DOI:
10.1039/C6RA00580B
(Communication)
RSC Adv., 2016,
6, 24792-24796
Phosphine-catalyzed domino reactions of alkynyl ketones with sulfonylhydrazones: construction of diverse pyrazoloquinazoline derivatives†
Received
13th January 2016
, Accepted 27th February 2016
First published on 1st March 2016
Abstract
An efficient method for the synthesis of C-1 position acyl substituted pyrazoloquinazoline derivatives via a PBu3-promoted regioselective domino process of sulfonylhydrazones and alkynyl ketones was developed, which may be potentially useful for drug discovery.
Introduction
Due to the significance of molecular diversity and complexity in chemical biology and medicinal chemistry research, development of efficient strategies that can rapidly increase the level of structural diversity and complexity is an important theme in organic synthetic chemistry.1 Among the various synthetic approaches to these ends, those that utilize domino reactions of easily accessible starting materials are highly attractive for their step and atom economy.2 Pyrazoloquinazoline derivatives belong to a class of structurally novel N-fused heterocycles containing molecules of quinazoline and pyrazole frameworks. The compounds with this novel skeleton have showed many important bioactivities,3 such as kinase CK2 inhibitor,3a non-nucleoside HIV-1 reverse transcriptase inhibitor,3b excitatory amino acid antagonists,3c,d adenosine receptor antagonists,3e Gly/NMDA receptor antagonist,3f,g AMPA and kainite receptor.3h Pyrazoloquinazolines are also a versatile synthon for the preparation of a variety of other biological heterocycles.4 However, only a few approaches have been reported thus far to construct this novel structure, which are included (1) reactions of 2-(1H-pyrazol-5-yl)anilines with carbonates;5 (2) reactions of 3-diazoindolin-2-ones with enaminones6a or electron-deficient alkynes.6b Although the present methods offer some entries to the synthesis of pyrazoloquinazoline derivatives, most of them are limited regarding the synthesis of 1–acyl substituted pyrazoloquinazoline derivatives and suffer from other limitations such as multistep reactions, low yields, relatively narrow substrates, or poor chemoselectivity. Therefore, it is fascinating and desirable to diversely assemble this structurally novel fused N-heterocycles from simple materials via an elegant domino strategy.
Phosphine-catalyzed reactions have been emerged as one of the most important methods available for hetero ring construction.7 These reactions are mainly included the domino processes of allenes, Morita–Baylis–Hillman carbonates and alkynes with various electrophiles such as isocyanides,8a imines,8b aldehydes,8c azomethine imines,8d ketones,8e thioamides,8f ylides,8g aziridines8h and activated carbon–carbon double bonds8i to give diverse heterocyclic compounds. To continue to explore new phospine-promoted reactions, the expansion of the scope of electrophile for constructing new heterocycles is highly desirable. Sulfonylhydrazones were often used as precursors of diazo compounds,9 which served as carbene precursors, have received more attention.10 To the best of our knowledge, no paper has reported about the use of sulfonylhydrazones in phosphine-catalyzed domino reactions. We have previously reported a phosphine-catalyzed annulation of electron-deficient alkynes with phthalimide derivatives.11 It was hypothesized that sulfonylhydrazones with electron-deficient alkynes could also react and give similar [3 + 2] product in the presence of phosphine. However, only pyrazoloquinazoline derivative was found when N′-(1-benzyl-2-oxoindolin-3-ylidene)-4-methylbenzenesulfonohydrazide was treated with 1-phenylprop-2-yn-1-one in the presence of phosphine catalyst (Scheme 1). It should be noted that the formed substituted pyrazoloquinazoline derivative with acyl substituent at C-1 position is not easily accessed by known methods,5,6 and could be potentially useful in medicinal science. Herein, we wish to report a phosphine-catalyzed domino process using sulfonylhydrazones as electrophiles to construct diverse pyrazoloquinazoline derivatives.
