Metabolic profile of Cortex Fraxini in rats using UHPLC combined with Fourier transform ion cyclotron resonance mass spectrometry

Yinan Wanga, Min Zhaoa, Yongbo Yua, Miao Wang*b and Chunjie Zhao*a
aSchool of Pharmacy, Shenyang Pharmaceutical University, Wenhua Road 103, Shenyang, Liaoning Province, China. E-mail: lab433@163.com; Fax: +86-24-23986299
bSchool of Life Science and Biopharmaceutics, Shenyang Pharmaceutical University, Wenhua Road 103, Shenyang, Liaoning Province, China

Received 17th January 2016 , Accepted 10th April 2016

First published on 13th April 2016


Abstract

Cortex Fraxini is a widely used traditional Chinese medicine (TCM) used for the treatment of gout or hyperuricemia. In this study, a reliable and sensitive ultra-high performance liquid chromatography coupled with Fourier transform ion cyclotron resonance mass spectrometry (UHPLC-FT-ICR-MS) method was developed for systematical screen and identification of the metabolic profile in rats after oral administration of Cortex Fraxini. The chromatographic separation was performed on a Universil XB C18 column (150 mm × 2.1 mm, 1.8 μm; Kromat, USA) and eluted by a gradient program. The identification was achieved on a Bruker high resolution spectrometer in positive ion mode. According to the result, a total of 81 constituents, including 29 prototype compounds and 52 metabolites were tentatively identified and validated by MS data and fragment ions from MS/MS spectra. The parents of all identified metabolites were assigned, and the metabolites were mainly coumarin derivatives. In conclusion, the newly established UHPLC-FT-ICR-MS method with high resolution and sensitivity was an effective approach for the identification of prototypes and metabolites of Cortex Fraxini in vivo. These results provided significant information about the metabolic profile of Cortex Fraxini in vivo and also laid a solid foundation for further pharmacokinetic and pharmacological research of this TCM.


1. Introduction

Traditional Chinese medicine (TCM) has been widely used to fight diseases in China for thousands of years. The identification of absorbed components and its metabolites is of great importance for clarifying the therapy mechanism of TCM. Therefore, it is important to develop a reliable and sensitive approach for illustrating metabolic profile of TCM.

Cortex Fraxini (named “Qin Pi” in China) is the dry bark of Oleaceae plant Fraxinus chinensis Roxb., Fraxinus rhynchophylla Hance., Fraxinus stylosa Lingelsh. and Fraxinus szaboana Lingelsh. Cortex Fraxini is a well-known TCM to treat gout, hyperuricemia and arthritis in clinic.1,2 Cortex Fraxini mainly contains coumarins, iridoids, phenylpropanols and phenolic compounds,3–5 which have various bioactivities such as anti-oxidant, anti-inflammation and so on.6–9 Coumarins are the major bioactive constituents in Cortex Fraxini and can be used to treat gout with renal dysfunction in clinic.10 Among these coumarins, aesculin is the most abundant constitute of coumarins. However, there has been no holistic research on the absorbed constituents and metabolic profile of Cortex Fraxini in vivo.

Metabolism research plays an important role in the development process of drugs, such as the assessment of action mechanism. Drugs can produce new active or toxic species via metabolism, so it is necessary for the evaluation of efficacy and safety of a drug.11 Nowadays, metabolism studies are designed to suggest new active constitutes and support further toxicology researches.12 To obtain enough metabolic information from complex biological samples, it is essential to establish a sensitive and reliable analytical method. Till now, liquid chromatography combined with mass spectrometry (LC-MS) has been widely utilized as an efficient tool to detect and identify metabolites in complex matrixes due to its high sensitivity and selectivity.13–16 Fourier transform ion cyclotron resonance mass spectrometry (FT-ICR-MS) with high mass accuracy and high resolution is the most powerful tool for the various analyses.17–20 FT-ICR-MS is specialized in the determination of elemental composition and can be used to identify metabolites.21,22

In this present study, an ultra high performance liquid chromatography equipped with Fourier transform ion cyclotron resonance mass spectrometry (UHPLC-FT-ICR-MS) method was established for systematical characterization of metabolic profile in plasma, urine, bile and feces from rats after oral administration of Cortex Fraxini. The metabolic profile of Cortex Fraxini in vivo was revealed for the first time. The results of this study may provide significant information for further research on Cortex Fraxini, such as the relationship between pharmacological activities and chemical constituents in Cortex Fraxini.

2. Materials and methods

2.1 Chemicals and reagents

Cortex Fraxini (lot number: 140501; source: Shanxi, China) was bought from Guoda pharmacy (Shenyang, China) and identified by professor Jingming Jia (Department of TCM, Shenyang Pharmaceutical University, Shenyang, China). A voucher specimen (no. 2015-1012) was deposited at college of TCM, Shenyang Pharmaceutical University. HPLC-grade methanol was obtained from Fisher Scientific (Fair Lawn, NJ, USA) and the distilled water was purchased from Wahaha Co., LTD. (Hangzhou, China).

2.2 Preparation of Cortex Fraxini for animal treatment

For administration, the powder of Cortex Fraxini (200 g) was extracted in boiled water (2 L) for 3 hours. The filtrate was precipitated by 2.5 fold volume of ethanol (90%, v/v). The obtained supernatant was concentrated to 200 mL by rotary evaporation under reduced pressure. Afterwards, the concentrated solution was filtered by D101 macroporous adsorption resin and the resulting solution was dried by lyophilization. The dried powder was stored in a vacuum drying oven. The content of aesculin in dried powder was determined to be 6% by HPLC method.

