Computational study on gold-catalyzed (4 + 3) intramolecular cycloaddition of trienyne: mechanism, reactivity and selectivity

Meng-Ru Li and Gui-Chang Wang*
Department of Chemistry, Key Laboratory of Advanced Energy Materials Chemistry (Ministry of Education), Nankai University, Tianjin 300071, P. R. China. E-mail: wangguichang@nankai.edu.cn; Fax: +86-22-23502458; Tel: +86-22-23503824

Received 8th July 2016 , Accepted 14th July 2016

First published on 19th July 2016


Abstract

The reaction mechanism, reactivity and selectivity of the Au(I)-catalyzed intramolecular (4 + 3) cycloaddition of trienyne have been studied by density functional theory (DFT) calculations. The reaction mechanism includes the following: the Au(I) species coordinating to the carbon–carbon triple bond of trienyne, the cyclization to form the five-membered ring intermediate, 1,2-OAc (acetoxy) shift with the form of the intermediate fused with the five-membered ring and three-membered ring, and the simultaneous regeneration of the catalyst. After the Cope rearrangement, the (4 + 3) cycloaddition product is formed. The rate-determining intermediate and transition state for the (4 + 3) cycloaddition are the substrate and the transition state for the Cope arrangement. The reactivity of the (4 + 3) cycloaddition is largely affected by both the ligands of the catalyst and substitutions of the substrate. (i) Modifying the ligands of the catalysts and substitution can improve the reactivity of the (4 + 3) cycloaddition by strengthening the donating electron ability of the C–C triple bond to the catalyst and the steric hindrance caused by the bulky ligand in the catalyst. (ii) The selectivity for the trans-(4 + 3) cycloaddition product is mainly caused by the strong steric interaction of the substitutions on the substrate. The present computational results may help people to design an efficient (4 + 3) cycloaddition reaction by controlling the substitution of both catalyst and substrate reactant.


1. Introduction

Seven-membered functionalized rings are the precursors for many natural biochemical products. However, the synthesis of medium-sized rings is challenging because of the unfavorable entropy and enthalpy of ring closing.1 The methodology of metal-mediated cycloaddition2 can achieve step economy, as well as the product featuring structural complexity; studies on metal-mediated cycloaddition stand out among numerous synthetic methodologies. The efficient methodologies for the synthesis of the seven-membered rings are mainly the metal-catalyzed (5 + 2) cycloaddition and (4 + 3) cycloaddition. Wender et al. firstly reported that rhodium(I) could catalyze the (5 + 2) cycloaddition between vinyl cyclopropane and π-systems.3 Subsequent investigations on the experiments have shown that the rhodium(I),4–10 ruthenium(II),11–13 rhodium(II),14–18 platinum(II)18,19 and gold(I)20–24 complexes have catalytic activity for (5 + 2) and (4 + 3) cycloadditions, shown in Scheme 1. The Wilkinson's catalysts Rh(I) species and Rh(II) species have been proved to be efficient for (5 + 2) cycloaddition. Recently, novel metal complexes as Pt(II) and Au(I) complexes have been found to show catalytic activity for (4 + 3) cycloaddition.25
image file: c6ra17436a-s1.tif
Scheme 1 The methodologies of metal-mediated cycloaddition for seven-membered rings.

Since a great many computational investigations on the Rh(I)1,10,26–31 and Ru(II)32-catalyzed (5 + 2) cycloaddition have been made, we have focused on the Pt(II) and Au(I)33–36-catalyzed (4 + 3) cycloaddition. The Pt(II) and Au(I)-catalyzed (4 + 3) cycloaddition have provided a short and highly stereoselective methodology to synthesize seven-membered rings from simple starting material tethered dienes and allenes, compared with the Rh(I) and Ru(II)-catalyzed (5 + 2) cycloaddition in experiments. Previous studies have shown that Au(I)-catalyzed intramolecular (4 + 3) cycloaddition on allenedienes shares a similar (4 + 3) cycloaddition mechanism with the Pt(II) complex. The Au(I) complex can catalyze the rate-determining step, the 1,2-hydride step with a lower barrier, shown in Scheme 2, which makes the Au(I) complex a better catalyst than the Pt(II) complex for the overall the (4 + 3) cycloaddition.33 However, the mechanism shown in Scheme 2 for the Au(I)-catalyzed intramolecular (4 + 3) cycloaddition on trienyne has not been investigated theoretically. Herein, we apply the density functional theory to study the mechanisms of the Au(I)-catalyzed intramolecular (4 + 3) cycloaddition, shown in Scheme 3. The substrate trienyne is coordinated to the catalyst to generate the (4 + 3) cycloaddition product, as well as the five-membered ring product.37 In addition, exploration of the essence of the reactivity and stereoselectivity of the (4 + 3) cycloaddition enables us to improve the reaction conditions, including the catalyst and reactant, effectively.


image file: c6ra17436a-s2.tif
Scheme 2 Proposed mechanism for the Au-catalyzed (4 + 3) cycloaddition on the allenedienes.

image file: c6ra17436a-s3.tif
Scheme 3 [Ph3PAu]+-catalyzed intramolecular (4 + 3) cycloaddition of trienyne.

2. Computational details

All the calculations were performed with Gaussian 09,38 including geometry optimization, frequency, single point energy and thermal energy corrections. All the structures were optimized using the B3LYP method,37,39 with the basis of 6-31g (d) for all the main group elements and lanl2dz for Au. Frequency calculations at the same level of theory were carried out to verify all of the stationary points as minima (zero imaginary frequency) and transition states (only one imaginary frequency), as well as to provide free energies, including entropic contributions. Intrinsic reaction coordinates (IRC)40,41 were carried out to identify transition states connecting two relevant minima. All reported Gibbs free energy calculations for the optimized species were evaluated with the B3LYP method at the basis set of 6-311+g(2d,p) for main group elements, and lanl2dz for Au at 298 K. DFT-D3 dispersion corrections42,43 and solvation free energy corrections in the CPCM model44 were calculated on optimized structures in gas. Dichloromethane was chosen as the solvent to simulate the experimental reaction.37 The natural bond orbital (NBO)45,46 was calculated to analyse the orbital interaction of the bond in the reaction. The second-order perturbation was applied for the delocalization of electron density between Lewis-type NBO orbitals and non-Lewis orbitals associated with the stabilizing donor–acceptor interaction, the strength of which was calculated by the stabilization energy E(2). The larger value of the stabilization energy E(2), the stronger interaction between the Lewis-type NBO orbitals and non-Lewis orbitals contribute to the stabilization of the system. The calculation in the natural bond orbital (NBO) analysis was applied by the B3LYP method, with the basis of 6-31g (d) for all the main group elements and lanl2dz for Au.
image file: c6ra17436a-t1.tif
where qi is defined as the population of the donor orbital or donor orbital occupancy; εi, εj are the orbital energies of the donor and acceptor NBO orbitals respectively; Fij is defined as the off-diagonal Fock or Kohn–Sham matrix element between i and j NBO orbitals.

The energetic span model47–49 was applied to the mechanisms for the (4 + 3) cycloaddition. The complexity of the traditional transition state theory and the inaccuracy of the rate-determining step treatment make the energetic span model stand out for its efficiency. The estimation of the turnover frequency (TOF) is defined as the number of catalytic reaction cycles per unit time and concentration. TOF can apply the energetic span model to measure the catalytic activity of the catalysts. AUTOF is the program designed for calculating the TOF based on the potential energy surfaces computed results. Instead of a rate-determining step, the energetic model considers the rate-determining intermediate (TDI) and rate-determining transition state (TDTS) to calculate the apparent barrier for the whole reaction. The introduction of the natural bond orbital rate-determining state indicates that the reaction is not determined by one step. Both of the intermediates and transition states affect each other to affect the reactivity. XTOF is defined as the degree of TOF control of the energies. The larger value of XTOF means a greater influence on the overall reaction. The rate-determining intermediates and transition states can be obtained through the XTOF. The barrier of the overall reaction can be approximately obtained by the eqn (1):

 
image file: c6ra17436a-t2.tif(1)

3. Results and discussion

Our study involves two sections: in the first section, DFT studies show the mechanisms of the Au(I)-catalyzed (4 + 3) cycloaddition and the competitive reaction. In the second section, theoretical results highlight the influence of ligands on the catalyst and the substitutions of the substrate over the (4 + 3) cycloaddition.