 |
| | Scheme 1 Phosphine-catalyzed domino reactions of sulfonylhydrazone to construct pyrazoloquinazoline. | |
Results and discussion
Our study began with the reaction between 1-phenylprop-2-yn-1-one 1a and N′-(1-benzyl-2-oxoindolin-3-ylidene)-4-methylbenzenesulfonohydrazide 2a (Table 1). Various base catalysts in CH2Cl2 were examined, and PBu3 turned out to be the best catalyst in this transformation (Table 1, entries 1–4). With the aim to improve the yield of pyrazoloquinazoline 3a, we then examined the influences of the amount of PBu3 (Table 1, entries 5–8). Decreasing the catalyst loading to 10 mol% gave a lower yield of 3a. A higher yield was obtained when the amount of PBu3 was increased to 30 mol%, while the yield decreased in the presence of more amount of PBu3. Increasing or decreasing the temperature did not have a beneficial effect on the reaction (Table 1, entries 9–12). Next, we examined the influence of the solvent on the model reaction (Table 1, entries 13–17). Among the solvents tested, CH2Cl2, CH3CN and DMF were found to be usable. The product yields of 3a were obtained in 29% and 12% respectively when THF and Et2O were used as solvents for the reaction. A moderate yield of the target product 3a was collected in toluene. Consequently, the optimized conditions were obtained: use of 30 mol% PBu3 as the catalyst and CH2Cl2 as the solvent to perform the reaction at 0 °C.
Table 1 Optimization of reaction conditionsa

|
| Entry |
Cat. (mol%) |
Solvent |
Temp. (°C) |
Yieldb [%] |
| The reaction was carried out with 1-phenylprop-2-yn-1-one (1a) (0.24 mmol) and N′-(1-benzyl-2-oxoindolin-3-ylidene)-4-methylbenzenesulfonohydrazide (2a) (0.2 mmol) under an atmosphere of nitrogen for 6 h. Isolated yields. |
| 1 |
Ph3P(20) |
CH2Cl2 |
0 |
44 |
| 2 |
Bu3P(20) |
CH2Cl2 |
0 |
47 |
| 3 |
Et3N(20) |
CH2Cl2 |
0 |
34 |
| 4 |
K2CO3(20) |
CH2Cl2 |
0 |
0 |
| 5 |
Bu3P(10) |
CH2Cl2 |
0 |
22 |
| 6 |
Bu3P(30) |
CH2Cl2 |
0 |
59 |
| 7 |
Bu3P(50) |
CH2Cl2 |
0 |
28 |
| 8 |
Bu3P(100) |
CH2Cl2 |
0 |
22 |
| 9 |
Bu3P(30) |
CH2Cl2 |
25 |
36 |
| 10 |
Bu3P(30) |
CH2Cl2 |
Reflux |
15 |
| 11 |
Bu3P(30) |
CH2Cl2 |
−10 |
39 |
| 12 |
Bu3P(30) |
CH2Cl2 |
−30 |
14 |
| 13 |
Bu3P(30) |
THF |
0 |
29 |
| 14 |
Bu3P(30) |
Et2O |
0 |
12 |
| 15 |
Bu3P(30) |
CH3CN |
0 |
50 |
| 16 |
Bu3P(30) |
DMF |
0 |
45 |
| 17 |
Bu3P(30) |
Toluene |
0 |
34 |
After establishing the optimized reaction conditions, several alkynyl ketones were first synthesized and applied to explore the scope of reaction under present optimized conditions (Table 2, entries 1–9). As can see from the Table 2, both aromatic acetylenic ketones and aliphatic acetylenic ketones proceeded smoothly under the optimized conditions, to afford the corresponding products in moderate to good yields. The substituents on the phenyl ring of the aromatic acetylenic ketones have obvious effect on the yields of the reactions. For example, the reaction of 1-(4-methoxyphenyl)prop-2-yn-1-one or 1-(4-nitrophenyl)prop-2-yn-1-one, under the conditions described, gave the corresponding products 3c and 3g in 61% and 37% yields, respectively. Gratifyingly, 2-naphthyl acetylenic ketone also proceeded smoothly with 2a to give the desired product in a good yield. Importantly, the substrates with a halogen group (F, Cl or Br) were tolerated under the reactions, which can enable further transformations. But it should be noted that no product was observed and only 1-benzyl-3-diazoindolin-2-one was found when a β-substituted acetylenic ketone, such as 1,3-diphenylprop-2-yn-1-one, was submitted to this reaction under our typical conditions, which might be due to the steric effect. We have then explored the scope of sulfonylhydrazones 2 in this phosphine-catalyzed domino process under standard conditions and the results are summarized in Table 2. As can be seen from Table 2, the reactions proceeded smoothly to give the corresponding products 3j–3m in moderate to good yields whether electron-withdrawing or electron-donating groups were introduced at the 5- or 6-position of their benzene rings of N–Bn protected sulfonylhydrazones 2, suggesting that the electronic property of the substituents on the benzene rings did not have significant impact on the reaction yields (Table 2, entries 10–13). However, the 3-diazoindolin-2-one was sole product when N-unprotected sulfonylhydrazone was used as electrophile partner, which suggested N-protecting group is essential for this transformation (Table 2, entry 16).