2.3 Animal experiments

Male Sprague Dawley rats (200–220 g) were obtained from Experimental Animal Center of Shenyang Pharmaceutical University (Shenyang, China). All rats were housed in SPF grade Experimental Animal House with relative humidity (50 ± 10%), temperature (22 ± 2 °C) and 12 h light/12 h dark cycle, and with food and water freely available. All of the procedures were complied with the Regulations of Experimental Animal Administration (State Committee of Science and Technology of the People's Republic of China) and approved by the Medical Ethic Committee of Shenyang Pharmaceutical University (no. SYPU-IACUC-C2015-0074). All surgery was performed under standard conditions, and all efforts were made to minimize suffering.

The rats were divided into group I and group II randomly with six rats in each group. The rats were fasted for a night with water available before administration. The prepared Cortex Fraxini powder was administrated to rats at the dose of 1.7 g kg−1 body weight (about aesculin 100 mg kg−1)23 by intragastric gavage, and it was suspended in 0.5% carboxymethyl cellulose sodium salt (CMC-Na) before administration. Rats in group I were put into metabolic cages for 24 h to collect urine and feces. Blood from group I were collected at 0.5, 1, 3, 6, 12 and 24 h after dosing, and were obtained via retro-orbital bleeding into heparinized haemospasia tubes. About 0.5 mL blood was collected at each time point, and then centrifuged at 13[thin space (1/6-em)]000 rpm for 10 min immediately. After administration, rats in group II were anaesthetized and cannulated in bile duct. Afterwards, bile samples were collected for 12 h. Blank samples of plasma, urine bile and feces were also collected from rats without dosing. All biological samples were stored at −80 °C before analysis.

2.4 Sample preparation

The obtained plasma samples were mixed together, and the urine, feces and bile samples were treated as plasma either. As for the plasma, urine and bile samples, an aliquot of 400 μL of acetonitrile was added into 200 μL mixed samples. The mixtures were vortex mixed for 1 min and then centrifuged at 13[thin space (1/6-em)]000 rpm for 10 min. Subsequently, the organic layer was transferred and then dried under nitrogen stream at 35 °C. Residues were reconstituted in 200 μL water–methanol (80[thin space (1/6-em)]:[thin space (1/6-em)]20, v/v) for UHPLC-FT-ICR-MS analysis. Feces samples were dried in shade and then grind into powder. The powder of feces samples (0.5 g) was extracted by methanol (3 mL) in an ultrasonic water bath for 30 min and then centrifuged at 13[thin space (1/6-em)]000 rpm for 10 min. All samples were filtered through a 0.22 μm membrane, and the resulting filtrate was transferred into vials of autosampler.

2.5 Instrument and analytical conditions

The chromatographic analysis was performed on an Agilent 1260 UHPLC system (USA). LC separation was achieved on a Universil XB C18 column (150 mm × 2.1 mm, 1.8 μm; Kromat, USA) at 35 °C. The mobile phase contained water (A) and methanol (B). For the separation of samples, the gradient condition of mobile phase was: 25–25% (B) in 0–5 min, 25–40% (B) in 5–13 min, 40–65% (B) in 13–23 min, 65–75% (B) in 23–28 min, 75–75% (B) in 28–30 min. The flow rate was 0.20 mL min−1 and the injection volume was 5 μL.

The mass spectra instrument consisted of a Bruker Solarix 7.0 T FT-ICR-MS system (Bruker, Germany) and a Bruker Compass-Hystar workstation (Bruker, Germany). Ionization was performed with positive electrospray ionization (ESI) mode, and the main parameters were set as follows: capillary voltage, 4.5 kV; dry gas flow, 8 L min−1; dry gas temperature, 200 °C; nebulizer gas pressure, 4 bar. Full-scan mass spectrum data was recorded from m/z 100 to 1000 amu, and the collision energy was ranged from 10 eV to 30 eV for MS/MS experiments.

3. Results and discussion

3.1 Metabolic profile analysis of Cortex Fraxini based on UHPLC-FT-ICR-MS

Under the analytical conditions at “Subsection 2.5”, the base peak ion (BPI) chromatograms of plasma, urine, bile and feces samples from blank and administrated rats are shown in Fig. 1. Samples of administrated were investigated to confirm the prototypes and metabolites against blank samples, because the endogenous substances from complex biological matrices could cause interference. To exclude the interferences in BPI chromatograms, extract ion chromatograms (EICs) of FT-ICR-MS were used to extract the neat mass spectra data of each metabolite respectively, which improved the sensitivity and simplified data processing. The obtained mass spectra data contained retention time, ion mode, precise molecular weight and MS/MS data.
image file: c6ra01428c-f1.tif
Fig. 1 Base peak intensity (BPIs) chromatograms of biological samples in positive ion modes. P0, U0, U0 and F0 represents blank samples of plasma, urine, bile, and feces from rats; P1, U1, U1 and F1 represents plasma, urine, bile, and feces samples from rats after oral administration of Cortex Fraxini.

