DOI:
10.1039/C5RA26600A
(Paper)
RSC Adv., 2016,
6, 8440-8448
Alkoxycarbonylation of α,β-unsaturated amides catalyzed by palladium(II) complexes: a DFT study of the mechanism†
Received
13th December 2015
, Accepted 12th January 2016
First published on 15th January 2016
Abstract
The reaction mechanisms of the palladium-catalyzed alkoxycarbonylation of α,β-unsaturated amides are studied by means of density functional theory (DFT) at the B3LYP/def2-TZVP//B3LYP/def2-SVP level of theory including solvent and dispersion corrections. Two possible pathways, hydride and alkoxy, are examined and their corresponding intermediates and transition structures are calculated for the alpha and beta products. The active catalytic intermediate for the first pathway is the [Pd(II)(PPh3)2(H)Cl] hydride complex, and the second considers the [Pd(II)(PPh3)2(OMe)Cl] alkoxy complex as the active species. The calculations support the palladium-catalyzed alkoxycarbonylation of α,β-unsaturated amides by a three-step reaction mechanism based on palladium-alkoxy precursor, namely, the insertion of CO into the Pd–OMe bond, the insertion of the C
C amide bond into the Pd–C bond and the formation of the product, and the regeneration of the catalyst through a metathesis mechanism.
1. Introduction
Carbonylation reactions rank among the most important examples of industrially applied homogeneous catalytic reactions.1,2 α,β-Unsaturated amides can be prepared by the direct carbonylation of alkynes in the presence of amines as nucleophiles.3,4 We have previously reported the palladium-catalyzed alkoxycarbonylation reaction of a variety of α,β-unsaturated amides to produce chemoselectively the α,ω-amidoesters (linear isomer) as predominant products (eqn (1)). In that study, it was shown that α,γ-amidoesters (branch isomers) were not formed, while the hydrogenated products were detected as by-products from the above reaction.5| |
 | (1) |
The knowledge about selectivity and reactivity of a reaction is of primary importance in the study of the reaction mechanism. Quantitative description of these two key concepts is the basis for the better understanding of many chemical processes in different fields, such as catalysis, adsorption, materials science, biology, pharmacology, … etc.6 Recent progress in computational chemistry has shown that many important chemical and physical properties of the species involved in catalytic reactions can be predicted by this technique.7 This ability is especially important with respect to homogenously catalyzed reactions, where the isolation of key intermediates is usually difficult to achieve. Many catalytic cycles have been proposed for different catalytic systems that catalyze the alkoxycarbonylation reaction of alkenes8,9 alkynes10–12 and enamines.13 The support of these mechanisms was based on the experimental results of the influence of different reaction parameters on the catalytic activity and regioselectivity of the reaction. The use of the theoretical calculations to model catalytic cycles has been reported for metal-catalyzed alkoxycarbonylation reactions.13,14 However, to the best of our knowledge, no theoretical study has been reported on the alkoxycarbonylation of α,β-unsaturated amides. Understanding the possible working mechanism in this metal-catalyzed reaction will help researchers to design more efficient catalyst systems for the carbonylation reactions of unsaturated amides using different nucleophiles.
The aim of the present contribution is to address computationally the nature of the active species and the key chemoselective intermediates based on the competition between the hydride and alkoxy pathways, which are proposed here for the formation of α,ω-amidoesters as chemoselective products in the alkoxycarbonylation of α,β-unsaturated amides. Hence, the present computational study of the alkoxycarbonylation of α,β-unsaturated amides was developed based on our previously reported experimental results.5
2. Computational details
All calculations were performed using the Gaussian 09, Revision D.01, package,15 and the B3LYP functional application.16 Geometries of reactants, transition states and products were fully optimized considering solvent corrections using def2-SVP basis set17 for all atoms, and characterized with frequency calculations (no and a single imaginary frequency for minima and transition states, respectively). The solvation effect was included in the optimization process using the polarizable continuum model (PCM)18 method with the united atom for Universal Force Field (UFF) radii and the parameters for methanol. The dispersion effect was also included in the geometry optimization step by using the D3 atom by atoms correction of Grimme.19 The validity of each reaction path was further examined by the intrinsic reaction coordinate calculations (IRC). The final energies reported in this article were obtained from single-point calculations by using a larger basis set (def2-TZVP) for all atoms.20 Zero-point energy corrections (ZPE), derived from the frequency calculations, were added to the total energies of each species in the catalytic cycles. The Gibbs energies (G) were also calculated at 383.15 K. The results were visualized by using the CYLView program.21
For the DFT study, PPh3 as a phosphine ligand and a simplified N,N-dimethyl-2-butenamide substrate were considered. Methanol was adopted as both nucleophile and solvent in the calculations [via a polarizable continuum model (PCM)].
