A novel multi-component approach to the synthesis of pyrrolo[2,1-a]isoquinoline derivatives

L. G. Voskressensky*a, T. N. Borisovaa, M. D. Matveevaa, V. N. Khrustaleva, A. V. Aksenovb, A. A. Titova, A. E. Vartanovaa and A. V. Varlamova
aOrganic Chemistry Department, Peoples' Friendship University of Russia (RUDN University), Miklukho-Maklaya st., 6, 117198, Moscow, Russian Federation. E-mail: voskresenskiy_lg@pfur.ru
bDepartment of Chemistry North Caucasus Federal University, 1, Pushkin Street, Stavropol, 355009, Russia

Received 17th June 2016 , Accepted 28th July 2016

First published on 28th July 2016


Abstract

A route towards pyrrolo[2,1-a]isoquinolines through a 3CR of 1-aroyl dihydroisoquinolines, activated alkynes and alcohols has been developed.


Introduction

Pyrrolo[2,1-a]isoquinolines contain a heterocyclic system that is often encountered in natural products and synthetic compounds with various important pharmacological properties. Alkaloids such as cryptaustoline (a) and cryptowoline (b) include a 5,6-dihydropyrrolo[2,1-a]isoquinoline moiety (Fig. 1). These compounds exhibit antitumor and antileukemia activity and inhibit tubulin polymerization. Diacetoxy-substituted 5,6-dihydropyrrolo[2,1-a]isoquinoline (c) is a synthetic analog of natural alkaloids a and b and displays an affinity for estrogen receptors.1
image file: c6ra15810b-f1.tif
Fig. 1 Biologically active pyrrolo[2,1-a]isoquinolines.

In 2002, Zhao et al. reported a method for obtaining five alkaloids with antitumor activity from the extract of Carduus crispus L.2 Two of the isolated alkaloids contained the pyrroloisoquinoline structure and were called crispine A (+) and crispine B (Fig. 2).


image file: c6ra15810b-f2.tif
Fig. 2 Pyrrolo[2,1-a]isoquinolines-type alkaloids.

Crispine B showed significant cytotoxicity at micromolar levels.2 In 2005, Jia et al. discovered the antitumor activity of crispine B against HO-8910 human ovarian cancer cells and Bel-7402 human hepatoma cells.3

The alkaloid (−)-trolline was isolated from the plant Trollius chinensis Bunge by Cai et al. in 2004.4 The alkaloid (+)-oleracein was reported by the Du group in 2005.5 Salsoline B was obtained by Xiang et al. in 2007 (Fig. 3).6


image file: c6ra15810b-f3.tif
Fig. 3 Pyrrolo[2,1-a]isoquinolines-type alkaloids.

A check of the biological activity of the isolated compounds showed that (−)-trolline possessed high inhibitory activity against the Gram-negative bacteria strains Klebsiella pneumoniae 02-63, Pseudomonas aeruginosa 02-123, and Haemophilus influenzae 02-102 and Gram-positive bacteria strains Staphylococcus aureus 01-159, Streptococcus pneumoniae 02-19, and Streptococcus pyogenes M1371.4 (+)-Oleracein was a potent inhibitor of lipid peroxidation in rat brain. Therefore, this compound could be used as an antioxidant.7

The structures of lamellarin-type alkaloids were closest to those of the compounds obtained by us. Various biological properties of these compounds have been reported.8–12 For example, lamellarin D inhibited topoisomerases whereas lamellarin α-20-sulfate inhibited the enzyme HIV integrase.13 Lamellarin I and lamellarin K showed potential antitumor activity.14,15 In addition, dihydropyrrolo[2,1-a]isoquinolines inhibited K+-channel functions that were related to neuron apoptosis in cerebellum and cancer cells in other tissues (Fig. 4).16,17 Open-chain analogs of lamellarin D exhibit cytotoxic activity in A-549, HT-29, MDA-MB-231 cells.


image file: c6ra15810b-f4.tif
Fig. 4 Lamellarin-type alkaloids and open-chain analogs of lamellarin D.

