Kinetics-dominated structure and stimuli-responsiveness in the assembly of colloidal nanotubes

Kazuhiro Shikinaka*a, Saori Moria, Kiyotaka Shigeharaa, Hiroyasu Masunagab and Takamasa Sakaic
aGraduate School of Engineering, Tokyo University of Agriculture and Technology, Koganei, Tokyo 184-8588, Japan. E-mail: k-shiki@cc.tuat.ac.jp
bExperimental Research Division, SPring-8, Japan Synchrotron Radiation Research Institute (JASRI), Sayo-gun, Hyogo 679-5198, Japan
cDepartment of Bioengineering, School of Engineering, The University of Tokyo, Bunkyo-ku, Tokyo 113-8656, Japan

Received 13th May 2016 , Accepted 24th May 2016

First published on 26th May 2016


Abstract

In this paper, we discuss the molecular assembly kinetics of stimuli-responsive hydrogels prepared from imogolite, which is a rigid rod-like colloidal inorganic nanotube, and dicarboxylic acids. Here, the “stepwise” agglomeration of imogolite in the hydrogels gave loosely connected imogolite frameworks that induced thixotropy in hydrogels. In contrast, “simultaneous” aggregation of imogolite nanotubes led to densely packed frameworks without thixotropy in the hydrogels. The results of this study on imogolite nanotube assembly explain the self-organization mechanism of rod-like colloidal nanotubes in accordance with thermodynamic reaction kinetics. Furthermore, this study also explains the nano-architectonics of non-Newtonian fluids, enabling the design of supramolecular assemblies with non-Newtonian properties such as thixotropy. Our results describe for the first time the relationship between the microscopic molecular reaction kinetics and the macroscopic non-Newtonian properties, which have been extensively investigated.


Introduction

Non-Newtonian fluid behaviors, such as shear thinning, are important in many industrial and natural processes.1 Shear thinning or stimuli-responsive liquid–solid phase transitions, known as “thixotropy”, are often found in clay suspensions, paints, ceramic sols, muscle, and protoplasm.2 It has been revealed that the formation of assemblies of colloidal particles, generally called hydroclusters, is responsible for the emergence of shear thinning.3–5 However, there is little knowledge for establishing a clear relationship between the structural and viscoelastic properties of a non-Newtonian fluid. The clarification of this relationship provides details about the nano-architectonics of non-Newtonian fluids, enabling controllable stimuli-responsiveness.

Previously, we reported the gelation behaviors of mixtures prepared from rigid rod-like colloidal imogolite (IG) nanotubes and a dicarboxylic acid (DA). The obtained hydrogel exhibited thixotropy in response to mechanical shock within the order of seconds or sub-seconds.5 IG, which has a chemical formula of (HO)3Al2O3SiOH, is a single-walled alumino-silicate rigid nanotube that can be synthesized in vitro with well-defined size.6–10 IG nanotubes typically have external and internal diameters of approximately 2–3 and 1 nm, respectively, and lengths ranging from several tens of nanometers to several micrometers. The outer and inner surfaces of the IG are covered with aluminol and silanol groups, respectively; protonation–deprotonation equilibria, such as [outer surface] Al(OH)2 + H+ ⇌ Al(OH)O+H2 and [inner surface] Si–OH ⇌ Si–O−​ + H+, occur on these surfaces. Because of these protonation–deprotonation behaviors, IG dispersibility in water is strongly dependent on pH and ionic strength. In a previous work, we reported that slightly opaque solutions with concentrations of 6.4 wt% of nanotubes (i.e., 0.16 M of aluminol groups), with average length of 131 nm, were obtained by sonicating appropriately purified IGs in pure water.11

As described above, we found that mixtures of IG and DAs in water resulted in homogeneous hydrogels composed of networked IGs at the stoichiometric ratio, i.e., the quantity of –Al(OH)2 vs. the molar ratio of DA, of 1[thin space (1/6-em)]:[thin space (1/6-em)]1.5 The hydrogels containing both IG and a DA such as maleic acid (MA), hereafter denoted as “IG–DA gel”, exhibited hysteresis-free thixotropic behavior originating from the hierarchical architecture formed by combining the IG and DA. This hierarchical architecture consisted of (levels of hierarchy separated by “<“) the following: IG nanotubes sheathed by DA molecules (IG–DA nanotubes) < hydroclusters of cross-bridged IG–DA nanotubes < networks of hydroclusters. The surfaces of these IG–DA nanotubes are composed of DA sheaths, which have an Al(OH)O+H2OOC–(CH2)n–COOH (n > 1) structure. The rapid thixotropic phase changes of the solid–liquid or liquid–solid transitions5 resulted in sub-second transformation of the IG–DA gel to the liquid state upon application of mechanical forces, such as through vortex-mixer vibrations. Furthermore, after flow-orienting and subsequent standing the liquid-state mixture, the uniaxial alignments of IG nanotubes in the centimeter scale were realized in the recovered gel.12,13 The degree of orientation of IG nanotubes was noticed to be dependent on the flow velocity of the liquid-state mixture. The self-standing interpenetrated network gels were also prepared by the in situ polymerization of the uniaxially oriented IG–DA gels that were pre-impregnated by vinyl monomer and a cross-linker. The confinement of the IG nanotubes with the uniaxial orientation induced some anisotropic physical properties to the IG–DA gels such as anisotropic birefringence, mechanical strength and electrochemical characteristics. The specific abilities of the uniaxially oriented IG–DA gel, such as macroscopic supramolecular chiral ordering of the IG nanotubes14 via combination with chiral DAs, also indicate significant potential for the use of these thixotropic gels as chiral sensing materials etc.