3. Results and discussion
There are two main mechanisms that have been proposed for alkoxycarbonylation of alkenes and alkynes with alcohols: the hydride and alkoxy mechanisms.22–26 When considering unsubstituted alkenes, such as ethylene, as reactants, the two mechanisms can be used to describe the formation of the alkoxycarbonylation products. However, this cannot be generalized for the alkoxycarbonylation of substituted alkenes where two regioselective isomers can be produced. Recent approaches in describing the regioselectivity profile in alkoxycarbonylation of substituted alkenes suggest that the two isomeric products could be produced via different mechanistic pathways and different key-active species.14 This discovery encouraged us to investigate computationally the two main plausible mechanisms in our attempt to address the formation origin of α,ω-amidoesters (linear) as chemoselective products of the alkoxycarbonylation of α,β-unsaturated amides. The two mechanisms have been proposed based on careful study of the experimental results of screening different reaction parameters as we reported previously5 while considering the optimum conditions. Table 1 includes a combination between some of these reported results with new results reported in this study.
Table 1 Palladium-catalyzed alkoxycarbonylation of α,β-unsaturated amide 1. The effect of different palladium complexes and phosphine liganda
| Entry |
Palladium precursor |
Ligand |
Conversion 1a b (%) |
Products distributionc (%) |
| α,ω-Amido ester |
Hydrogenation product |
| Reaction conditions: catalyst (0.04 mmol), ligand (0.08 mmol), 1 (0.50 mmol), CH3OH (8.0 mL), H2O (8.0 mmol), CO (100 psi), 110 °C, 6 h. Determined by GC. Determined by GC and 1H-NMR. Solvent = THF, CH3OH = 8.0 mmol. Solvent = CH3CN, CH3OH = 8.0 mmol. p-TsOH = 0.30 mmol. H2 = 100 psi. Substrate = trans-cinnamide (2) (0.50 mmol). |
| 1 |
Pd(PhCN)2Cl2 |
— |
0 |
— |
— |
| 2 |
Pd(PhCN)2Cl2 |
PPh3 |
69 |
99 |
1 |
| 3 |
Pd(PPh3)2Cl2 |
— |
84 |
99 |
1 |
| 4 |
PdCl2 |
PPh3 |
89 |
97 |
3 |
| 5 |
PdCl2 |
— |
15 |
0 |
100 |
| 6 |
Pd(OAc)2 |
PPh3 |
0 |
— |
— |
| 7d |
Pd(PPh3)2Cl2 |
— |
64 |
7 |
93 |
| 8e |
Pd(PPh3)2Cl2 |
— |
40 |
62 |
38 |
| 9f |
Pd(PPh3)2Cl2 |
— |
74 |
12 |
88 |
| 10g |
Pd(PPh3)2Cl2 |
— |
64 |
100 |
0 |
| 11h |
Pd(PPh3)2Cl2 |
— |
54 |
100 |
0 |
3.1. Hydride cycle
The proposed hydride cycle for the alkoxycarbonylation of N,N-dimethyl-2-butenamide is shown in Scheme 1. The proposed intermediates for linear (beta) isomer (a sole product in the alkoxycarbonylation reaction) are shown only in this cycle for simplification. The active start-up intermediate proposed for this cycle is the Pd(II)-hydridophosphinochloro complex. The experimental results shown in Table 1 proved the requirement of the presence of both phosphine and chloro ligands to initiate the catalytic activity of palladium precursors in the alkoxycarbonylation of α,β-unsaturated amides.
 |
| | Scheme 1 DFT-derived scheme for alkoxycarbonylation of N,N-dimethyl-2-butenamide by a palladium(II) hydride chloro diphosphine complex. | |
3.1.1. Catalyst generation and unsaturated amide coordination. The first key step in the mechanism of the alkoxycarbonylation of amide is the formation of the 16-electron active catalyst [Pd(PPh3)2(H)Cl] (1H) via the reaction of Pd(PPh3)2Cl2 with CH3OH.27 Similar hydride intermediates have been proposed in various catalytic cycles, including those of asymmetric hydrocarboxylation and hydroesterification of prochiral olefins.28The next key step is the coordination of the olefinic part of the α,β-unsaturated amide substrate yielding the intermediate 2H. Since the 1H intermediate can exist in two different geometries, cis and trans, we have tested the relative stability of the two possible geometries of intermediate 2H produced via the coordination step.