The element compositions of each constitute were deduced by Bruker workstation, and the mass error values between experimental and theoretical below 3.0 ppm were acceptable. The chemical structure were proposed by scrutinizing the retention time, deduced molecular formula, and then further confirmed by MS/MS data and published literatures.23–26 As a result, a total of 81 constitutes were found and identified, including 29 prototype components (P1–P29) and 52 biotransformed metabolites (M1–M52). The results of prototype components are shown in Table 1 and the results of metabolites are presented in Table 2. The tables included the information of formula, retention time, MS data, calculated m/z, error, ion mode and MS/MS data.

Table 1 UHPLC-FT-ICR-MS analysis of the prototype compound in rat plasma, urine, bile and fecesa
No. Rt (min) Identification Formula Molecular weight Ion mode MS (m/z) ppm MS/MS (m/z) Source
a P, U, B and F represented rat plasma, urine, bile and feces samples respectively.
P1 2.73 Sinapaldehyde glucoside C17H22O9 370.1263 [M + Na]+ 393.11593 −0.83 209.07832, 166.06245, 138.03178 B
P2 3.72 Aesculin C15H16O9 340.0794 [M + H]+ 341.08672 −0.03 179.03455, 151.04002, 133.02970 P, U, B, F
P3 4.03 Osmanthuside H C19H28O11 432.1631 [M + Na]+ 455.15240 −0.03 301.12958, 151.06155, 139.07636 P, U, B, F
P4 4.61 Syringin C17H24O9 372.1420 [M + H]+ 373.14954 −0.61 364.06355, 232.23347, 185.01094 P, U, B
P5 5.12 Fraxin C16H18O10 370.0900 [M + H]+ 371.09721 0.18 209.02670, 194.02135, 181.03957 P, U, B
P6 5.21 Fraxetin diglucoside C22H28O15 532.1428 [M + Na]+ 555.13204 −0.03 369.07688, 207.02612, 192.00275 P, U, B
P7 5.52 Scopolin C16H18O9 354.0950 [M + Na]+ 377.08437 −0.18 324.08195, 192.03785, 15104688 U, B
P8 6.17 Aesculetin C9H6O4 178.0266 [M + H]+ 179.03386 0.12 151.03953, 133.29895, 123.04881 P, U, B, F
P9 6.24 6,7-Dimethoxy-coumarin C11H10O4 206.0579 [M + H]+ 207.06521 −0.11 174.96985, 143.01934, 132.96804 U, B
P10 6.71 6-Hydroxy-7,8-dimethoxy-coumarin C11H10O5 222.0528 [M + H]+ 223.06012 0.13 208.03751, 190.02652, 162.03250 P, U, B, F
P11 7.34 Oleoside-11-methylester C17H24O11 404.1318 [M + Na]+ 427.12142 −0.78 265.06851, 206.05722 U, B
P12 8.42 Fraxetin C10H8O5 208.0372 [M + H]+ 209.04436 0.42 194.02248, 181.05052, 163.03901 P, U, B, F
P13 9.08 Pinoresinol diglucoside C32H42O16 682.2472 [M + Na]+ 705.23729 −1.1 521.19882, 359.12826, 235.12854 U, B, F
P14 9.82 Umbelliferone glucoside C15H16O8 324.0845 [M + H]+ 325.09206 −0.83 307.08361, 181.05062, 135.04462 U
P15 10.42 Sopoletin C10H8O4 192.0423 [M + H]+ 193.04957 −0.17 178.01950, 150.03186, 133.04562 P, U, B, F
P16 11.92 Isoscopoletin C10H8O4 192.0423 [M + H]+ 193.04952 0.12 178.02604, 133.02886, 122.03788 P, U, B, F
P17 12.98 Pinoresinol-β-D-glucopyraside C26H32O11 520.1944 [M + H]+ 521.20232 −1.12 381.12628, 359.12647, 235.17894 P, U, B, F
P18 13.49 Isofraxidin C11H10O5 222.0528 [M + H]+ 223.05998 0.52 208.03711, 190.02651, 162.03226 P, U, B, F
P19 16.11 8-Hydroxy-6,7-dimethoxy-coumarin C11H10O5 222.0528 [M + H]+ 223.06010 0.36 208.03718, 190.02624, 162.03228 P, U, B, F
P20 16.62 Umbelliferone C9H6O3 162.0317 [M + H]+ 163.03899 0.86 145.02928, 135.04429, 117.03427 P, U
P21 16.79 Calceolariolside A C23H26O11 478.1475 [M + H]+ 479.15552 −1.53 461.02145, 317.12146, 181.04331 P, U, B, F
P22 18.38 Plantainoside B C23H26O11 478.1475 [M + H]+ 479.15238 0.01 461.01027, 317.11240, 181.04161 P, U, B, F
P23 19.22 Calceolariolside B C23H26O11 478.1475 [M + H]+ 479.15533 −1.13 461.02164, 317.12183, 181.04396 P, U, B, F
P24 19.97 Plantainoside A C23H26O11 478.1475 [M + H]+ 479.15552 −0.76 461.00157, 317.12163, 181.04481 P, U, B, F
P25 20.34 Fraxidin-8-glucoside C17H20O10 384.1056 [M + H]+ 385.11302 −0.24 208.03748, 190.03861, 163.03907 P, B
P26 20.36 Pinoresinol C20H22O6 358.1416 [M + H]+ 359.14910 −0.51 341.13855, 235.12579, 217.25750 U, B, F
P27 22.24 Hydroxyframoside B C32H38O14 646.2261 [M + Na]+ 669.21479 0.87 485.16585, 155.05429, 139.06012 U, B, F
P28 22.72 Framoside C32H38O13 630.2312 [M + Na]+ 653.22121 −1.14 491.17348, 161.06314 U, B, F
P29 23.64 Ligustroside C25H32O12 524.1839 [M + Na]+ 547.17860 0.05 385.14471, 315.07982 P, B


