Recent application of calculations of metal complexes based on density functional theory

Shi-Chao Qi, Jun-ichiro Hayashi* and Lu Zhang
Institute for Materials Chemistry and Engineering, Kyushu University, 6-1, Kasuga Koen, Kasuga, Fukuoka 816-8580, Japan. E-mail: junichiro_hayashi@cm.kyushu-u.ac.jp

Received 22nd June 2016 , Accepted 19th July 2016

First published on 11th August 2016


Abstract

Density functional theory (DFT) has become a widely applied computational tool in most chemistry fields. Because of its applicability, DFT calculations involving metal complexes are reviewed. The achievements in the applications of DFT and the diverse DFT usage modes are shown. Developments of exchange–correlation functionals and weak interaction corrections are concisely illustrated. Moreover, practical applications of different functionals are compared and suggestions regarding the selection of functionals are presented. There are basically two methods of obtaining highly accurate exchange–correlation functionals, and borrowing the concept of orbitals from ab initio method is still unavoidable in DFT for the foreseeable future.


1 Introduction

Density functional theory (DFT) has clearly become a useful tool in computational chemistry.1–9 The concept of DFT can be traced back to the Thomas–Fermi model of the 1920s;10,11 however, its actual development took place following the proposal of the Kohn–Sham equation in the 1960s.12 Thanks to the rapid development of computer technologies, DFT has become an extensively used tool in most divisions of chemistry over the past 20 years.13,14 As shown in Fig. 1, research on DFT continues to expand, especially in the new millennium. The reason behind the popularity of DFT is clearly its usefulness and reasonable accuracy in the calculation of molecular behavior. It is sufficiently accurate for calculations in solid-state physics, materials science, biology, and several other fields; its computational speed is high, while the cost is low.15
image file: c6ra16168e-f1.tif
Fig. 1 Amount of papers when DFT is searched as a keyword in Web of Science.

To demonstrate the applicability of DFT, we review recent calculations related to metal complexation. Calculation of metal complexes involving not only simple light elements but also several heavy atoms is possible using DFT. In addition, such calculations can fully highlight the performance and challenges associated with DFT. Moreover, metal complexes are useful in many fields such as inorganic/organic chemistry, analytical chemistry, environmental chemistry, polymer chemistry, materials and medicinal chemistry, and biosciences. In addition, several other subdisciplines, including catalysis, organometallic chemistry, chiral synthesis, photochemistry, cluster compounds, and supermolecular complexes, incorporate metal complexes.16–25

Although DFT is a useful tool, proper usage of DFT is always difficult, because as most studies on DFT that primarily focus on theory construction and development of highly accurate functionals are usually not direct guidances for practical applications.26–30 On the other hand, for many, learning how to use a DFT commercial software to do specific calculations precedes learning the underlying theory of DFT. Therefore, in certain experimental investigations, it is common to routinely perform DFT calculations using a popular code, a standard basis, and a standard functional approximation. This is one of the reasons why B3LYP functional has been widely used. In our opinion, in addition to reviewing the achievements of DFT, showing the differences among the functionals, and sharing the experiences for using DFT will be helpful to all DFT users.31–35

In Chapter 2, developments of exchange–correlation functionals and weak interaction corrections are concisely summarized. The application of DFT to metal complexes as well the performance of different functionals is discussed in Chapter 3, moreover, we propose methods for selecting these functionals. A future outlook of DFT calculations is presented in Chapter 4.

2 Outline of DFT

2.1 Development of exchange–correlation functional

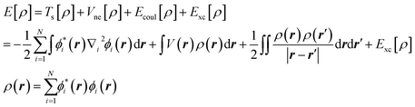
DFT was established until the introduction of the Hohenberg–Kohn (H–K) theorem.36,37 Subsequently, the Kohn–Sham (K–S) theory made DFT calculations a reality.12 According to the K–S theory, the energy of the electrons in an N-electron system is disassembled as eqn (1), in which the functionals Ts[ρ], Vne[ρ], and Ecoul[ρ] are explicitly known and represent the kinetic energy of the noninteracting reference electrons, the nucleus–electrons potential energy and the classical electron–electron repulsion energy, respectively. A key remaining term Exc[ρ], the exchange–correlation energy, is the very study core of DFT and generates different DFT methods.
 
image file: c6ra16168e-t1.tif(1)

To classify the Exc[ρ] functionals, Perdew proposed Jacob's ladder,38 which was based on the descriptions of the Hartree world without any exchange–correlation and led to extremely high chemical accuracy. The first rung of Jacob's ladder is local density approximation (LDA), followed by generalized gradient approximation (GGA), meta-GGA, and finally, hybrid functionals. Each rung on the ladder should contain functionals that are based on and perform better than the previous rungs.39

The LDA is the first stage of Exc evolution.40 Simulating the free electron gas, the mathematical form of Ex was proposed. With regard to Ec, the functionals VMN and PW92 were proposed based on LDA.41–43 LDA is accurate to describe free electron gas, but unfortunately, the electron systems of molecules are not as uniform as the free state. The GGA dramatically developed LDA via introducing the electron density gradient into Exc. There are many famous and popular GGA-Ex or -Ec functionals such as B88, PW86, PW91, PBE, and LYP.44–50 Subsequently, functionals referred to as meta-GGA were derived from the variable of kinetic energy density in Exc. For instance, BR89 eliminating the correlation of parallel-spin electrons in one-orbital systems,51,52 B95 without Coulomb electron self-interactions,53 VSXC containing 21 adjustable parameters, and TPSS, whose coefficients were defined by an accurate energy functional rather than experimental data.54,55

The hybrid functionals greatly enhanced the precision of DFT, and to some extent, DFT is nearly synonymous with the hybrid functionals. Becke originally used the adiabatic connection to reveal that the functional should include a certain proportion of EHFx and, subsequently, combined it with an LDA-Exc functional, assuming the two functionals accounted for 50%, i.e., EBHHxc = 0.5EHFx + 0.5ELDAxc, which was obviously too far from being accurate.56 Fortunately, such ideas were quickly improved by matching with experimental data to optimize the proportions of mixed functionals, and then, a series of well-performed hybrid functionals were created (Table 1),56–67 such as B3LYP, which represented or even dominated the DFT calculation to some extent.

Table 1 Examples of hybrid functionals and their composition
Acronym Composition Ref.
Ex Ec
a Δ: the density gradient.b UEG: the uniform electron gas.
BH&HLYP 0.5(HF) + 0.5(LDA) + 0.5(ΔB88) (LYP) 56
B3LYP 0.2(HF) + 0.8(LDA) + 0.72(ΔB88)a 0.81(LYP) + 0.19(VWN) 57
B3PW91 0.2(HF) + 0.8(LDA) + 0.72(ΔB88) 0.81(ΔPW91nonlocal) + (PW91local) 58
B1LYP 0.25(HF) + 0.75(UEG)b + 0.75(ΔB88) (LYP) 59
B1PW91 0.25(HF) + 0.75(UEG) + 0.75(ΔB88) (ΔPW91) 59
B3P86 0.2(HF) + 0.8(LDA) + 0.72(ΔB88) 0.81(ΔP86) + (VWN) 59
PW1PW 0.25(HF) + 0.75(LDA) + 0.75(ΔPW91) (PW91) 60
mPW1PW 0.25(HF) + 0.75(LDA) + 0.75(mPW) (PW91) 61
O3LYP 0.1161(HF) + 0.9262(LDA) + 0.8133(ΔOPTX) 0.81(LYP) + 0.19(VWN5) 62
X3LYP 0.218(HF) + 0.782(LDA) + 0.542(ΔB88) + 0.167(ΔPW91) 0.871(LYP) + 0.129(VWN) 63
TPSSh 0.1(HF) + 0.9(LDA) + 0.9(TPSS) (ΔPW91) + (TPSS) 64
PBE1PBE 0.25(HF) + 0.75(LDA) + 0.75(ΔPBE) (PBEnonlocal) + (PW91local) 65
M05 0.28(HF) + 0.72(ΔPBE) (tHTCH) + (ΔPW91) 66
M06 0.27(HF) + 0.73(ΔPBE) + 0.73(ΔVSXC) (tHTCH) + (ΔPW91) + (ΔVSXC) 67


2.2 Weak interactions

Weak interaction corrections are indispensable when dispersion interactions, hydrogen bonds, and long-range interactions are involved, since the descriptions of weak interactions based on traditional popular functionals were unsuccessful.39 There have been several successful corrections, and the first is to develop new hybrid functionals for weak interaction without intentional long-range or dispersion force correction, for example the functionals X3LYP and M06-2X.63,67 The second, referred to as range-separated correction, is to naturally divide the electron repulsion operator 1/rij into short-range and long-range components using the standard error function erf. This method was used in the development of the functional CAM-B3LYP.68 Moreover, it is easy to generalize this method to any of the pure functionals.69,70 Note that range-separated correction is not specially designed for dispersion correction because long-range coulomb correlation is not involved in this method. The most popular method is DFT-D correction. An advantage of this method is independently and rapidly calculating weak interactions once the coordinates of atoms are given. Moreover, although this method is designed for dispersion correction, it benefits all calculation types. Grimme successively proposed DFT-D1, -D2, -D3 and -D3(BJ) corrections. DFT-D3 and -D3(BJ) are the most precise and available to the atoms from H to Pu.71–75 In fact, the performance of -D2 is as good as that of -D3, and -D2 is available to the atoms from H to Xe. Some new functionals are based on DFT-D correction, for example wB97XD.76

3 DFT calculation of metal complexes

Indeed, most of the DFT calculations involving metal atoms are related to studies of metal complexes. The performance of the functionals is clearly demonstrated by the calculations involving metal complexes that include both heavy atoms and first- or second-row atoms in one task. The functional that accurately represents metal complexes is believed to also be suitable for calculations involving only main group atoms. The DFT calculation of metal complexes is virtually applicable to all subjects of DFT, including objective geometry, thermodynamics, electronic spectroscopy, barrier heights, and noncovalent interactions. In this chapter, we discuss the application of DFT to metal complexes focusing on the main group or transition metals.

3.1 Main group metals

Compared with studies of transition metals, those of main group metals are scarce. For calculations involving only main group atoms, hybrid functionals usually perform sufficiently and functionals including the Becke 3 series (e.g., B3LYP and B3PW91) are preferred.

Mg and Ca complexes are more common than those of other main group metals. Using B3LYP, Domingo et al. calculated the formation of a Mg complex in the 1,3-dipolar cycloaddition of benzonitrile oxides with acryloylpyrazolidinone.77 This reaction produced a regio- and stereo-selective induction because of the hindrance of the bulk chiral Mg complex. In their report, Mg2+ with two Cl ligands coordinated with two O atoms of acryloyl derivate and two N atoms of bidentate bisoxazoline derivate to become hexacoordinated. What we can learn from this reference is their approximations method. As shown in Fig. 2, deleting three methyl groups of the original ligand (b), the authors used the approximation ligand (a) instead for their calculation because, theoretically, the coordination pattern of the O atoms to the Mg center was not significantly changed here. Moreover, it should be noted that the solvent effect modeled by the self-consistent reaction field (SCRF) was also considered in their study. However, only the single-point energy of the gas-phase geometry was recalculated, without considering the geometry optimization in the solvent.


image file: c6ra16168e-f2.tif
Fig. 2 Approximation ligand (a) of the acryloyl derivate (b) for the Mg complex (c).

Using B3PW91, Butera et al. studied the catalysis of Mg and Ca β-diketiminato silylamide complexes for the dehydrogenation of R2HNBH3,78 and they confirmed the relatively lower reactivity of the Ca complex than that of the Mg complex because of the inaccessible formation of Ca hydride caused by an increase in the cationic radius. The stretched distance between the Ca center and the BH group prevented BH from transferring to the Ca center. The result was enlightening because similar studies of new metallic catalysts with similar reactivity among congeners might not always work.

Unless chelated, main group metals seldom coordinate with monodentate ligands as complexes, whereas AlCl3 is an exception. As a strong Lewis acid, AlCl3 is generally used in electrophilic activation. Arnó et al. studied the cycloaddition of aryliden-5(4H)-oxazolone and cyclopentadiene in the absence and presence of AlCl3, respectively, at the B3LYP level.79 In their study, the global electrophilicity index, ω (ω = μ2/2η; μ, the electronic chemical potential, and η, the chemical hardness), was proved to be a powerful tool to understand the behavior of polar cycloadditions. Based on the ω, the coordination of the Lewis acid AlH3 to the oxygen of carbonyl increased the electrophilicity of the aryliden-5(4H)-oxazolone to 3.76 eV. Substitution of the AlH3 by AlCl3 or AlClMe2 increased the electrophilicity to 4.42 and 4.16 eV, respectively, in agreement with the larger acid character of AlCl3 and AlClMe2.

Although the functionals of B3-series usually perform well in calculating main group metal complexes, some reports still scrupulously refer to other newly developed functionals. For instance, Kimura and Satoh calculated the 1,3-C-H insertion of Mg carbenoid using B3LYP, and the activation energies of three reactants were yielded: 20.0, 33.8, and 47.1 kcal mol−1. The corresponding energies were 13.4, 33.3, and 42.9 kcal mol−1 when the M06-2X functional was used and 16.9, 33.9, and 45.5 kcal mol−1 when the wB97xD functional was used.80 However, such a comparison has only some meaningful reference rather than being an assessment of which functional is the most accurate for the calculated system. Meanwhile, the calculated energy values are indeed more dependent on the basis sets. Thus, to demonstrate more extensive usage and comparison of functionals, the application of DFT to the field of transition metal complexes is needed.