Data shown in Fig. 1 demonstrated that the 2H-cis intermediate is more stable than the corresponding trans isomer (2H-trans) by 6.6 kcal mol−1. The optimized structure of 2H (distorted square pyramidal) showed that the Pd–H bond occupies the axial position to the PdPClC
C. The Pd–C bond lengths are 2.19/2.22 Å with an elongation of the C
C bond (1.38 Å) when compared with the free ligand. This elongation can be explained by the donation and back donation interaction model of the frontier molecular orbital.29 These values are in agreement with values reported in literature for palladium–alkene complexes.30 The exchange of the phosphine ligand by the olefin to the catalytic precursor 1H is endothermic by 22.7 kcal mol−1.
 |
| | Fig. 1 Relative energy (in kcal mol−1) between 2H-cis and trans isomers. | |
The energy profile for the hydride cycle intermediates and transition structures is shown in Fig. 2 (tabulated data can be found in the ESI†).
 |
| | Fig. 2 Computed DFT energies (kcal mol−1, relative to 1A and isolated reactants) for branch (red, pathway (a)) and linear (blue, pathway (b)) alkoxy product obtained via alkoxycarbonylation of N,N-dimethyl-2-butenamide through hydride cycle. Only chemical structures for the linear (b) pathway are represented. | |
3.1.2. Alkene insertion. The insertion of the substituted alkene into the Pd–H bond leads to the formation of two palladium complexes, branch (alpha) and linear (beta), with respect to the carbonyl group in case of α,β-unsaturated esters. It is reported that nucleophilic addition usually occurs with delivery of an hydride nucleophile to the β carbon atom of an α,β-unsaturated ester yielding a C- or O-bound palladium enolate (3H-a).31Although, the linear alkoxy isomer is the sole product from the alkoxycarbonylation of α,β-unsaturated amides, we are also proposing to study the addition of an hydride nucleophile to the α carbon atom to produce 3H-b. η3 coordination mode for the alkene with palladium metal was also reported in literature.32
The structures of the two transition states, TSH23-a and TSH23-b, are located (Fig. 3) and their imaginary vibration modes (266i and 622i cm−1) indicate the migratory insertion of the C
C double bond into the metal hydride due to the shortening of the H–C distances (1.85 Å). Taking 1H as the starting point, the computed activation free energies for both pathways are 25.3 and 23.9 for the branch (TSH23-a) and linear (TSH23-b) pathways, respectively.
 |
| | Fig. 3 Geometrical representation of DFT optimized transition structures TSH23-a, TSH23-b, TSH45-a and TSH45-b. | |
The optimized geometries of 3H-a and 3H-b intermediates are thus obtained and the structures show interesting coordination of the carbonyl oxygen atom with palladium, forming a 4-membered ring in 3H-a and 5-membered ring in 3H-b (see ESI†). This chelating feature is reported to be quite stable even in the presence of strongly coordinating solvent and anions.33 The branch isomer 3H-a is less stable than the linear 3H-b by 3.4 kcal mol−1.
3.1.3. CO addition and insertion. Since CO is a stronger chelating ligand than the carbonyl oxygen, we assume the CO addition on intermediates 3H-a/3H-b to occur next, producing species with a distorted square planar geometry (4H-a/4H-b), followed by the insertion (carbonylation) process leading to the corresponding acyl complexes [(CH3)2NCO(C3H6)COPdPCl] (5H-a/5H-b). The calculated energetic data on intermediates 4H-a and 4H-b reveal higher stability for the branch isomer over the linear isomer by a 5.3 kcal mol−1, and this coordination step in our system is slightly endothermic for the isomer 4H-b.The next step is the CO insertion process, converting the alkyl complexes 4H-a/4H-b into the acyl complexes 5H-a/5H-b. The transition states for this step in both pathways, TSH45-a and TSH45-b were determined (see Fig. 3) and their computed activation energies from 4H-a and 4H-b (16.5 and 18.6 kcal mol−1, respectively) reveal that energetic barriers are affordable and the absence of kinetic control over the regioselectivity in this step. The optimized geometries of the two isomers 5H-a and 5H-b showed again the interesting coordination of the carbonyl oxygen to the palladium center. The difference in energy for the two complexes is very small (1.1 kcal mol−1), which indicates again the absence of any contribution of this step in accounting for the regioselectivity of the alkoxycarbonylation reaction. The insertion of CO on Pd–alkyl bond is also an exothermic process for the two isomers 5H-a and 5H-b by 13.3 and 12.4 kcal mol−1, respectively.