3.1 (4 + 3) cycloaddition mechanisms

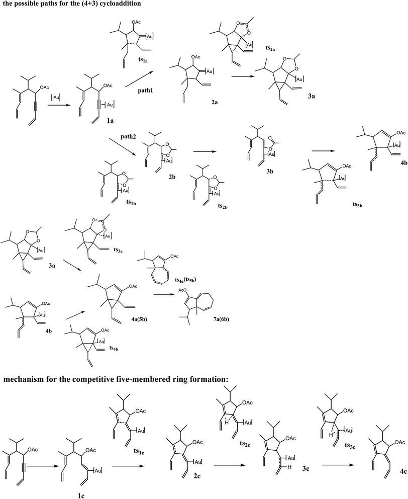
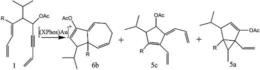
3.1.1 Seven-membered ring formation mechanism. As shown in Scheme 3, the catalyst-coordinated complex 1 generates the (4 + 3) cycloaddition product, as well as the competitive five-membered ring product catalyzed by [Ph3PAu]+ in the experiment.37 To explore the mechanism of the (4 + 3) cycloaddition, we chose [Ph3PAu]+ as the catalyst. Two mechanisms for the (4 + 3) cycloaddition were investigated by DFT, including path 1 and path 2 shown in Scheme 4. The potential energy profiles of the Au(I)-catalyzed (4 + 3) cycloaddition and the competitive reaction are depicted in Fig. 1 and the main optimized structures of the corresponding transition states are listed in Fig. 2. The geometric structures of the corresponding transition states and intermediates are given in the ESI (see the Table S1-1).
image file: c6ra17436a-s4.tif
Scheme 4 Proposed mechanisms for the Au-catalyzed (4 + 3) cycloaddition and the competitive five-membered ring formation.

image file: c6ra17436a-s5.tif
Scheme 5 [(XPhos)Au]+-catalyzed intramolecular (4 + 3) cycloaddition of trienyne (R = (CH2)4OBn).

image file: c6ra17436a-f1.tif
Fig. 1 Potential energy profiles for the (4 + 3) reaction (black and red) and the side reaction (blue) in Scheme 3, catalyzed by [Ph3PAu]+; the energies are given in kcal mol−1.

image file: c6ra17436a-f2.tif
Fig. 2 The main optimized structures and bond distances (Å) of selected intermediates and transition states shown in Fig. 1.

As is shown in Scheme 4, the mechanism in path 1 for the (4 + 3) cycloaddition involves the coordination of Au(I) catalysts to the carbon–carbon triple bond, cyclization to generate the Au-stabilized five-membered ring carbene intermediate, 1,2-AcO (acetoxy group) shift followed by Cope rearrangement. The Au(I) complex activates the substrate to generate the resulting Au-stabilized cation 1, followed by the cyclization between C3 and C7. The cyclization occurs via the transition state ts1a, requiring a barrier of 6.8 kcal mol−1 to form the five-membered ring 2a. The resulting intermediate 2a is less stable with energetically endothermic energy of 2.4 kcal mol−1. The five-membered ring 2a then evolves into the bicyclic compound 4a, fused with five-membered and three-membered rings via the simultaneous cyclization and 1,2-AcO shift. The step occurs easily via transition state ts2a (15.1 kcal mol−1) and transition state ts3a (9.8 kcal mol−1) with energy barriers of 12.7 and 3.6 kcal mol−1, respectively. As Scheme 4 shows, the 1,2-AcO shift includes two steps: the substitution of AcO on C5 bonding to C4 to form the five-membered ring with the cyclization of 2a into the Au(I)-stabilized intermediate 3a, and the breaking of C5-AcO with the regeneration of catalyst with the breaking of Au–C4. After leaving the [Ph3PAu]+, the subsequent Cope rearrangement forms the (4 + 3) cycloaddition product with the barrier of 23.1 kcal mol−1, via transition state ts4a (24.1 kcal mol−1). For the whole reaction profile, as seen in path 1 for (4 + 3) cycloaddition in Fig. 1, one can know that the Cope rearrangement carries the highest barrier overall for the (4 + 3) cycloaddition reaction, and is therefore the rate-limiting step. This is consistent with the experimental observation in that the Cope rearrangement is accomplished by heating to overcome a high barrier.37

On the other hand, the mechanism in path 2, shown in Scheme 4, includes the coordination of the Au(I) catalyst to the carbon–carbon triple bond, forming the intermediate Au-stabilized cation 1, and the 1,2-AcO shift followed by cyclization to generate the intermediate 5b, fused with five-membered and three-membered rings with the simultaneous leaving of the catalyst; the Cope rearrangement is the same as that shown in path 1. Notably, the difference between paths 1 and 2 lies in the sequence of the cycloisomerization and the 1,2-AcO shift. The 1,2-AcO shift occurs before the cycloisomerization in path 2. The potential profile of the mechanism is shown in path 2 for (4 + 3) cycloaddition in Fig. 1. The intermediate 1 would initially undergo the 1,2-AcO shift instead of the isocycloaddition in path 1. Compared with the steps of the 1,2-AcO shift in path 1, the barriers of the 1,2-AcO shift significantly increased to 17.8 kcal mol−1 via transition states ts1b (10.8 kcal mol−1) and ts2b (20.9 kcal mol−1). The subsequent cyclization, forming the five-membered ring intermediate 4b, proceeds through the transition state ts3b (11.0 kcal mol−1) carrying a barrier of 1.2 kcal mol−1. The bi-cyclic compound 4a is then obtained via the transition state ts4b (13.8 kcal mol−1), costing a barrier of 28.0 kcal mol−1. The next Cope rearrangement carries a barrier of 23.1 kcal mol−1 in the transition state ts4a. Obviously, the cyclization forming 4a is the rate-limiting step, due to the rather high barrier of transition state ts4b. Compared with the barrier for path 1, path 2 is excluded due to a significantly higher barrier of 38.4 kcal mol−1 for the whole reaction, than that in path 1 (24.1 kcal mol−1).

3.1.2 Competitive five-membered ring formation mechanism. As can be seen in Scheme 4, in addition to the major product of the seven-membered ring via the (4 + 3) channel, the competitive product is the five-membered product 4c. The reaction starts with the coordination of [Ph3PAu]+ to a carbon–carbon triple bond. The next cyclization occurs in C4 and C8, rather than C3 and C7 in the seven-membered ring formation mechanism. The five-membered ring is formed via the transition state ts1c (24.2 kcal mol−1). The next hydride shift consists of two steps of a 1,2-hydride shift. The first 1,2-H shift has the higher transition state ts2c (24.7 kcal mol−1), with a barrier of 14.7 kcal mol−1. The second 1,2-H shift then leads to the regeneration of the catalyst via ts3c (1.9 kcal mol−1) and carries a barrier of 6.5 kcal mol−1. The resulting product 4c is 23.9 kcal mol−1, exothermically.