Table 2 UHPLC-FT-ICR-MS analysis of the metabolites in rat plasma, urine, bile and fecesa
No. Formula Molecular weight Rt (min) MS (m/z) ppm Ion mode Source MS/MS Metabolite description Presumed parent
a P, U, B and F represented rat plasma, urine, bile and feces samples respectively.
M1 C15H18O11 374.0849 3.52 397.07442 −0.73 [M + Na]+ U, B 213.03245, 168.03583, 142.01927 Hydrolysis, hydroxylation Aesculin
M2 C15H16O13S 436.0312 3.18 437.04086 −3.00 [M + H]+ U 357.08262, 195.03421, 149.16774 Hydroxylation, sulfation Aesculin
M3 C15H16O11 372.0693 2.72 373.06822 −2.32 [M + H]+ P 211.01657, 183.03941, 165.29849 Hydroxylation Aesculin
M4 C15H16O10 356.0743 4.66 357.08178 −0.43 [M + H]+ U 195.03478, 167.04072, 149.16678 Oxidation Aesculin
M5 C15H16O10 356.0743 5.94 357.08176 −0.44 [M + H]+ P 195.02147, 177.01417, 167.01265 Hydroxylation Aesculin
M6 C15H18O10 358.0900 3.59 381.07925 −0.08 [M + Na]+ U, B, F 197.03733, 179.12461, 127.03518 Hydrolysis Aesculin
M7 C16H18O10 370.0900 3.04 371.09755 −0.75 [M + H]+ U, B, F 231.02660, 216.02145, 185.03948 Hydroxylation, methylation Aesculin
M8 C16H18O10 370.0900 4.14 371.09747 −0.52 [M + H]+ P, U, B, F 231.02678, 216.02182, 185.03957 Hydroxylation, methylation Aesculin
M9 C16H20O10 372.1056 5.69 373.11315 −0.60 [M + H]+ U, B, F 359.11255, 197.04023, 179.10544 Hydrolysis, methylation Aesculin
M10 C17H21NO11 415.1115 5.61 416.11893 −0.46 [M + H]+ P, U, F 254.06213, 236.07512, 127.04587 Hydrolysis, glycine conjugation Aesculin
M11 C15H14O12S 418.0206 4.79 419.04671 −0.87 [M + H]+ U 339.09046, 179.03387, 133.02884 Oxidation, sulfation Aesculin
M12 C15H18O13S 438.0468 4.42 439.05646 −2.91 [M + H]+ U 359.12516, 197.03753, 179.18248 Hydrolysis, sulfation Aesculin
M13 C21H26O16 534.1221 12.32 535.12466 2.17 [M + H]+ P, U, B 359.10428, 197.02656, 127.03268 Hydrolysis, glucuronidation Aesculin
M14 C15H14O9 338.0638 4.07 339.07287 −2.10 [M + H]+ U 177.09012, 137.06004, 133.02895 Dehydrogenation Aesculin
M15 C21H22O16 530.0907 2.80 553.08029 −0.51 [M + Na]+ U, B 355.07767, 179.03454, 123.04387 Deglycosylation, glucuronidation Aesculin
M16 C21H24O15 516.1115 2.98 539.10048 −0.47 [M + Na]+ P, B 341.08676, 179.03458, 133.02977 Glucuronidation Aesculin
M17 C11H10O6 238.0477 5.84 239.05509 −0.31 [M + H]+ U 225.03274, 209.04452, 177.19018 Hydroxylation, methylation Fraxetin
M18 C11H12O6 240.0634 12.64 263.05255 0.21 [M + Na]+ P, U, B 227.03998, 211.05458, 179.21458 Hydrolysis, methylation Fraxetin
M19 C11H10O8S 302.0096 7.49 303.01707 −0.52 [M + H]+ P, U, B 223.05987, 208.03715, 190.02658 Methylation, sulfation Fraxetin
M20 C16H16O11 384.0693 3.29 385.07652 0.05 [M + H]+ U, B, F 209.04438, 194.02249, 181.05074 Glucuronidation Fraxetin
M21 C16H16O11 384.0693 4.96 385.07660 −0.16 [M + H]+ P, U, B, F 209.04447, 193.02248, 179.03425 Glucuronidation Fraxetin
M22 C10H10O6 226.0477 3.40 227.05509 −0.32 [M + H]+ B 213.03241, 195.01254, 143.02648 Hydrolysis Fraxetin
M23 C16H20O11 388.1006 10.33 411.08995 −0.40 [M + Na]+ U, B 227.04654, 213.03217, 143.05621 Hydrolysis, glucuronidation Fraxetin
M24 C10H8O8S 287.9940 6.95 289.00119 0.26 [M + H]+ P, B 209.04434, 194.02244, 181.05058 Sulfation Fraxetin
M25 C9H10O6 214.0477 7.65 237.03705 −0.37 [M + Na]+ U, B 196.04657, 127.03584 Hydrolysis, hydroxylation Aesculetin