Results and discussion

Two principal approaches to the synthesis of pyrrolo[2,1-a]isoquinolines have appeared in the scientific literature: annelation of a pyrrole ring to an isoquinoline or construction of an isoquinoline moiety starting from pyrrole derivatives.

The first approach and several of its variations are more common. Three-component reactions involving an unsubstituted isoquinoline18 or 1-isoquinolinecarboxylic acid,19,20 an alkyne, and a carbonyl compound with an α-methylene can produce pyrroloisoquinolines containing functionalized pyrroles. A pyrrole ring can be annelated to 1-methylaryldihydroquinoline using a Chichibabin reaction and bromoacetophenones,21 oxalylchloride21 and p-quinones.22 The last approach is based on the reaction of a substituent 1-methylene or methylidene group on the starting isoquinoline and a carbonyl-containing reagent.

We hypothesized that tetrahydropyrrolo[2,1-a]isoquinolines could be synthesized using 1-aroyltetrahydroisoquinolines and alkynes with electron-accepting groups as the starting compounds.

Multi-component mixtures were obtained by reacting available drotaveraldine and methylpropionate as the starting compound and reagent in Et2O, MeCN, and DMF. Replacing the aprotic solvent by MeOH produced pyrroloisoquinoline 12, the structure of which was elucidated using spectral data and an X-ray crystal structure analysis (XSA) (Fig. 5). In fact, not only methylpropionate but also MeOH were involved in a three-component reaction to form the product (Scheme 1). The yield of 12 was 25%. The reaction was accompanied by copious resin formation, which could be related to MeOH oxidation and polymerization. The reaction mixture was stored in MeOH with a 10-fold excess of methylpropionate at 5 °C under Ar for 10 d in order to increase the yield of 12. The reaction could be completed only by heating at reflux. The yield of 12 was 20%. Next, the reaction was conducted at 50 °C in anhydrous C6H6, CH2Cl2, and MeCN under a stream of Ar using 10–15 moles of MeOH and from 2 to 5 moles of methylpropionate. This formed even more complicated mixtures from which the expected 12 could not be isolated using column chromatography, among other techniques. Adding copper iodide (10 mol%) in pure MeOH did not increase the yield (23%). Adding copper acetate (10 mol%) in pure MeOH increased the yield of 12 to 43% and to a maximum of 52% by using microwave irradiation under various conditions. Attempts to apply these conditions to the other compounds were unsuccessful: either the yield remained unchanged or the compounds decomposed. Using copper acetate or iodide also did not give conclusive results. The optimization results are tabulated in the Experimental section (the ESI section).


image file: c6ra15810b-f5.tif
Fig. 5 Molecular structure of 12.

image file: c6ra15810b-s1.tif
Scheme 1 Proposed mechanism.

Considering the results, the reactions of aroyl-3,4-dihydroisoquinolines 1–3 were carried out in pure alcohols. The alcohols MeOH, EtOH, and 2,2,2-trifluoroethanol were used in the reactions with methylpropionate; 2,2,2-trifluoroethanol was used in the reaction with acetylacetylene.

The precursors of isoquinolines 1 and 2, i.e., the corresponding 1-benzylisoquinolines, were prepared by the standard methods.23,24 Isoquinolines 1 and 2 were oxidized while being isolated by recrystallization. The process could be accelerated by passing gaseous oxygen through the solution of the starting isoquinoline in EtOH. Isoquinoline 3 (drotaveraldine) was obtained by extraction from drotaverine hydrochloride tablets after treatment with base and recrystallization from EtOAc.

The reactions of 3,4-dihydroisoquinolines 1–3 with methylpropionate and acetylacetylene were performed under reflux in the corresponding alcohol for 1–3 d. When the reactions were complete, pyrroloisoquinolines 4–15 were isolated by crystallization from an EtOAc–hexane mixture. Reactions were faster and the product yields were greater in trifluoroethanol. Apparently, this was related to the increased OH-acidity of this solvent. Weak acids catalyze the Michael reaction, which we believe is the first step of the transformations. The substituent on the carbonyl had an insignificant effect on the course of the reactions. Table 1 below shows the yields of the synthesized pyrroloisoquinolines 4–15.