In order to verify the mechanisms proposed above, the TOFs of the mechanisms were calculated and the results are shown in Tables 1 and 2. When catalyst [Ph3PAu]+ is used, for path 1, the TOF for the (4 + 3) cycloaddition is 5.9 × 10−6 s−1 and the barrier of the overall (4 + 3) cycloaddition is approximately 24.1 kcal mol−1, mainly determined by the intermediate 1 and the transition state ts4a. On the other hand, the rate-determining intermediate and the transition state for the competitive five-membered ring formation are the intermediate 1 and transition state ts2c. The barrier for the overall reaction of the competitive reaction is as high as 24.7 kcal mol−1. The ratio of TOFs for the (4 + 3) cycloaddition and the competitive five-membered ring formation is 3.66, indicating that the (4 + 3) cycloaddition is kinetically favored, in agreement with the experimental result where the yield of the (4 + 3) cycloaddition product is higher than that of the competitive five-membered ring product.37 However, for path 2, the rate-determining intermediate and the transition state for the (4 + 3) cycloaddition are the intermediate 4b and the transition state ts5b, according to the value of XTOF calculated by the energetic span model. The TOF for the (4 + 3) cycloaddition is 1.49 × 10−16 s−1, far less than that for the competitive five-membered ring formation with a much higher barrier of 38.40 kcal mol−1, which disagrees with the experimental results.37

Table 1 The turnover frequencies (TOFs) (s−1) for the (4 + 3) cycloaddition and the competitive reaction catalyzed by [Ph3PAu]+ and [XPhosPAu]+ (the energies are given in kcal mol−1)a
  TOF ΔG TOFmain/side
a All TOFs were calculated by the AUTOF program for the [Ph3PAu]+-catalyzed (4 + 3) cycloaddition (Ph3PAu for path 1 and Ph3PAu for path 2) and the side reaction (Ph3PAu for side reaction), [XPhosPAu]+-catalyzed (4 + 3) cycloaddition in the trans-path (XPhosPAu for trans-path) along with that in the cis-path (XPhosPAu for cis-path), and side reaction (XPhosPAu for side reaction), [XPhosPAu]+-catalyzed (4 + 3) cycloaddition in trans-path ((CH2)4OBn for trans-path) as well as that in the cis-path ((CH2)4OBn for cis-path) and side reaction ((CH2)4OBn for side reaction) in Fig. 5 after the replacement of the methyl group with (CH2)4OBn. The temperature was set at 298.15 K. All the barriers (ΔG) for the overall reaction were calculated using eqn (1).
Ph3PAu for path 1 5.90 × 10−6 24.10 3.66
Ph3PAu for side reaction 1.61 × 10−6 24.70
XPhosPAu for trans-path 7.86 × 10−6 23.90 9.63 × 102
XPhosPAu for side reaction 8.16 × 10−9 28.00
(CH2)4OBn for trans-path 7.34 × 10−10 29.40 3.28 × 103
(CH2)4OBn for side reaction 2.24 × 10−13 34.10
Ph3PAu for path 2 1.49 × 10−16 38.40 2.53 × 10−11

  TOF ΔG TOFtrans/cis
XPhosPAu for cis-path 1.90 × 10−6 24.80 4.14
(CH2)4OBn for cis-path 5.23 × 10−10 29.60 1.40


Table 2 The decomposition of the combined interaction between catalyst and substrate (kcal mol−1)a
  1 1-2 1-3 1d-2 1d-3
a E(interaction), Esubstratedef + Ecatalystdef and Eintra are defined as the combined interaction between substrate and catalyst, the deformation energy for the catalyst and substrate and the electronic interaction between substrate and catalyst in the catalyst-coordinated intermediate as 1, 1-2, 1-3, 1d-2 and 1d-3.
E(interaction) −13.34 −13.12 −16.39 −11.39 −13.29
Esubstratedef + Ecatalystdef 4.91 7.26 6.96 7.13 5.08
Eintra −18.25 −20.38 −23.34 −18.52 −18.37


According to the mechanisms above, the (4 + 3) cycloaddition progresses through path 1, and the rate-determining intermediate and transition state are the intermediate 1 and transition state ts4a. This result indicates that the (4 + 3) reactivity is mainly affected by the substrate coordination complex stability and the transition state in the Cope rearrangement, and one efficient method to promote the (4 + 3) cycloaddition is to modify the catalyst and substrate to affect the stability of the substrate coordinate complex.

3.2 Factors controlling the catalytic activity and selectivity towards the (4 + 3) cycloaddition reaction

Based on above energetic results we know the main factors controlling the (4 + 3) cycloaddition are the stability of the substrate coordinated complex 1 and the energy barrier of the Cope rearrangement, which can be explored by considering the influence of substitutions for both the Au(I) catalyst and substrate reactant on the catalytic activity of the (4 + 3) cycloaddition reaction. Firstly, to shed light on the effect of the ligands on the Au(I) catalyst towards reactivity and the stereoselectivity, the catalyst [(XPhos)Au]+ (i.e., 2-dicyclohexlphosphino-2′,4′,6′-triisopropylbiphenyl Au(I)) was used and compared to that of [Ph3PAu]+. Changing the substitution on C7 from methyl to (CH2)4OBn discloses the influence of substitutions on the substrate towards reactivity and stereoselectivity.
3.2.1 Ligands of the Au(I) catalyst. The [(XPhos)Au]+ catalyst was compared with the [Ph3PAu]+ catalyst; the computed potential energy profiles for the (4 + 3) cycloaddition, as well as side reactions, are depicted in Fig. 3. The optimized structures for all the transition states and intermediates are given in the ESI (see the Table S1-2). The catalytic activity and selectivity for different catalysts are compared below.
image file: c6ra17436a-f3.tif
Fig. 3 Potential energy profiles for the trans-path/cis-path for the (4 + 3) reaction (black and yellow) and the side reaction (blue) in Scheme 3, catalyzed by [(XPhos)Au]+; energies are given in kcal mol−1.

image file: c6ra17436a-f4.tif
Fig. 4 The configurations for the intermediates shown in Table 2, with the label listed.

As is shown in Fig. 3, the substrate trienyne binds to the [(XPhos)Au]+ catalyst, generating the intermediate 1-2, which undergoes isocyclization into the intermediate 1-2 through ts1a-2 (9.4 kcal mol−1). The following 1,2-OAc shift takes place via ts2a-2 (20.0 kcal mol−1) and ts3a-2 (12.5 kcal mol−1), with barriers of 14.1 kcal mol−1 and 4.8 kcal mol−1, respectively. The subsequent Cope rearrangement that possesses the highest barrier remains the same as that catalyzed by [Ph3PAu]+ in the absence of catalyst, via the rate-limiting transition state ts4a. However, the rate-determining intermediate 1-2 is more unstable than intermediate 1, leading to a relatively lower barrier of 23.9 kcal mol−1. The rate of the (4 + 3) cycloaddition is supposed to be higher as the catalyst is replaced by [(XPhos)Au]+. For the side product five-membered ring formation, the formation of rate-determining intermediate 1-2 needs to overcome a much higher barrier of 28.0 kcal mol−1 in the H-shift step via the rate-determining transition state ts2c-2.

