DOI:
10.1039/C6RA22663A
(Paper)
RSC Adv., 2016,
6, 103132-103136
An efficient one-pot catalyzed synthesis of 2,5-disubstituted-1,3,4-oxadiazoles and evaluation of their antimicrobial activities†
Received
10th September 2016
, Accepted 24th October 2016
First published on 24th October 2016
Abstract
One-pot synthesis of 1,3,4-oxadiazole derivatives was achieved by treatment of 2-((4-(phenoxathiin-2-yl)phthalazin-1-yl)oxy)acetohydrazide with aromatic aldehydes in the presence of cerium(IV) ammonium nitrate in dichloromethane. This facile method was confirmed by the cyclization–oxidation reaction of the corresponding hydrazone by cerium(IV) ammonium nitrate to afford the same 1,3,4-oxadiazoles. Also, the reaction of 2-((4-(phenoxathiin-2-yl)phthalazin-1-yl)oxy)acetohydrazide with aromatic carboxylic acids in the presence of cerium(IV) ammonium nitrate in polyethylene glycol afforded 1,3,4-oxadiazole derivatives. The structural formulae of all products were confirmed and characterized by elemental analyses and spectral data. Most of the synthesized products were evaluated for their antibacterial and antifungal activities and showed potent to weak activity.
1 Introduction
Cerium(IV) ammonium nitrate (CAN) is one of the most important catalysts that are used as inexpensive catalysts for several types of organic reactions involving the formation of carbon–carbon bond and carbon–heteroatom bond.1,2 CAN has the additional advantages of having a low toxicity, good solubility in many organic media and easy handling. Also, oxadiazole derivatives are an important group of heterocycles, which have been subject to extensive study in the past years. Among these oxadiazoles, 2,5-disubstituted-1,3,4-oxadiazoles behave as effective antibacterial,3,4 anti-inflammatory,5 antifungal,6 anticancer,7,8 antiviral.9 These compounds also exhibit good blue fluorescent properties with better quantum yield and are used in various optoelectronic applications.10,11
Several methods were employed in the synthesis of oxadiazole moiety as oxidation of acylhydrazone with oxidizing agents12,13 or treatment of carboxylic acids with aroylhydrazine derivatives.14 It was reported that, phthalazine derivatives have occupied a unique position in the design of novel biologically active molecules that exert remarkable antimicrobial,15,16 antitumor,17–19 analgesic and anti-inflammatory activities.20,21
In addition, phenoxathiin is one of the rigidly folded tricyclic compounds that were reported to possess antitumor, monoamine oxidase inhibitory, antimicrobial activities22–24 and have florescent properties.25–27
On the basis of these experiences and in continuation of our ongoing interest in the design and the synthesis of bioactive heterocycles,28–30 we designed a facile one – pot synthesis of 2,5-disubstituted-1,3,4-oxadiazoles from phthalazinylacetohydrazide and aromatic aldehydes or aromatic carboxylic acids in the presence of cerium(IV) ammonium nitrate as a catalyst followed by evaluation of their antimicrobial activities.
2 Experimental section
2.1 Materials and instruments
The chemical reagents were purchased from Sigma-Aldrich. Solvents were commercially available from El-Nasr chemicals Co. in analytical grade and were used without further purification. TLC was conducted on precoated silica gel polyester sheets (Kieselgel 60 F254, 0.20 mm, Merck).
Melting points are uncorrected and FT-IR spectra were recorded on a JASCO FT-IR 660 Plus spectrometer. NMR spectra were recorded on a Bruker Avance 400 (400 MHz) using DMSO and CDCl3 as the solvents. Mass spectra were obtained using a Shimadzu GCMS-QP 1000 EX mass spectrometer.
2.2 Synthesis
2.2.1 Synthesis of ethyl 2-((4-(phenoxathiin-2-yl)phthalazin-1-yl)oxy)acetate 2. A mixture of phthalazinone 1 (0.01 mol), ethyl chloroacetate (0.01 mol) in dry acetone (30 mL) containing anhydrous potassium carbonate (0.04 mol) was heated under reflux for 24 h. After cooling, the reaction mixture was poured into cold water and the formed solid was filtered off, dried and crystallized from ethanol.