3.2 Transition metals

DFT has been applied to nearly all transition metals, from scandium to mercury, including the lanthanides, and to research fields such as organic/inorganic synthesis, homogeneous catalysis, material properties, molecular biology, and medicine. These research fields provided varied models to apply and examine the functionals. Zhao and Truhlar defined an ideal functional that could be well suited to all chemical and physical applications.67 However, such functionals might not be known either now or in the foreseeable future; therefore, the functionals must be designed to seek the broadest possible accuracy referring to five criteria: transition metal bonding, thermochemistry, electronic spectroscopy, barrier heights, and weak interactions. Herein, these criteria are taken into consideration for discussing the application of DFT to calculate transition metal complexes.
Molecular geometries and properties. The thermodynamic and electronic spectroscopic properties are basic requirements for all functionals aimed at calculating exact stationary geometry. Compared with molecules constructed only by main group elements, complexes involving transition metals usually have much more complicated potential surfaces because of their alterable spin multiplicity and various coordination patterns of metal.

Kwapien and Broclawik used B3LYP to investigate the reaction pathways for oxygen insertion into the C–H bonds of benzene, aniline, and 3-methylaniline by FeO+ in the gas phase, and the intermediates and potential profiles of the sextet and quartet states, respectively.81 They implied that the reaction might occur in both sextet and quartet spin multiplicities. According to the Aufbau principle, the reaction pathway would preferably follow the sextet spin multiplicity due to the lower energies with sextet multiplicity. It is indicated that the molecular geometries is clearly influenced by the change in the spin multiplicity, and it is interesting that the geometrical parameters that do not involve the Fe atom remain unchanged, implying that the Fe atom changes its d-electrons pairing model.

The various coordination patterns of the metal center were derived not only on the basis of the coordination number of metals but also from the types of ligands, which any electron donor could replace. Using B3LYP, Straub et al. studied the cyclopropanation catalyzed by Cu(I), which was coordinated with the carbene double bond as the intermediate.82 In their study, NBO analysis was successfully applied to reveal that the copper(I) carbene complexes possess a true copper carbon double bond. The π-bond is mainly localized at the copper fragment (74.6%) with 9.5% s and 90.4% d character. The carbene carbon contributes mainly by its p orbital (95.7%). The s-bond is a dative bond of the lone pair of the singlet carbene fragment (82.6% carbon character with 30.9% s and 69.1% p contribution) to the copper fragment (17.4% copper character with 12.7% d and 87.0% s contribution). Similarly, Giammarino and Villani used B3PW91 to calculate the termination of a polyolefin catalyzed by a Ti complex.83 The calculation indicated that the terminal carbene double bond is generated via coordination with the Ti center after methylene transfers a hydrogen atom to an adjacent chelating site. Using the M06 functional, Liu et al. calculated the geometry of a six-coordinated cationic Ru carbyne complex with two liable pyridine ligands.84 Two of the coordination bonds were a lone electron pair on a carbon atom and a carbon–carbon triple bond.

To some extent, in the aforementioned cases, the ligands of the metal complexes were deemed the stabilizer of the metal center because it was the metal, namely, the vacant chelating sites that worked on electron transfer. However, in other cases, the influence of ligand was so great that the property of the metal center could be absolutely changed.

Pal and Sarkar used B3LYP to study the reduction of NO3 to NO2 catalyzed by four anionic complexes [Mo(mnt)2(X)] (mnt2− = 1,2-dicyanoethylenedithiolate; X = –S–Ph, –S–Et, –Cl, and –Br), and the only difference among four complexes was the axial ligand X. According to the calculation, the complex could catalyze the reaction only when X = –S–Ph or –S–Et. The reason the reaction did not occur when X changed to a halide was that the participating redox orbital became energetically less accessible.85

The coordination geometry of the metal center could be changed by the variation in species or the number of ligands. This is important for the metal-catalyzed reactions because the catalysis process could be seen as a ligand substitution. Ishikawa et al. used B3LYP to investigate the coordination of unsaturated W(CO)5 with NO.86 Since NO coordinated with the W center and CO was removed and replaced, the complex successively transformed from a tetragonal pyramid W(CO)5 to an octahedral W(CO)5NO, tetragonal pyramid W(CO)4NO, octahedral W(CO)4(NO)2, and finally, a trigonal bipyramid W(CO)3(NO)2. It was interesting that the coordination pattern of the metal center could even be changed by noncoordinated remote groups. Ristović et al. used the functional OPBE to study the thermal degradation of Zn(II)–N-benzyloxycarbonylglycinato.87 When the benzyloxy and –CH2NHCO– functionalities were successively removed from the complex, the configuration of the Zn(–O–)4 center changed from a tetragonal plane to a tetrahedral and then back to the tetragonal plane.

Because of the above-mentioned good performances of DFT for predicting the geometries of metal complexes, the DFT calculation was highly useful for medicinal and molecular biology studies to obtain an in-depth understanding of the enzymatic structure–function and structure–activity relationships. Based on PBE1PBE functional calculations, Sicking et al. proposed a self-protection and self-inhibition of myeloperoxidase using Fe(III) as the center during its catalytic cycle for the conversion of Cl to hypochlorous acid. Meanwhile, two new intermediates were naturally deduced, which were detected from UV-vis spectra but were not understood in previous reports.88 Prabhakar et al. used B3LYP to study the H2O2 formation catalyzed by nickel superoxide dismutase. The crucial role for the mechanism was cysteine-6 residue, and the proton donor forming H2O2 was histidine-1 residue.89

The calculation of an exact stationary geometry is a prerequisite for predicting material properties; the reliability of the calculated geometry is usually confirmed by comparison with spectroscopic data from X-ray, FT-IR, and NMR.90 Chen et al. studied the hydrolysis of a Ru(III) complex referred to as TzNAMI using the functional B3LYP and the basis set LanL2DZ/6-31G(d) and then compared the calculated geometry parameters with the X-ray data.91 The calculated parameters are in close proximity to the X-ray data. Using the same functional and basis set as that in Chen's research, Liu et al. calculated the geometry of (2,6-di-tbutyl-C6H3O-)3Y and compared it with X-ray data.92 The calculated parameters of the three ligands are indistinguishable because the three ligands were identical for the calculation; however, their differences are exhibited in the X-ray data. This implies that the symmetry of the molecule was geometrically distorted in the real material. Furthermore, if the geometry optimization had been performed with a larger basis set, a more accurate geometry may have been achieved. Using the B3LYP calculation and comparing the results with X-ray spectroscopy data, Banerjee et al. calculated the geometry parameters of a Pt complex, an anticancer drug referred to as AMD443.93,94 Matching between the calculation results and X-ray spectroscopy data was indeed an improvement over Chen's work because of a slightly larger basis set 6-31G(d,p) chosen for non-metallic atoms.

In addition to verification by experimental data, the result of the calculation of one functional could also be supported by the calculation of other functionals. Such a method was usually adopted when comparisons between the gas phase and the solution were needed. For instance, Ning et al. used B3LYP to perform the geometry optimization in the gas phase but then used M06 to calculate the single-point energy with the SCRF-PCM solvation model based on the gas-phase optimized geometry.95 Zhang et al. also adopted a similar comparison method, but they used the B3LYP calculation for both the gas-phase geometry optimization and the single-point energy calculation in the solvation model.96 However, the stationary geometry in the gas phase was always very different from that in the liquid phase because of the impressed field. Thus, strictly calculating a single point in the solvation model even with the same functional was farfetched, let alone replacing the functional during the calculation, which reduced the accuracy of the results. Certainly, a strict parallel calculation starting from geometry optimization with several functionals was really difficult because of the increased computation time.

In addition to calculating the geometries and properties of the ground state, it is also important for a perfect functional to accurately predict the excited states and spectroscopic properties. Time-dependent DFT (TD-DFT) is usually used to solve such problems. Using TD-DFT at B3LYP level, Cao et al. designed an efficiently phosphorescent Ir(III) complex; calculated the energy levels, energy gaps, and orbital composition distribution of the HOMO and LUMO; and then predicted its adsorption spectrum in the UV-vis band.97 According to their calculation, the delocalized energy of HOMO on the Ir center and ligand was increased; meanwhile the LUMO energy was reduced such that the HOMO–LUMO gap was notably reduced and the electron jump under visible light was feasible. In their study, the radiative rate constant (kr) of phosphorescence for transition metal complexes was deduced from the transition dipole moment (M) of the perturbed triplet state through the use of the following formula:

image file: c6ra16168e-t2.tif
where n, h, ε0, and E represents the refractive index of the medium, Planck's constant, vacuum permittivity, and the emission energy, respectively. In addition, as revealed by the first-order perturbation theory, the M from the transition state to the ground state can be defined as following expression:
image file: c6ra16168e-t3.tif
where the meanings of ψGn and EGn are eigenfunctions and eigenvalues of the Hamiltonian without spin-orbital coupling, respectively. HSO is Hamiltonian with spin–orbital coupling, and the MGn means the transition dipole moment between two ground states.

Reaction pathways and kinetics. The related reactions of metal complexes could be categorized into two types based on their different roles as catalysts and reactants. When the metal complexes act as a reactant, ligand replacement occurs. An example is hydrolysis wherein H2O molecules displace the original ligands individually. Using B3LYP, Chen et al. derived the hydrolysis process of hexacoordinated Ru complexes, in which four Cl ligands coordinated as the tetragonal plane were replaced by H2O.98 According to the barrier heights, ortho substitution was kinetically favored for the second hydrolysis step. In addition, the ortho-substituted product was thermodynamically favored. Using B3LYP, Bi et al. discussed the reaction of Cp2*W-CH2Si(CH3)2 with H2 to form Cp2*WH-Si(CH3)3 and calculated two possible pathways.99 As shown in Scheme 1, for both the pathways, H2 initially coordinates with the W center; then, the H–H bond undergoes hemolytic cleavage. Meanwhile, the conjugacy of Cp* is temporarily lost because H2 bonds to Si in Path I and coordinates with the W center in Path II. The reaction of Cp2*ZrH2 with cis-2-butene to yield a metal n-butyl hydride product was also studied in the same manner.100 Two possible pathways of cis-2-butene insertion were found, i.e., side insertion and central insertion, and the latter was deemed more kinetically favorable.
image file: c6ra16168e-s1.tif
Scheme 1 Pathways proposed for Cp2*W-CH2Si(CH3)2 reacting with H2.

In addition to the ligand replacement reaction, the intramolecular reaction was common. Otto et al. used B3LYP to study the intramolecular cyclization of a tetra-coordinated Pt complex, PhC(CH3)[double bond, length as m-dash]N(OH)–PtCl2SO(CH3)2, which involves removal of Cl from Pt center, followed by the benzene ring coordination with the Pt atom, and then removal of H+ to form a five-membered ring.101 Gracia et al. used B3LYP to study the reaction between VO+ and NH3 to yield VNH+ and H2O. Although the reaction was initiated with a sample ion VO+, the intermediates would transform with a series of V complexes, and six pathways were proposed for the reaction.102 Another similar example came from La and Wang's research.103 They used B3LYP to derive the carbon bond activation of butanone by Ni+ in the gas phase. During the reaction, Ni+ first reacted with the butanone molecule to form two possible complexes, CH3OCNiC2H5 and CH3NiCOC2H5, followed by intramolecular hydrogen transfer to yield C2H4 with CH3CHO and CH4 with H2C[double bond, length as m-dash]CH–CHO.

It is necessary to point out that when simulating a reaction theoretically catalyzed by a metallic crystal or metallic ionic crystal, the researchers sometimes choose only one metal atom or metal cation to derive the catalysis in the gas phase.104,105 Li and Xie also used B3LYP to study the reaction of one yttrium atom with propene in the gas phase.106 The Y atom insertion and the isomerization of the intermediates were similar to those in La and Wang's research. However, this catalyst model was very different because it was close to a homogeneous catalytic reaction rather than heterogeneous. However, the metallic catalysts always maintained a crystalline state, which was different from the gas-phase reactants.