For the reactivity analysis, on the replacement of the catalyst [Ph3PAu]+ with [(XPhos)Au]+, the barrier of the overall reaction catalyzed by [(XPhos)Au]+ was lower (from 24.1 kcal mol−1 to 23.9 kcal mol−1), while that for the competitive five-membered ring formation increased from 24.7 kcal mol−1 to 28.0 kcal mol−1. Therefore the ratio of TOFs for (4 + 3) cycloaddition and the competitive five-membered ring formation increased remarkably from 3.66 to 9.63 × 102, indicating that the catalyst [(XPhos)Au]+ can significantly enhance the reactivity of the (4 + 3) cycloaddition and reduce the reactivity of the competitive reaction, thus, the selectivity for the (4 + 3) cycloaddition is improved. Moreover, the replacement with [(XPhos)Au]+ increased the rate of the (4 + 3) cycloaddition with a higher TOF of 7.86 × 10−6 s−1 than that catalyzed by [Ph3PAu]+ (5.90 × 10−6 s−1). To sum up, both the reactivity and selectivity for the (4 + 3) cycloaddition can be improved by modifying the ligands on the catalysts. The experimental results where the yield is 58% in 1 h for the consumption of the substrate catalyzed by [Ph3PAu]+ and the yield is 88% in 0.5 h catalyzed by [(XPhos)Au]+ agree with the our present DFT results.37

As the calculated results above show, after the replacement of the catalyst [Ph3PAu]+ with [(XPhos)Au]+, the ratio of the TOFs for the (4 + 3) cycloaddition and its competitive reaction was significantly improved, indicating that the yield for the (4 + 3) cycloaddition product increased. The possible reasons why [(XPhos)Au]+ shows higher reactivity/selectivity towards the (4 + 3) cycloaddition than [Ph3PAu]+ can be described as follows. As we know, the intermediate 1-2 and transition state ts4a are the rate-determining intermediate and transition state in the (4 + 3) cycloaddition, and considering that the transition state ts4a remains the same as that in the [Ph3PAu]+-catalyzed (4 + 3) cycloaddition, the reaction rate is mainly enhanced through the substrate 1-2. The overall barrier could be described as follows in eqn (2):

 
image file: c6ra17436a-t3.tif(2)

As shown in Table 2, the difference in the combined interaction between the substrate and different catalysts reached 0.22 kcal mol−1, which is approximately the difference of the overall barriers in the [Ph3PAu]+ and [(XPhos)Au]+-catalyzed (4 + 3) cycloaddition reaction (ΔΔG = 0.20 kcal mol−1 in Table 1). It could be that the barrier is decreased by weakening the interaction between the catalyst and the substrate. Hence, the analysis of the decomposition of the combination interaction of the substrate and catalyst is necessary. The combination energy of the substrate and catalyst can be divided into two parts: (i) the deformation energies for the substrate and catalyst; (ii) the electronic interaction lying in the catalyst coordinated substrate as 1 and 1-2; this is described as follows in eqn (3):

 
E(interaction) = E(deformation energy) + E(electronic energy) = (Esubstratedef + Ecatalystdef) + Eintra (3)

The deformation energy Esubstratedef + Ecatalystdef is the strain factor related to the rigidity of the substrate and catalyst and the extent to which groups must reorganize in the catalyst-coordinated complex. Eintra is denoted as the electronic interaction between substrate and catalyst in the catalyst-coordinated intermediate as 1, 1-2, 1-3, 1d-2, 1d-3. As Table 2 shows, the deformation energy for 1-2 is calculated to be 7.26 kcal mol−1, which is much higher than that for 1 (4.91 kcal mol−1). This indicates that the bulky catalyst ligands in [(XPhos)Au]+ lead to difficulty in the approach of the catalyst [(XPhos)Au]+ to the substrate, and the catalyst and substrate need a large modification of their configurations to combine with each other. On the other hand, the electronic interaction between the catalyst and substrate in 1-2 Eintra is −20.38 kcal mol−1, while that for 1 is −18.25 kcal mol−1, which reflects the stronger interaction lying in the substrate and [(XPhos)Au]+ in 1-2. To determine the origin of the electronic interaction between the substrate and [(XPhos)Au]+ in 1-2, the NBO analysis was applied to the intermediates 1 and 1-2. For the interaction between the substrate and the catalyst, the intermolecular interaction was formed mainly by the orbital overlap of π3 (C4–C9) → σ* (P–Au) and LP5 (Au) → image file: c6ra17436a-t4.tif (C4–C9). The delocalization of π3 (C4–C9) → σ* (P–Au) in the intermediates 1 and 1-2 is the decisive interaction with the stabilization energy of 47.95 and 50.37 kcal mol−1, respectively, higher than that for LP5 (Au) → image file: c6ra17436a-t5.tif (C4–C9). With the replacement of the catalyst, the stabilization energy E(2) increases, which agrees with the higher electronic interaction in 1-2, indicating that the [(XPhos)Au]+ catalyst interacts more strongly with the substrate in 1-2. This is caused by the modification of the ligands coordinated to P. To get the origin of the influence of the ligands, we explored the intramolecular reaction of the orbital overlap in the catalyst units [Ph3PAu]+ and [(XPhos)Au]+. It was found that it was mainly the ligand 2′,4′,6′-triisopropylbiphenyl, belonging to [(XPhos)Au]+, that contributed to the interaction between the ligands and P through the larger delocalization energies of π2 (C58–C63) → σ* (P52–C59), σ (C62–C68) → σ* (P52–C58) and σ (C63–C69) → σ* (P52–C58). In conclusion, the ligand 2′,4′,6′-triisopropylbiphenyl belonging to [(XPhos)Au]+ could increase the electronic interaction between catalyst and substrate through π3 (C4–C9) → σ* (P–Au) in 1-2. Hence, on one hand, the interaction between catalyst and substrate in 1-2 is stronger than that in 1, and this could activate the substrate. On the other hand, the bulky ligands coordinated to P in [(XPhos)Au]+ lead to the difficulty in the approach of the catalyst to the substrate, reflected in the high deformation energy, which contributes to the instability of 1-2, decreasing the overall barrier. Generally, the bulky ligand leads to the instability of the interaction though the strain factor.

For the side product five-membered ring formation, the intermediate 1-2 and transition state ts2c-2 appear to be the rate-limiting factors. As the stability of intermediate 1-2 was analyzed in our above study, we focused on the discussion of the stability of ts2c-2 when the catalyst is changed. For transition state ts2c-2, the energy increased by 3.23 kcal mol−1, of which the high energy of 2c-2 contributed to 2.25 kcal mol−1 with the replacement of the catalyst, indicating that the instability of intermediate 2c-2 raises the energy profile of the side reaction. We compared the delocalization of electron density in the [Ph3PAu]+-catalyzed intermediates 2c and [(XPhos)Au]+-catalyzed 2c-2 shown in Table 3 and found that the delocalization energies of LP5 (Au) → image file: c6ra17436a-t6.tif (C4–C9) for 2c and 2c-2 are 6.57 and 5.81 kcal mol−1. The catalyst [(XPhos)Au]+ disfavors the interaction with the substrate in 2c-2, causing the instability of 2c-2. In particular, the electron donation from σ (C62–C68) to σ* (P52–C58) possesses a higher delocalization energy of 4.38 kcal mol−1 in the ligand 2′,4′,6′-triisopropylbiphenyl, which indicates that the ligand 2′,4′,6′-triisopropylbiphenyl affects the reactivity significantly.