In this study, the relationship between the morphology and non-Newtonian behavior of the IG–DA gel was estimated from X-ray scattering and rheological measurements of the structure and viscoelastic properties of the gel. Additionally, we revealed the kinetic factors that impart a thixotropic character to the molecular architectures of the IG–DA gels. Our results describe, for the first time, the relationship between the kinetics of the assembly process of rod-like colloids and the macroscopic non-Newtonian properties based on thermodynamic parameters.

Experimental

Materials

Deionized water was further purified using a Milli-Q® Advantage A10® system (Millipore™, Eschborn, Germany), and used throughout the experiments. Reagent-grade chemicals, except for IG, were purchased from Tokyo Kasei Chemicals, Wako Pure Chemical Industries, or Sigma-Aldrich, and were used as received.

Imogolite synthesis

As reported previously,11 aqueous solutions of AlCl3·6H2O (9.96 g in 369 mL of Milli-Q water; Kanto Chem. Co. Inc., Japan) and Na4SiO4 (6.90 g in 362 mL of Milli-Q water; Junsei Chem. Co. Ltd., Japan) were mixed to prepare a solution containing 12.5 and 2.5 mol L−1 of Al and Si, respectively. The pH of the mixture was adjusted to 6.0 by rapidly adding NaOH (aq., 26 mL of 1.0 mol L−1 NaOH) with vigorous stirring to avoid the occurrence of local high pH. The resulting solution was stirred for 1 h. The resultant white precipitates were collected by centrifugation and were redispersed in 400 mL of water under stirring. After adding water (2400 mL), the solution pH was adjusted to 4.5 by adding HCl (7–8 mL of 1.0 mol L−1 HCl). The solution was then carefully and continuously heated for 4 days at 100 °C under gentle stirring. The solution was then cooled to room temperature and a fine powder of sodium chloride (16.4 g) was added to it under vigorous stirring. The resulting gel was collected by centrifugation (5000 rpm, 30 min) and was subsequently washed portion wise with 500 mL water using a 100 nm Millipore filter under suction. The wet products (care should be taken to avoid them drying out) were added to tetrahydrofuran (1800 mL, stabilizer-free grade) under stirring, and the fluffy precipitates were collected by filtration and dried in vacuo, resulting in a yield of 42%.

Preparation of IG–DA mixtures

A calculated amount of IG in pure water was sonicated for 4 h at 100 W (FU-21H, SD-Ultra Ltd., Korea) while the sonicator bath temperature was maintained at room temperature by occasional addition of ice. By this procedure, slightly opaque solutions of 0.2 mol L−1 aluminol functional groups were obtained, and the average length of IG in the solution was shortened to 131 nm, which was confirmed by transmission electron microscopic observations.11 To the 0.16 mol L−1 IG aqueous solution (1 equivalent with respect to the –Al(OH)2 group), the same volume of aqueous solution of 0.16 mol L−1 DA was added with stirring.5 The mixing ratio was controlled by changing the molar concentration of the latter aqueous solution. Gelation behavior was observed by the sample tube inversion test at 21 ± 2 °C.

Viscoelastic measurement

The bulk mechanical response of the IG–DA mixtures was measured with a stress-controlled rheometer (AR-G2, TA Instruments, New Castle, DE). Parallel plates (titanium), 60 mm in diameter, were used for the measurement. The plates were placed in a gap of 400 μm, and the temperature was maintained at r.t. The storage modulus G′ and loss modulus G′′ of IG–DA mixtures aged for 1 week were recorded in both strain (ε) step-change measurements (from 100% to 1%) at an oscillatory angular frequency of 1 Hz and ε sweep measurements, where ε was varied upward from 0.1% to 3000% and downward from 3000% to 0.1%. The solid/liquid (gel/sol) transition was confirmed from the crossover point between the G′ and G′′; that is, G′ > G′′ when the sample is in the solid (gel) state, and G′ < G′′ when the sample turns to the liquid (sol) state.