Table 2 Preparation of diverse pyrazoloquinazoline derivativesa

|
| Entry |
R1 |
R2 |
R3 |
Yield [%] of 3b |
| The reaction was carried out with alkynyl ketones (1) (0.24 mmol) and sulfonylhydrazones (2) (0.2 mmol) under an atmosphere of nitrogen for 6 h. Isolated yields. No target product was found. |
| 1 |
Ph |
Bn |
H |
59 (3a) |
| 2 |
4-Me-Ph |
Bn |
H |
51 (3b) |
| 3 |
4-MeO-Ph |
Bn |
H |
61 (3c) |
| 4 |
4-Br-Ph |
Bn |
H |
57 (3d) |
| 5 |
4-Cl-Ph |
Bn |
H |
55 (3e) |
| 6 |
4 F-Ph |
Bn |
H |
52 (3f) |
| 7 |
4-NO2-Ph |
Bn |
H |
37 (3g) |
| 8 |
2-Naphthyl |
Bn |
H |
66 (3h) |
| 9 |
Me |
Bn |
H |
53 (3i) |
| 10 |
Ph |
Bn |
5-Me |
49 (3j) |
| 11 |
Ph |
Bn |
5-Cl |
58 (3k) |
| 12 |
Ph |
Bn |
5-F |
45 (3l) |
| 13 |
Ph |
Bn |
6-Cl |
60 (3m) |
| 14 |
Ph |
Me |
H |
56 (3n) |
| 15 |
Ph |
CH3CO |
H |
—c |
| 16 |
Ph |
H |
H |
—c |
The structures of the products were undeniably confirmed by X-ray crystallographic analysis of the compound 3a.12 The ORTEP diagram of 3a is shown in Fig. 1 and the CIF data are presented in the ESI.†
 |
| | Fig. 1 ORTEP drawing of 3a. | |
To understand these novel processes, 1-benzyl-3-diazo-1H-inden-2(3H)-one (4) was prepared and treated with 1-phenylprop-2-yn-1-one (1a) under different conditions (Scheme 2). We found that only C-2 position acyl substituted pyrazoloquinazoline derivative was formed and no 3a was given in the presence of Bu3P or no catalyst.
 |
| | Scheme 2 Reaction of 1-benzyl-3-diazo-1H-inden-2(3H)-one (4) with 1-phenylprop-2-yn-1-one (1a). | |
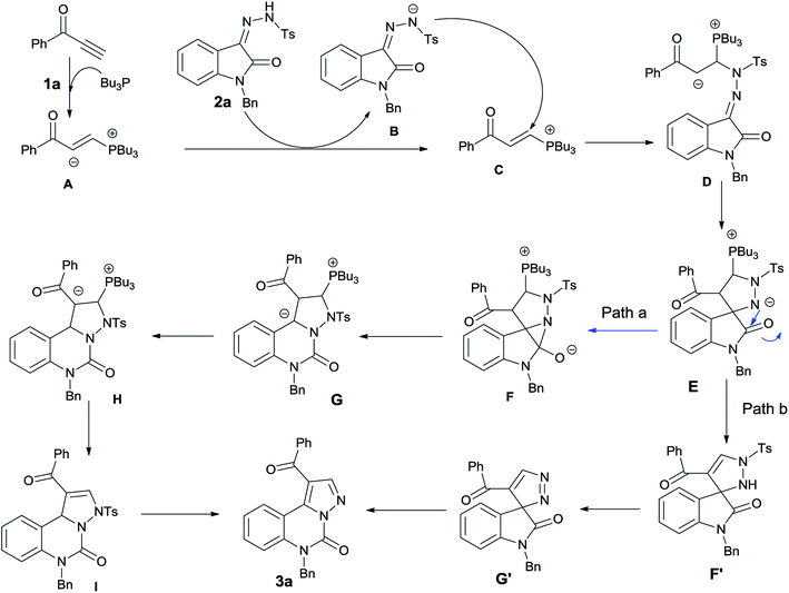
Up till now, the detailed mechanism of the phosphine promoted above reactions has not been clarified. However, on the basis of our experimental observations and known literature,6a,13 we proposed two tentative mechanisms that may rationalize the reaction outcome in Fig. 2. Conjugate addition of phosphine to 1-phenylprop-2-yn-1-one 1a to produce zwitterion A, which can then deprotonate 2a to generate intermediate B and C. Intermediate B then undergoes Michael addition to C and gives D. Intermediate D might then undergo intramolecular nucleophilic attack to form intermediate E. Intermediate E may proceed proton transfer and elimination of Bu3P to produce intermediate F′, which then spontaneously transformed to G′. Intermediate G′ was surmised to undergo 1,5-sigmatropic rearrangements to give the product 3a. Intermediate E may isomerize and eliminate Bu3P to give the intermediate I, which then aromatized to give the product 3a.