Table 3 Second-order perturbation theory analysis of the Fock matrix in the NBO basis for the [Ph3PAu]+-catalyzed and [(XPhos)Au]+-catalyzed (4 + 3) cycloaddition and five-membered ring formationa
  Donor (i) Acceptor (j) E(2) (kcal mol−1)
(i) (occupancy) EDA, % EDB, % NBO hybrid orbitals (j) (occupancy) EDA, % EDB, % NBO hybrid orbitals
a The corresponding configurations are shown in Fig. 4. The second-order perturbation theory analysis for the [Ph3PAu]+-catalyzed (4 + 3) cycloaddition (β-spin system and α-spin system). EDA%, EDB% are defined as the percentage electron density over bonded atoms. E(2) is the stabilization energy of interactions between the selected donor (Lewis) and acceptor (non-Lewis) orbitals. CR, LP and RY* refer to 1-center core pair, 1-center valence lone pair and 1-center Rydberg.
[Ph3PAu]+-catalyzed system
1 LP5 (Au55) sp0.00d99.99 image file: c6ra17436a-t7.tif (C4–C9) 46.66% 0.6831 sp24.10d0.02 12.64
1.92109 0.17530 53.34% −0.7303 sp84.26d0.06
π3 (C4–C9) 53.34% 0.7303 sp24.10d0.02 σ* (P51–Au55) 39.28% 0.6267 sp3.85d0.01 47.95
1.78551 46.66% 0.6831 sp84.26d0.06 0.01648 60.72% −0.7792 s
π2 (C44–C47) 44.64% 0.6682 p σ* (P51–C54) 61.10% 0.7816 sp2.83d0.03 4.04
1.69168 55.36% 0.7440 p 0.06914 38.90% −0.6237 sp2.57
π2 (C53–C56) 55.18% 0.7429 p σ* (P51–C54) 39.13% 0.6256 sp2.59 4.00
1.68732 44.82% 0.6694 p 0.06988 60.87% −0.7802 sp2.78d0.03
π2 (C54–C58) 55.14% 0.7426 p σ* (P51–C53) 61.14% 0.7819 sp2.81d0.03 3.98
1.68807 44.86% 0.6698 p 0.06831 38.86% −0.6234 sp2.57
2c LP5 (Au55) sp0.79d99.99 image file: c6ra17436a-t8.tif (C4–C9) 46.74% 0.6837 sp99.99d1.85 6.57
1.94700 0.06458 53.26% −0.7298 sp99.99d3.58
π2 (C4–C9) 58.51% 0.7649 sp99.99d0.03 image file: c6ra17436a-t9.tif p1.00 1.24
1.87726 41.49% 0.6441 sp99.99d0.67 0.01726
π2 (C44–C47) 45.53% 0.6747 p σ* (P51–C54) 62.07% 0.7878 sp4.12d0.04 4.07
1.68393 54.47% 0.7381 p 0.06046 37.93% −0.6159 sp2.49
π2 (C53–C56) 55.18% 0.7429 p σ* (C47–P51) 38.17% 0.6178 sp2.51 3.99
1.68732 44.82% 0.6694 p 0.06038 61.83% −0.7863 sp4.05d0.04
π2 (C45–C49) 50.85% 0.7131 p σ* (C47–P51) 38.17% 0.6178 sp2.51 3.56
1.65145 49.15% 0.7011 p 0.06038 61.83% −0.7863 sp4.05d0.04
[thin space (1/6-em)]
[(XPhos)Au]+-catalyzed system
1-2 LP5 (Au55) 0.4168 sp0.02d99.99 image file: c6ra17436a-t10.tif (C4–C9) 48.22% 0.6944 sp29.18d0.02 13.02
1.91912 0.17127 51.78% −0.7196 sp72.92d0.05
π3 (C4–C9) 51.78% 0.7196 sp29.18d0.02 σ* (P52–Au57) 26.40% 0.5138 sp3.44d0.01 50.37
1.79282 48.22% 0.6944 sp72.92d0.05 0.20387 73.60% −0.8579 sp0d0.11
π2 (C58–C63) 51.10% 0.7149 sp1.86 σ* (P52–C59) 59.31% 0.7702 sp2.78d0.03 3.32
1.97184 48.90% 0.6993 sp1.88 0.07122 40.69% −0.6379 sp3.56
σ (C62–C68) 51.28% 0.7161 sp2.00 σ* (P52–C58) 61.37% 0.7834 sp2.83d0.03 4.59
1.96481 48.72% 0.6980 sp1.86 0.06203 38.63% −0.6215 sp2.55
σ (C63–C69) 50.74% 0.7123 sp1.79 σ* (P52–C58) 61.37% 0.7834 sp2.83d0.03 3.46
1.97650 49.26% 0.7019 sp1.87 0.06203 38.63% −0.6215 sp2.55
π2 (C13–C14) 54.38% 0.7374 sp99.99d0.39 image file: c6ra17436a-t11.tif (C4–C9) 48.22% 0.6944 sp29.18d0.02 17.72
1.89956 45.62% 0.6754 sp99.99d0.73 0.17127 51.78% −0.7196 sp72.92d0.05
1-3 LP5 (Au53) sp0.03d99.99 image file: c6ra17436a-t12.tif (C4–C9) 48.44% 0.6960 sp30.72d0.02 12.84
1.92001 0.17120 51.56% −0.7180 sp72.67d0.05
image file: c6ra17436a-t13.tif (C4–C9) 51.56% 0.7180 sp30.72d0.02 σ* (P48–Au53) 26.42% 0.5141 sp3.45d0.01 49.85
1.79351 48.44% 0.6960 sp72.67d0.05 0.20160 73.58% −0.8578 sd0.11
π2 (C12–C13) 54.26% 0.7366 sp99.99d0.39 image file: c6ra17436a-t14.tif (C4–C9) 48.44% 0.6960 sp30.72d0.02 17.99
1.90064 45.74% 0.6763 sp99.99d0.72 0.17120 51.56% −0.7180 sp72.67d0.05
1d-2 LP5 (Au55) d image file: c6ra17436a-t15.tif (C4–C9) 49.17% 0.7012 sp33.31d0.03 12.73
1.91985 0.16545 50.83% −0.7130 sp65.84d0.04
π3 (C4–C9) 50.83% 0.7130 sp33.31d0.03 σ* (P52–Au57) 26.64% 0.5162 sp3.48d0.01 48.10
1.79936 49.17% 0.7012 sp65.84d0.04 0.19664 73.36% −0.8565 sd0.11
π2 (C13–C14) 53.91% 0.7342 sp99.99d0.61 image file: c6ra17436a-t16.tif (C4–C9) 49.17% 0.7012 sp33.31d0.03 16.25
1.90168 46.09% 0.6789 sp99.99d1.13 0.16545 50.83% −0.7130 sp65.84d0.04
1d-3 LP5 (Au53) d image file: c6ra17436a-t17.tif (C4–C9) 49.43% 0.7031 sp35.18d0.03 12.10
1.92280 0.15708 50.57% −0.7111 sp65.04d0.05
π3 (C4–C9) 50.57% 0.7111 sp35.18d0.03 σ* (P48–Au53) 26.63% 0.5161 sp3.47d0.01 46.89
1.80259 49.43% 0.7031 sp65.04d0.05 0.19704 73.37% −0.8566 sd0.11
π2 (C12–C13) 53.94% 0.7345 sp99.99d0.77 image file: c6ra17436a-t18.tif (C4–C9) 49.43% 0.7031 sp35.18d0.03 14.59
1.90063 46.06% 0.6786 sp99.99d1.45 0.15708 50.57% −0.7111 sp65.04d0.05
2c-2 LP5 (Au57) sp0.34d99.99 image file: c6ra17436a-t19.tif (C4–C9) 42.20% 0.6496 sp99.99d0.06 5.98
1.94748 0.09829 57.80% −0.7603 sp83.89d0.09
π2 (C4–C9) 57.80% 0.7603 sp99.99d0.06 image file: c6ra17436a-t20.tif sp99.99d2.11 0.72
1.89726 42.20% 0.6496 sp83.89d0.09 0.04425
π2 (C58–C63) 53.23% 0.7296 p σ* (C46–P52) 39.37% 0.6274 sp3.40 3.18
1.68012 46.77% 0.6839 p 0.05972 60.63% −0.7787 sp4.46d0.04
σ (C62–C68) 51.18% 0.7154 p σ* (P52–C58) 62.53% 0.7908 sp4.34d0.04 4.38
1.96477 48.82% 0.6987 p 0.05339 37.47% −0.6121 sp2.45
σ (C63–C69) 50.60% 0.7113 sp1.79 σ* (P52–C58) 62.53% 0.7908 sp4.34d0.04 3.56
1.97699 49.40% 0.7028 sp1.86 0.05339 37.47% −0.6121 sp2.45
σ (C10–H31) 64.54% 0.8033 sp3.59 image file: c6ra17436a-t21.tif (C2) p 15.20
1.91920 35.46% 0.5955 s 0.50462
2c-3 LP5 (Au53) sp1.53d99.99 image file: c6ra17436a-t22.tif (C4–C9) 41.92% 0.6475 sp99.99d0.06 5.98
1.94692 0.10222 58.08% −0.7621 sp92.71d0.09
π2 (C4–C9) 58.08% 0.7621 sp83.89d0.06 image file: c6ra17436a-t23.tif (Au53) sp99.99d1.72 0.92
1.88658 41.92% 0.6475 sp92.71d0.09 0.04277
σ (C140–C143) 47.11% sp3.17 image file: c6ra17436a-t24.tif (C2) p 11.52
1.91283 52.89% sp2.99 0.49909


As discussed above, the modification of the catalyst into [(XPhos)Au]+ leads to the unstable 1-2 and 2c-2 contributing to the higher barrier of the side product formation and lower barrier of the (4 + 3) cycloaddition. Comparing the ligands coordinated to P in [Ph3PAu]+ and [(XPhos)Au]+, we find that the bulky ligand of 2′,4′,6′-triisopropylbiphenyl in [(XPhos)Au]+ will affect the selectivity towards the (4 + 3) cycloaddition, through the interaction between catalyst and substrate in 1-2 and 2c-2.