Table 1 Reaction scope
Entry R R1 R2 R3 X Product Yield, %
1 Me H Cl Me CO2Me 4 57
2 Me H Cl Et CO2Me 5 59
3 Me H Cl CH2CF3 CO2Me 6 78
4 Me H Cl CH2CF3 Ac 7 78
5 Me OMe OMe Me CO2Me 8 61
6 Me OMe OMe Et CO2Me 9 40
7 Me OMe OMe CH2CF3 CO2Me 10 75
8 Me OMe OMe CH2CF3 Ac 11 71
9 Et OEt OEt Me CO2Me 12 25
10 Et OEt OEt Et CO2Me 13 63
11 Et OEt OEt CH2CF3 CO2Me 14 82
12 Et OEt OEt CH2CF3 Ac 15 74


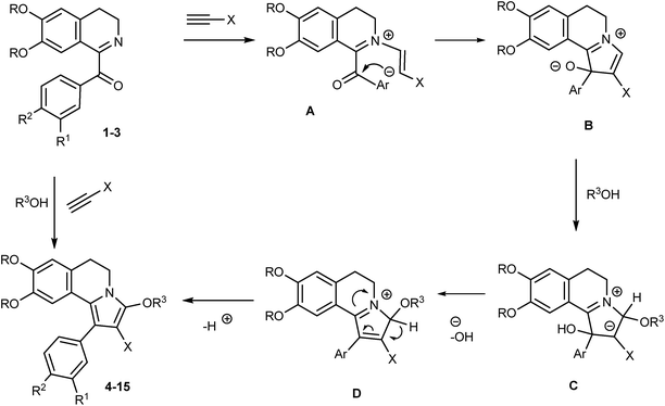
We proposed that the reaction started with the Michael addition of cyclic nitrogen atom to the activated alkyne molecule, forming the zwitter-ionic intermediate A. Nucleophilic attack of this zwitterion at the aroyl carbonyl closed the five-membered pyrrole ring and generated intermediate B. Nucleophilic conjugate addition of the alcohol molecule followed, yielding intermediate C. Next, the loss of a water molecule accompanied by the pyrrole ring aromatization leaded to the target molecules 4–15 through the intermediate D (Scheme 1).

The structures of pyrrolo[2,1-a]isoquinolines 4–15 were established using 1H and 13C NMR spectroscopy, mass spectrometry, and an XSA of 12 as an example (Fig. 5). In the 1H NMR spectra of pyrroloisoquinolines 4–15 characteristic protons resonated as singlets (3H) at δ = 3.56–4.05 ppm from carbomethoxy group or as singlets (3H) at δ = 1.85–1.88 ppm from acetylic group and as quartet (2H) at δ = 4.70 ppm (J = 8.1–9.1 Hz) from trifluoroethoxy group or a set of proton signals from alkoxy groups of corresponding alcohols. In the 13C NMR spectra of pyrroloisoquinolines 6, 7, 10, 11, 14, 15 characteristic carbons of trifluoroethoxy group resonated as quartet at δ = 71.6–71.8 ppm (J = 34.1–35.0 Hz) and quartet at δ = 123.4–124.7 ppm (J = 278–280 Hz). Mass spectra of all newly synthesized compounds are in accordance with the proposed structures.

Conclusions

A number of new dihydropyrrolo[2,1-a]isoquinoline derivatives have been synthesised through the three component reaction of 1-aroyl dihydroisoquinolines with activated alkynes and alcohols. The initial optimization studies have been carried out.

Acknowledgements

This work was financially supported by the Russian Foundation for Basic Research (grant 15-33-20187-mol_a_ved) and the Ministry of education and science of Russian Federation (project 2042).