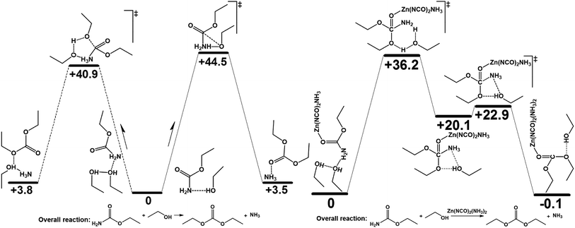
There are many studies related to metal complexes as homogeneous catalysts; since all of them cannot be covered here, several examples are listed in Tables 2–4, summarizing the functionals they selected, the calculated systems, and the meaningful findings.107–129 Some of the most representative cases will be discussed in detail with regard to DFT. In ref. 130, the differences between the pathways with and without CuCl catalyst were clearly given for the intramolecular cyclopropanation of iodonium ylides. As shown in Fig. 3, there are two possible pathways without the catalyst, both of which have to overcome high-energy barriers to achieve intramolecular cyclization. When the catalyst was introduced, the reaction procedure became more complex because the Cu atom acted as a bridge to move carbon atoms instead of facilitating direct intramolecular cyclization. Thus, the highest barrier of the catalyzed reaction was ca. 8.5 kcal mol−1, whereas the barrier of the rate-determining step in the uncatalyzed pathways was at least 15.5 kcal mol−1. In fact, if only the cyclization steps were compared, the corresponding barriers would fall from 39.6 kcal mol−1 in the uncatalyzed pathway to 8.5 kcal mol−1 in the catalyzed one. Another example how the transition metallic catalyst played a role is provided in ref. 131, where the functional wB97XD was chosen to calculate the ethanolysis of urea catalyzed by Zn(NCO)2(NH3)2. As shown in Fig. 4, the ethyl carbamate could react with one or two ethanol molecules without a catalyst. To some extent, the second ethanol molecule acted as the catalyst by donating an electron such that the amino group could more easily obtain a hydrogen atom. This led to a decrease in the energy barrier from 44.5 kcal mol−1 to 40.9 kcal mol−1. When the catalyst was introduced, the Zn atom bonded with the ketonic oxygen, markedly increasing the electrophilic property of the adjacent amino group such that the barrier of the rate-determining step fell to 36.2 kcal mol−1.

Table 2 DFT calculation of the reactions catalyzed by the transition-metal complexes of 4th period
Functional Catalyst and catalyzed reaction Annotation Ref.
a image file: c6ra16168e-u7.tif.
B3LYP image file: c6ra16168e-u1.tif The insertion mechanism taking place by an insertion of the alkene moiety into the Ti–N single bond of the imido–amido complex is much more likely than the mechanism that involves an alkene insertion into a Ti–N single bond of the trisamide. The rate-determining step is the product liberation at last, involving an aminoalkene 107
B3LYP Cp*Mn(CO)32RSH → R–S–S–R + H2 The compound CpMnH(CO)2SR is probably existing as a key intermediate, which brings two possible pathways. Large steric repulsion between S2H2R with C[double bond, length as m-dash]C makes a 16-electron Mn complex. Ligand substitution process is the rate-determined reaction step 108
B3LYP image file: c6ra16168e-u2.tif One mechanism is a six-step catalytic cycle involving oxidative addition, reduction, radical production, radical addition,– reductive elimination, and catalyst regeneration. The other mechanism includes radical production, reduction, oxidative addition, radical addition, and reductive elimination. For these two mechanisms, the radical addition between the intermediate NiII(L)(Ph)(Br) and the cyclohexyl radical is the rate-limiting step 109
B3LYP [Ni(bipy)]3+ The proton transfer is the rate-determining step. The unoccupied Nidx2y2 orbital is very prone to accepting the α-spin electron generated from the Ni–OH homolytic cleavage. The singly occupied Nidz2 orbital of Ni accommodates the β-spin electron generated from the homolytic cleavage of the Ni–OCHCH3 bond, giving the product CH3CHO without an oxidant auxiliary 110
CH3CH2OH → CH3CHO
BP86 image file: c6ra16168e-u3.tif The methyl-substituted catalyst is able to incorporate the methyl acrylate monomer by coordinating with it through the π-system. The methyl acrylate insertion step may compete with olefin insertion. The steric effect exerted by the methyl group over the aryl ring, which in turn modifies steric congestion around the metal atom 111
B3LYP image file: c6ra16168e-u4.tif Four possible reaction paths are studied. The reaction barriers of rate-determining steps from amidines to benzimidazoles under Cu(OAc)2 catalysis are calculated to be 33.29 kcal mol−1 (path 1: N–H/C–H activation), 43.00 kcal mol−1 (path 2: C–H/Cu–H agostic activation), 33.48 kcal mol−1 (path 3: C–H/N–H activation by coordination of the imine moiety), and 30.21 kcal mol−1 (path 4: N–H/C–H activation), respectively 112
BP86 image file: c6ra16168e-u5.tif For alkyl-substituted terminal epoxides, the reaction is predominantly controlled by steric factors, whereas for the vinyloxirane and styrene oxide, electronic factors are more dominant. The CO2 insertion in the coordinated linear alkoxide complex is the rate-determining step 113
M05-2X image file: c6ra16168e-u6.tif The reaction catalyzed by ZnEt2 with the additive EtOH proceeds through a double gaddition stepwise mechanism. The active intermediate with a four-coordinated boron center is initially formed through proton transfer from EtOH to the ethyl group of ZnEt2 mediated by the boron center of pinacol allylboronates 114


Table 3 Examples for DFT calculation of the reactions catalyzed by the transition-metal complexes of 5th period
Functional Catalyst and catalyzed reaction Annotation Ref.
a mdt: 1,2-dimethyl-ethene-1,2-dithiolate.b L = PH2(CH2)4PH2.
B3LYP image file: c6ra16168e-u8.tif In the step of N–oxide bond cleavage in the presence of [Mo(OMe)(mdt)2]− of N-oxide reductase enzyme, oxygen atom is transferred from the nitro/aci-nitro group to the [Mo(OMe)(mdt)2]−. The estimated barrier for this step is found to be in the order of enamine > nitronic acid > imine 115
B3LYP image file: c6ra16168e-u9.tif Reaction is proposed to start with the Ru–alkyne–azide complex which has four possible configurations. Among these configurations, with the terminal alkynes, in the most preferred configuration, the azide binds to Ru from its secondary nitrogen and the alkyne substituent is directed away from the azide group. The barrier of the reaction may become insignificant if the relative population of its starting configuration is low 116
PW91 PhCH[double bond, length as m-dash]RuCl2(PCy3)2 The same simple models that efficiently describe the metathesis of simple substrates with a methylidene type catalyst cannot be used to describe the reaction of real systems. It is clear that the mechanism of metathesis with actual catalytic systems is complex if it is done with large substrates like 1-octene and that electronic effects cannot fully account for effects that are observed like the cis/trans isomerisation of the primary metathesis product 117
1-Octene → C2H4 + CH3(CH2)5CH[double bond, length as m-dash]CH(CH2)5CH3
B3LYP image file: c6ra16168e-u10.tif It undergoes the following steps: olefin addition and insertion into the RhOH bond, CO addition and insertion, hydrogen oxidative addition, aldehyde reductive elimination, and catalyst regeneration. The whole catalytic cycle is strongly exothermic and that the rate-limited step is an H2 oxidative addition 118
B3LYP image file: c6ra16168e-u11.tif The hydrogenation goes through association of [RheEt-BisP*]+ with α-acetamidoacrylonitrile generating enamide-catalyst adducts, oxidative addition of hydrogen leading to stable six-coordinate pseudo-octahedral dihydride complexes, migratory insertion of an olefin carbon into a RhOH bond resulting in five-coordinate alkyl hydrides, reductive elimination of the COH bond from the alkyl hydride leading to product–catalyst adducts, and dissociation of product–catalyst adducts generating the product with regeneration of the catalyst. The turnover-limiting step for the hydrogenation is the oxidative addition of hydrogen 119
B3LYP image file: c6ra16168e-u12.tif The reaction mechanism involving the vinylnitrene/palladium complex is energetically more favorable compared to the formation of the four-membered azapalladacyclobutene intermediate. The calculations indicate that the decarboxylation is the rate-determining step for the whole catalytic cycle with an overall barrier of 32.9 kcal mol−1 120
B3LYP image file: c6ra16168e-u13.tif The results obtained indicate the formation of trans ester isomer via palladium–hydride cycle, while palladium-amine mechanism is the key for the formation of gem isomer. The results prove the ligand simplification protocol to be non-valid in this type of investigation. The role of acetonitrile solvent in enhancing the yield and regioselectivity of the alkoxycarbonylation and aminocarbonylation reactions was mainly in improving the stability of catalytic intermediates 121
B3LYP image file: c6ra16168e-u14.tif The intermolecular diamination reaction mechanism involves the dissociation of ligand, which gives active catalyst, followed by two C–N bond formation between the carbon atom of diene and nitrogen atom of urea. The coupling of the terminal carbon atoms with nitrogen atom are kinetically favored than the coupling between β-C atoms and nitrogen atom. The transition states, which form the first C–N bond, are the rate-determining steps in the reaction. 122


Table 4 DFT calculation of the reactions catalyzed by the transition-metal complexes of 6th perioda
Functional Catalyst and catalyzed reaction Annotation Ref.
a image file: c6ra16168e-u21.tif.
B3PW91 image file: c6ra16168e-u15.tif The [Cp2*Eu(H)] initiator proceeds with inherently lower activation barriers for both the initial hydride-transfer step and the ring-opening second step. This is associated with the greater reorganization required in the BH4 complexes leading to kinetically slower processes for these latter systems 123
B3LYP image file: c6ra16168e-u16.tif Self-cycle processes of active structures with oxalic acid ligand are more energy favorable than those without oxalic acid ligand, which demonstrates that the oxalic acid ligand plays a very significant role in promoting the catalytic reaction 124
B3LYP image file: c6ra16168e-u17.tif The strong interaction between the N atom in the N(CH3)2Ph molecule and the Os atom weakens the interaction of the OsO4 species with styrene. This destabilizes the reactant complexes while inducing an increase of the electrophilic character of the resin-OsO4 species, and these two effects appear mainly responsible for the increased reactivity for the cycloaddition reactions 125
PBE image file: c6ra16168e-u18.tif The presence of a free coordination site in these square planar 16-electron platinum complexes enables alkene coordination in the first step without the energetically unfavorable preliminary dissociation of a metal–ligand bond. High strength of the –PR2O–H⋯O–PR2 hydrogen bond leads to formation of a bidentate ligand in the coordination sphere of the metal. The ligand makes the geometry of the catalytic center rigid, which enhances the regioselectivity of the process 126
B3LYP image file: c6ra16168e-u19.tif Initial carbocyclization is the rate-determining step, involving a moderate activation energy. The platinum(IV)cyclopentene intermediate formed in the cycloisomerization of allenynes trisubstituted at the allene moiety may evolve through two different pathways. There is a dependence on the orientation of the methyl group at the terminal allene carbon atom, which in turn simply depends upon the conformation of the initial reactant complex 127
M06L HPtNH2PPh3 The coordinatively unsaturated 14e T-shaped [Pt(NH2)(PPh3)H] species resulting from the dissociation of the dinuclear [{Pt(NH2)(μ-H)(PPh3)}2] complex are the active catalytic species. The oxidative addition of ammonia step, characterized by a relatively high activation barrier, corresponds to the turnover limiting step. The outer-sphere mechanism is more favored than the inner-sphere mechanism in the gas phase reactions and in dichloromethane solution 128
C2H4 + NH3 → C2H5NH2
BLYP image file: c6ra16168e-u20.tif The first step of the catalytic cycle is the cyclization of the carbonyl oxygen onto the triple bond to form a new and stable resonance structure of an oxonium ion and a carbocation intermediate. The key reaction step the catalytic cycle is the migration of the hydrogen atom to yield new organo–Au interme diates. The activation barriers of the rate-determining steps were recalculated using B3LYP and B1LYP and the activation barriers were 12.9 and 12.7 kcal mol−1, respectively 129



image file: c6ra16168e-f3.tif
Fig. 3 Energetic (ΔRG/kcal mol−1) and geometric profiles for the uncatalyzed (left) and CuCl-catalyzed (right) intramolecular cyclopropanation of iodonium ylides.

image file: c6ra16168e-f4.tif
Fig. 4 Energetic (ΔRG/kcal mol−1) and geometric profiles for the uncatalyzed (left) and Zn(NCO)2(NH3)2 catalyzed (right) ethanolysis of urea.

In addition to understanding the catalytic mechanism, investigation of the formation of isomers in the presence of a catalyst is important. As shown in Scheme 2, there are two possible pathways for the catalyzed cycloisomerization of the same reactant generating two isomers.132 The divide is the step following the coordination of Pt with the acetylenic bond. One of the pathways includes increased coordination of Pt with the olefinic bond at the other end of the reactant, and the other pathway removes an adjacent H atom. In fact, both the pathways could be regarded as electron donors moving toward the Pt atom. Parallel reactions during the identification of electron donors by Pt are impossible. Certainly, although the reaction may take different pathways, the reaction might also end with the same product, which was more common. Determining the complete reaction mechanism has always been a challenge for DFT (see, e.g., ref. 104 and 133). In Fig. 5, there are three potential pathways leading to the same product and the most probable pathway contained two intermediates and three transition states.133 While in this case, it was possible to calculate pathways with fewer or even without any intermediate, the barriers would usually be much greater.


image file: c6ra16168e-s2.tif
Scheme 2 Pathways proposed for the PtCl2 catalyzed cycloisomerization of 1,6-enynes.

image file: c6ra16168e-f5.tif
Fig. 5 Energetic (ΔRG/kcal mol−1) and geometric profiles for three pathways of [Ir(ItBu′)2]+ catalyzed dehydrogenation of NH3BH3.