3.2.2 Substitution of substrate. As the previous results show, [(XPhos)Au]+ can improve the (4 + 3) cycloaddition with high selectivity, and therefore, [(XPhos)Au]+ was used to further study the substitution on the substrate. Here, the methyl group on C7 is replaced by (CH2)4OBn in order to explore the effect of the substitution on the substrate towards the stereoselectivity and the selectivity for the (4 + 3) cycloaddition; the corresponding potential energy profiles are shown in Fig. 5. The structures of all species are shown in the ESI (Table S3-4).
image file: c6ra17436a-f5.tif
Fig. 5 Potential energy profiles for the trans-path/cis-path for the (4 + 3) reaction (black and yellow) and side reaction (blue) in Scheme 5, catalyzed by [(XPhos)Au]+; energies are given in kcal mol−1.

For selectivity analysis of the [(XPhos)Au]+-catalyzed (4 + 3) cycloaddition, after the change of the substituent on the substrate, the steps proceeded with higher barriers than those of the transition states before the replacement of the substituent on the substrate in Fig. 2. The rate-limiting intermediate and transition state are the intermediate 1-3 and the transition state ts4a-3. The TOF decreases from 7.86 × 10−6 s−1 to 7.34 × 10−10 s−1 with the change of the substituent on the substrate from methyl to (CH2)4OBn, thus decreasing the rate of the (4 + 3) cycloaddition. This agrees with the longer time of 5 h required for the reaction in the experiment.37 For the competitive five-membered ring formation, the rate-limiting intermediate and transition state are the intermediate 1-3 and the transition state ts2c-3. The TOF decreased from 8.16 × 10−9 s−1 to 2.24 × 10−13 s−1 with the change of the substituent on the substrate from methyl to (CH2)4OBn, indicating the higher barrier for the competitive five-membered ring formation. As a result, the ratio of TOFs for the (4 + 3) cycloaddition and the competitive five-membered ring formation increased remarkably from 9.63 × 102 to 3.28 × 103. In summary, the substituent on the substrate can improve the selectivity for the (4 + 3) cycloaddition product. The intermediate 1-3, transition states ts4a-3 and ts2c-3 determine the high selectivity through the difference between the transition states ts4a-3 and ts2c-3. As the barrier of the Cope rearrangement in ts4a-3 increased with the replacement of substituent, it is the transition state ts2c-3 with rather high energy increasing the overall barrier of the side reaction, resulting in the high selectivity towards the (4 + 3) cycloaddition product. However, the barrier of the H-shift in ts2c-3 remains almost the same as that in ts2c-2. On the other hand, the intermediate 2c-3 is quite unstable, yielding high energy of ts2c-2. It was observed that the interaction between the catalyst and substrate in 2c-3 remains the same as that in 2c-2, with the same delocalization energy of 5.98 kcal mol−1 for LP5 (Au) → image file: c6ra17436a-t25.tif (C4–C9). However, the electron donation from σ (C140–C143) to the anti-bonding image file: c6ra17436a-t26.tif in intermediate 2c-3 is weaker than that in 2c-2 (σ (C10–H31) → image file: c6ra17436a-t27.tif). This is reflected in the lower delocalization energies of 11.52 kcal mol−1 in 2c-3 than in 2c-2 (15.20 kcal mol−1). As a result, 2c-3 is less stable than 2c-2. In addition, it is supposed that the higher selectivity towards the (4 + 3) cycloaddition after the replacement of the methyl substituent on C2 with (CH2)4OBn is caused by the instability lying in the orbitals of the (CH2)4OBn and the neighboring C2 atom.

3.3 Factors controlling the stereoselectivity to transformation mechanism

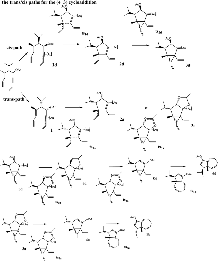
For the stereoselectivity analysis, the experimental result shows that the Au(I)-catalyzed (4 + 3) cycloaddition is highly stereoselective to generate transformation similar to that for the allenedienes.33 For the [(XPhos)Au]+-catalyzed (4 + 3) cycloaddition, the reaction mechanism path 1 discussed above for the (4 + 3) cycloaddition is the trans-path, in which the methyl group on C7 and the isopropyl group on C6 locate on the different sides of the ring. In order to take a detailed picture of the stereoselectivity, we investigated a cis-path, taking the same steps as with the trans-path study, in which the methyl group on C7 and isopropyl group on C6 locate on the same side of the ring shown in Scheme 6. The corresponding cis-path and trans-path reaction potential energy profiles are shown in Fig. 3. The structures of all species are shown in the ESI (see the Table S1-2). Focusing on the [(XPhos)Au]+-catalyzed (4 + 3) cycloaddition in the trans-path, the rate-limiting intermediate and the transition state are the intermediate 1-2 and the transition state ts4a for the trans-path, based on the XTOF calculated by the energetic span model. The barrier for the overall reaction is 23.9 kcal mol−1. On the other hand, the rate-limiting intermediate and the transition state are 1d-2 and ts5d-2, respectively, for the cis-path. The barrier for the overall reaction of the cis-path is 24.8 kcal mol−1, which is higher than that for the trans-path. As a result, the ratio of the TOFs for the trans-path and cis-path of the (4 + 3) cycloaddition is as high as 4.14, in agreement with the obtained isomer in the trans-configuration with high stereoselectivity in the experiment.37 The high stereoselectivity is reached by the transition state ts5d-2 and the unstable intermediate 1d-2 in the cis-path, according to XTOF in Table 1. For the transition state ts5d-2, the cis-path carries a lower barrier in the Cope rearrangement than the trans-path. However, the intermediate 1d-2 competes with the more stable 1-2 and requires another 1.90 kcal mol−1 to form. The combined interaction between the catalyst and the substrate in 1d-2 is −11.38 kcal mol−1 lower than that in 1-2, as shown in Table 2. We decomposed the interaction energy into the deformation item and the electronic item. The deformation energy for the substrate and the catalyst is 7.13 kcal mol−1 in 1d-2, slightly lower than that in 1-2 (7.26 kcal mol−1). However, the electronic interaction in 1d-2 is −18.52 kcal mol−1, much lower than that in 1-2 (−20.38 kcal mol−1). It was found that the electronic interaction factor is the determining factor for the instability of 1d-2. NBO analysis was then used to analyse the electronic interaction. The delocalization energies for π3 (C4–C9) → σ* (P–Au) and LP5 (Au) → image file: c6ra17436a-t28.tif (C4–C9) in 1d-2 are 48.40 and 12.73 kcal mol−1 lower, respectively, than that in 1-2. This is related to the distortion of C13–C14, resulting from the steric repulsion of the cis-form in 1d-2, and it is reflected in the larger angle of C9–C13–C14 than that in 1-2 (122.51° in 1-2 versus 122.97° in 1d-2). The larger distortion of the C13–C14 bond in 1d-2 leads to less electron donation from π2 (C13–C14) to image file: c6ra17436a-t29.tif (C4–C9) and the respective delocalization energy is 16.25 kcal mol−1, lower than that in 1-2 (17.72 kcal mol−1). As a result, the ability for electron donation from C4–C9 to the catalyst is weaker. Hence, the steric hindrance in the cis-form would result in 1d-2 causing the increase of the energy profile in the cis-path above that in the trans-path. The unstable substrate is more difficult to form, thus contributing to the lower yield of the cis-formation.
image file: c6ra17436a-s6.tif
Scheme 6 Proposed mechanisms for the Au-catalyzed trans-path and cis-path (4 + 3) cycloaddition.