M26 C16H16O10 368.0743 4.37 369.08153 0.26 [M + H]+ P, U, B, F 193.04952, 178.01958, 150.03184 Glucuronidation, methylation Aesculetin
M27 C16H16O10 368.0743 5.76 369.08180 −0.48 [M + H]+ B 193.04945, 178.02605, 133.02885 Glucuronidation, methylation Aesculetin
M28 C15H14O13S 434.0155 2.86 457.00491 −0.38 [M + Na]+ B 355.05844, 259.12541, 151.07592 Glucuronidation, sulfation Aesculetin
M29 C9H8O5 196.0372 1.86 219.02672 −1.50 [M + Na]+ P, U, B 179.06145, 153.04582 Hydrolysis Aesculetin
M30 C9H6O7S 257.9834 6.23 280.97272 −0.29 [M + Na]+ P, U 151.03911, 133.29805, 123.04871 Sulfation Aesculetin
M31 C10H8O5 208.0372 5.03 209.04452 −0.35 [M + H]+ U, B, F 195.04255, 133.29811, 123.04882 Hydroxylation, sulfation Aesculetin
M32 C10H8O5 208.0372 5.90 209.04446 −0.05 [M + H]+ U, B 195.04270, 133.29827, 123.04885 Hydroxylation, sulfation Aesculetin
M33 C10H8O5 208.0372 7.45 209.04440 0.25 [M + H]+ P, B, F 195.04252, 133.29830, 123.04877 Hydroxylation, sulfation Aesculetin
M34 C15H14O10 354.0587 3.78 355.06582 0.42 [M + H]+ P, U, B, F 179.03384, 151.03952, 133.29899 Glucuronidation Aesculetin
M35 C15H14O10 354.0587 4.73 355.06582 0.42 [M + H]+ U 179.03384, 151.03952, 133.29887 Glucuronidation Aesculetin
M36 C11H12O5 224.0685 5.64 225.07579 −0.18 [M + H]+ U, B 211.05284, 197.03554 Hydrolysis, methylation Aesculetin
M37 C11H12O5 224.0685 6.56 225.07576 −0.04 [M + H]+ U, B, F 211.05271, 197.03549 Hydrolysis, methylation Aesculetin
M38 C10H12O6 228.0634 12.83 251.05250 0.42 [M + Na]+ U 211.04851, 215.04781, 127.03695 Hydrolysis, hydroxylation Sopoletin
M39 C16H18O11 386.0849 5.11 387.08495 0.16 [M + H]+ U, B 211.05426, 197.12514, 127.08415 Hydrolysis, glucuronidation Sopoletin
M40 C17H20O11 400.1006 4.70 423.09010 −0.75 [M + Na]+ P, B 239.04547, 225.04587, 221.04574 Hydroxylation, methylation Fraxin
M41 C17H20O11 400.1006 5.58 423.08973 0.13 [M + Na]+ P, U, B, F 239.04505, 225.04675, 221.04607 Hydroxylation, methylation Fraxin
M42 C17H22O11 402.1162 2.57 425.10596 −1.24 [M + Na]+ P, U, B, F 241.06457, 227.04587, 171.05742 Hydrolysis, methylation Fraxin
M43 C16H20O14S 468.0574 19.98 469.06565 −2.13 [M + H]+ B 389.10087, 307.01285, 226.04791 Hydrolysis, sulfation Fraxin
M44 C22H26O10 546.1221 3.46 547.13058 −2.22 [M + H]+ B 371.09717, 231.02658, 216.02134 Glucuronidation Fraxin
M45 C10H8O7S 271.9991 8.13 273.00631 0.14 [M + H]+ P, U, B 193.04964, 178.01962, 150.03178 Sulfation Sopoletin
M46 C10H8O7S 271.9991 9.46 273.00624 0.14 [M + H]+ P 193.04948, 178.02609, 133.02878 Sulfation Isoscopoletin
M47 C32H38O17S 726.1830 18.21 727.19193 −2.32 [M + H]+ B 647.22619, 485.16587, 155.05434 Sulfation Hydroxyframoside B
M48 C17H18O11 398.0849 6.98 399.09219 0.28 [M + H]+ P, U 223.06027, 208.03764, 162.03267 Glucuronidation 6-Hydroxy-7,8-dimethoxy-coumarin
M49 C17H18O11 398.0849 10.41 399.09199 0.49 [M + H]+ P, F 223.06024, 208.03724, 162.03264 Glucuronidation Isofraxidin
M50 C17H18O11 398.0849 10.88 399.09202 0.40 [M + H]+ P, B, U 223.06042, 208.03787, 162.03242 Glucuronidation 8-Hydroxy-6,7-dimethoxy-coumarin
M51 C26H30O12 534.1737 17.62 535.18127 −0.49 [M + H]+ U, B 359.14941, 341.13867, 235.12564 Glucuronidation Pinoresinol
M52 C38H46O20 822.2582 19.56 823.26451 1.23 [M + H]+ F 647.22651, 485.16558, 155.05474 Glucuronidation Hydroxyframoside B