The role of the metal center in the complex is always focused on; therefore, when sophisticated ligands are involved, some studies usually replace the sophisticated ligands with simplified ligands to reduce the calculation burden. However, it could be deduced that an influence of the ligands on the catalytic activity of the metal center must be significant because of different electronic and steric effects of diverse ligands. Munz and Strassner reported the CH functionalization of alkanes catalyzed by palladium coordinated with bis(N-heterocyclic carbene) (NHC).134 They calculated the overall Gibbs free energy of activation and the catalytic turnover for a series of palladium bis(NHC) catalysts. As shown in Fig. 6, the activation barriers become greater when the steric hindrance of the ligands increases overall. Meanwhile, less-electron-rich benzimidazolylidene catalysts display considerably lower activity than their imidazolylidene counterparts.


image file: c6ra16168e-f6.tif
Fig. 6 Catalytic activity and reaction barrier of a series of Pd–bis(NHC) complexes for the CH functionalization of alkanes.

In addition to the comparison among different complexes with the same metal centers, calculations of similar complexes but with different metal centers are also common and important. Yudanov used B3LYP to calculate the olefin epoxidation in the presence of several transition metal peroxo complexes.135 It was indicated that the reaction occurred by direct electrophilic transfer from one peroxo oxygen to the olefin at the transition state, and the cleavage of the O–O bond was triggered by the interaction between the π(C–C) HOMO of the olefin and the σ*(O–O) LUMO of the peroxo group. Moreover, W and Re peroxo complexes were the most active catalysts for the reaction, and the catalysis activation barriers of ethylene epoxidation decreased in the order Cr > Mo > W. Using the M06 functional, Liu et al. studied the selective alkylation of the CH[double bond, length as m-dash]N bond of α-diimine catalyzed by Sc, Y, and Lu complexes, respectively.136 It was indicated that the lowest barrier of rate-determining steps is set by the Y complex. Interestingly, the Sc complex, rather than the Y complex, was chosen by the author for further kinetics discussion, probably because the calculation involving Sc atom needs less computation time than that involving Y or Lu atoms. Wang et al. used B3LYP to calculate the aquation and nucleobase binding of Ru(II) and Os(II) arene complexes with purines, indicating that both Ru and Os complexes showed high discrimination between guanine and adenine, and the rate of aquation was very slow for the Os complex although its structure was similar to the Ru complex.137

In contrast to the aforementioned catalysts of metal complexes in which the active sites were primarily the metal cores, the activity on metal-centered enzymes occurred not only on the metal cores but also to a considerable extent on the ligands. Borowski et al. used B3LYP to study the catalytic mechanism of nonheme iron enzyme dependent on α-ketoglutarate. In fact, there were two coordinated H2O molecules in the initial state of the Fe(II)-centered enzyme, and the enzyme had no activity without replacing the H2O ligands with α-ketoglutarate.138 They also studied alkenyl migration catalyzed by extradiol dioxygenases.139 When the enzyme worked, one hydroxyl of the substrate would replace a ligand of the enzyme (referred to as His200+). However, the replaced His200+ was not removed from the system but instead was combined via a hydrogen bond; therefore the reaction was induced by and provided with an H atom from His200+.

All of the above discussions regarding the reaction pathways were based on the premise of an undisturbed ground state. DFT calculations inevitably must handle cases involving perturbations in the external field or excited states. Rodriguez et al. used B3LYP to study cyclotrimerization catalyzed by Cp*Co(CO)2 under microwave irradiation, indicating that the microwave irradiation could provide a strong internal magnetic-field perturbation that affected intersystem crossing in biradicals to improve the reactions.140 Starikova et al. used B3LYP to design a new spin-state switching mechanism of a series of Co(II), Ni(II), and Cu(II) complexes driven by ligand and induced by light.141 Generally, the electrons of the metal center in complexes were excited via direct photon absorption. However, the light would first induce the geometric transformation of the ligands and then force the metal center to change its electronic structure.

Note that even without any perturbation of the external field by light or magnetism, the reaction might also occur in the excited state. Such cases are difficult to be detected by experiments; however, they could be shown by the DFT calculations. Miłaczewska et al. studied the epoxidation catalyzed by (S)-2-hydroxypropylphosphonic acid epoxidase.142 They determined that an Fe(III)–O˙ species, i.e., the excited state of Fe(IV) = O, was generated when the O–O bond of the substrate was cleaved and such excited species were able to cleave the C–H bond of the substrate without any barrier. As a result, timely checking the spin multiplicities of the calculated system is strongly suggested when transition metal complexes are involved.

In DFT calculations of metal complexes, the B3-series hybrid functionals were the most popular because they can be applied to many cases. However, some researchers chose the paralleled calculation with several functionals or used other functionals instead of B3-series because of the potential defects of B3-series. In Johansson's paper,143 the author considered that dispersion interactions could not be described by the popular B3LYP functional, although such interactions were found to be important in the description of association or dissociation of ligands, substrates, and products with the catalyst. Thus, the dispersion-corrected B3LYP-D and M06 were chosen instead of the B3LYP functional.

In practice, there are some studies that still use ordinary functionals to describe weak interactions.144–146 For example, Kumar et al. attempted using B3LYP to study the weak interactions between furfuryl and the equatorial dioxime ligand in furfuryl(O2)Co(dmgH)2Py and the intermolecular hydrogen bonding along with X-ray and NMR and demonstrated that nonbonding interactions occur between the O atom in furfuryl and the methyl group in the dmgH ligand.144 Morsali used B3LYP to study the formation of a Pd(II) maleate complex. However, the distances between the Pd center and the chelating sites of maleate in some of the intermediates and transition states were obviously too long and even more than 7 Å.146 Therefore, ordinary functionals such as B3LYP are obviously not suitable for such systems.

As we mentioned in Chapter 2, the newer functionals developed in recent years always included dispersion corrections such as wB97XD. Thus, it was used instead of B3LYP in ref. 131. Moreover, if several functionals were used in parallel to calculate an identical reaction, their differences reflected in not only the energy values of certain geometries; but also the reaction pathways, i.e., some intermediates determined by one functional were likely not determined by another functional.147,148

3.3 Multinuclear metal complexes

Multinuclear metal complexes (MNMCs) contain two or more metal centers. Even if there is only one extra metal atom, the complexes would greatly differ in many aspects from the mononuclear metal complexes mentioned above, including their bonding patterns, modes of action, and the functionals suitable for calculating them.

In MNMCs, the spatial relationships among the metal cores could further be classified into metallic bonding and nonbonding. To some extent, the metallic nonbonding MNMCs could be seen as the aggregation of several mononuclear metal complexes. For instance, Castro et al. used B3PW91 to investigate the CO2 fixation to [(Me5Cp*)2Sm(III)], indicating that two molecules of the Sm complex would react with two CO2 molecules and yield a symmetrical dinuclear metallic complex in which the CO2 molecules are located in the middle of the product complex such that the two Sm atoms are separated without direct bonding interaction.149 Compared with such MNMCs, metallic bonding types are much more common.150,151 Ye et al. used B3LYP to study the reaction of [Cp*(CO)2W[triple bond, length as m-dash]GeC(SiH3)3] with ethanol and arylaldehydes.151 In this complex, the metal center electrons shifted from Ge toward W, generating an electrophilic Ge center for the substrates. In Zhu et al.'s study, two Zn atoms acted as the center of leucine aminopeptidase and bonded with each other.152 Using B3LYP, they calculated the peptide hydrolysis catalyzed by this enzyme, indicating that the activity of the Zn–Zn centered enzyme was higher than that of a Mg–Zn or Mg–Co centered enzyme. In their study, the functional M06L was also used to examine the accuracy of B3LYP.

Note that some researchers still choose B3-series hybrid functionals for calculations involving multimetals,153–155 although the number is decreasing. For example, Ribeiro et al. used B3LYP together with MPWB1K to study the catalytic process of protein phosphatase 5, which indicated that the energy value of this transition state was mostly insensitive to changes in the functionals, and the B3LYP-calculated energy was 1.2 kcal mol−1 lower than that of MPWB1K.156 It is well known that the B3LYP can underestimate the barrier because of its poor performance with regard to handling dispersion forces. Once the transition states involve weak interactions, the defect of B3LYP would appear, particularly when calculations involve biological molecules. However, there exist studies that used B3LYP to obtain higher barriers than those obtained by assisted functionals. Zhu et al. performed a comparative DFT study of B3LYP and M06 for deriving the olefin epoxidation catalyzed by binuclear complexes [SeO4WO(O2)2MO(O2)2]n (M = TiIV, VV, TaV, MoVI, WVI, TcVII, and ReVII), demonstrating that the activation barriers of different complexes decreased in the following order: WV > WTi > WTa > WMo > WW > WTc > WRe.157 Meanwhile, compared with the B3LYP results, the M06 functional slightly underestimated the energy barriers (Table 5).

Table 5 Activation barriers (ΔRG/kcal mol−1) of olefin epoxidations catalyzed by different binuclear complexes [SeO4WO(O2)2MO(O2)2]n
Barrier Functional TiW VW TaW MoW WW TcW ReW
1# B3LYP 37.91 40.17 36.95 34.30 31.79 25.82 22.53
M06 38.04 38.47 35.81 33.12 29.87 26.32 21.44
2# B3LYP 43.96 38.09 36.44 32.63 31.79 26.93 23.98
M06 42.42 36.29 34.49 30.29 29.87 23.18 22.27


Chen and Liao used B3LYP to study the catalysis of trinuclear (Zn–Zn with Mg) alkaline phosphatase,158 which indicated that the Zn–Zn center was able to stabilize the transition state and its bond length did not fluctuate during catalysis. These results differed from those calculated by the semiempirical method of AM1/d-PhoT, where the Zn–Zn distance significantly varied during the reaction. Pan et al. used B3LYP to investigate the catalytic effects of ZnEt2–H2O for alternating copolymerization of CO2 with propylene oxide and then used both BPW91 and M06 to test individual points.159 In their study, the catalytic species of C2H5(ZnO)4H, a tetranuclear Zn complex, was easily formed. In fact, such MNMCs should be classified as a metal cluster rather than a complex in the next chapter. Hence, B3LYP is still applicable, although it is often conditioned by its defects.

Some researchers applied other functionals instead of B3-series hybrid functionals for MNMCs.160 Lin et al. used the BPW91 functional to study the Rh2(O2CCH3)4 catalysis during the intramolecular amidation of carbamate, proposing two pathways by assuming singlet or triplet intermediates.161 Moreover, BPW91 was chosen because it referred to the singlet and triplet energy split of the intermediates calculated using different functionals. To verify whether the functional was suitable, Zampella et al. compared the calculated geometric parameters with the X-ray data and confirmed that BP86 performed better than B3LYP in calculating a [Fe2S2]-centered model of all-iron hydrogenases.162 Pankratyev et al. adopted both the PBE1PBE functional and MP2 method to study the transmetallation of [Cp2*ZrRCl-XAliBu2] (X = H, Cl, or iBu) and indicated that the geometric parameters calculated by the two methods were quite similar to each other.163 However, differences in the nonbonding lengths calculated using the two methods were slightly high. In fact, their viewpoint that the pure and hybrid functionals were the problematic choice to describe the energetic characteristics of bridged bonds was the reason they needed to use the ab initio MP2 to examine the results.

3.4 Performance of different functionals

Different Exc forms dictate the scope of the applications and the accuracy of different functionals. For example, there are many alternative functionals for calculating molecular behavior, in which B3-series hybrid functionals are especially preferred.164–166 There are several studies on the accuracy of functionals used in different systems, and newly developed functionals always need to clarify the defects of previous Exc forms and compare them in a series of calculated models. For example, in the paper illustrating the X3LYP functional, the author indicated that LDA led to significant overbinding and the B88 exchange functional led to unbound rare-gas dimers, while the PW91 exchange functional led to severely overbound rare-gas dimers.63 While most reviews exclusively focus on the functionals themselves, different functionals are usually compared within simple molecules formed by light elements because accurate experimental data are available.167–169 In these reviews, various molecular properties are compared, including molecular geometry (bond length and valence angle), energy (ionization potential, electron affinity, atomization energy, and bond energy), spectroscopy characteristics, thermochemistry, reaction dynamics, and weak interactions. However, in practice, all functionals must handle highly complex systems. Undoubtedly, most application studies only choose one functional for the calculation, in which case B3LYP is so frequently used that it is often abused.