Small-angle X-ray scattering ( SAXS)

The SAXS experiments were performed using the SPring-8 (Hyogo, Japan) synchrotron orbital radiation beamline at BL45XU, which has a double-crystal diamond monochromator and K-B mirrors held at room temperature. The energy of the X-ray beam was 12.4 keV (wavelength, λ = 0.10 nm); the beam size was 0.3 × 0.2 mm. All SAXS experiments were performed on samples that were introduced into a rectangular stainless steel cell (SUS304; 10 mm width, 40 mm height, and 2 mm thickness). The images of the scattering pattern were obtained at a frame size of 487 × 172 pixels and a pixel size of 172 × 172 μm using the X-ray photon counting two-dimensional pixel detector Pilatus 300K-W (pixel apparatus for the SLS15). From the SAXS measurement, the q value was estimated according to eqn (1),
 
q = 4π[thin space (1/6-em)]sin(θ/2)/λ (1)
where θ is the scattering angle. The scattering intensity I(q) is described by eqn (2),16
 
I(q) = ν02(ρpρs)2f2(q) (2)
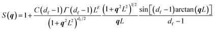
where ρp and ρs are the scattering length densities of IG and the solvent, respectively; v0 is the volume of IG; and f is the single-particle form factor.16 Here, S(q), the structure factor, is given by eqn (3) in the range of 1/L < q < 1/D, where C is a constant; L and D are the length and diameter of IG, respectively; and df is the mass fractal dimension.16 The second term in eqn (3) behaves as qdf;
 
image file: c6ra12425a-t1.tif(3)
therefore, the fractal dimension E is defined from the exponent in the relation I(q) ∼ qE at 1/L < q < 1/D.

The exposure time at the designated spot of the sample is 1 s. The photon flux of the X-ray source was about 2 × 1011 photon s−1 mm−2. We confirmed that the denaturalization of IG–DA mixtures did not occur even after continuous synchrotron X-ray irradiation for 10 s. Therefore, we judged that there was little radiation damage in our experiments. The specimen-to-detector distance was 2.0 m. The data were corrected by background scattering from pure water alone. The two-dimensional scattering patterns were circularly integrated and converted into the one-dimensional format (denoted as the scattering curve) using the FIT2D software.

Rigid-body free damping oscillation (RFDO) measurement

The RFDO of the IG–DA mixture was measured using RPT-3000W (A&D, Co., Ltd., Japan) combined with RBP 030-type rigid pendulums equipped with a stainless steel cylindrical edge (φ = 2 mm).5,17 All measurements were carried out at ambient temperature (22 ± 2 °C) and a RH of about 85%.

Results and discussion

The detailed relationship between the viscoelastic nature and a composition of the IG–DA mixture was investigated by measuring the bulk mechanical response of the mixture of IG and MA (IG–MA mixture) at various concentrations of IG and MA, as shown in Fig. S1. According to previous reports,5 IG–MA mixture shows thixotropy at the mixing ratio of [–Al(OH)2 of IG][thin space (1/6-em)]:[thin space (1/6-em)][MA] = 1[thin space (1/6-em)]:[thin space (1/6-em)]1. The phase state, thixotropic nature, and viscoelasticity of the IG–MA mixture were evaluated from the period necessary for the completion of gelation, Tgel, the solid/liquid (gel/sol) transition time, Ttrans (as defined in the ESI), and the storage modulus at 0.1% strain, G0.1.

As shown in Table 1 (entries 4–7), Tgel decreased with increasing [MA] in the region from 0.04 to 0.16 mol L−1 at [IG] = 0.08 mol L−1. At [IG] or [MA] = 0.02 mol L−1 (entries 1 and 2), the IG–MA mixture did not form a gel. The Ttrans of the IG–MA mixture at [IG] = [MA] = 0.08 mol L−1 (6) is 3.3 times smaller than that of the IG–MA mixture at [IG] = 0.08 mol L−1 and [MA] = 0.04 mol L−1 (5). At [MA] = 0.16 mol L−1 (7), the IG–MA mixture gave hydrogels that showed phase separation by agitation and then did not re-solidify. The G0.1 of the IG–MA mixture was highest at the mixing ratio of [–Al(OH)2 of IG][thin space (1/6-em)]:[thin space (1/6-em)][MA] = 1[thin space (1/6-em)]:[thin space (1/6-em)]1 at [IG] = 0.08 mol L−1 (6). Furthermore, the change in [IG] and [MA] from 0.08 to 0.04 mol L−1 (3) resulted in a decreasing G0.1 and increasing Ttrans. Thus, the viscoelasticity and thixotropic nature of the IG–MA mixture strongly depends on the mixing ratio of components.