3.1.4. Methanolysis of intermediates 5H-a and 5H-b. The proposed mechanisms for the methanolysis step in carbonylation reactions include the direct attack of methanol with no vacant site on Pd center,34 or the protonation of free phosphine ligand to generate a methoxy ligand on Pd,27 or the intermolecular concerted methanolysis of a tricoordinated palladium intermediate,35 or the intra-molecular attack of cis coordinated CH3OH on the acyl carbon.36 We have considered the later mechanism in this study for calculating the optimized structures and relative energies of intermediates 6H-a and 6H-b produced upon methanolysis of intermediates 5H-a and 5H-b in the hydride cycle. The use of methanol as both nucleophile and solvent provides a large availability of methanol molecules in the reaction medium. This factor has encouraged us to propose the formation of the isomers 6H-a and 6H-b. It is interesting to note also that the H–O bonds in 6H-a and 6H-b are parallel with the oxygen atom in the amide group. One reason for this conformation in the above intermediates is the formation of hydrogen bond between the polar H–O bond and the amide C
O bond concluding that the coordination of CH3OH to the metal is exothermic by 17.3 and 20.0 kcal mol−1 for 6H-a and 6H-b, respectively. The H–O distances in 6H-a and 6H-b are 1.61 and 1.62 Å, while the Pd–O distances in the two intermediates are 2.22 Å. These data are close to those reported for similar palladium–methanol complexes.14For the oxidative addition of the O–H bond to the metal center, our attempts to determine the corresponding transition structures were unsuccessful but the intermediates 7H-a and 7H-b were located. The very high relative energy of both intermediates, 36.7 and 27.2 kcal mol−1 for 7H-a and 7H-b, respectively, indicate that this pathway cannot close the catalytic cycle and the observed products cannot be reached following this proposal although the formation of the final products (AP and BP) and the catalyst 1H are exothermic for the branch and linear esters by 34.6 and 36.5 kcal mol−1, respectively.
It is worth mentioning here that we have carried out also additional calculations on the intermolecular concerted methanolysis mechanism reported in literature for the methanolysis of cationic palladium complexes.35 Our obtained results showed that such mechanism is unlikely the working mechanism in our alkoxycarbonylation reaction since its proposed intermediates cannot be obtained computationally.
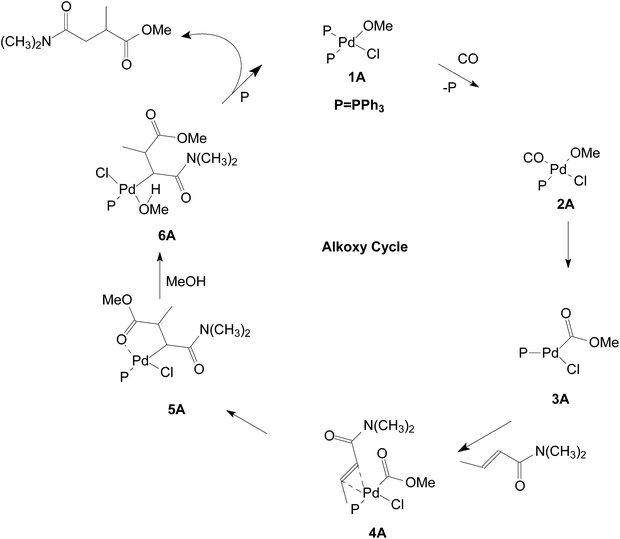
3.2. Alkoxy cycle
In addition to the described “hydride” mechanism, an alkoxy mechanism based on alkoxy-palladium active species has been proposed for the alkoxycarbonylation of alkynes and alkenes.37 In the alkoxy mechanism, the catalytic cycle is initiated by the formation of a Pd–alkoxy complex that reacts with CO yielding the palladium alkoxycarbonyl intermediate. The termination step involves the alcohol similarly at it was proposed in the hydride cycle, although the hydrogen atom will be transferred to the organic moiety and the methoxy group will regenerate the catalyst. The detailed proposed alkoxy mechanism for the alkoxycarbonylation of α,β-unsaturated amide is shown in Scheme 2. The mechanism involves: (i) the formation of an alkoxy-palladium complex generated by the insertion of CO into a Pd–O bond, (ii) the migration of the ester moiety on a carbon atom of the double bond of the unsaturated amide π-coordinated to the metal center, and (iii) the protonolysis of the resulting intermediate. The DFT-based potential energy profiles for all intermediates in the palladium-alkoxy α,β-unsaturated amide alkoxycarbonylation cycle is shown in Fig. 4.