Pan et al. used B3LYP, B3P86, B3PW91, M06, and O3LYP functionals to calculate the geometries of four zinc phenoxide complexes (Fig. 7).170 As shown in Table 6, the parameters calculated by all functionals are close to the experimental data, but M06 functional performs the best, followed by B3P86. B3LYP performs well only for the fourth complex, and this is probably because the complex contains more main group atoms (four phenyls) than the other three complexes. Krámos studied an active center model of human aromatase catalyzing the aromatization of an androstenedione model.171 In Table 7, all geometries are optimized by B3LYP. It is obvious that wB97XD always yields the lowest energies of the intermediates and the highest barriers, and B3LYP still tends to underestimate the barriers even with the dispersion correction. In Gajewy et al.'s study, B3LYP, PBE1PBE, and M06 were used to optimize all of the reaction pathways, and then M06 was used to uniformly calculate all of the individual points, rather than calculating only single points based on certain functional optimizing geometries.172 B3LYP provided the highest reaction barriers, while M06 gave the lowest relative energies of stable intermediates. Moreover, the results obtained with all the functionals were similar in terms of their optimized geometric parameters, whereas using M06 significantly increased the computation time.


image file: c6ra16168e-f7.tif
Fig. 7 Structural formulae of four zinc phenoxide complexes.
Table 6 Geometrical parameters of four zinc phenoxide complexes calculated by five DFT functionalsa
Complex Parameter Functional Exp.
B3LYP B3P86 B3PW91 M06 O3LYP
a Bond length is in angstrom; valence angle is in degree.
1 Zn–1O 1.904 1.908 1.901 1.914 1.921 1.885
1C–1O 1.339 1.332 1.333 1.327 1.334 1.330
1O–Zn–2O 137.1 134.9 137.6 136.6 131.6 134.5
1O–Zn–1N 103.9 103.3 103.7 107.1 104.1 104.8
1N–Zn–2N 104.6 114.4 104.6 102.2 111.1 102.2
1C–1O–Zn 132.5 127.8 131.0 120.1 132.1 136.5
2 Zn–1O 1.874 1.865 1.874 1.864 1.877 1.846
1C–1O 1.353 1.345 1.347 1.341 1.348 1.345
1O–Zn–2O 146.2 146.0 146.7 143.0 150.4 139.8
1O–Zn–3O 109.2 107.8 103.5 105.6 106.3 106.0
3O–Zn–4O 89.3 89.3 89.1 86.4 87.7 91.0
1C–1O–Zn 127.4 125.2 127.5 119.0 131.3 127.0
3 Zn–1O 1.899 1.887 1.893 1.863 1.900 1.873
1C–1O 1.345 1.344 1.344 1.335 1.346 1.348
1O–Zn–2O 143.9 144.8 144.4 143.2 143.8 142.9
1O–Zn–3O 102.5 102.3 102.2 102.5 101.2 101.1
3O–Zn–4O 95.6 95.4 95.6 89.0 94.6 100.3
1C–1O–Zn 131.4 129.0 130.1 134.2 134.9 134.2
4 Zn–1O 1.890 1.884 1.886 1.870 1.893 1.864
1C–1O 1.329 1.323 1.323 1.316 1.324 1.335
1O–Zn–2O 136.6 139.4 139.8 150.8 136.8 136.2
1O–Zn–3O 105.3 104.4 105.1 104.2 104.3 106.5
3O–Zn–4O 89.8 90.5 90.3 85.5 89.2 90.5
1C–1O–Zn 130.1 126.9 128.9 125.9 133.9 133.0.


Table 7 Relative energies (kcal mol−1) calculated by various functionals along the elementary reactionsa
Object Multiplicity Functional
CAM-B3LYP M06 TPSSH OLYP wB97XD
a Overall reaction: image file: c6ra16168e-u22.tif.
1 Doublet 0 0 0 0 0
1 Quartet 0.2 0.7 0.4 1.9 0.1
TS12 Doublet 2.1 3.4 3.7 4.3 8.5
TS12 Quartet 2.4 4.6 5.2 8.9 8.1
2 Doublet −25.6 −29.9 −22.7 −21.7 −25.2
2 Quartet −26.0 −30.3 −22.2 −19.2 −25.3
3 Doublet −62.0 −66.5 −50.0 −34.9 −72.0
3 Quartet −57.2 −67.5 −42.1 −37.9 −65.3
TS34 Doublet −42.0 −42.3 −30.9 −15.6 −44.5
TS34 Quartet −16.5 −26.0 −6.3 −15.8 −18.5
4 Doublet −99.2 −97.1 −89.7 −88.6 −103.7
4 Quartet −98.9 −105.2 −86.3 −89.5 −103.3
5 Doublet −92.6 −92.5 −79.6 −73.5 −97.7
5 Quartet −87.1 −93.2 −68.5 −69.5 −90.0
6 Doublet −18.6 −18.3 −16.8 −14.8 −18.9
6 Quartet −18.3 −17.3 −16.4 −12.7 −18.6
TS67 Doublet −1.1 −3.5 3.2 6.9 0.6
TS67 Quartet −0.5 −0.9 3.6 9.7 1.4
7 Doublet −9.8 −10.1 −10.2 −7.3 −13.3
7 Quartet −17.3 −22.9 −15.3 −11.6 −17.7


For the system containing metal atoms, the selection of functionals depends, to a great extent, on the number of metal atoms and the chemicals surrounding them. First, although hybrid functionals greatly improve the precision of the DFT calculation, GGA or meta-GGA pure functionals such as PW91 and PBE are still more appropriate for the calculation of MNMCs since both Ec and Ex are delocalized. Meanwhile, their long-range actions are opposite and offset each other, and the remaining local components are well described by LDA, GGA, and meta-GGA. The success of hybrid functionals is largely derived from the introduction of some H–F exchange ingredient that eliminates most of the self-interaction error; however, the delocalized Ec remains, in which case the LDA, GGA, and meta-GGA components of hybrid functionals are no longer good approximations. It is interesting that once the proportion of EHFx in hybrid functional decreases, the performance of the hybrid functional on the transition metals is improved. For instance, Siegbahn showed that the general accuracy of calculations involving transition metals may be improved when the proportion of EHFx in B3LYP decreased from 20% to 15%.173 Furthermore, for the calculation involving more than one transition metal atom, a fully local functional M06-L was developed by removing total H–F exchange from M06.174

Second, with regard to the systems involving MNMCs, the selection of functionals largely depends on the chemical surroundings of the metal centers. It is difficult to define which is the best functional for specific system, since the functionals for the calculation of metal complexes are too flexible to delimit their range of applicability. As shown in Table 8, satisfying all calculation terms of a functional with high accuracy is impossible. Thus, the selection of functionals depends on the terms that can be calculated. Note that the performance of some functionals with empirical parameters is largely related to the basis sets.

Table 8 Suggested focus items of some functionals
Focus item Functional
Thermodynamics of main group atoms, organometallics B3LYP, B3PW91 and M06
Reaction dynamics of main group atoms B3LYP, B3PW91 M06-2X, and M06
Reaction dynamics of inorganic/organometallics TPSS, M06-L, and M06
Binuclear metals PBE, BP86, TPSS, M06-L, and M06
Nuclear magnetic resonance M06-L, VSXC, OPBE, and PBE1PBE
Electronic circular dichroism spectroscopy B3LYP, and PBE1PBE
Two-photon adsorption CAM-B3LYP
Excitation of valence shell PBE1PBE, and M06-2X
Charge transfer, Rydberg excitation, adiabatic excitation wB97XD, CAM-B3LYP, and M06-2X
Polarizability, hyperpolarizability PBE1PBE, CAM-B3LYP, and HCTC
Gap of HOMO/LUMO HSE, and B3PW91
Weak interaction wB97XD, and M06


4 Future outlook

DFT calculations of metal complexes have been overall successful. However, DFT faces several challenges. First, the performance of DFT calculations is still somewhat unsteady. Although some calculations have been in close proximity or even an exact match to the experimental data, the calculations depend on the selected functionals and basis sets, and hence, fortune plays a major role. Second, many atypical chemical bonds exist in metal complexes that DFT cannot handle accurately. For example, owing to the localized nature of functionals, the dissociation process of ions having odd electrons is incorrectly described. Third, functionals without corrections for electronic self-interactions and the long-range asymptotic behavior of the potential function cannot describe weakly bound electrons well, e.g., anions, wherein errors resulting from the self-interaction of diffused electrons are larger than the bonding energy. Fourth, the calculation of different spin multiplicities is barely satisfactory. The energy values of degenerate orbitals, which should be similar to one another, differ when calculated by DFT; thus, it is often difficult to confirm the ground state of a system. Nevertheless, such a problem is prominent for transition metals with partially filled d-orbitals. Moreover, the d electrons always rearrange in metal complexes during the reaction.

The imprecise Exc form causes the abovementioned problems. There are basically two methods of solving these problems. In consideration of existing functionals that have yielded good results, the first method is to involve more parameters into the functionals and optimize the parameters referring to more experimental data, such as the functional VSXC, containing 21 parameters, and the famous B3LYP. The second method is to design more accurate forms of Exc without catering to experimental data and fix their parameters by fitting more potential factors, exactly like PBE and TPSS. In the future, the two abovementioned methods will probably coexist for a long time. The advantages of the first method include the shorter periods to develop the functionals and to perfect the results of analogous systems. This method is semiempirical to a certain degree and not helpful for further development of DFT; moreover, the results are unpredictable when the functional is used for a heterologous system. The second method enhances the DFT performance. Functionals without any empirical parameters can be more generally used and can obtain universal accuracy. However, development of these functionals is extremely time intensive.

Although DFT calculations involving only electron density gradients as the variables are expected and continue to be explored, DFT calculations still cannot be performed without the concept of orbitals. To obtain operability, DFT is developed from the original H–K theorem to the K–S theory by introducing the concept of orbitals. Hybrid functionals further calculate the exact H–F exchange energy to obtain accurate results. Now, double hybrid methods have been developed (the fifth rung of Jacob's ladder), such as B2PLYP, mPW2PLYP, and XYG3. The method combines exact H–F exchange energy with an MP2-like correlation to the DFT calculation, causing the calculation method to appear more like an ab initio method rather than DFT. As a result, the accuracy of the calculation is enhanced, but the computational cost is as high as that of the CCSD method. Thus, the advantage of having a low computational cost for DFT is completely lost.

Acknowledgements

This work was supported by Japan Society for the Promotion of Science (JSPS) for Grant-in-Aid for Scientific Research A (Grant Number 26249120), and China Scholarship Council (Grant Number 201406420035 and 201406420041).