Table 1 Tgel, Ttrans, G0.1, and E of the IG–MA mixtures at various [IG] and [MA] after 1 week aging
  [IG]/mol L−1 [MA]/mol L−1 Tgel/min Ttrans/s G0.1/Pa E
a Hard gel particles + aqueous fluid.
1 0.02 0.02 No gelation N.D.
2 0.02 0.08 No gelation N.D.
3 0.04 0.04 600 70 15.8 N.D.
4 0.08 0.02 No gelation N.D.
5 0.08 0.04 210 20 26.5 1.0
6 0.08 0.08 53 6 195 1.3
7 0.08 0.16 10 Phase separation 5.09 2.0
8 0.08 0.48 Precipitationa N.D.


In order to reveal the structure of the molecular assembly (i.e., hydrocluster) in the IG–MA mixture, small-angle X-ray scattering (SAXS) was carried out. The shape of the hydroclusters can be evaluated from the steepness of the scattering curves from SAXS results.5,18,19 The exponent, E, in the relationship between scattering intensity I(q) vs. the scattering vector q (described as I(q) ∼ qE) describes the fractal dimension of the hydrocluster. Since the q range of 0.08–0.3 nm−1 is equivalent to the real-space size of the IG nanotubes sheathed by DA (IG–DA nanotubes with average length of 131 nm (ref. 11) and average external diameter of 3.03 nm (ref. 5)), E = 1 in this region corresponds to IG nanotubes dispersed separately without forming dense assemblies, while E = 2 corresponds to those fully packed in unit space.19 Fig. 1 illustrates the scattering curves of the IG–MA mixtures recorded in the q range of 0.08–0.3 nm−1, and the calculated E values are described in Table 1. At [IG] = 0.08 mol L−1, the E value increases with [MA]. As described previously, the E value is 1.3 at [MA] = 0.08 mol L−1, which indicates the presence of loosely packed IG nanotubes, i.e., cross-bridged IG nanotubes.5,18,19 The E value of 1.0 at [MA] = 0.04 mol L−1 indicates that the IG nanotubes are almost monodisperse (i.e., there are extremely few connections between IG nanotubes), resulting in a relatively high Ttrans and low G0.1. Contrastingly, the E value of 2.0 at [MA] = 0.16 mol L−1 indicates the presence of bundle-like assemblies of IG nanotubes in this q region. This fully lateral packing of IG nanotubes results in the formation of inhomogeneous aggregates of IG in the mixture, leading to the precipitation of the IG aggregates by agitation. As shown by the SAXS analyses, the shape of the hydroclusters in the IG–MA mixture clearly differs depending on its composition. This difference determines the viscoelasticity and thixotropic nature of the IG-MA mixture.


image file: c6ra12425a-f1.tif
Fig. 1 Scattering curves of SAXS from IG–MA mixture after 1 week aging. [–Al(OH)2 of IG] and [MA] are described in graph.

The viscoelastic behavior (Fig. S2–S4) and the shape of hydroclusters (Fig. 2) were investigated for IG–DA mixtures composed of different DA species. Fumaric acid (FA; geometric isomer of MA), citraconic acid (CTA; 2-methylmaleic acid), or mesaconic acid (MSA; 2-methylfumaric acid) were used to reveal in detail the relationship between the viscoelastic/structural properties and molecular nature of the IG–DA mixture.


image file: c6ra12425a-f2.tif
Fig. 2 Scattering curves of SAXS from IG–DA mixture after 1 week aging ([–Al(OH)2 of IG] = [DA] = 0.08 mol L−1).

As shown in Table 2, the IG–FA mixture (entry 2) rapidly gels and exhibits the lowest G0.1 relative to the other IG–DA mixtures. Unlike the IG–MA mixture (1), the IG–FA mixture showed phase separation by agitation with no re-solidification, despite FA being a geometric isomer of MA. The IG–CTA (3) and IG–MSA (4) mixtures exhibit higher Tgel values than IG–MA and IG–FA mixtures. The IG–MSA mixture showed the smallest Ttrans (3 s) and highest G0.1 (222 Pa) of all the IG–DA mixtures (Fig. 3). The E value of the IG–DA mixtures is negatively correlated to their G0.1. In particular, for IG–FA mixtures, E = 2.0, which suggests that the IG–DA mixtures form non-thixotropic hydrogels with low G0.1 when the E value is 2.0.