According to the results, some prototype compounds were found in all biological sources (urine, plasma, bile and feces samples), including aesculin (P2), osmanthuside H (P3), eesculetin (P8), 6-hydroxy-7,8-dimethoxy-coumarin (P10), fraxetin (P12), sopoletin (P15), isoscopoletin (P16), pinoresinol-β-D-glucopyraside (P17), isofraxidin (P18), 8-hydroxy-6,7-dimethoxy-coumarin (P19), calceolariolside A (P21), plantainoside B (P22), calceolariolside B (P23) and plantainoside A (P24). While sinapaldehyde glucoside (P1) and umbelliferone glucoside (P14) were found only in bile and urine samples respectively. Other prototype compounds could be found in different biological sources. As for the metabolites, M8, M21, M26, M34, M41 and M42 were found in urine, plasma, bile and feces samples. Notably, M2, M4, M11, M12, M14, M17, M35 and M38 were only found in urine samples.

3.2 Mass spectral fragmentation of constitutes from Cortex Fraxini

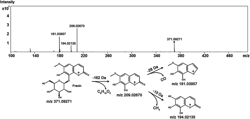
Coumarins and its derivatives got higher responses in the mass spectra under positive ion mode. Because coumarins and their related metabolites were the major components in biological samples from rats administrated with Cortex Fraxini, the positive ion mode was selected and coumarin was used as an example to illustrate the mass spectral fragmentation. For instance, fraxin was characterized by the protonated molecule ([M + H]+) at m/z 371.09721 (C16H19O10+). The ions at m/z 209.02670 and m/z 194.02135 obtained from MS/MS spectrum suggesting the loss of hexose (162 Da) and sequentially methyl (15 Da) from the precursor ion [M + H]+. The ions at m/z 181.03957 indicating the loss of CO (28 Da) from the ions at m/z 209.02670. The MS/MS spectrum of fraxin and deduced fragmentation pathways are presented as Fig. 2. Phase II metabolites were the conjugations with SO3 (80 Da) or C6H8O6 (176 Da) generating sulfate or glucuronide conjugates, and the mass losses of 80 Da or 176 Da could be observed in the mass spectra of conjugates metabolites.
image file: c6ra01428c-f2.tif
Fig. 2 MS2 spectrum of fraxin in positive ion mode and its proposed fragmentation pathways.

3.3 Prototype components of Cortex Fraxini in rats

The absorbed prototype components of Cortex Fraxini were complex mixtures owing pharmaceutical effects. According to the results, five types of compound structure were identified in biological samples, including coumarins, iridoid glycosides, phenylethanoid glycosides, lignans and phenylpropanoids. The chemical structures of prototype components (P1–P29) are shown as Fig. S1. The resulting EICs of each prototype compound from plasma samples are displayed in Fig. 3. While the EICs of prototype compounds from urine, bile and feces samples are displayed in Fig. S2–S4, respectively.
image file: c6ra01428c-f3.tif
Fig. 3 Extracted ion chromatograms (EICs) for prototype compounds of Cortex Fraxini in plasma samples.

Coumarins are the major compounds in Cortex Fraxini, and 15 coumarin prototypes were identified in this study, including aesculin, fraxin, fraxetin diglucoside, scopolin, aesculetin, 6,7-dimethoxy-coumarin, 6-hydroxy-7,8-dimethoxy-coumarin, fraxetin, umbelliferone glucoside, sopoletin, isoscopoletin, isofraxidin, 8-hydroxy-6,7-dimethoxy-coumarin, umbelliferone and fraxidin-8-glucoside. Other types of prototype are listed as follows: 4 iridoid glycosides including oleoside-11-methylester, hydroxyframoside B, framoside and ligustroside; 5 phenylethanoid glycosides containing osmanthuside H, calceolariolside A, calceolariolside B, plantainoside A and plantainoside B; 3 lignans including pinoresinol diglucoside, pinoresinol-β-D-glucopyraside and pinoresinol; 2 phenylpropanoids containing sinapaldehyde glucoside and syringin.

Among these prototypes, 20 prototype components (P2–P6, P8, P10, P12, P15–P25, P29) were observed in plasma samples; 26 components (P2–P24, P26–P28) were detected in urine samples; 27 components (P1–P13, P15–P19, P21–P29) were identified in bile samples; 18 components (P2–P4, P10, P12, P13, P15, P16, P18, P19, P21–P24, P26–P28) were acquired in feces samples.

3.4 Metabolites of Cortex Fraxini in rats

The prototype components absorbed into plasma could be further metabolized by diverse metabolic enzymes. Except for the 29 prototype components, another 52 constitutes were detected and tentatively proposed to be metabolites of Cortex Fraxini in this study. Among the 52 metabolites, 20 phase I metabolites and 32 phase II metabolites were tentatively identified, and it implied that Cortex Fraxini underwent multiple metabolic reactions in rats after intragastric gavage. The phase I metabolic pathways consisted of hydrolysis, hydroxylation, deglycosylation, methylation, oxidation and dehydrogenation. Meanwhile, phase II metabolic pathways included glucuronidation, sulfation, and glycine conjugation. The chemical structures of metabolites (M1–M52) are presented as Fig. 4. The resulting EICs of each potential metabolites from plasma samples are displayed in Fig. 5. While the EICs of possible metabolites from urine, bile and feces samples are shown in Fig. S5–S7, respectively.
image file: c6ra01428c-f4.tif
Fig. 4 The chemical structures of potential metabolites detected by UHPLC-FT-ICR-MS.

image file: c6ra01428c-f5.tif
Fig. 5 Extracted ion chromatograms (EICs) for metabolites of Cortex Fraxini in plasma samples.