2.2.2 Synthesis of 2-((4-(phenoxathiin-2-yl)phthalazin-1-yl)oxy)acetohydrazide 3. Heat a mixture of ester 2 (0.01 mol) and hydrazine hydrate (0.01 mol) under reflux in ethanol (20 mL) for 6 h. The precipitated solid after cooling was collected by filtration and recrystallized from ethanol to give pure crystals of hydrazide 3.
2.2.3 General procedure for synthesis of hydrazones 4a–d. To a mixture of hydrazide 3 (0.01 mol) and aromatic aldehydes (0.01 mol) namely benzaldehyde, 4-chlorobenzaldehyde, 4-N,N-dimethylbenzaldehyde and thiophene-2-carbaldehyde in ethanol (10 mL), cerium(IV) ammonium nitrate (0.0025 mol) was added and the whole mixture was stirred and heated under reflux for 1 h. Water (5 mL) was added and the product solid was filtered, washed and recrystallized from proper solvent.
2.2.4 General procedures for the synthesis of 2,5-disubstituted-1,3,4-oxadiazoles 5a–d.
Method A. A mixture of hydrazones 4a–d (0.01 mol) and cerium(IV) ammonium nitrate (0.01 mol) was grinded together in mortar at room temperature for 30 min. Methylene chloride (10 mL) was added followed by water (10 mL) and the organic phase was separated and dried over magnesium sulfate. The product solid after evaporation of solvent was collected and recrystallized from proper solvent to give oxadiazoles 5a–d.
Method B. A mixture of hydrazide (0.01 mol), the same aromatic aldehydes (0.01 mol) and cerium(IV) ammonium nitrate (0.01 mol) in methylene chloride (20 mL) was stirred and heated under reflux for 8 h. The progress of the reaction was monitored by TLC. Water (10 mL) was added and the organic phase was separated and dried over magnesium sulfate. The product solid after evaporation of solvent was collected and recrystallized from proper solvent to give oxadiazoles 5a–d.
Alternative synthesis of oxadiazoles 5a–d. A mixture of hydrazide 3, aromatic carboxylic acids (0.01 mol) namely benzoic acid and 4-chlorobenzoic acid (0.01 mol) and cerium(IV) ammonium nitrate (0.01 mol) in polyethylene glycol (5 mL) was stirred and refluxed for 2 h. After completion of the reaction as examined by TLC, the mixture was cooled, extracted with diethyl ether and the ether layer was washed with brine solution (10 mL × 3), then dried with anhydrous magnesium sulfate. The solvent was removed in vacuo and the crude product was recrystallized from proper solvent.
3 Results and discussion
3.1 Chemistry
Phthalazinone 1 (prepared by our group16) reacts with ethyl chloroacetate in dry acetone containing potassium carbonate to give ethyl 2-((4-(phenoxathiin-2-yl)phthalazin-1-yl)oxy)acetate (2). Hydrazinolysis of the latter with hydrazine hydrate in ethanol afforded 2-((4-(phenoxathiin-2-yl)phthalazin-1-yl)oxy)acetohydrazide (3), (Scheme 1). IR spectrum of hydrazide 3 exhibited bands at 3432–3156 and 1669 cm−1 corresponding to NH2, NH and CO absorption and disappearance of band at 1743 cm−1 corresponding to ester group in compound 2. Also, the structural formula was confirmed from 1H NMR spectrum that showed signals at 5.81 and 12.82 ppm corresponding to NH2 and NH protons.
 |
| | Scheme 1 Synthesis of 2-((4-(phenoxathiin-2-yl)phthalazin-1-yl)oxy)acetohydrazide (3). | |
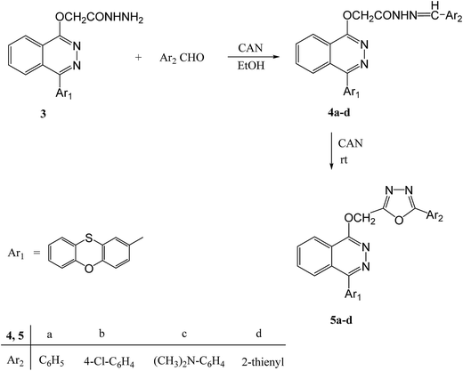
The hydrazide 3 was used as a reactive starting material to construct a new series of 2,5-disubstituted-1,3,4-oxadiazole derivatives using cerium(IV) ammonium nitrate (CAN) as a catalyst. Thus, the hydrazide 3 reacts with aromatic aldehydes namely, benzaldehyde, 4-chlorobenzaldehyde, 4-N,N-dimethylbenzaldehyde and thiophen-2-carbaldehyde in the presence of catalytic amounts of CAN to furnish the corresponding hydrazones 4a–d (respectively).