Table 2 Tgel, Ttrans, G0.1, and E of various IG–DA mixtures at [–Al(OH)2 of IG] = [DA] = 0.08 mol L−1 after 1 week aging
  Species of DA Tgel/min Ttrans/s G0.1/Pa E
1 MA 53 6 195 1.3
2 FA 19 Phase separation 1.19 2.0
3 CTA 300 27 122 1.5
4 MSA 180 3 222 1.2



image file: c6ra12425a-f3.tif
Fig. 3 Typical response of G′ (red circles) and G′′ (blue squares) of IG–MSA mixture in strain (ε) step change measurements ([–Al(OH)2 of IG] = [MSA] = 0.08 mol L−1).

Based on the hypothesis that the shape and hierarchical assembly of hydroclusters are determined by the interaction processes between IG and DA, kinetic factors of the interaction between IG and DA are discussed thermodynamically based on the results of rigid-body free damping oscillation (RFDO) measurements5,17 for the IG–DA mixture during the incubation period prior to the molecular assembly. As described previously,5 the decrease in the logarithmic damping ratio and the increase in oscillation period reflect the viscosity change (i.e., adhesion of DA to IG and hydrocluster formation) and the elasticity change (i.e., assembly of hydroclusters and their network formation), respectively. Thermodynamic parameters linked to molecular assembly of IG–DA were calculated from the RFDO curves, as described in the following section.

From the RFDO curves in Fig. S5, we can obtain the binding constant (K) as well as other thermodynamic parameters of adhesion of DA to IG, hydrocluster formation, hydrocluster assembly, and network formation using the equation20–23 K = K0u = 1/(Ts)0.5, where K0 is the binding constant of the IG nanotube to DA or of a hydrocluster to another isolated hydrocluster (initiation process), (Ts)0.5 is the reaction time at β = 0.5 (β is defined as the ratio of the average oscillation period or logarithmic damping ratio to their maximum values), and u is the cooperative parameter which tells the extra interaction energy between the IG nanotubes sheathed by DA or between the hydroclusters (propagation process). The value of u can be calculated from the slope of the RFDO curves at the half-value point (dβ/dln[thin space (1/6-em)]Ts)0.5 = u0.5/4.

As shown in Table S1, thermodynamic interaction parameters correlated to adhesion of DA to IG (K0d) and hydrocluster formation (ud) increase in the order IG–CTA mixture < IG–MA mixture < IG–MSA mixture < IG–FA mixture, that suggests strengthening the interaction among IG, DA, and IG–DA nanotubes. Contrastingly, the thermodynamic interaction parameters correlated to the interaction between hydroclusters exhibited different tendencies to those within the hydroclusters, as shown in Table S2.

The thermodynamic interaction parameters correlated to interaction between hydroclusters (K0p) of the IG–MA and IG–MSA mixtures was much larger than that of IG–FA and IG–CTA mixtures. The relationship between the E values (Table 2) and K0p values (Table S2) indicates that the loosely packed hydroclusters (low E) undergo fast interaction (high K0p) due to their low critical concentration (i.e., large excluded volume).

The ud and thermodynamic interaction parameters correlated to network formation (up) value relates to the formation of IG frameworks (i.e., hydrocluster formation by IGs and network formation of hydroclusters), which are the main component of hydrogels in the IG–DA mixture. The difference in ud and upu) was shown to correspond to a time lag between hydrocluster formation and network formation in the IG–DA mixture (Table S3). Δu increases in the order of IG–FA mixture < IG–CTA mixture < IG–MA mixture < IG–MSA mixture; thus, Δu is negatively correlated to E and is proportional to G0.1, as shown in Fig. 4.


image file: c6ra12425a-f4.tif
Fig. 4 Relationship between G0.1, E, and Δu. The G0.1 and E are plotted as red closed and green opened circles, respectively.

The relationship shown in Fig. 4 indicates that the “stepwise” assembly of sheathed IG–DA nanotubes into networks results in loosely-connected frameworks of IG nanotubes, giving the IG–DA mixtures with their sharp thixotropic nature (i.e., rapidly reversible solid/liquid transition) and high storage modulus. Based on the experimental and analytical evidence, we present a suggested assembly process leading to stimuli-responsiveness of the IG–DA mixtures is shown schematically in Fig. 5.


image file: c6ra12425a-f5.tif
Fig. 5 Schematic illustration of assembly processes and the resulting stimuli-responsiveness of the IG–DA mixtures.

Here, the “stepwise” development of IG assemblies, i.e., the and slow propagation of networks relative to hydrocluster formation, results in loosely connected frameworks, giving gels with stimuli-responsiveness. By contrast, the “simultaneous” development of IG assemblies, i.e., the fast propagation of networks relative to hydrocluster formation, brings about densely connected frameworks, and thus gives gels without stimuli-responsiveness.