 |
| | Scheme 2 DFT-derived scheme for alkoxycarbonylation of N,N-dimethyl-2-butenamide by a palladium(II) alkoxy chloro diphosphine complex. | |
 |
| | Fig. 4 Computed DFT energy (kcal mol−1, relative to 1A and isolated reactants) for the branch (red, pathway (a)) and linear (blue, pathway (b)) alkoxy product obtained via alkoxycarbonylation of N,N-dimethyl-2-butenamide through alkoxy cycle. Only chemical structures for the linear (b) pathway are represented. | |
3.2.1. Catalyst generation. The first key step in the alkoxy-mechanism of the alkoxycarbonylation of unsaturated amide is the formation of the 16-electron active catalyst [Pd(PPh3)2(OCH3)Cl] (1A) via reaction of Pd(PH3)Cl2, 2PPh3 and CH3OH.24,37 The optimized geometry of this species around palladium center is a distorted square planar with P–Pd–O angles of 78° and 173°, and Pd–P bonds distances of 2.31 Å and 2.32 Å.
3.2.2. CO coordination. The next step is the CO coordination to 1A. The structure of the resulting optimized geometry 2A is a square distorted planar conformation around the central palladium with C–Pd–O angle of 83° and Pd–C bond distance of 1.90 Å. The computed relative energy of 2A reveals that the replacement of the phosphine ligand by the CO molecule is endothermic by 20.1 kcal mol−1. Since trans effects were reported to be a quite pronounced on the activity of alkoxycarbonylation reactions,38 an intermediate with the methoxy ligand in trans position to chloride ligand (2A-t) was also proposed and optimized. This intermediate was found to be less stable than 2A by a 2.0 kcal mol−1 and therefore was not considered any more in our study.
3.2.3. CO insertion. The insertion of CO into 2A leads to the formation of palladium carboalkoxy intermediate 3A which accompanied also by the de-chelation of one Pd–phosphine ligand. Complexes similar to 3A were reported to be formed via transmetallation rather than insertion reactions,39,40 and the synthesis of palladium carboalkoxy complexes with phosphines were also reported.41,42 Our calculations reveal that this step is endothermic by a 23.8 kcal mol−1. This result is not in agreement with a recent theoretical study, which found that the CO insertion into the Pd–OCH3 bond is thermodynamically favorable compared with insertion into a Pd–CH3 bond.43 The differences can be attributed to the presence of the strong coordinating chloride ligand in our Pd-alkoxy species. The same reason can be used to explain why a similar intermediate to 3A but with more donative interaction via the involvement of η2-acyl bond coordination mode (3A–G)44 did not help in reducing the energy barrier of the insertion step (3A is more stable than 3A–G by a 37.1 kcal mol−1).The structure of the transition state for the CO insertion step, TSA23 was located showing an overall activation energy of 25.5 kcal mol−1 and its imaginary vibration mode (182i cm−1) indicates the migratory insertion of CO to the Pd–alkoxy bond due to the shortening of the C–Pd–O angle to 55° as it is shown in Fig. 5.
 |
| | Fig. 5 Geometrical representation of DFT optimized transition structures TSA23 (up), TSA45-b (middle) and TSA61-b (down). | |
3.2.4. Unsaturated amide coordination and insertion. The coordination of unsaturated amide via olefinic bond leads to the formation of intermediate 4A which is exothermic by 0.9 kcal mol−1. The next step, along the proposed catalytic cycle, is the insertion of the olefinic amide moiety into the palladium–carbomethoxy bond in 4A. Again, this insertion can occur in two ways: Markovnikov and anti-Markovnikov additions yielding branch (alpha) (5A-a) and linear (beta) (5A-b) isomers, respectively. The transition structures TSA45-a and TSA45-b have shown activation energies of 16.8 and 16.6 kcal mol−1, respectively. The geometry of TSA45-b is shown in Fig. 5. The optimized geometry for the two isomers of 5A indicates an interesting coordination of the lone pair of electrons of the carbonyl oxygen atom to a palladium center, leading to the formation of a planar five-membered ring. This kind of coordination for the carbonyl oxygen has been proved experimentally and theoretically in many complexes by other authors.45,46 The migration step is exothermic for the two isomers 5A-a and 5A-b by 9.7 and 12.4 kcal mol−1, respectively.