 |
| | Fig. 2 Plausible reaction mechanism. | |
Acknowledgements
This work was financially supported by the National Natural Science Foundation of China (Grant No. 21102179 and 21572271), the project-sponsored by SRF for ROCS, SEM and National Found for Fostering Talents of Basic Science (Grant No. J1030830).
Notes and references
-
(a) A. Dömling, W. Wang and K. Wang, Chem. Rev., 2012, 112, 3083–3135 CrossRef PubMed;
(b) M. Shiri, Chem. Rev., 2012, 112, 3508–3549 CrossRef CAS PubMed.
-
(a) S. E. Denmark, M. S. Dappen and C. J. Cramer, J. Am. Chem. Soc., 1986, 108, 1306–1307 CrossRef CAS;
(b) S. E. Denmark and A. Thorarensen, Chem. Rev., 1996, 96, 137–165 CrossRef CAS PubMed;
(c) L.-Q. Lu, J.-R. Chen and W.-J. Xiao, Acc. Chem. Res., 2012, 45, 1278–1293 CrossRef CAS PubMed.
-
(a) S. Moro, F. Varano, G. Cozza, M. A. Pagano, G. Zagotto, A. Chilin, A. Guiotto, D. Catarzi, V. Calotta, L. A. Pinna and F. Meggio, Lett. Drug Des. Discovery, 2006, 3, 281–284 CrossRef CAS;
(b) G. Campiani, F. Aiello, M. Fabbrini, E. Morelli, A. Ramunno, S. Armaroli, V. Nacci, A. Garofalo, G. Greco, E. Novellino, G. Maga, S. Spadari, A. Bergamini, L. Ventura, B. Bongiovanni, M. Capozzi, F. Bolacchi, S. Marini, M. Coletta, G. Guiso and S. Caccia, J. Med. Chem., 2001, 44, 305–315 CrossRef CAS PubMed;
(c) L. A. McQuaid, E. C. R. Smith, K. K. South, C. H. Mitch, D. D. Schoepp, R. A. True, D. O. Calligaro, P. J. O'Malley, D. Lodge and P. L. Ornstein, J. Med. Chem., 1992, 35, 3319–3324 CrossRef CAS PubMed;
(d) F. Varano, D. Catarzi, V. Colotta, G. Filacchioni, A. Galli, C. Costagli and V. Carla, J. Med. Chem., 2002, 45, 1035–1044 CrossRef CAS PubMed;
(e) D. Catarzi, V. Colotta, F. Varano, D. Poli, L. Squarcialupi, G. Filacchioni, K. Varani, F. Vincenzi, P. A. Borea, D. D. Ben, C. Lambertucci and G. Cristalli, Bioorg. Med. Chem., 2013, 21, 283–294 CrossRef CAS PubMed;
(f) F. Varano, D. Catarzi, V. Colotta, F. R. Calabri, O. Lenzi, G. Filacchioni, A. Galli, C. Costagli, F. Deflorian and S. Moro, Bioorg. Med. Chem., 2005, 13, 5536–5549 CrossRef CAS PubMed;
(g) M. Bacilieri, F. Varano, F. Deflorian, M. Marini, D. Catarzi, V. Colotta, G. Filacchioni, A. Galli, C. Costagli, C. Kaseda and S. Moro, J. Chem. Inf. Model., 2007, 47, 1913–1922 CrossRef CAS PubMed;
(h) F. Varano, D. Catarzi, V. Colotta, O. Lenzi, G. Filacchioni, A. Galli and C. Costagli, Bioorg. Med. Chem., 2008, 16, 2617–2626 CrossRef CAS PubMed.