Mixing IG and DA results in the surfaces of the IG nanotubes being fully covered by DA molecules through interactions such as Al(OH)O+H2OOC–(CH2)n–COOH (n > 1) as shown our previous works.5 In IG–DA mixtures with thixotropic nature, the inevitable electrostatic repulsion suppresses the dissociation of the free –COOH groups (i.e., –COOH groups that did not attach to Al–OH of IG) located on the middle positions of the IG–DA nanotubes because of the high density of DA molecules in the sheath. Such non-dissociative free –COOH groups form inter-sheath hydrogen bonds (H-bonding in Fig. 5) to create cross-bridged nanotubes, as well as intra-sheath (lateral) hydrogen-bonding networks. Meanwhile, the dissociation of the free –COOH groups of the IG–DA nanotube frequently occurs at the edges of the nanotubes, as the electrostatic repulsion becomes strong at both edges (repulsion in Fig. 5). When the intra- or inter-sheath interactions and the dissociation of free –COOH groups at the IG–DA nanotube edges are balanced, it is possible to imagine the creation of “cross-bridged nanotubes” that correspond to hydroclusters. Such hydroclusters, as basic units, are further interconnected to form the gel frameworks. Because the electrostatic repulsion and hydrogen-bonding among hydroclusters coexist, the hydroclusters are infirmly connected to develop frameworks of gels that easily collapse at loosely connected points (i.e., the hydrogen bonds between the hydroclusters) under agitation; these frameworks are subsequently re-structured upon resting to exhibit the thixotropic properties, namely, the collapse of hydrogen bonds between the hydroclusters causes the thixotropy of the IG–MA/CTA/MSA mixtures.5

On the other hand, the mixing of IG and FA gives hydroclusters with bundled shape and a densely packed architecture that does not show shear thinning, as observed for the IG–MA/MSA/CTA mixtures. It seems that the high tendency for hydrogen bonding between FA molecules, such as by strong intermolecular interaction between trans-type dicarboxylic groups in FA molecules, directs the bundling of IG nanotubes in the IG–DA mixture. Contrastingly, the tendency for hydrogen bonding between IG and MA/MSA/CTA is lowered by the free rotation of cis-type dicarboxylic acid groups in MA/CTA molecules and by restriction of the intermolecular interaction between trans-type dicarboxylic acid groups (because of steric hindrance from the methyl group in MSA molecules). These factors produce hydroclusters of IG nanotubes with cross-bridged shapes in the IG–DA mixture.

The reduced potential for hydrogen bonding between cross-bridged hydroclusters in the IG–MA/MSA/CTA mixtures induces loosely connected networks because of the slow agglomeration of hydroclusters (relatively low u at oscillation period change) despite their relatively high collision frequency (relatively high K0p) and large exclusion volume that originates from their cross-bridged shape (i.e., reaction control state). By contrast, the higher potential for hydrogen bonding between hydroclusters with bundled shapes in the IG–FA mixtures gives densely connected frameworks. This is because of the fast aggregation of hydroclusters (relatively high up) despite their relatively low collision frequency (relatively low K0p) and small exclusion volume arising from the bundled shape (i.e., diffusion control state). The high tendency for hydrogen bonding, as shown in the IG–FA mixture, can be also seen in the IG–CTA mixture due to the restriction of rotation of cis-type dicarboxylic groups by the methyl group. This restriction induces relatively dense packing of IG nanotubes (i.e., E = 1.5) and slow thixotropic behavior (i.e., 9 times larger Ttrans (27 s) relative to the IG–MSA mixture (3 s)).

Thus, the resulting architectures in the IG–DA mixture are determined by the rate-limiting step of the interactions between hydroclusters, and these interactions control non-Newtonian behaviors such as thixotropy. Furthermore, these reaction kinetics seem to depend on the molecular structure of DA (i.e., their potential for hydrogen bonding). The present study reveals, for the first time, the relationship between the microscopic molecular assembly processes and the macroscopic non-Newtonian nature in accordance with the thermodynamic parameters that have been discussed extensively.24–37

Conclusions

Here, we have revealed the assembly kinetics of molecules in stimuli-responsive hydrogels prepared from imogolite (IG), which is a rigid rod-like colloidal inorganic nanotube, and dicarboxylic acids. Generally, the “stepwise” development of IG assemblies in the hydrogels gave loosely connected IG networks that show thixotropy with fast responses. It has also been reported that the stepwise organization of rod-like colloidal nanotubes, such as filamentous actin38 and microtubules,39–41 because of non-equilibrium conditions during the assembly induces macroscopic spatial expended loosely packed assemblies without inhomogeneous aggregation. Furthermore, there has been the stimuli-responsive materials consisting of rod-like molecules such as filamentous fd virus,42 amyloid fibrils,43 carbon nanotubes,44 and microtubles45 that response by heating and agitating. The results presented here explain the self-organization mechanism of rod-like colloidal nanotubes with well-defined morphology in accordance with thermodynamic interaction parameters. The present study can also provide insights into the molecular assembly kinetics to enable the design of supramolecular architectures with non-Newtonian properties (e.g., thixotropic hydrogels46–48).