References

  1. C. D. Sherrill, Frontiers in electronic structure theory, J. Chem. Phys., 2010, 132, 110902 CrossRef PubMed.
  2. F. Neese, Prediction of molecular properties and molecular spectroscopy with density functional theory: From fundamental theory to exchange-coupling, Coord. Chem. Rev., 2009, 253, 526–563 CrossRef CAS.
  3. H. Hu and W. T. Yang, Free energies of chemical reactions in solution and in enzymes with ab initio QM/MM methods, Annu. Rev. Phys. Chem., 2008, 59, 573–601 CrossRef CAS PubMed.
  4. B. Santra, A. Michaelides and M. Fuchs, On the accuracy of density-functional theory exchange-correlation functionals for H bonds in small water clusters. II. The water hexamer and van der Waals interactions, Chem. Phys., 2008, 129, 194111 Search PubMed.
  5. T. Ziegler and J. Autschbach, Theoretical Methods of Potential Use for Studies of Inorganic Reaction Mechanisms, Chem. Rev., 2005, 105, 2695–2722 CrossRef CAS PubMed.
  6. L. Andrews and A. Citra, Infrared Spectra and Density Functional Theory Calculations on Transition Metal Nitrosyls. Vibrational Frequencies of Unsaturated Transition Metal Nitrosyls, Chem. Rev., 2002, 102, 885–912 CrossRef CAS PubMed.
  7. H. Chermette, Density functional theory a powerful tool for theoretical studies in coordination chemistry, Coord. Chem. Rev., 1998, 178, 699–721 CrossRef.
  8. E. J. Baerends and O. V. J. Gritsenko, A Quantum Chemical View of Density Functional Theory, J. Phys. Chem. A, 1997, 101, 5383–5403 CrossRef CAS.
  9. W. Kohn, A. D. Becke and R. G. Parr, Density Functional Theory of Electronic Structure, J. Phys. Chem., 1996, 100, 12974–12980 CrossRef CAS.
  10. L. H. Thomas, Mathematical Proceedings of the Cambridge Philosophical Society, Math. Proc. Cambridge Philos. Soc., 1927, 23, 542–548 CrossRef CAS.
  11. E. H. Lieb and B. Simon, The Thomas-Fermi Theory of Atoms, Molecules and Solids, Adv. Math., 1977, 23, 22–116 CrossRef.
  12. W. Kohn and L. J. Sham, Self-Consistent Equations Including Exchange and Correlation Effects, Phys. Rev., 1965, 140, 1133–1138 CrossRef.
  13. A. D. Becke, Perspective: Fifty years of density-functional theory in chemical physics, J. Chem. Phys., 2014, 140, 18A301 CrossRef PubMed.
  14. W. Kohn and C. D. Sherrill, Editorial: Reflections on fifty years of density functional theory, J. Chem. Phys., 2014, 140, 18A201 CrossRef PubMed.
  15. K. Burke, Perspective on density functional theory, J. Chem. Phys., 2012, 136, 150901 CrossRef PubMed.
  16. F. Marchetti, R. Pettinari and C. Pettinari, Recent advances in acylpyrazolone metal complexes and their potential applications, Coord. Chem. Rev., 2015, 303, 1–31 CrossRef CAS.
  17. T. A. Tolentino, A. C. Bertoli and M. D. S. Pires, Applications in environmental bioinorganic: Nutritional and ultrastructural evaluation and calculus of thermodynamic and structural properties of metal-oxalate complexes, Spectrochim. Acta, Part A, 2015, 150, 750–757 CrossRef CAS PubMed.
  18. A. A. Martí, Metal complexes and time-resolved photoluminescence spectroscopy for sensing applications, J. Photochem. Photobiol., A, 2015, 307–308, 35–47 CrossRef.
  19. S. C. Turmanova, I. V. Dimitrov, E. D. Ivanova and K. G. Vassilev, Complexes of hybrid copolymers with heavy metals: preparation, properties and application as catalysts for oxidation, Polym. Bull., 2015, 72, 1301–1317 CrossRef CAS.
  20. I. Turel, Special Issue: Practical Applications of Metal Complexes, Molecules, 2015, 20, 7951–7956 CrossRef CAS PubMed.
  21. Y. Chi, B. Tong and P. T. Chou, Metal complexes with pyridyl azolates: Design, preparation and Applications, Coord. Chem. Rev., 2014, 281, 1–25 CrossRef CAS.
  22. A. Bagheri Gh, Thermodynamic studies of metal complexes of tetracycline and their application in drug analysis, Pharm. Chem. J., 2014, 48, 483–487 CrossRef CAS.
  23. J. Zhou, X. G. Yu and X. L. Jin, Novel carbazole-based main chain polymeric metal complexes containing complexes of phenanthroline with Zn(II) or Cd(II): Synthesis, characterization and photovoltaic application in DSSCs, J. Mol. Struct., 2014, 1058, 14–21 CrossRef CAS.
  24. C. S. Dilip, V. S. Kumar and S. J. Venison, Synthesis, structural characterisation, bio-potential efficiency and DNA cleavage applications of nicotinamide metal complexes, J. Mol. Struct., 2013, 1040, 192–205 CrossRef.
  25. P. Paul and S. Bhattacharya, Organometallic complexes of the platinum metals: Synthesis, structure, and catalytic applications, J. Chem. Sci., 2012, 124, 1165–1173 CrossRef CAS.
  26. E. S. Kryachko and E. V. Ludeña, Density functional theory: Foundations reviewed, Phys. Rep., 2014, 544, 123–239 CrossRef CAS.
  27. E. H. Lieb, Density Functionals for Coulomb Systems, Int. J. Quantum Chem., 1983, 24, 243–277 CrossRef CAS.
  28. I. Lindgren and S. Salomonson, Brueckner Orbitals and Density-Functional Theory, Int. J. Quantum Chem., 2002, 90, 294–308 CrossRef CAS.
  29. P. Geerlings, F. Proft and W. Langenaeker, Conceptual Density Functional Theory, Chem. Rev., 2003, 103, 1793–1873 CrossRef CAS PubMed.
  30. K. Capelle and V. L. Campo Jr, Density functionals and model Hamiltonians: Pillars of many-particle physics, Phys. Rep., 2013, 528, 91–159 CrossRef CAS.
  31. A. Görling, Orbital- and state-dependent functionals in density-functional theory, J. Chem. Phys., 2005, 123, 062203 CrossRef PubMed.
  32. P. W. Ayers, S. Golden and M. Levy, Generalizations of the Hohenberg-Kohn theorem: I. Legendre Transform Constructions of Variational Principles for Density Matrices and Electron Distribution Functions, J. Chem. Phys., 2006, 124, 054101 CrossRef PubMed.
  33. W. Kutzelnigg, Density functional theory in terms of a Legendre transformation for beginners, J. Mol. Struct.: THEOCHEM, 2006, 768, 163–173 CrossRef CAS.
  34. J. J. P. Stewart, MOPAC: A semiempirical molecular orbital program, J. Comput.-Aided Mol. Des., 1990, 4, 1–105 CrossRef CAS PubMed.
  35. O. Bokanowski, New N-representability results with symmetry in molecular quantum chemistry, J. Math. Chem., 1999, 26, 271–296 CrossRef.
  36. X. Y. Pan and V. Sahni, Hohenberg-Kohn theorems in electrostatic and uniform magnetostatic fields, J. Chem. Phys., 2015, 143, 174105 CrossRef PubMed.
  37. A. Laestadius and M. Benedicks, Hohenberg-Kohn Theorems in the Presence of Magnetic Field, Int. J. Quantum Chem., 2014, 114, 782–795 CrossRef CAS.
  38. D. K. Romney and S. J. Miller, Climbing Jacob's ladder, Science, 2015, 347, 829 CrossRef PubMed.
  39. A. J. Cohen, P. Mori-Sánchez and W. Yang, Challenges for Density Functional Theory, Chem. Rev., 2012, 112, 289–320 CrossRef CAS PubMed.
  40. J. Nemeth and D. Vautherin, Study of finite nuclei in the local density approximation, Phys. Lett. B, 1970, 32, 561–564 CrossRef CAS.
  41. D. M. Ceperley, Ground State of the Electron Gas by a Stochastic Method, Phys. Rev. Lett., 1980, 45, 566–569 CrossRef CAS.
  42. S. J. Vosko, L. Wilk and M. Nusair, Accurate spin-dependent electron liquid correlation energiesfor local spin density calculations: a critical analysis, Can. J. Phys., 1980, 58, 1200–1211 CrossRef CAS.
  43. J. P. Perdew and Y. Wang, Accurate and simple analytic representation of the electron-gas correlation energy, Phys. Rev. B: Condens. Matter Mater. Phys., 1992, 45, 13244–13249 CrossRef.
  44. A. D. Becke, Density-fnnctional exchange-energy approximation with correct asymptotic behavior, Phys. Rev. A, 1988, 38, 3098–3100 CrossRef CAS.
  45. J. P. Perdew and Y. Wang, Accurate and simple density functional for the electronic exchange energy: Generalized gradient approximation, Phys. Rev. B: Condens. Matter Mater. Phys., 1986, 33, 8800–8802 CrossRef.
  46. J. P. Perdew, J. A. Chevary and S. H. Vosko, Atoms, molecules, solids, and surfaces: Applications of the generalized gradient approximation for exchange and correlation, Phys. Rev. B: Condens. Matter Mater. Phys., 1992, 46, 6671–6687 CrossRef CAS.
  47. J. P. Perdew, K. Burke and M. Ernzerhof, Generalized Gradient Approximation Made Simple, Phys. Rev. Lett., 1996, 77, 3865–3868 CrossRef CAS PubMed.
  48. J. P. Perdew, Density-functional approximation for the correlation energy of the inhomogeneous electron gas, Phys. Rev. B: Condens. Matter Mater. Phys., 1986, 33, 8822–8824 CrossRef.
  49. C. Lee, W. Yang and R. G. Parr, Development of the Colic-Salvetti correlation-energy formula into a functional of the electron density, Phys. Rev. B: Condens. Matter Mater. Phys., 1988, 37, 785–789 CrossRef CAS.
  50. B. Miehlich, A. Savin, H. Stoll and H. Preuss, Results obtained with the correlation energy density functionals of Becke and Lee, Yang and Parr, Chem. Phys. Lett., 1989, 157, 200–206 CrossRef CAS.
  51. A. D. Becke and M. R. Roussel, Exchange holes in inhomogeneous systems: A coordinate-space model, Phys. Rev. A, 1989, 39, 3761–3767 CrossRef CAS.
  52. A. D. Becke, Simulation of delocalized exchange by local density functionals, J. Chem. Phys., 2000, 112, 4020–4026 CrossRef CAS.
  53. A. D. Becke, Density-functional thermochemistry. IV. A new dynamical correlation functional and implications for exact-exchange mixing, J. Chem. Phys., 1996, 104, 1040–1046 CrossRef CAS.
  54. T. V. Voorhis and G. E. Scuseria, A novel form for the exchange-correlation energy functional, J. Chem. Phys., 1998, 109, 400–410 CrossRef.
  55. J. Tao, J. P. Perdew and V. N. Staroverov, Climbing the Density Functional Ladder: Nonempirical Meta-Generalized Gradient Approximation Designed for Molecules and Solids, Phys. Rev. Lett., 2003, 91, 146401 CrossRef PubMed.
  56. A. D. Becke, A new mixing of Hartree-Fock and local density-functional theories, J. Chem. Phys., 1993, 98, 1372–1377 CrossRef CAS.
  57. A. D. Becke, Perspective on “Density functional thermochemistry. III. The role of exact exchange”, Theor. Chem. Acc., 2000, 103, 361–363 CrossRef.
  58. A. D. Becke, Density-functional thermochemistry. III. The role of exact exchange, J. Chem. Phys., 1993, 98, 5648–5652 CrossRef CAS.
  59. C. Adamo and V. Barone, Toward reliable adiabatic connection models free from adjustable parameters, Chem. Phys. Lett., 1997, 274, 242–250 CrossRef CAS.
  60. M. F. Peintinger, D. V. Oliveira and T. Bredow, Consistent Gaussian Basis Sets of Triple-Zeta Valence with Polarization Quality for Solid-State Calculations, Comput. Chem., 2013, 34, 451–459 CrossRef CAS PubMed.
  61. C. Adamo and V. Barone, Exchange functionals with improved long-range behavior and adiabatic connection methods without adjustable parameters: The m PW and m PW1PW models, J. Chem. Phys., 1998, 108, 664–675 CrossRef CAS.
  62. J. Baker and P. Pulay, Assessment of the OLYP and O3LYP Density Functionals for First-Row Transition Metals, J. Comput. Chem., 2003, 24, 1184–1191 CrossRef CAS PubMed.
  63. X. Xu and W. A. Goddard, The X3LYP extended density functional for accurate descriptions of nonbond interactions, spin states, and thermochemical properties, Proc. Natl. Acad. Sci. U. S. A., 2004, 101, 2673–2677 CrossRef CAS PubMed.
  64. J. Tao, J. P. Perdew, V. N. Staroverov and G. E. Scuseria, Climbing the Density Functional Ladder: Non-Empirical Meta-Generalized Gradient Approximation Designed for Molecules and Solids, Phys. Rev. Lett., 2003, 91, 146401 CrossRef PubMed.
  65. M. Ernzerhof and J. P. Perdew, Generalized gradient approximation to the angle- and system-averaged exchange hole, J. Chem. Phys., 1998, 109, 3313–3320 CrossRef CAS.
  66. Y. Zhao, N. E. Schultz and D. G. Truhlar, Exchange-correlation functional with broad accuracy for metallic and nonmetallic compounds, kinetics, and noncovalent interactions, J. Chem. Phys., 2005, 123, 161103 CrossRef PubMed.