- F. Beaulieu, C. Ouellet, E. H. Ruediger, M. Belema, Y. Qiu, X. Yang, J. Banville, J. R. Burke, K. R. Gregor, J. F. MacMaster, A. Martel, K. W. McIntyre, M. A. Pattoli, F. C. Zusi and D. Vyas, Bioorg. Med. Chem. Lett., 2007, 17, 1233–1237 CrossRef CAS PubMed.
- R. T. Wolfe, N. Greenbush and A. R. Surrey, US Pat. 3,313,815, 1967Chem. Abstr. 1967, 6713, 64428m.
-
(a) R. Augusti and C. Kascheres, J. Org. Chem., 1993, 58, 7079–7083 CrossRef CAS;
(b) B. R. Vogt, P. Yardley, US Pat. 4,112,096, 1978.
- For selected reviews, see:
(a) X. Lu, C. Zhang and Z. Xu, Acc. Chem. Res., 2001, 34, 535–544 CrossRef CAS PubMed;
(b) J. L. Methot and W. R. Roush, Adv. Synth. Catal., 2004, 346, 1035–1050 CrossRef CAS;
(c) V. Nair, R. S. Menon, A. R. Sreekanth, N. Abhilash and A. T. Biju, Acc. Chem. Res., 2006, 39, 520–530 CrossRef CAS PubMed;
(d) L. W. Ye, J. Zhou and Y. Tang, Chem. Soc. Rev., 2008, 37, 1140–1152 RSC;
(e) B. J. Cowen and S. J. Miller, Chem. Soc. Rev., 2009, 38, 3102–3116 RSC;
(f) Y. Wei and M. Shi, Acc. Chem. Res., 2010, 43, 1005–1018 CrossRef CAS PubMed;
(g) Y. C. Fan and O. Kwon, Chem. Commun., 2013, 49, 11588–11619 RSC;
(h) Z. Wang, X. Xu and O. Kwon, Chem. Soc. Rev., 2014, 43, 2927–2940 RSC.
- For selected examples, see:
(a) S. Kamijo, C. Kanazawa and Y. Yamamoto, J. Am. Chem. Soc., 2005, 127, 9260–9266 CrossRef CAS PubMed;
(b) Z. Xu and X. Lu, J. Org. Chem., 1998, 63, 5031–5041 CrossRef CAS;
(c) X. F. Zhu, C. E. Henry and J. Wang, Org. Lett., 2005, 7, 1387–1390 CrossRef CAS PubMed;
(d) L. Zhang, H. Liu, G. Qiao, Z. Hou, Y. Liu, Y. Xiao and H. Guo, J. Am. Chem. Soc., 2015, 137, 4316–4319 CrossRef CAS PubMed;
(e) T. Wang and S. Ye, Org. Biomol. Chem., 2011, 9, 5260–5265 RSC;
(f) B. Liu, R. Davis and B. Joshi, J. Org. Chem., 2002, 67, 4595–4598 CrossRef CAS PubMed;
(g) Z.-J. Jia, C. G. Daniliuc, A. P. Antonchick and H. Waldmann, Chem. Commun., 2015, 51, 1054–1057 RSC;
(h) H. Guo, Q. Xu and O. Kwon, J. Am. Chem. Soc., 2009, 131, 6318–6319 CrossRef CAS PubMed;
(i) Q.-F. Zhou, X. Chu, F. Ge, L. Cheng and T. Lu, Mol. Diversity, 2013, 17, 563–571 CrossRef CAS PubMed;
(j) S. Kamijo, C. Kanazawa and Y. Yamamoto, Tetrahedron Lett., 2005, 46, 2563–2566 CrossRef CAS;
(k) E. Li, P. Jia, L. Liang and Y. Huang, ACS Catal., 2014, 4, 600–603 CrossRef CAS;
(l) X. F. Zhu, J. Lan and O. Kwon, J. Am. Chem. Soc., 2003, 125, 4716–4717 CrossRef CAS PubMed;
(m) S. Zheng and X. Lu, Org. Lett., 2008, 10, 4481–4484 CrossRef CAS PubMed;
(n) J. Tian, R. Zhou, H. Sun, H. Song and Z. He, J. Org. Chem., 2011, 76, 2374–2378 CrossRef CAS PubMed;
(o) L. F. Wang, X. P. Cao, Z. F. Shi, P. An and H. F. Chow, Adv. Synth. Catal., 2014, 356, 3383–3390 CrossRef CAS;
(p) X. F. Zhu, A. P. Schaffner and R. C. Li, Org.