For the [(XPhos)Au]+-catalyzed (4 + 3) cycloaddition, after the change of the substituent on the substrate, the rate-limiting intermediate and the transition state are the intermediate 1d-3 and the transition state ts5d-3 for the cis-path, determined when the barrier for the overall reaction in the cis-path is as high as 29.60 kcal mol−1. The ratio of the TOFs for the trans-path and cis-path of the (4 + 3) cycloaddition is 1.40, indicating that the (4 + 3) cycloaddition is stereoselective after the replacement of the methyl group on C7 with the bulky substituent (CH2)4OBn. The high selectivity for the trans-(4 + 3) cycloaddition is attributed to the rate-determining states 1-3, 1d-3, ts4a-3 and ts5d-3. The barrier for the Cope rearrangement in the cis-path is lower in ts5d-3 than in ts4a-3. However, as the 1d-3 is more unstable and more difficult to form than 1-3, the barrier for the overall reaction in the cis-path is higher. The selectivity towards 1-3 resulted from the large stability difference between intermediates 1-3 and 1d-3. The difference in the stability is gained through the combined interaction between the catalyst and substrate in 1-3 and 1d-3, shown in Table 2. The difference in E(interaction) in 1-3 and 1d-3 was calculated to be 3.10 kcal mol−1, while that for 1-2 and 1d-2 was 1.72 kcal mol−1; as a result, the stereoselectivity is higher. In order to determine the factors affecting the stereoselectivity, we decomposed the E(interaction) into Esubstratedef + Ecatalystdef and Eintra. The deformation energies for 1-3 and 1d-3 are 6.96 and 5.08 kcal mol−1, while the electronic interaction items Eintra in 1-3 and 1d-3 are −23.34 kcal mol−1 and −18.37 kcal mol−1, respectively. It can be concluded that the electronic interaction Eintra is the main factor leading to the higher stereoselectivity. Hence, detailed analysis was applied to get the insight on the steric interaction. The higher stereoselectivity resulted from the change in substituents, related to the larger steric hindrance caused by the larger (CH2)4OBn; the huge steric hindrance leads to the larger distortion of the C12–C13 bond, reflected by the much larger C9–C12–C13 angle of 123° in 1d-3 than in the C9–C12–C13 angle of 122.63° in 1-3. The distortion of the C12–C13 bond in 1d-3 disfavors the overlap of image file: c6ra17436a-t30.tif (C4–C9) and π2 (C12–C13) orbitals, and the π2 (C12–C13) donates less electrons to image file: c6ra17436a-t31.tif (C4–C9), with the lower delocalization energy of 14.59 kcal mol−1 in 1d-3 than that in 1-3 (17.99 kcal mol−1 for π2 (C12–C13) → image file: c6ra17436a-t32.tif (C4–C9) in 1-3). As a result, the electron donation from π3 (C4–C9) to σ* (P–Au) is significantly decreased, and this is reflected in the lower delocalization energy than that in 1d-3 (46.89 versus 49.85 kcal mol−1 for π3 (C4–C9) → σ* (P–Au) in 1d-2 and 1-2, respectively). Moreover, the difference in the delocalization energy for π2 (C12–C13) → image file: c6ra17436a-t33.tif (C4–C9) in 1-3 and 1d-3 is 3.40 kcal mol−1 higher than that in 1-2 and 1d-2 (1.47 kcal mol−1). Compared with 1-2 and 1d-2, the larger difference in the electronic donation π2 (C12–C13) → image file: c6ra17436a-t34.tif (C4–C9) in 1-3 and 1d-3 results in the larger difference in the electronic donation π3 (C4–C9) → σ* (P–Au) in 1d-3 and 1-3 (the difference in the delocalization energy for π3 (C4–C9) → σ* (P–Au) in 1d-3 and 1-3 is 4.97 kcal mol−1, while that in 1-2 and 1d-2 is 1.86 kcal mol−1). It is obvious that the difference in the electronic interaction between catalyst and substrate in 1-3 and 1d-3 is larger compared with that in 1-2 and 1d-2. As a result, the higher stereoselectivity for transformation is gained through the difference of the electronic interaction between substrate and catalyst caused by the steric hindrance of the larger substituent (CH2)4OBn.

In conclusion, changing the substituent to the larger (CH2)4OBn can improve the selectivity for the (4 + 3) cycloaddition product, due to the difficulty of the overlap of (CH2)4OBn and the neighboring binding atom, and keep the high stereoselectivity for transformation through the steric hindrance of the substitution.

4. Conclusions

The mechanism of the (4 + 3) cycloaddition includes the coordination to a triple carbon–carbon bond, an initial 1,2-OAc shift, followed by isocycloaddition to a Au-stabilized carbene intermediate and Cope rearrangement. The rate-determining intermediate and transition state are the substrate and transition state for the Cope arrangement. Changing the catalyst from [Ph3PAu]+ to [(XPhos)Au]+, and especially the ligand of 2′,4′,6′-triisopropylbiphenyl, can greatly improve the (4 + 3) cycloaddition selectivity by strengthening the ability of electron donation from the C–C triple bond in trienyne to the Au–P catalyst and gaining the difficulty in the approach of catalyst to the substrate through the bulky ligand in the catalyst. High stereoselectivity is gained by strong steric interaction of the substituents on C7 of the substrate. The detailed analysis helps reveal the mechanism of the (4 + 3) cycloaddition, which helps in the search for efficient catalysts and substrates for high reactivity and selectivity.

Acknowledgements

This work was supported by the State Key Program of Natural Science of Tianjin (Grant No. 13JCZDJC26800), MOE Innovation Team (IRT13022) of China, and the National Natural Science Foundation of China (Grants No. 142100, 21433008, 91545106).