3.2.5. Protonolysis of intermediates 5A-a and 5A-b. The protonolysis step can occur in two steps. The first step involves the coordination of one methanol molecule on the palladium center leading to the formation of intermediates 6A-a and 6A-b, and the second step corresponds to a metathesis mechanism consisting in the breaking of the MeO–H and Pd–C bonds and the formation of the Pd–OMe and C–H bond. The imaginary vibration modes of the transition states TSA61-a and TSA61-b (1387i and 1431i cm−1) demonstrate clearly the protonolysis step by enlargement of the H–O bond (1.29 Å), where the H atom from methanol ligand is migrating to the carbon atom of the Pd–C bond while the four atoms involved (Pd–O–H–C) are in a planar arrangement (see Fig. 5).After TSA61 is reached, the products AP and BP are obtained and they are very exothermic, −35.4 and −40.1 kcal mol−1, respectively, and the catalyst 1A is regenerated. The computed energetic data for the whole reactions in the alkoxy cycle are available in Table S3 in the ESI.† Inspection of Fig. 4 reveals that the energy span for the alpha pathway, leading to the branched product, is 31.8 kcal mol−1 and it is defined by the intermediate 6A-a and the transition structure TSA61-a.47 The calculated energy span for the beta pathway, leading to the linear product, is 27.3 kcal mol−1 and it is determined by the 6A-b intermediate and TSA61-b structure. Hence, the DFT calculations for the proposed alkoxy catalytic cycle indicate that the formation of the linear product is favored both thermodynamically and kinetically. The rate determinant step corresponds to the protonolysis process for both branch and linear pathways and high temperatures will be needed to afford the catalysis. It is worth mentioning that considering the trans effects in our study for the key regioselective intermediates and subsequent transition states in the alkoxy cycle gave higher energy barriers for this cycle (see Table S3 in the ESI†) and hence they were not explored in our study.
4. Conclusions
Theoretical investigations (DFT/B3LYP) of the palladium-hydride and palladium-alkoxy mechanisms, proposed for the alkoxycarbonylation reaction of α,β-unsaturated amides were carried out to interpret the origin of the regioselectivity of the above mentioned reaction. This study compared the theoretical results with experimental observations, which have already been reported by our group. The results obtained for the catalytic cycle considering the alkoxy complex 1A as the active catalyst yield affordable activation energies for the different steps at the experiment conditions, while the results for the hydride complex 1H as catalyst are not in agreement with the experimental results. Hence, the proposed catalytic cycle through 1A is initiated by the insertion of the molecule of CO coordinated to the metal into the Pd–OMe bond followed by the coordination of the olefin of the amide to the vacancy at the metal. This coordination may occur in two different orientations, each of them leading to the branch and linear products. Olefin insertion into the Pd–C bond takes place at low energy activation barriers followed by coordination of methanol to the vacancy at the metal. Finally, the rate determinant step corresponds to the formation of the product by a metathesis mechanism where the hydrogen is transferred to the carbon while the methoxy Pd complex is regenerated.
Acknowledgements
We thank King Fahd University of Petroleum & Minerals and CoRE-C (Saudi Arabia) for providing all support to this Work.
References
- L. Kollár, Modern Carbonylation Methods, Wiley-VCH, 2008 Search PubMed.
- M. Beller, Catalytic Carbonylation Reactions, Springer, Berlin, 2006 Search PubMed.
- B. El Ali and J. Tijani, Appl. Organomet. Chem., 2003, 17, 921–931 CrossRef CAS.
- R. Suleiman, J. Tijani and B. El Ali, Appl. Organomet. Chem., 2010, 24, 38–46 CAS.
- R. Suleiman and B. El Ali, Tetrahedron Lett., 2010, 51, 3211–3215 CrossRef CAS.
- G. Madjarova, A. Tadjer, Tz. P. Cholakova, A. A. Dobrev and T. Mineva, J. Phys. Chem. A, 2005, 109, 387–393 CrossRef CAS PubMed.