Among them, 23 metabolites (M3, M5, M8, M10, M13, M16, M18, M19, M21, M24, M26, M29, M30, M33, M34, M40–M42, M45, M46, M48–M50) were observed in plasma samples; 38 metabolites (M1, M2, M4–M15, M17–M21, M23, M25, M26, M29–M32, M34–M39, M41, M42, M45, M48, M50, M51) were identified in urine samples; 36 metabolites (M1, M6–M9, M13, M15, M16, M18–M29, M31–M34, M36, M37, M39–M45, M47, M49, M51) were detected in bile samples; 17 metabolites (M6–M10, M20, M21, M26, M31–M34, M37, M40, M42, M49, M52) were acquired in feces samples.

The parent of all identified metabolites were assigned as follows: aesculin, fraxetin, aesculetin, sopoletin, fraxin and others. M1–M16 were supposed to be metabolized from aesculin. M3, M4 and M5 belonged to the hydroxylated metabolites. M2 and M8 were the sulfated and methylated products of M5, respectively, and M7 was the isomer of M8. M4 and M14 belonged to the oxidation metabolites. M6 was the hydrolyzed metabolite, and M6 could be further metabolized to M1 (hydroxylation), M9 (methylation), M10 (glycine conjugation), M12 (sulfation) and M13 (glucuronidation). In addition, aesculin could conjugate with glucuronic acid to generate M16.

M17–M24 were supposed to be metabolized from fraxetin. Fraxetin could be hydroxylated and methylated to M17. M22 was the hydrolyzed metabolite of fraxetin, and M22 could be further metabolized to M18 (methylation) and M23 (glucuronidation). M20 and M21 were the glucuronide conjugated metabolites, and M24 was the sulfated product of fraxetin. M25–M37 were supposed to be metabolized from aesculetin. M29 was the ring-opening metabolite of aesculetin, and M29 could be further metabolized to M25 (hydroxylation), M36 (glucuronidation) and M37 (methylation). M30 was the sulfated product of fraxetin and it could further conjugated with glucuronic acid to produce M28. While M31, M32 and M33 were isomers and they belonged to the hydroxylated and methylated metabolites. M34 and M35 were the glucuronide conjugated metabolites, and they could be further methylated to M26 and M27, respectively.

M38, M39 and M45 were supposed to be metabolized from sopoletin. The hydrolyzed metabolite of sopoletin could be further metabolized to M38 (hydroxylation) and M39 (glucuronidation). M45 was the sulfated product of sopoletin. M40–M44 were supposed to be metabolized from fraxin. Fraxin could be hydroxylated and methylated to generate M40 and M41. The hydrolyzed metabolite of fraxin could be further metabolized to M42 (methylation) and M43 (sulfation). M44 was the glucuronide conjugated product of fraxin. M46 was supposed to be the sulfated metabolite of isoscopoletin and M47–M52 belonged to the glucuronide conjugated or sulfated products of other prototype compound.

According to the results, phase II metabolism including O-sulphate conjugation and O-glucuronide conjugation were the major metabolic pathways of Cortex Fraxini in vivo after administrated to rats. Meanwhile, the general role of phase II metabolism is to reduce toxicity or biological activity by conjugating with endogenous substances, producing conjugations with greater water solubility.

4. Conclusion

This work systematically investigated the metabolic profile of Cortex Fraxini in rats based on UHPLC-FT-ICR-MS, and the metabolic profile of Cortex Fraxini in vivo was revealed for the first time. After oral administration of Cortex Fraxini, a total of 81 constituents, including 29 prototype compounds and 52 metabolites were tentatively found and identified in plasma, urine, feces and bile samples from rats, and validated by MS data and fragment ions from MS/MS spectra. Five types of prototype structure were identified, including coumarins, iridoid glycosides, phenylethanoid glycosides, lignans and phenylpropanoids. The metabolites were mainly coumarin derivatives. The parents of all identified metabolites were assigned to aesculin, fraxetin, aesculetin, sopoletin, fraxin and others, and 20 phase I metabolites and 32 phase II metabolites were observed. It also demonstrated that the newly established UHPLC-FT-ICR-MS method with high resolution and sensitivity was an reliable approach for the identification of prototypes and metabolites of Cortex Fraxini in biological samples. The results provided helpful information for illustrating bioactive chemical constituents as well as action mechanism of Cortex Fraxini, which would be valuable for further research of this TCM.

Conflict of interest statement

The authors have declared no conflict of interest.

Abbreviations

TCMTraditional Chinese medicine
FT-ICRFourier transform ion cyclotron resonance
UHPLCUltra-high performance liquid chromatography

Acknowledgements

This research was supported by the National Natural Science Foundation of China (NSFC: 81503035) and the Educational Department of Liaoning Province of China (L2014394).