Cyclization–oxidation reaction of hydrazones 4a–d with cerium(IV) ammonium nitrate under solvent free conditions at room temperature afforded 2,5-disubstituted-1,3,4-oxadiazole derivatives 5a–d, (Scheme 2).
 |
| | Scheme 2 Cyclization–oxidation reaction of hydrazones 4a–d with cerium(IV) ammonium nitrate. | |
The cyclization–oxidation reaction of hydrazones 4a–d probably takes place according to the following mechanism (Fig. 1), it is clear that CAN act as an oxidant and Lewis acid.
 |
| | Fig. 1 A proposed mechanism for the cyclization–oxidation reaction of hydrazones 4a–d. | |
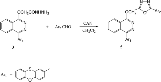
On the other hand, the one-pot synthesis of 2,5-disubstituted-1,3,4-oxadiazoles 5a–d was achieved in good yield through the heating of acid hydrazide 3 with aromatic aldehydes in dichloromethane in the presence of cerium(IV) ammonium nitrate, (Scheme 3).
 |
| | Scheme 3 One-pot synthesis of 2,5-disubstituted-1,3,4-oxadiazoles 5a–d from hydrazide and aldehyde. | |
To determine the optimum conditions for the reaction we begin to study the effect of the catalyst quantity (0.0025, 0.005, 0.01 and 0.02 mol). The results revealed that 0.01 mol of the catalyst give the highest yield of oxadiazole (83–95%) while 0.0025, 0.005 mol of it decrease the yields (58–74%). Excess of the CAN (0.02 mol) has not significant effect in the yield of oxadiazole formation where it gives the same yield of 0.01 mol.
In addition, we examined the effect of solvent and it was found that dichloromethane was the best solvent for completion of the reaction among the tested solvents.
Furthermore, aromatic carboxylic acids react with acid hydrazide in the presence of cerium(IV) ammonium nitrate in polyethylene glycol as a sustainable, non-volatile, and eco-friendly catalytic medium to afford green synthesis of 2,5-disubstituted-1,3,4-oxadiazoles.31 Thus, treatment of hydrazide 3 with aromatic carboxylic acids namely benzoic acid and 4-chlorobenzoic acid in the presence of cerium(IV) ammonium nitrate in polyethylene glycol 600 afforded 2,5-disubstituted-1,3,4-oxadiazoles 5a,b in good yield, (Scheme 4).
 |
| | Scheme 4 One-pot synthesis of 2,5-disubstituted-1,3,4-oxadiazoles 5a,b from hydrazide 3 and carboxylic acid. | |
3.2 Antimicrobial activity
The antimicrobial activity of the newly synthesized products was evaluated against Gram positive bacteria Streptococcus sp. and Bacillus subtilis and the Gram-negative bacteria Escherichia coli. They were also evaluated for their antifungal activity against Aspergillus Niger and Penicillium sp. Amoxicillin and ketoconazole were used as standard drugs to evaluate the potency of the tested compounds under the same conditions.
Agar diffusion method32 was used for the determination of the preliminary antibacterial and antifungal activity and the results were recorded for each tested compound as the average diameter of inhibition zones (d) of bacterial or fungal growth around the disks in millimeters at concentration (50 mg mL−1) in dimethyl sulfoxide. The observed data on the antimicrobial activity of the compounds and control drug are given in Table 1.