- S. Niu and M. B. Hall, Chem. Rev., 2005, 100, 353–405 CrossRef.
- T. O. Vieira, M. J. Green and H. Alper, Org. Lett., 2006, 8, 6143–6145 CrossRef CAS PubMed.
- G. Rangits and L. Kollár, J. Mol. Catal. A: Chem., 2005, 242, 156–160 CrossRef CAS.
- M. Akao, S. Sugawara, K. Amino and Y. Inoue, J. Mol. Catal., 2000, 157, 117–122 CrossRef CAS.
- B. El Ali and H. Alper, J. Mol. Catal., 1991, 67, 29–33 CrossRef CAS.
- J. Tijani, R. Suleiman and B. El Ali, Appl. Organomet. Chem., 2008, 22, 553–559 CrossRef CAS.
- S. Klaus, H. Neumann, H. Jiao, J. A. Wangelin, D. Gördes, D. Strübing, S. Hübner, M. Hateley, C. Weckbecker, K. Huthmacher, T. Riermeier and M. Beller, J. Organomet. Chem., 2004, 689, 3685–3700 CrossRef CAS.
- R. Suleiman, A. Ibdah and B. El Ali, J. Organomet. Chem., 2011, 696, 2355–2363 CrossRef CAS.
- M. J. Frisch, G. W. Trucks, H. B. Schlegel, G. E. Scuseria, M. A. Robb, J. R. Cheeseman, G. Scalmani, V. Barone, B. Mennucci, G. A. Petersson, H. Nakatsuji, M. Caricato, X. Li, H. P. Hratchian, A. F. Izmaylov, J. Bloino, G. Zheng, J. L. Sonnenberg, M. Hada, M. Ehara, K. Toyota, R. Fukuda, J. Hasegawa, M. Ishida, T. Nakajima, Y. Honda, O. Kitao, H. Nakai, T. Vreven, J. A. Montgomery Jr, J. E. Peralta, F. Ogliaro, M. Bearpark, J. J. Heyd, E. Brothers, K. N. Kudin, V. N. Staroverov, R. Kobayashi, J. Normand, K. Raghavachari, A. Rendell, J. C. Burant, S. S. Iyengar, J. Tomasi, M. Cossi, N. Rega, J. M. Millam, M. Klene, J. E. Knox, J. B. Cross, V. Bakken, C. Adamo, J. Jaramillo, R. Gomperts, R. E. Stratmann, O. Yazyev, A. J. Austin, R. Cammi, C. Pomelli, J. W. Ochterski, R. L. Martin, K. Morokuma, V. G. Zakrzewski, G. A. Voth, P. Salvador, J. J. Dannenberg, S. Dapprich, A. D. Daniels, Ö. Farkas, J. B. Foresman, J. V. Ortiz, J. Cioslowski and D. J. Fox, Gaussian, Inc., Wallingford CT, 2013.
-
(a) C. Lee, W. Yang and R. G. Parr, Phys. Rev. B: Condens. Matter Mater. Phys., 1998, 37, 785–789 CrossRef;
(b) A. D. Becke, J. Chem. Phys., 1993, 98, 1372–1377 CrossRef CAS;
(c) A. D. Becke, J. Chem. Phys., 1993, 98, 5648–5652 CrossRef CAS.
- F. Weigend and R. Ahlrichs, Phys. Chem. Chem. Phys., 2005, 7, 3297–3305 RSC.
-
(a) V. Barone and M. Cossi, J. Phys. Chem. A, 1998, 102, 1995–2001 CrossRef CAS;
(b) M. Cossi, N. Rega, G. Scalmani and V. Barone, J. Comput. Chem., 2003, 24, 669–681 CrossRef CAS PubMed.
- S. Grimme, J. Antony, S. Ehrlich and H. Krieg, J. Chem. Phys., 2010, 132, 154104 CrossRef PubMed.
- K. Eichkorn, F. Weigend, O. Treutler and R. Ahlrichs, Theor. Chem. Acc., 1997, 97, 119–124 CrossRef CAS.
- CYLView, 1.0b; C. Y. Legault, Université de Sherbrooke, 2009, http://www.cylview.org.
- V. Ritleng, C. Sirlin and M. Pfeffer, Chem. Rev., 2002, 102, 1731–1769 CrossRef CAS PubMed.
- K. Nozaki, N. Sato, Y. Tonomura, M. Yasutomi, H. Takaya, T. Hiyama, T. Matsubara and N. Koga, J. Am. Chem. Soc., 1997, 119, 12779–12795 CrossRef CAS.