  67. Y. Zhao and D. G. Truhlar, The M06 suite of density functionals for main group thermochemistry, thermochemical kinetics, noncovalent interactions, excited states, and transition elements: two new functionals and systematic testing of four M06-class functionals and 12 other functionals, Theor. Chem. Acc., 2008, 120, 215–241 CrossRef CAS.
  68. T. Yanai, D. P. Tew and N. C. Handy, A new hybrid exchange-correlation functional using the Coulomb-attenuating method (CAM-B3LYP), Chem. Phys. Lett., 2004, 393, 51–57 CrossRef CAS.
  69. H. Iikura, T. Tsuneda, T. Yanai and K. Hirao, A long-range correction scheme for generalized-gradient-approximation exchange functionals, J. Chem. Phys., 2001, 115, 3540–3544 CrossRef CAS.
  70. Y. Tawada, T. Tsuneda, S. Yanagisawa, T. Yanai and K. Hirao, A long-range-corrected time-dependent density functional theory, J. Chem. Phys., 2004, 120, 8425–8433 CrossRef CAS PubMed.
  71. S. Grimme, Accurate Description of van der Waals Complexes by Density Functional Theory Including Empirical Corrections, J. Comput. Chem., 2004, 25, 1463–1473 CrossRef CAS PubMed.
  72. S. Grimme, Semiempirical GGA-Type Density Functional Constructed with a Long-Range Dispersion Correction, J. Comput. Chem., 2006, 27, 1787–1799 CrossRef CAS PubMed.
  73. S. Grimme, J. Antony, S. Ehrlich and H. Krieg, A consistent and accurate ab initio parametrization of density functional dispersion correction (DFT-D) for the 94 elements H-Pu, J. Chem. Phys., 2010, 132, 154104 CrossRef PubMed.
  74. N. N. Andriichenko and A. Y. Ermilov, Using the DFT-D Method to Describe Dispersion Interactions in Systems of Weakly-Bonded Xe-Aromatic Molecules, Russ. J. Phys. Chem. A, 2013, 87, 1342–1348 CrossRef CAS.
  75. S. Grimme, S. Ehrilich and L. Goerigk, Effect of the Damping Function in Dispersion Corrected Density Functional Theory, J. Comput. Chem., 2011, 32, 1456–1465 CrossRef CAS PubMed.
  76. J. D. Chai and M. H. Gordon, Long-range corrected hybrid density functionals with damped atom-atom dispersion corrections, Phys. Chem. Chem. Phys., 2008, 10, 6615–6620 RSC.
  77. L. R. Domingo, M. J. Aurell, R. Jalal and M. Esseffar, A DFT study of the role of the Mg complex formation on the mechanism of the 1,3-dipolar cycloadditions of benzonitrile oxides with acryloylpyrazolidinone, J. Mol. Struct.: THEOCHEM, 2010, 942, 26–31 CrossRef CAS.
  78. V. Butera, N. Russo and E. Sicilia, Hydrogen Release from Dialkylamine-Boranes Promoted by Mg and Ca Complexes: A DFT Analysis of the Reaction Mechanism, Chem.–Eur. J., 2014, 20, 5967–5976 CrossRef CAS PubMed.
  79. M. Arnó, M. T. Picher, L. R. Domingo and J. Andrés, Understanding the Nature of the Molecular Mechanisms Associated with the Competitive Lewis Acid Catalyzed [4+2] and [4+3] Cycloadditions between Arylidenoxazolone Systems and Cyclopentadiene: A DFT Analysis, Chem.–Eur. J., 2004, 10, 4742–4749 CrossRef PubMed.
  80. T. Kimura and T. Satoh, Mechanism of magnesium carbenoid 1,3-C-H insertion: a DFT study, J. Phys. Org. Chem., 2015, 28, 509–512 CrossRef CAS.
  81. K. Kwapien and E. Broclawik, Interaction of FeO+ Cation With Benzene, Aniline, and 3-Methylaniline: DFT Study of Oxygen Insertion Mechanism, Int. J. Quantum Chem., 2008, 108, 2016–2022 CrossRef CAS.
  82. B. F. Straub, I. Gruber, F. Rominger and P. Hofmann, Mechanism of copper(I)-catalyzed cyclopropanation: a DFT study calibrated with copper(I) alkene complexes, J. Org. Chem., 2003, 684, 124–143 CrossRef CAS.
  83. G. Giammarino and V. Villani, Termination Mechanisms via H-Transfer for Polyolefin Living Catalysis at DFT Level, Macromol. Theory Simul., 2014, 23, 365–368 CrossRef CAS.
  84. G. Liu, L. Zheng and M. Shao, A six-coordinated cationic ruthenium carbyne complex with liable pyridine ligands: synthesis, structure, catalytic investigation, and DFT study on initiation mechanism, Tetrahedron, 2014, 70, 4718–4725 CrossRef CAS.
  85. K. Pal and S. Sarkar, The Role of Axial Ligation in Nitrate Reductase: A Model Study by DFT Calculations on the Mechanism of Nitrate Reduction, Eur. J. Inorg. Chem., 2008, 34, 5338–5349 CrossRef.
  86. Y. Ishikawa, K. Kawakami, H. Teraguchi and H. Nakazawa, DFT studies of gas-phase reaction mechanism of coordinatively unsaturated W(CO)5 with NO, Chem. Phys. Lett., 2007, 436, 346–351 CrossRef CAS.
  87. M. Š. Ristović, M. G. Pavlović and M. Zlatar, Kinetics, mechanism, and DFT calculations of thermal degradation of a Zn(II) complex with N-benzyloxycarbonylglycinato ligands, Monatsh. Chem., 2012, 143, 1133–1139 CrossRef.
  88. W. Sicking, H. Somnitz and C. Schmuck, DFT Calculations Suggest a New Type of Self-Protection and Self-Inhibition Mechanism in the Mammalian Heme Enzyme Myeloperoxidase: Nucleophilic Addition of a Functional Water rather than One-Electron Reduction, Chem.–Eur. J., 2012, 18, 10937–10948 CrossRef CAS PubMed.
  89. R. Prabhakar, K. Morokuma and D. G. Musaev, A DFT Study of the Mechanism of Ni Superoxide Dismutase (NiSOD): Role of the Active Site Cysteine-6 Residue in the Oxidative Half-Reaction, J. Comput. Chem., 2006, 27, 1438–1445 CrossRef CAS PubMed.
  90. X. Zhao, S. Liu, Y. Li and M. Chen, DFT study of chemical mechanism of pre-SERS spectra in Pyrazine-metal complex and metal-Pyrazine-metal junction, Spectrochim. Acta, Part A, 2010, 75, 794–798 CrossRef PubMed.
  91. J. C. Chen, L. M. Chen and S. Y. Liao, A DFT study on the hydrolysis mechanism of the potential antitumor Ru(III) complex TzNAMI, J. Mol. Struct.: THEOCHEM, 2009, 901, 137–144 CrossRef CAS.
  92. J. Liu, J. Ling, X. Li and Z. Shen, Monomer insertion mechanism of ring-opening polymerization of ε-caprolactone with yttrium alkoxide intermediate: A DFT study, J. Mol. Catal. A: Chem., 2009, 300, 59–64 CrossRef CAS.
  93. S. Banerjee, P. S. Sengupta and A. K. Mukherjee, trans-Platinum anticancer drug AMD443: A detailed theoretical study by DFT-TST method on the hydrolysis mechanism, Chem. Phys. Lett., 2010, 497, 142–148 CrossRef CAS.
  94. S. Banerjee, P. S. Sengupta and A. K. Mukherjee, A detailed theoretical DFT study of the hydrolysis mechanism of orally active anticancer drug ZD0473, Chem. Phys. Lett., 2010, 487, 108–115 CrossRef CAS.
  95. J. Ning, Z. Shang and X. Xu, How Does the Hemilabile Group in Ruthenium-Cp* Picolyl-NHC Complexes Affect the Mechanism of Transfer Hydrogenation Reaction? A DFT Study, Catal. Lett., 2015, 145, 1331–1343 CrossRef CAS.
  96. X. H. Zhang, Z. Y. Geng, T. Niu and K. T. Wang, A DFT study on the mechanism of palladium-catalyzed divergent reactions of 1,6-enyne carbonates, J. Chem. Sci., 2015, 127, 547–556 CrossRef CAS.
  97. Q. Cao, F. Q. Bai and J. Wang, Phosphorescent Ir(III) complexes bearing the unique PPh2 unit: The electronic structures, optical properties and phosphorescence mechanism from TD-DFT investigation, Comput. Theor. Chem., 2012, 979, 82–88 CrossRef CAS.
  98. J. C. Chen, L. M. Chen, S. Y. Liao, K. C. Zheng and L. N. Ji, A DFT Study on the Hydrolysis Mechanism of NH-Tautomeric Antitumors of [HL][trans-RuCl4L(dmso-S)], Int. J. Quantum Chem., 2010, 110, 1252–1263 CAS.
  99. S. Bi, S. Zhu, Z. Zhang and Z. Yuan, Reaction mechanisms of Cp-containing silene complexes toward H2: A DFT study, J. Organomet. Chem., 2007, 692, 3454–3460 CrossRef CAS.
  100. S. Bi, X. Kong, Y. Zhao, X. Zhao and Q. Xie, Detailed mechanisms on insertion of cis-2-butene into the Zr-H bond of Cp2ZrH2: A DFT study, J. Organomet. Chem., 2008, 693, 2052–2060 CrossRef CAS.
  101. S. Otto, A. Chanda, P. V. Samuleev and A. D. Ryabov, DFT-Verified Crystallographic Mechanism of Cycloplatination, Eur. J. Inorg. Chem., 2006, 13, 2561–2565 CrossRef.
  102. L. Gracia, J. Andrés, A. Beltrán and J. R. Sambrano, DFT study on the water-assisted mechanism for the reaction between VO+ and NH3 to yield VNH+ and H2O, Chem. Phys. Lett., 2006, 427, 265–270 CrossRef CAS.
  103. M. J. La, Y. C. Wang and C. L. Wang, The DFT study on C-C activation of butanone by Ni+ in gas phase: Two parallel decomposition reaction mechanisms, Comput. Theor. Chem., 2012, 979, 128–134 CrossRef CAS.
  104. J. Niu, J. Ran, R. Wang and X. Du, Mechanism of methylene oxidation on Pt catalysts: A DFT study, Comput. Theor. Chem., 2015, 1067, 40–47 CrossRef CAS.
  105. N. Biswas, S. Thomas, A. Sarkar, T. Mukherjee and S. Kapoor, Probing the adsorption mechanism in thiamazole bound to the silver surface with Surface-enhanced Raman Scattering and DFT, Chem. Phys. Lett., 2009, 479, 248–254 CrossRef CAS.
  106. T. H. Li and X. G. Xie, A DFT study on the mechanisms for gas phase reaction of yttrium with propene, J. Phys. Org. Chem., 2010, 23, 768–775 CAS.
  107. C. Műller, R. Koch and S. Doye, Mechanism of the Intramolecular Hydroamination of Alkenes Catalyzed by Neutral Indenyltitanium Complexes: A DFT Study, Chem.–Eur. J., 2008, 14, 10430–10436 CrossRef PubMed.
  108. Z. Zhang, W. Li, J. Liu, X. Chen and Y. Bu, DFT studies on the mechanism of the conversion of thiols into disulfides and dihydrogen catalyzed by CpMn(CO)3 complex, J. Organomet. Chem., 2012, 706–707, 89–98 CrossRef CAS.
  109. Q. Ren, F. Jiang and H. Gong, DFT study of the single electron transfer mechanisms in Ni-Catalyzed reductive cross-coupling of aryl bromide and alkyl bromide, J. Organomet. Chem., 2014, 770, 130–135 CrossRef CAS.
  110. L. Cheng, J. Li, J. Li, H. Zheng and Z. Wu, DFT Studies on the Mechanism of Alcohol Oxidation Catalyzed by the NiIII/bipy Complex, Eur. J. Inorg. Chem., 2012, 14, 2353–2358 CrossRef.
  111. J. Ramos, S. Martίnez and V. L. Cruz, A Curtin-Hammett mechanism for the copolymerization of ethylene and methyl acrylate monomer using a PymNox nickel catalyst as revealed by DFT computational studies, J. Mol. Model., 2012, 18, 515–523 CrossRef CAS PubMed.
  112. G. Y. Ruan, Y. Zhang and Z. H. Qi, The mechanism of Cu-catalyzed C-N cyclization from N-phenylbenzamidine to 2-phenylbenzimidazole: A DFT study, Comput. Theor. Chem., 2015, 1054, 16–21 CrossRef CAS.
  113. F. C. Gómez, G. Salassa, A. W. Kleij and C. Bo, A DFT Study on the Mechanism of the Cycloaddition Reaction of CO2 to Epoxides Catalyzed by Zn(Salphen) Complexes, Chem.–Eur. J., 2013, 19, 6289–6298 CrossRef PubMed.
  114. W. Li, Z. Su and C. Hu, Mechanism of Ketone Allylation with Allylboronates as Catalyzed by Zinc Compounds: A DFT Study, Chem.–Eur. J., 2013, 19, 124–134 CrossRef CAS PubMed.
  115. D. K. Dhaked and P. V. Bharatam, DFT study on the oxygen transfer mechanism in nitroethenediamine based H2-receptor antagonists using the bis-dithiolene complex as the model catalyst for N-oxide reductase enzyme, J. Inorg. Biochem., 2015, 142, 84–91 CrossRef CAS PubMed.
  116. E. Boz and N. Ş, Tűzűn, Reaction mechanism of ruthenium-catalyzed azideealkyne cycloaddition reaction: A DFT study, J. Organomet. Chem., 2013, 724, 167–176 CrossRef CAS.
  117. M. Jordaan, P. V. Helden, C. G. C. E. V. Sittert and H. C. M. Vosloo, Experimental and DFT investigation of the 1-octene metathesis reaction mechanism with the Grubbs 1 precatalyst, J. Mol. Catal. A: Chem., 2006, 254, 145–154 CrossRef CAS.
  118. X. Luo, D. Tang and M. Li, Revealing the Mechanism of Rh(I)-Catalyzed Hydroformylation of 4-Pyridylethene Derivatives: DFT Study, Int. J. Quantum Chem., 2006, 106, 1844–1852 CrossRef CAS.
  119. M. Li, D. Tang, X. Luo and W. Shen, Mechanism of Asymmetric Hydrogenation of Enamides with [Rh(BisP*)]+ Catalyst: Model DFT Study, Int. J. Quantum Chem., 2005, 102, 53–63 CrossRef CAS.
  120. H. Xie, F. Lin and L. Yang, A DFT study on palladium-catalyzed decarboxylative intramolecular aziridination reaction mechanism, J. Organomet. Chem., 2013, 745-746, 417–422 CrossRef CAS.