Notes and references

  1. J. S. Yadav, B. V. S. Reddy, N. N. Yadav and M. K. Gupta, Tetrahedron Lett., 2008, 49, 2815 CrossRef CAS.
  2. Q. Zhang, G. Tu, Y. Zhao and T. Cheng, Tetrahedron, 2002, 58, 6795 CrossRef CAS.
  3. W. D. Xie, P. L. Li and Z. J. Jia, Pharmazie, 2005, 60, 233 CAS.
  4. R. F. Wang, X. W. Yang, C. M. Ma, S. Q. Cai, J. N. Li and Y. Shoyama, Heterocycles, 2004, 63, 1443 CrossRef CAS.
  5. L. Xiang, D. Xing, W. Wang, R. Wang, Y. Ding and L. Du, Phytochemistry, 2005, 66, 2595 CrossRef CAS PubMed.
  6. Y. Xiang, Y. B. Li, J. Zhang, P. Li and Y. Z. Yao, Yaoxue Xuebao, 2007, 42, 618 CAS.
  7. Z. Yang, C. Liu, L. Xiang and Y. Zheng, Phytother. Res., 2009, 23, 1032 CrossRef CAS PubMed.
  8. D. Pla, F. Albericio and M. Álvarez, Med. Chem. Commun., 2011, 2, 689 RSC.
  9. Q. Li, J. Jiang, A. Fan, Y. Cui and Y. Jia, Org. Lett., 2011, 13, 312 CrossRef CAS PubMed.
  10. D. Imbri, J. Tauber and T. Opatz, Chem.–Eur. J., 2013, 19, 15080 CrossRef CAS PubMed.
  11. A. Theppawong, P. Ploypradith, P. Chuawong, S. Ruchirawat and M. Chittchang, Chem.–Asian J., 2015, 10, 2631 CrossRef CAS PubMed.
  12. K. Tangdenpaisal, R. Worayuthakarn, S. Karnkla, P. Ploypradith, P. Intachote, S. Sengsai, B. Saimanee, S. Ruchirawat and M. Chittchang, Chem.–Asian J., 2015, 10, 925 CrossRef CAS PubMed.
  13. K. B. Manjappa, J.-R. Syu and D.-Y. Yang, Org. Lett., 2016, 18, 332 CrossRef CAS PubMed.
  14. M. Komatsubara, T. Umeki, T. Fukuda and M. Iwao, J. Org. Chem., 2014, 79, 529 CrossRef CAS PubMed.
  15. C. Imperatore, A. Aiello, F. D'Aniello, M. Senese and M. Menna, Molecules, 2014, 19, 20391 CrossRef PubMed.
  16. R. Noriega-Navarro, O. Lopez-Charcas, B. Hernández-Enríquez, P. E. Reyes-Gutiérrez, R. Martínez, A. Landa, J. Morán, J. C. Gomora and J. Garcia-Valdes, Neuropharmacology, 2014, 79, 28 CrossRef CAS PubMed.
  17. C. Bailly, Mar. Drugs, 2015, 13, 1105 CrossRef CAS PubMed.
  18. M. Piltana, I. Yavarib and L. Moradic, Chin. Chem. Lett., 2013, 24, 979 CrossRef.
  19. C. M. Timmers, H. J. J. Loozen and H. T. Stock, US Pat., US8431564 B2, 2013.
  20. I. Yavari, Z. Hossaini and M. Sabbaghan, Tetrahedron Lett., 2006, 47, 6037 CrossRef CAS.
  21. N. N. Polygalova, A. G. Mikhailovskii, E. V. Vikhareva and M. I. Vakhrin, Chem. Heterocycl. Compd., 2007, 43, 900 CrossRef CAS.
  22. N. N. Polygalova, A. G. Mikhailovskii and M. I. Vakhrin, Chem. Heterocycl. Compd., 2006, 42, 1352 CrossRef CAS.
  23. S.-D. Cho, D.-H. Kweon, Y.-J. Kang, S.-G. Lee, W. S. Lee and Y.-J. Yoon, J. Heterocycl. Chem., 1999, 36, 1151 CrossRef CAS.
  24. E. Awuah and A. Capretta, J. Org. Chem., 2010, 75, 5627 CrossRef CAS PubMed.

Footnote

Electronic supplementary information (ESI) available: Experimental procedures, copies of 1H and 13C spectra. CCDC 1044006. For ESI and crystallographic data in CIF or other electronic format see DOI: 10.1039/c6ra15810b

This journal is © The Royal Society of Chemistry 2016
Click here to see how this site uses Cookies. View our privacy policy here.