- A. Seayad, A. A. Kelkar, L. Toniolo and R. V. Chaudhari, J. Mol. Catal., 2000, 151, 47–59 CrossRef CAS.
- I. Del Rio, N. Ruiz, C. Claver, L. A. vanVeen and P. W. N. M. van Leeuwen, J. Mol. Catal., 2000, 161, 39–48 CrossRef CAS.
- D. Zargarian and H. Alper, Organometallics, 1993, 12, 712–724 CrossRef CAS.
- D. J. Cole-Hamilton and R. A. M. Robertson, Catalytic Synthesis of Alkene–Carbon Monoxide Copolymers and Cooligomers, ed. A. Sen, Kluwer Academic Publishers, Dordrecht, 2003 Search PubMed.
- I. Tóth and C. J. Elsevier, Organometallics, 1994, 13, 2118–2132 CrossRef.
- J. A. Serrano, A. Lledós and B. Duckett, Organometallics, 2008, 27, 43–52 CrossRef.
- D. D. Ellis and A. L. Spek, Acta Crystallogr., Sect. C: Struct. Chem., 2001, 57, 235–236 CAS.
- T. Nishikata, Y. Yamamoto and N. Miyaura, Angew. Chem., 2003, 115, 2874–2876 CrossRef.
- R. J. van Haaren, H. Oevering, P. C. J. Kamer, K. Goubitz, J. Fraanje, P. W. N. M. van Leeuwen and G. P. F. van Strijdonck, J. Organomet. Chem., 2004, 689, 3800–3805 CrossRef CAS.
- P. Braunstein, C. Frison and X. Morise, Angew. Chem., 2000, 112, 2989–2992 CrossRef.
- C. Bianchini, A. Meli and W. Oberhauser, Dalton Trans., 2003, 2627–2635 RSC.
- S. M. A. Donald, S. A. Macgregor, V. Settels, D. J. Cole-Hamilton and G. R. Eastham, Chem. Commun., 2007, 562–564 RSC.
- P. van Leeuwen, M. A. Zuideveld, B. H. G. Swennenhuis, Z. Freixa, P. C. J. Kamer, K. Goubitz, J. Fraanje, M. Lutz and A. L. Spek, J. Am. Chem. Soc., 2003, 125, 5523–5539 CrossRef CAS PubMed.
- D. M. Fenton, J. Org. Chem., 1973, 38, 3192–3198 CrossRef CAS.
- L. Crawford, D. J. Cole-Hamilton and M. Bühl, Organometallics, 2015, 34, 438–449 CrossRef CAS.
- C. Bianchini, A. Meli, W. Oberhauser, P. van Leeuwen, M. A. Zuideveld, Z. Freixa, P. C. Kamer, A. L. Spek, O. V. Gusev and A. M. KalOsin, Organometallics, 2003, 22, 2409–2421 CrossRef CAS.
- G. Cavinato, L. Toniolo and A. Vavasori, J. Mol. Catal. A: Chem., 2004, 219, 233–240 CrossRef CAS.
- G. Cavinato, A. Vavasori, L. Toniolo and F. Benetollo, Inorg. Chim. Acta, 2003, 343, 183–186 CrossRef CAS.
- G. Cavinato and L. Toniolo, J. Organomet. Chem., 1990, 398, 187–195 CrossRef CAS.
- S. A. Macgregor and G. W. Neave, Organometallics, 2003, 22, 4547–4556 CrossRef CAS.
- E. Zuidema, C. Bo and P. W. N. M. van Leeuwen, J. Am. Chem. Soc., 2007, 129, 3989–4000 CrossRef CAS PubMed.
- G. Dekker, C. J. Elsevier, K. Vrieze, P. Van leeuwen and C. F. Roobeek, J. Organomet. Chem., 1992, 430, 357–372 CrossRef CAS.
- S. Mecking, L. K. Johnson, L. Wang and M. Brookhart, J. Am. Chem. Soc., 1998, 120, 888–899 CrossRef CAS.
- S. Kozuch and S. Shaik, Acc. Chem. Res., 2011, 44(2), 101–110 CrossRef CAS PubMed.
Footnote |
| † Electronic supplementary information (ESI) available. See DOI: 10.1039/c5ra26600a |
|
| This journal is © The Royal Society of Chemistry 2016 |
Click here to see how this site uses Cookies. View our privacy policy here.