Acknowledgements

We thank Dr Shinya Kajita (Tokyo University of Agriculture and Technology), Dr Takeyuki Tanaka (A&D Co., Ltd.), and Dr Takuya Katashima (Osaka University) for their kind assistance on the IG purification and rheometric measurements. This work was supported by the JSPS KAKENHI under Grant Number 26870179. The synchrotron orbital radiation experiments were performed at BL45XU in SPring-8 with the approval of the JASRI (Proposal No. 2012B1140 and 2014B1084).

References

  1. R. G. Larson, The Structure and Rheology of Complex Fluids, Oxford University Press, Oxford, UK, 1999 Search PubMed.
  2. H. A. Barnes, J. Non-Newtonian Fluid Mech., 1997, 70, 1 CrossRef CAS.
  3. X. Cheng, J. H. McCoy, J. N. Israelachvili and I. Cohen, Science, 2011, 333, 1276 CrossRef CAS PubMed.
  4. X. Xu, S. A. Rice and A. R. Dinner, Proc. Natl. Acad. Sci. U. S. A., 2013, 110, 3771 CrossRef CAS PubMed.
  5. K. Shikinaka, K. Kaneda, S. Mori, T. Maki, H. Masunaga, Y. Osada and K. Shigehara, Small, 2014, 10, 1813 CrossRef CAS PubMed.
  6. P. D. G. Cradwick, V. C. Farmer, J. D. Russell, C. Masson, K. Wada and N. Yoshinaga, Nature (London), Phys. Sci., 1972, 240, 187 CrossRef CAS.
  7. C. Levard, A. Masion, J. Rose, E. Doelsch, D. Borschneck, C. Dominici, F. Ziarelli and J.-Y. Bottero, J. Am. Chem. Soc., 2009, 131, 17080 CrossRef CAS PubMed.
  8. J. Karube, Clays Clay Miner., 1998, 46, 583 CAS.
  9. G. I. Yucelen, D.-Y. Kang, R. C. Guerrero-Ferreira, E. R. Wright, H. W. Beckham and S. Nair, Nano Lett., 2012, 12, 827 CrossRef CAS PubMed.
  10. H. Yang, C. Wang and Z. Su, Chem. Mater., 2008, 20, 4484 CrossRef CAS.
  11. K. Shikinaka, Y. Koizumi and K. Shigehara, J. Appl. Polym. Sci., 2015, 132, 41691 Search PubMed.
  12. K. Kaneda, K. Uematsu, H. Masunaga, Y. Tominaga, K. Shigehara and K. Shikinaka, Sen'i Gakkaishi, 2014, 70, 137 CrossRef.
  13. K. Shikinaka, Polym. J., 2016 DOI:10.1038/pj.2016.12.
  14. K. Shikinaka, H. Kikuchi, T. Maki, K. Shigehara, H. Masunaga and H. Sato, Langmuir, 2016, 32, 3665–3669 CrossRef CAS PubMed.
  15. C. Brönnimanna, R. Baurb, E. F. Eikenberrya, S. Kohouta, M. Lindnerc, B. Schmitta and R. Horisberger, Nucl. Instrum. Methods Phys. Res., Sect. A, 2001, 465, 235 CrossRef.
  16. T. Freltoft, J. K. Kjems and S. K. Sinha, Phys. Rev. B: Condens. Matter Mater. Phys., 1986, 33, 269 CrossRef CAS.
  17. H.-T. Chiu and J.-H. Wu, J. Appl. Polym. Sci., 2005, 97, 711 CrossRef CAS.
  18. O. Glatter and O. Kratky, Small-angle X-ray scattering, Academic Press, London, UK, 1982, p. 17 Search PubMed.
  19. P. W. Schmidt, The Fractal Approach to Heterogeneous Chemistry, John Wiley & Sons, New York, USA, 1989 Search PubMed.
  20. I. Satake and J. T. Yang, Biopolymers, 1976, 15, 2263 CrossRef CAS PubMed.
  21. K. Hayakawa, J. P. Santerre and J. C. Kwak, Macromolecules, 1983, 16, 1642 CrossRef CAS.
  22. J. P. Gong, T. Mizutani and Y. Osada, Polym. Adv. Technol., 1996, 7, 797 CrossRef CAS.