References

  1. C. Watanabe, A clinical study of the glycosides from Fraxinus, Folia Pharmacol. Jpn., 1974, 43, 18–20 Search PubMed.
  2. Y. N. Wang, M. Zhao, Y. Xin, J. J. Liu, M. Wang and C. J. Zhao, J. Ethnopharmacol., 2016, 185, 272–281 CrossRef CAS PubMed.
  3. D. M. Zhang, L. H. Hu, W. C. Ye and S. X. Zhao, Chin. J. Nat. Med., 2003, 1, 79–81 CAS.
  4. Z. J. Ma and Z. J. Zhao, China J. Chin. Mater. Med., 2008, 33, 1990–1993 CAS.
  5. L. Zhou, J. Kang, L. Fan, X. C. Ma, H. Y. Zhao, J. Han, B. R. Wang and D. A. Guo, J. Pharm. Biomed. Anal., 2008, 47, 39–46 CrossRef CAS PubMed.
  6. S. von Kruedener, W. Schneider and E. F. Elstner, Arzneim. Forsch., 1996, 8, 809–814 Search PubMed.
  7. C. Li, A. Chen, X. Chen, X. Ma and Z. Hu, Biomed. Chromatogr., 2005, 19, 696–702 CrossRef CAS PubMed.
  8. C. R. Wu, M. Y. Huang, Y. T. Lin, H. Y. Ju and H. Ching, Food Chem., 2007, 104, 1464–1471 CrossRef CAS.
  9. Y. M. Pan, J. C. Zhu, H. S. Wang, X. P. Zhang, Y. Zhang, C. H. He, X. W. Ji and H. Y. Li, Food Chem., 2007, 103, 913–918 CrossRef CAS.
  10. J. M. Li, X. Zhang, X. Wang, Y. C. Xie and L. D. Kong, Eur. J. Pharmacol., 2011, 666, 196–204 CrossRef CAS PubMed.
  11. S. Asha and M. Vidyavathi, Biotechnol. Adv., 2009, 27, 16–29 CrossRef CAS PubMed.
  12. A. E. Nassar, R. E. Talaat and A. M. Kamel, Curr. Opin. Drug Discovery Dev., 2006, 9, 61–74 CAS.
  13. R. Deng, Y. H. Xu, F. Feng and W. Y. Liu, J. Chromatogr. B: Anal. Technol. Biomed. Life Sci., 2014, 969, 285–296 CrossRef CAS PubMed.
  14. Y. L. Song, H. X. Yan, J. F. Chen, Y. T. Wang, Y. Jiang and P. F. Tu, J. Pharm. Biomed. Anal., 2014, 89, 183–196 CrossRef CAS PubMed.
  15. S. H. Lee, H. O. Yang, H. C. Kwon and B. H. Jung, J. Chromatogr. B: Anal. Technol. Biomed. Life Sci., 2012, 906, 33–40 CrossRef CAS PubMed.
  16. S. Li, W. Liu, L. Teng, X. Cheng, Z. Wang and C. Wang, J. Pharm. Biomed. Anal., 2014, 92, 53–62 CrossRef CAS PubMed.
  17. S. Forcisi, F. Moritz, B. Kanawati, D. Tziotis, R. Lehmann and P. Schmitt-Kopplin, J. Chromatogr. A, 2013, 1292, 51–65 CrossRef CAS PubMed.
  18. M. Harir, M. Frommberger, A. Gaspar, D. Martens, A. Kettrup, M. El Azzouzi and P. Schmitt-Kopplin, Anal. Bioanal. Chem., 2007, 389, 1459–1467 CrossRef CAS PubMed.
  19. D. F. Smith, A. Kiss, F. E. Leach 3rd, E. W. Robinson, L. Pasa-Tolic and R. M. Heeren, Anal. Bioanal. Chem., 2013, 405, 6069–6076 CrossRef CAS PubMed.
  20. Y. Wang, C. Ding, K. Du, Y. Xiao, C. Wu, J. Zhang, H. Qin and G. Du, Rapid Commun. Mass Spectrom., 2009, 23, 2724–2732 CrossRef CAS PubMed.
  21. J. Guan, Q. L. Zhang, R. Rong, F. Han, H. Y. Zhu, Y. L. Zhao, A. H. Song and Z. G. Yu, J. Chromatogr. B: Anal. Technol. Biomed. Life Sci., 2015, 993, 60–68 CrossRef PubMed.
  22. M. Hasegawa, S. Takenaka, M. Kuwamura, J. Yamate and S. Tsuyama, Exp. Toxicol. Pathol., 2007, 59, 115–120 CrossRef CAS PubMed.
  23. W. J. Ding, Y. Deng, H. Feng, W. W. Liu, R. Hu, X. Li, Z. M. Gu and X. P. Dong, World J. Gastroenterol., 2009, 15, 1518–1523 CrossRef CAS PubMed.
  24. S. Fu, J. Zhang, T. Li, S. Wang, W. J. Ding, M. M. Zhao, Y. F. Du, Q. Wang and J. Jia, J. Pharm. Biomed. Anal., 2014, 91, 210–221 CrossRef CAS PubMed.
  25. L. Zhou, J. Kang, L. Fan, X. C. Ma, H. Y. Zhao, J. Han, B. R. Wang and D. A. Guo, J. Pharm. Biomed. Anal., 2008, 47, 39–46 CrossRef CAS PubMed.
  26. Y. N. Wang, M. Zhao, Y. F. Ou, B. W. Zeng, X. Y. Lou, M. Wang and C. J. Zhao, J. Chromatogr. B: Anal. Technol. Biomed. Life Sci., 2016, 1020, 120–128 CrossRef CAS PubMed.

Footnote

Electronic supplementary information (ESI) available. See DOI: 10.1039/c6ra01428c

This journal is © The Royal Society of Chemistry 2016
Click here to see how this site uses Cookies. View our privacy policy here.