References

  1. Y. Wang, J. Wang, J. Su, F. Huang, L. Jiao, Y. Liang, D. Yang, S. Zhang, P. A. Wender and Z.-X. Yu, J. Am. Chem. Soc., 2007, 129, 10060–10061 CrossRef CAS PubMed.
  2. I. Ojima, M. Tzamarioudaki, Z. Li and R. J. Donovan, Chem. Rev., 1996, 96, 635–662 CrossRef CAS PubMed.
  3. P. A. Wender, H. Takahashi and B. Witulski, J. Am. Chem. Soc., 1995, 117, 4720–4721 CrossRef CAS.
  4. P. A. Wender, M. Fuji, C. O. Husfeld and J. A. Love, Org. Lett., 1999, 1, 137–140 CrossRef CAS.
  5. S. I. Lee, S. Y. Park, J. H. Park, I. G. Jung, S. Y. Choi, Y. K. Chung and B. Y. Lee, J. Org. Chem., 2006, 71, 91–96 CrossRef CAS PubMed.
  6. C. Aïssa and A. Fürstner, J. Am. Chem. Soc., 2007, 129, 14836–14837 CrossRef PubMed.
  7. P. A. Wender, L. O. Haustedt, J. Lim, J. A. Love, T. J. Williams and J.-Y. Yoon, J. Am. Chem. Soc., 2006, 128, 6302–6303 CrossRef CAS PubMed.
  8. P. Liu, P. H.-Y. Cheong, Z.-X. Yu, P. A. Wender and K. N. Houk, Angew. Chem., Int. Ed., 2008, 47, 3939–3941 CrossRef CAS PubMed.
  9. Y. Oonishi, T. Yokoe, A. Hosotani and Y. Sato, Angew. Chem., Int. Ed., 2014, 53, 1135–1139 CrossRef CAS PubMed.
  10. X. Xu, P. Liu, X.-z. Shu, W. Tang and K. N. Houk, J. Am. Chem. Soc., 2013, 135, 9271–9274 CrossRef CAS PubMed.
  11. B. M. Trost, H. C. Shen, D. B. Horne, F. D. Toste, B. G. Steinmetz and C. Koradin, Chem.–Eur. J., 2005, 11, 2577–2590 CrossRef CAS PubMed.
  12. B. M. Trost, Y. Hu and D. B. Horne, J. Am. Chem. Soc., 2007, 129, 11781–11790 CrossRef CAS PubMed.
  13. B. M. Trost and H. C. Shen, Org. Lett., 2000, 2, 2523–2525 CrossRef CAS PubMed.
  14. R. P. Reddy and H. M. L. Davies, J. Am. Chem. Soc., 2007, 129, 10312–10313 CrossRef CAS PubMed.
  15. B. D. Schwartz, J. R. Denton, Y. Lian, H. M. L. Davies and C. M. Williams, J. Am. Chem. Soc., 2009, 131, 8329–8332 CrossRef CAS PubMed.
  16. Y. Lian, L. C. Miller, S. Born, R. Sarpong and H. M. L. Davies, J. Am. Chem. Soc., 2010, 132, 12422–12425 CrossRef CAS PubMed.
  17. J. Xu, E. J. E. Caro-Diaz and E. A. Theodorakis, Org. Lett., 2010, 12, 3708–3711 CrossRef CAS PubMed.
  18. D. Shu, W. Song, X. Li and W. Tang, Angew. Chem., Int. Ed., 2013, 52, 3237–3240 CrossRef CAS PubMed.
  19. B. Trillo, F. López, M. Gulías, L. Castedo and J. L. Mascareñas, Angew. Chem., Int. Ed., 2008, 47, 951–954 CrossRef CAS PubMed.
  20. B. W. Gung, D. T. Craft, L. N. Bailey and K. Kirschbaum, Chem.–Eur. J., 2010, 16, 639–644 CrossRef CAS PubMed.
  21. P. Mauleón, R. M. Zeldin, A. Z. González and F. D. Toste, J. Am. Chem. Soc., 2009, 131, 6348–6349 CrossRef PubMed.
  22. F. López and J. L. Mascareñas, Chem.–Eur. J., 2011, 17, 418–428 CrossRef PubMed.
  23. I. Alonso, H. Faustino, F. López and J. L. Mascareñas, Angew. Chem., Int. Ed., 2011, 50, 11496–11500 CrossRef CAS PubMed.
  24. S. N. Karad, S. Bhunia and R.-S. Liu, Angew. Chem., Int. Ed., 2012, 51, 8722–8726 CrossRef CAS PubMed.
  25. I. Fernández, F. P. Cossío, A. de Cózar, A. Lledós and J. L. Mascareñas, Chem.–Eur. J., 2010, 16, 12147–12157 CrossRef PubMed.
  26. M. M. Montero-Campillo, E. M. Cabaleiro-Lago and J. Rodríguez-Otero, J. Phys. Chem. A, 2008, 112, 9068–9074 CrossRef CAS PubMed.
  27. Q. Li and Z.-X. Yu, Organometallics, 2012, 31, 5185–5195 CrossRef CAS.
  28. Z.-X. Yu, P. A. Wender and K. N. Houk, J. Am. Chem. Soc., 2004, 126, 9154–9155 CrossRef CAS PubMed.
  29. T. J. L. Mustard, P. A. Wender and P. H.-Y. Cheong, ACS Catal., 2015, 5, 1758–1763 CrossRef CAS PubMed.
  30. P. Liu, L. E. Sirois, P. H.-Y. Cheong, Z.-X. Yu, I. V. Hartung, H. Rieck, P. A. Wender and K. N. Houk, J. Am. Chem. Soc., 2010, 132, 10127–10135 CrossRef CAS PubMed.
  31. X.-Z. Shu, X. Li, D. Shu, S. Huang, C. M. Schienebeck, X. Zhou, P. J. Robichaux and W. Tang, J. Am. Chem. Soc., 2012, 134, 5211–5221 CrossRef CAS PubMed.
  32. X. Hong, B. M. Trost and K. N. Houk, J. Am. Chem. Soc., 2013, 135, 6588–6600 CrossRef CAS PubMed.
  33. S. Montserrat, I. Alonso, F. Lopez, J. L. Mascarenas, A. Lledos and G. Ujaque, Dalton Trans., 2011, 40, 11095–11105 RSC.
  34. I. Alonso, B. Trillo, F. López, S. Montserrat, G. Ujaque, L. Castedo, A. Lledós and J. L. Mascareñas, J. Am. Chem. Soc., 2009, 131, 13020–13030 CrossRef CAS PubMed.
  35. D. Benitez, E. Tkatchouk, A. Z. Gonzalez, W. A. Goddard and F. D. Toste, Org. Lett., 2009, 11, 4798–4801 CrossRef CAS PubMed.
  36. S. Montserrat, H. Faustino, A. Lledós, J. L. Mascareñas, F. López and G. Ujaque, Chem.–Eur. J., 2013, 19, 15248–15260 CrossRef CAS PubMed.
  37. Z. Cao and F. Gagosz, Angew. Chem., Int. Ed. Engl., 2013, 52, 9014–9018 CrossRef CAS PubMed.
  38. M. J. Frisch, et al., Gaussian 09, Rev. B.01, Gaussian, Inc., Wallingford, CT, 2010 Search PubMed.
  39. W. Yang, R. G. Parr and C. Lee, Phys. Rev. A, 1986, 34, 4586–4590 CrossRef CAS.
  40. K. Fukui, Acc. Chem. Res., 1981, 14, 363–368 CrossRef CAS.
  41. K. Fukui, J. Phys. Chem., 1970, 74, 4161–4163 CrossRef CAS.
  42. S. Grimme, J. Antony, S. Ehrlich and H. Krieg, J. Chem. Phys., 2010, 132, 154104–154119 CrossRef PubMed.
  43. S. Grimme, J. Comput. Chem., 2006, 27, 1787–1799 CrossRef CAS PubMed.
  44. V. Barone and M. Cossi, J. Phys. Chem. A, 1998, 102, 1995–2001 CrossRef CAS.
  45. C. James, R. A. Amal, R. Reghunathan, V. S. Jayakumar and J. I. Hubert, J. Raman Spectrosc., 2006, 37, 1381–1392 CrossRef CAS.
  46. E. D. Glendening, C. R. Landis and F. Weinhold, J. Comput. Chem., 2013, 34, 1429–1437 CrossRef CAS PubMed.
  47. G. Zhao, H. Liu, D. Zhang, X. Huang and X. Yang, ACS Catal., 2014, 4, 2231–2240 CrossRef CAS.
  48. A. Uhe, S. Kozuch and S. Shaik, J. Comput. Chem., 2011, 32, 978–985 CrossRef CAS PubMed.
  49. G.-M. Zhao, H.-L. Liu, X.-R. Huang, X. Yang and Y.-P. Xie, ACS Catal., 2015, 5, 5728–5740 CrossRef CAS.

Footnote

Electronic supplementary information (ESI) available. See DOI: 10.1039/c6ra17436a

This journal is © The Royal Society of Chemistry 2016
Click here to see how this site uses Cookies. View our privacy policy here.