Lett., 2005, 7, 2977–2980 CAS;
(q) R. Na, C. Jing and Q. Xu, J. Am. Chem. Soc., 2011, 133, 13337–13348 CrossRef CAS PubMed;
(r) L. Xia, K. B. S. Magar and Y. R. Lee, Mol. Diversity, 2015, 19, 55–66 CrossRef CAS PubMed;
(s) W. Yao, X. Dou and Y. Lu, J. Am. Chem. Soc., 2014, 137, 54–57 CrossRef PubMed;
(t) X. C. Zhang, S. H. Cao, Y. Wei and M. Shi, Chem. Commun., 2011, 47, 1548–1550 RSC;
(u) H. P. Deng, Y. Wei and M. Shi, Org. Lett., 2011, 13, 3348–3351 CrossRef CAS PubMed;
(v) Y. Gu, P. Hu, C. Ni and X. Tong, J. Am. Chem. Soc., 2015, 137, 6400–6406 CrossRef CAS PubMed;
(w) X. Han, W. Yao, T. Wang, Y. R. Tan, Z. Yan, J. Kwiatkowski and Y. Lu, Angew. Chem., Int. Ed., 2014, 53, 5643–5647 CrossRef CAS PubMed;
(x) T. Wang, W. Yao, F. Zhong, G. Pang and Y. Lu, Angew. Chem., Int. Ed., 2014, 53, 2964–2968 CrossRef CAS PubMed;
(y) T. Wang, Z. Yu, D. Hoon, K. Huang, Y. Lan and Y. Lu, Chem. Sci., 2015, 6, 4912–4922 RSC;
(z) L. Liang, E. Li, P. Xie and Y. Huang, Chem.–Asian J., 2014, 9, 1270–1273 CrossRef CAS PubMed.
- J. M. Muchowski, Tetrahedron Lett., 1966, 1773–1778 CrossRef CAS.
-
(a) T. Ye and M. A. McKervey, Chem. Rev., 1994, 94, 1091–1160 CrossRef CAS;
(b) A. Padwa and M. D. Weingarten, Chem. Rev., 1996, 96, 223–269 CrossRef CAS PubMed;
(c) M. P. Doyle and D. C. Forbes, Chem. Rev., 1998, 98, 911–935 CrossRef CAS PubMed;
(d) D. M. Hodgson, F. Y. T. M. Pierard and P. A. Stupple, Chem. Soc. Rev., 2001, 30, 50–61 RSC;
(e) H. M. L. Davies and R. E. Beckwith, Chem. Rev., 2003, 103, 2861–2903 CrossRef CAS PubMed;
(f) Z. Zhang and J. Wang, Tetrahedron, 2008, 64, 6577–6605 CrossRef CAS;
(g) Y. Zhang and J. Wang, Chem. Commun., 2009, 5350–5361 RSC;
(h) Y. Zhang and J. Wang, Eur. J. Org. Chem., 2011, 1015–1026 CrossRef.
-
(a) Q.-F. Zhou, X.-P. Chu, F.-F. Ge, Y. Wang and T. Lu, Adv. Synth. Catal., 2013, 355, 2787–2792 CrossRef CAS;
(b) X. Chen, F.-F. Ge, T. Lu and Q.-F. Zhou, J. Org. Chem., 2015, 80, 3295–3301 CrossRef CAS PubMed;
(c) Q.-F. Zhou, F.-F. Ge, Q.-Q. Chen and T. Lu, RSC Adv., 2016, 6, 1395–1402 RSC.
- CCDC 1425307 contains the supplementary crystallographic data for compound 3a.
-
(a) S. Khong and O. Kwon, J. Org. Chem., 2012, 77, 8257–8267 CrossRef CAS PubMed;
(b) S.-J. Chang, B. K. R. Shankar and H. Shechter, J. Org. Chem., 1982, 47, 4226–4234 CrossRef CAS;
(c) P. A. Blair, S.-J. Chang and H. Shechter, J. Org. Chem., 2004, 69, 7123–7133 CrossRef CAS PubMed.
Footnote |
| † Electronic supplementary information (ESI) available. CCDC 1425307. For ESI and crystallographic data in CIF or other electronic format see DOI: 10.1039/c6ra00580b |
|
| This journal is © The Royal Society of Chemistry 2016 |
Click here to see how this site uses Cookies. View our privacy policy here.