  23. A. Kakugo, K. Shikinaka, K. Matsumoto, J. P. Gong and Y. Osada, Bioconjugate Chem., 2003, 14, 1185 CrossRef CAS PubMed.
  24. N. Willenbacher, J. Colloid Interface Sci., 1996, 182, 501 CrossRef CAS.
  25. J. Labanda and J. Llorens, Rheol. Acta, 2006, 45, 305 CrossRef CAS.
  26. N. J. Wagner and J. F. Brady, Phys. Today, 2009, 62, 27 CrossRef CAS.
  27. M. Izumizaki, M. Iwase, Y. Ohshima and I. Homma, J. Appl. Physiol., 2006, 101, 298 CrossRef PubMed.
  28. J. Heuser, Biol. Cell., 2003, 94, 561 CrossRef.
  29. Y. Dzenis, Science, 2004, 304, 1917 CrossRef CAS PubMed.
  30. A. Mourchid, A. Delville, J. Lambard, E. LeColier and P. Levitz, Langmuir, 1995, 11, 1942 CrossRef CAS.
  31. D. R. Foss and J. F. Brady, J. Fluid Mech., 2000, 407, 167 CrossRef CAS.
  32. Y. M. Joshi, G. R. K. Reddy, A. L. Kulkarni, N. Kumar and R. P. Chhabra, Proc. R. Soc. London, Ser. A, 2008, 464, 469 CrossRef CAS.
  33. M. Vermant and M. J. Solomon, J. Phys.: Condens. Matter, 2005, 17, R187 CrossRef.
  34. J. M. Brader, J. Phys.: Condens. Matter, 2010, 22, 363101 CrossRef CAS PubMed.
  35. R. L. Hoffman, J. Rheol., 1998, 42, 111 CrossRef CAS.
  36. T. Hasegawa, S. Takahashi, H. Hayashi and S. Hatano, Biochemistry, 1980, 19(12), 2677 CrossRef CAS PubMed.
  37. R. Kobayashi, A. Tero and T. Nakagaki, J. Math. Biol., 2006, 53, 273 CrossRef PubMed.
  38. H. J. Kwon, A. Kakugo, T. Ura, T. Okajima, Y. Tanaka, H. Furukawa, Y. Osada and J. P. Gong, Langmuir, 2007, 23, 6257 CrossRef CAS PubMed.
  39. A. Kakugo, Y. Tamura, K. Shikinaka, M. Yoshida, R. Kawamura, H. Furukawa, Y. Osada and J. P. Gong, J. Am. Chem. Soc., 2009, 131(50), 18089 CrossRef CAS PubMed.
  40. K. Shigehara, H. Kudoh, S. Mori, Y. Tamura, A. Kakugo, R. Kawamura, H. Furukawa, J. P. Gong, H. Masunaga, T. Masui, S. Koizumi and K. Shikinaka, Soft Matter, 2012, 8, 11544 RSC.
  41. K. Shikinaka, S. Mori, K. Shigehara and H. Masunaga, Soft Matter, 2015, 11, 3869 RSC.
  42. F. Huang, R. Rotstein, S. Fraden, K. E. Kasza and N. T. Flynn, Soft Matter, 2009, 5, 2766–2771 RSC.
  43. C. Li, M. M. Alam, S. Bolisetty, J. Adamcik and R. Mezzenga, Chem. Commun., 2011, 47, 2913–2915 RSC.
  44. T. Fukushima, A. Kosaka, Y. Ishimura, T. Yamamoto, T. Takigawa, N. Ishii and T. Aida, Science, 2003, 300, 2072–2074 CrossRef CAS PubMed.
  45. K. Shigehara, H. Kudoh, T. Sakai, Y. Osada, Y. Murakami and K. Shikinaka, Langmuir, 2013, 29, 11786–11792 CrossRef CAS PubMed.
  46. Z. Li, H. Yin, Z. Zhang, K. L. Liu and J. Li, Biomacromolecules, 2012, 13, 3162–3172 CrossRef CAS PubMed.
  47. Z. Li and J. Li, J. Phys. Chem. B, 2013, 117, 14763–14774 CrossRef CAS PubMed.
  48. H. Ye, C. Owh and X. J. Loh, RSC Adv., 2015, 5, 48720–48728 RSC.

Footnote

Electronic supplementary information (ESI) available: Results of rheometric measurements, scattering curves of SAXS, and RFDO curves. See DOI: 10.1039/c6ra12425a

This journal is © The Royal Society of Chemistry 2016
Click here to see how this site uses Cookies. View our privacy policy here.