Table 1 Antimicrobial activity of compounds 3–5a
| Compds |
Streptococcus sp. |
Bacillus subtilis |
Escherichia coli |
Aspergillus Niger |
Penicillium sp. |
| Inhibition zone diameter: +++ (d > 12 mm, highly active); ++ (d = 9–12 mm, moderately active); + (d = 6–9 mm, slightly active); − (d < 6 mm, inactive); A = amoxicillin, K = ketoconazole. |
| 3 |
++ |
+ |
− |
− |
− |
| 4a |
++ |
− |
+ |
− |
− |
| 4b |
++ |
++ |
+++ |
+ |
+ |
| 4c |
++ |
++ |
+ |
+ |
− |
| 4d |
++ |
+++ |
+++ |
++ |
− |
| 5a |
+++ |
+ |
++ |
+ |
− |
| 5b |
+++ |
++ |
+++ |
− |
++ |
| 5c |
+ |
+ |
+++ |
− |
− |
| 5d |
+++ |
+++ |
+++ |
+++ |
++ |
| A |
+++ |
+++ |
+++ |
|
|
| K |
|
|
|
+++ |
+++ |
The results revealed that most of the synthesized compounds showed varying degrees of inhibition against the tested microorganisms. From the results given in table it was observed that the synthesized products showed higher antibacterial activity than antifungal activity when compared with standard drugs. Only oxadiazole 5d showed higher antifungal activity against Aspergillus Niger and moderate activity against Penicillium sp. On the other hand, hydrazones 4b, 4d and oxadiazole derivatives 5b–d showed higher antibacterial activity against Escherichia coli in comparison with the standard amoxicillin while oxadiazoles 5a,b exhibited higher activity against Streptococcus sp. Also, hydrazone 4d and oxadiazole 5d showed higher activity against Bacillus subtilis. It was observed from the investigation on antimicrobial screening data that the combination of both phenoxathiin and phthalazine moieties with oxadiazole enhance their antibacterial activities.
4 Conclusions
In this paper, new derivatives of 2,5-disubstituted-1,3,4-oxadiazole were successfully synthesized using cerium(IV) ammonium nitrate as a catalyst in one pot. The synthesized products were tested also for their antimicrobial activities and compared with standards. It was found that hydrazones 4b, 4d and oxadiazole derivatives 5a–d showed higher antibacterial activity. Among all the target products, only oxadiazole 5d showed the strongest antifungal activity against Aspergillus Niger.
Acknowledgements
This work was supported by Benha University, Faculty of Science, Chemistry department. The author wishes to thank Botany department for antimicrobial activity screening.
Notes and references
- V. Sridharan and J. C. Menendez, Chem. Rev., 2010, 110, 3805–3849 CrossRef CAS PubMed.
- V. Nair, L. Balagopal, R. S. Menon, S. Ros and R. Srinivas, ARKIVOC, 2003, 8, 199–210 Search PubMed.
- P. Wang, L. Zhou, J. Zhou, Z. Wu, W. Xue, B. Song and S. Yang, Bioorg. Med. Chem. Lett., 2016, 26, 1214–1217 CrossRef CAS PubMed.
- P. Li, L. Shi, M. Gao, X. Yang, W. Xue, L. Jin, D. Hu and B. Song, Bioorg. Med. Chem. Lett., 2015, 25, 481–484 CrossRef CAS PubMed.
- A. G. Banerjee, N. Das, S. A. Shengule, R. S. Srivastava and S. K. Shrivastava, Eur. J. Med. Chem., 2015, 101, 81–95 CrossRef CAS PubMed.
- M. Y. Wani, A. Ahmad, R. A. Shiekh, K. J. Al-Ghamdi and A. J. Sobral, Bioorg. Med. Chem., 2015, 23, 4172–4180 CrossRef CAS PubMed.
- S. Bajaj, V. Asati, J. Singh and P. Pratim, Eur. J. Med. Chem., 2015, 97, 124–141 CrossRef CAS PubMed.
- M. M. Gamal El-Din, M. I. El-Gamal, M. S. Abdel-Maksoud, K. H. Yoo and C. H. Oh, Eur. J. Med. Chem., 2015, 90, 45–52 CrossRef CAS PubMed.
- W. Wu, Q. Chen, A. Tai, G. Jiang and G. Ouyang, Bioorg. Med. Chem. Lett., 2015, 25, 2243–2246 CrossRef CAS PubMed.
- N. Deshapande, N. S. Belavagi, S. I. Panchamukhi, M. H. Rabinal, I. Ahmed and M. Khazi, Materials, 2014, 37, 516–519 CAS.
- D. Q. Qi, C. M. Yu, J. Z. You, G. H. Yang, X. J. Wang and Y. P. Zhang, J. Mol. Struct., 2015, 1100, 421–428 CrossRef CAS.
- T. Chiba and M. Okimoto, J. Org. Chem., 1992, 57, 1375–1379 CrossRef CAS.