  121. R. Suleiman, A. Ibdah and B. E. Ali, A DFT study of the mechanism of palladium-catalyzed alkoxycarbonylation and aminocarbonylation of alkynes: Hydride versus amine pathways, J. Organomet. Chem., 2011, 696, 2355–2363 CrossRef CAS.
  122. Y. Yu, W. Shen, J. Zhang, R. He and M. Li, DFT studies on the mechanism of Pd(II)-catalyzed intermolecular 1,2-diamination of conjugated dienes, J. Phys. Org. Chem., 2008, 21, 979–987 CrossRef CAS.
  123. N. Barros, P. Mountford, S. M. Guillaume and L. Maron, A DFT Study of the Mechanism of Polymerization of ε-Caprolactone Initiated by Organolanthanide Borohydride Complexes, Chem.–Eur. J., 2008, 14, 5507–5518 CrossRef CAS PubMed.
  124. P. Jin, D. Wei and Y. Wen, A combined experimental and DFT study of active structures and self-cycle mechanisms of mononuclear tungsten peroxo complexes in oxidation reactions, J. Mol. Struct., 2011, 992, 19–26 CrossRef CAS.
  125. X. H. Zhang, K. T. Wang and R. Fang, Cycloaddition mechanism for the resin-OsO4-catalyzed of styrene: A DFT study, Sci. China, Ser. B: Chem., 2008, 51, 19–24 CrossRef CAS.
  126. Y. A. Ustynyuk, Y. V. Babin and V. G. Savchenko, Mechanism of ethylene hydroformylation on platinum complexes with hydrophosphoryl ligands: a DFT study, Russ. Chem. Bull., 2010, 59, 686–694 CrossRef CAS.
  127. E. Soriano and J. M. Contelles, A DFT-Based Theoretical Investigation of the Mechanism of the PtCl2-Mediated Cycloisomerization of Allenynes, Chem.–Eur. J., 2005, 11, 521–533 CrossRef CAS PubMed.
  128. C. E. Kefalidis and C. A. Tsipis, DFT Study of the Mechanism of Hydroamination of Ethylene with Ammonia Catalyzed by Diplatinum(II) Complexes: Inner- or Outer-Sphere?, J. Comput. Chem., 2012, 33, 1689–1700 CrossRef CAS PubMed.
  129. L. Yang, R. Fang and Y. Wang, On the mechanism of AuCl3-catalyzed synthesis of highly substituted furans from 2-(1-alkynyl)-2-alken-1-ones with nucleophiles: A DFT study, Comput. Theor. Chem., 2011, 965, 180–185 CrossRef CAS.
  130. C. E. Kefalidis, A. A. Kanakis, J. K. Gallos and C. A. Tsipis, DFT study of the mechanism of Cu(I)-catalyzed and uncatalyzed intramolecular cyclopropanation of iodonium ylides, J. Organomet. Chem., 2010, 695, 2030–2038 CrossRef CAS.
  131. A. Dibenedetto, A. Angelini and S. Fasciano, The reaction mechanism in the ethanolysis of urea with transition metal-based catalysts: DFT calculations and experiments, J. CO2 Util., 2014, 8, 27–33 CrossRef CAS.
  132. R. X. He, M. Li and X. Y. Li, On the regioselective mechanism of novel rearrangements of 1,6-enynes catalyzed by PtCl2: a DFT study, J. Mol. Struct.: THEOCHEM, 2005, 717, 21–32 CrossRef CAS.
  133. D. X. Ai, Z. H. Qi and G. Y. Ruan, DFT studies of dehydrogenation of ammonia-borane catalyzed by [Ir(ItBu′)2]+: A proton transfer mechanism, Comput. Theor. Chem., 2014, 1048, 1–6 CrossRef CAS.
  134. D. Munz and T. Strassner, On the Mechanism of the Palladium Bis(NHC) Complex Catalyzed CH Functionalization of Propane: Experiment and DFT Calculations, Chem.–Eur. J., 2014, 20, 14872–14879 CrossRef CAS PubMed.
  135. I. V. Yudanov, Mechanism of olefin epoxidation with transition metal peroxo complexes: DFT study, J. Struct. Chem., 2007, 48, 111–124 CrossRef.
  136. Y. Liu, C. Sun, S. Zhang and X. Li, The catalytic mechanism of intramolecular alkylation of α-diimine by rare earth complexes: a DFT study, Theor. Chem. Acc., 2013, 132, 1341 CrossRef.
  137. H. Wang, N. J. DeYonker and H. Gao, Mechanism of aquation and nucleobase binding of ruthenium (II) and osmium (II) arene complexes: A systematic comparison DFT study, J. Organomet. Chem., 2012, 704, 17–28 CrossRef CAS.
  138. T. Borowski, A. Bassan and P. E. M. Siegbahn, Mechanism of Dioxygen Activation in 2-Oxoglutarate-Dependent Enzymes: A Hybrid DFT Study, Chem.–Eur. J., 2004, 10, 1031–1041 CrossRef CAS PubMed.
  139. T. Borowski, A. Wójcik, A. Miłaczewska and V. Georgiev, The alkenyl migration mechanism catalyzed by extradiol dioxygenases: a hybrid DFT study, JBIC, J. Biol. Inorg. Chem., 2012, 17, 881–890 CrossRef CAS PubMed.
  140. A. M. Rodriguez, C. Cebrián and P. Prieto, DFT Studies on Cobalt-Catalyzed Cyclotrimerization Reactions: The Mechanism and Origin of Reaction Improvement under Microwave Irradiation, Chem.–Eur. J., 2012, 18, 6217–6224 CrossRef CAS PubMed.
  141. A. A. Starikova, R. M. Minyaev, A. G. Starikov and V. I. Minkin, DFT Computational Design of a Ligand-Driven LightInduced Mechanism for Spin-State Switching, Eur. J. Inorg. Chem., 2013, 24, 4203–4219 CrossRef.
  142. A. Miłaczewska, E. Broclawik and T. Borowski, On the Catalytic Mechanism of (S)-2-Hydroxypropylphosphonic Acid Epoxidase (HppE): A Hybrid DFT Study, Chem.–Eur. J., 2013, 19, 771–781 CrossRef PubMed.
  143. A. J. Johansson, E. Zuidema and C. Bolm, On the Mechanism of Ruthenium-Catalyzed Formation of Hydrogen from Alcohols: A DFT Study, Chem.–Eur. J., 2010, 16, 13487–13499 CrossRef CAS PubMed.
  144. K. Kumar, S. Kumar and B. D. Gupta, Weak interactions between furfuryl and equatorial dioxime ligand in furfuryl(O2)Co(dmgH)2Py: NMR, X-ray and DFT calculations, J. Organomet. Chem., 2010, 695, 512–517 CrossRef CAS.
  145. A. Wójcik, T. Borowski and E. Broclawik, The mechanism of the reaction of intradiol dioxygenase with hydroperoxy probe A DFT study, Catal. Today, 2011, 169, 207–216 CrossRef.
  146. A. Morsali, Mechanism of the Formation of Palladium(II) Maleate Complex: A DFT Approach, Int. J. Chem. Kinet., 2015, 47, 73–81 CrossRef CAS.
  147. Y. Qin, R. Huo and X. Zhang, Mechanism for covalence bond benzene dimers formation: A DFT and MP2 investigation, Chem. Phys. Lett., 2014, 610-611, 192–197 CrossRef CAS.
  148. R. Z. Liao, X. C. Li and P. E. M. Siegbahn, Reaction Mechanism of Water Oxidation Catalyzed by Iron Tetraamido Macrocyclic Ligand Complexes-A DFT Study, Eur. J. Inorg. Chem., 2014, 4, 728–741 CrossRef.
  149. L. Castro, S. Labouille and D. R. Kindra, Insights into the Mechanism of Reaction of [(C5Me5)2SmII(thf)2] with CO2 and COS by DFT Studies, Chem.–Eur. J., 2012, 18, 7886–7895 CrossRef CAS PubMed.
  150. S. O. N. Lill, U. Köhn and E. Anders, Carbon Dioxide Fixation by Lithium Amides: DFT Studies on the Reaction Mechanism of the Formation of Lithium Carbamates, Eur. J. Org. Chem., 2004, 13, 2868–2880 CrossRef.
  151. X. Ye, L. Yang and Y. Li, Reaction Mechanisms of a Tungsten-Germylyne Complex with One or Two Molecules of Alcohols and Arylaldehydes: A DFT Study, Eur. J. Inorg. Chem., 2014, 9, 1502–1511 CrossRef.
  152. X. Zhu, A. Barman and M. Ozbil, Mechanism of peptide hydrolysis by co-catalytic metal centers containing leucine aminopeptidase enzyme: a DFT approach, JBIC, J. Biol. Inorg. Chem., 2012, 17, 209–222 CrossRef CAS PubMed.
  153. M. H. Vilhelmsen and A. S. K. Hashmi, Reaction Mechanism for the Dual Gold-Catalyzed Synthesis of Dibenzopentalene: A DFT Study, Chem.–Eur. J., 2014, 20, 1901–1908 CrossRef CAS PubMed.
  154. B. F. Straub and C. Gollub, Mechanism of Reppe's Nickel-Catalyzed Ethyne Tetramerization to Cyclooctatetraene: A DFT Study, Chem.–Eur. J., 2004, 10, 3081–3090 CrossRef CAS PubMed.
  155. L. Fomina, B. Vazquez, E. Tkatchouk and S. Fomine, The Glaser reaction mechanism. A DFT study, Tetrahedron, 2002, 58, 6741–6747 CrossRef CAS.
  156. A. J. M. Ribeiro, M. E. Alberto and M. J. Ramos, The Catalytic Mechanism of Protein Phosphatase 5 Established by DFT Calculations, Chem.–Eur. J., 2013, 19, 14081–14089 CrossRef CAS PubMed.
  157. B. Zhu, Z. L. Lang and L. K. Yan, A Comparative DFT Study on the Mechanism of Olefin Epoxidation Catalyzed by Substituted Binuclear Peroxotungstates ([SeO4WO(O2)2MO(O2)2]n− (M = TiIV, VV, TaV, MoVI, WVI, TcVII, and ReVII)), Int. J. Quantum Chem., 2014, 114, 458–462 CrossRef CAS.
  158. S. L. Chen and R. Z. Liao, Phosphate Monoester Hydrolysis by Trinuclear Alkaline Phosphatase; DFT Study of Transition States and Reaction Mechanism, ChemPhysChem, 2014, 15, 2321–2330 CrossRef CAS PubMed.
  159. X. Pan, Z. Liu and R. Cheng, Mechanism for alternating copolymerization of CO2 and propylene oxide in diethylzinc-water catalytic system: A DFT study, J. CO2 Util., 2013, 2, 39–48 CrossRef CAS.
  160. M. Stein and W. Lubitz, Relativistic DFT calculation of the reaction cycle intermediates of [NiFe] hydrogenase: a contribution to understanding the enzymatic mechanism, J. Inorg. Biochem., 2004, 98, 862–877 CrossRef CAS PubMed.
  161. X. Lin, C. Zhao and C. M. Che, A DFT Study on the Mechanism of Rh2II,II-Catalyzed Intramolecular Amidation of Carbamates, Chem.–Asian J., 2007, 2, 1101–1108 CrossRef CAS PubMed.
  162. G. Zampella, M. Bruschi and P. Fantucci, Dissecting the Intimate Mechanism of Cyanation of {2Fe3S} Complexes Related to the Active Site of All-Iron Hydrogenases by DFT Analysis of Energetics, Transition States, Intermediates and Products in the Carbonyl Substitution Pathway, Chem.–Eur. J., 2005, 11, 509–520 CrossRef CAS PubMed.
  163. E. Y. Pankratyev, S. L. Khursan and U. M. Dzhemilev, DFT and ab initio study on mechanism of olefin hydroalumination by XAlBui2 in the presence of Cp2ZrCl2 catalyst. III. Efficiency of transmetallation in Cp2ZrRCl-XAlBui2 system, J. Organomet. Chem., 2012, 718, 117–123 CrossRef CAS.
  164. F. T. I. Marx, J. H. L. Jordaan and H. C. M. Vosloo, DFT investigation of the 1-octene metathesis reaction mechanism with the Phobcat precatalyst, J. Mol. Model., 2009, 15, 1371–1381 CrossRef CAS PubMed.
  165. J. Quenneville, D. M. Popović and A. A. Stuchebrukhov, Combined DFT and electrostatics study of the proton pumping mechanism in cytochrome c oxidase, Biochim. Biophys. Acta, 2006, 1757, 1035–1046 CrossRef CAS PubMed.
  166. A. L. O. D. Noronha and H. A. Duarte, DFT study of the V(IV)/V(V) oxidation mechanism in the presence of N-hydroxyacetamide, J. Inorg. Biochem., 2005, 99, 1708–1716 CrossRef PubMed.
  167. C. Adamo and V. Barone, Toward reliable adiabatic connection models free from adjustable Parameters, Chem. Phys. Lett., 1997, 274, 242–250 CrossRef CAS.
  168. V. S. Bryantsev, M. S. Diallo, A. C. T. V. Duin and W. A. Goddard, Evaluation of B3LYP, X3LYP, and M06-Class Density Functionals for Predicting the Binding Energies of Neutral, Protonated, and Deprotonated Water Clusters, J. Chem. Theory Comput., 2009, 5, 1016–1026 CrossRef CAS PubMed.
  169. J. Paier, M. Marsman and G. Kresse, Why does the B3LYP hybrid functional fail for metals?, J. Chem. Phys., 2007, 127, 024103 CrossRef PubMed.
  170. X. Pan, Z. Liu, R. Cheng, X. He and B. Liu, Insight into the reaction mechanisms between CO2 and epoxides over Zn(II) phenoxide catalytic system-A DFT study, J. Organomet. Chem., 2015, 775, 67–75 CrossRef CAS.
  171. B. Krámos and J. Oláh, The mechanism of human aromatase (CYP 19A1) revisited: DFT and QM/MM calculations support a compound I-mediated pathway for the aromatization process, Struct. Chem., 2015, 26, 279–300 CrossRef.
  172. J. Gajewy, J. Gawronski and M. Kwit, Mechanism and Enantioselectivity of [Zinc(diamine)(diol)]-Catalyzed Asymmetric Hydrosilylation of Ketones: DFT, NMR and ECD Studies, Eur. J. Org. Chem., 2013, 2, 307–318 CrossRef.
  173. P. E. M. Siegbahn, The performance of hybrid DFT for mechanisms involving transition metal complexes in enzymes, JBIC, J. Biol. Inorg. Chem., 2006, 11, 695–701 CrossRef CAS PubMed.
  174. Y. Zhao and D. G. Truhlar, A new local density functional for main-group thermochemistry, transition metal bonding, thermochemical kinetics, and noncovalent interactions, J. Chem. Phys., 2006, 125, 194101 CrossRef PubMed.

This journal is © The Royal Society of Chemistry 2016
Click here to see how this site uses Cookies. View our privacy policy here.