrix interface in unidirectional composite materials: Applications for carbon fiber – epoxy composites, Polym. Test., 1987, 7, 405–418 CrossRef CAS.
|
| This journal is © The Royal Society of Chemistry 2016 |
Click here to see how this site uses Cookies. View our privacy policy here.