- S. Rostamizadeh and G. Housanini, Tetrahedron Lett., 2004, 45, 8753–8756 CrossRef CAS.
- P. Singh, P. K. Sharma, J. K. Sharma, A. Upadhyay and N. Kumar, Org. Med. Chem. Lett., 2012, 2, 1–10 CrossRef PubMed.
- B. Hollo, J. Magyari, V. Z. Radovanovic, G. Vuckovic, Z. D. Tomic, I. M. Szilagyi, G. Pokol and K. M. Szecsenyi, Polyhedron, 2014, 80, 142–150 CrossRef CAS.
- Y. A. Issac, I. G. El-Karim, S. G. Donia and M. S. Behalo, Sulfur Lett., 2002, 25, 183–190 CrossRef CAS.
- D. Q. Xue, X. Y. Zhang, C. J. Wang, L. Y. Ma, N. Zhu, P. He, K. P. Shao, P. J. Chen, Y. F. Gu, X. S. Zhang, C. F. Wang, C. H. Ji, Q. R. Zhang and H. M. Liu, Eur. J. Med. Chem., 2014, 85, 235–244 CrossRef CAS PubMed.
- B. Đ. Glišić, L. Senerovic, P. Comba, H. Wadepohl, A. Veselinovic, D. R. Milivojevic, M. I. Djuran and J. N. Runic, J. Inorg. Biochem., 2016, 155, 115–128 CrossRef PubMed.
- A. F. Wasfy, M. S. Behalo, A. A. Aly and N. M. Sobhi, Der Pharma Chem., 2013, 5, 82–96 CAS.
- D. S. Dogruer, M. F. Sahin, E. Kupeli and E. Yesilada, Arch. Pharm., 2004, 337, 303–310 CrossRef CAS PubMed.
- Y. E. Sherif, M. A. Gouda and A. A. El-Asmy, Med. Chem. Res., 2015, 24, 3853–3862 CrossRef CAS.
- G. W. Rewcastle, G. J. Atwell, B. D. Palmer and W. A. Denny, J. Med. Chem., 1991, 34, 491–496 CrossRef CAS PubMed.
- M. Harferist, C. T. Joyner, P. D. Mize and L. A. White, J. Med. Chem., 1994, 37, 2085–2089 CrossRef.
- O. Maior, D. Gavriliu and S. Stoia, South. Braz. J. Chem., 1995, 3, 79–88 CAS.
- T. Constantinescu, A. Mischie, O. Maior, F. Badea, M. Vasilescu, M. T. Caproiu, R. Socoteanu and D. Nourescu, Rev. Roum. Chim., 2000, 45, 1009–1018 CAS.
- S. Ionescua, D. Gavriliu, O. Maior and M. Hillebrand, J. Photochem. Photobiol., A, 1999, 124, 67–73 CrossRef.
- A. Mischie, O. Maior, F. Badea, M. Vasilescu, A. Caragheorgheopol, H. Caldararu, R. Socoteanu, G. Pencu and T. Constantinescu, Rev. Roum. Chim., 2001, 46, 107–113 CAS.
- M. S. Behalo, I. G. El-Karim, Y. A. Issac and M. A. Farag, J. Sulfur Chem., 2014, 35, 661–673 CrossRef CAS.
- M. S. Behalo and G. Mele, J. Heterocycl. Chem., 2016 DOI:10.1002/jhet.2581.
- O. A. Attanasi, L. D. Crescentini, G. Favi, P. Filippone, G. Giorgi, F. Mantellini, G. Moscatelli and M. S. Behalo, Org. Lett., 2009, 11, 2265–2268 CrossRef CAS PubMed.
- M. Kidwai, D. Bhatnagar and N. K. Mishra, Green Chem. Lett. Rev., 2010, 3, 55–59 CrossRef CAS.
- C. Leifert, S. Chidbouree, S. Hampson, S. Workman, D. Sigee, H. A. S. Epton and A. Harbour, J. Appl. Bacteriol., 1995, 78, 97–108 CrossRef CAS PubMed.
Footnote |
| † Electronic supplementary information (ESI) available: Experimental procedures, full characterization for all compounds and spectral data. See DOI: 10.1039/c6ra22663a |
|
| This journal is © The Royal Society of Chemistry 2016 |
Click here to see how this site uses Cookies. View our privacy policy here.