Remarkable enhancement of mechanical and dielectric properties of flexible ethylene propylene diene monomer (EPDM)/ barium titanate (BaTiO3) dielectric elastomer by chemical modification of particles

Jun Suab and Jun Zhang*a
aDepartment of Polymer Science and Engineering, College of Materials Science and Engineering, Nanjing Tech University, Nanjing 210009, People's Republic of China. E-mail: zhangjun@njtech.edu.cn
bCollege of Mechanics Engineering, Nanjing Institute of Industry Technology, Nanjing 210023, People's Republic of China

Received 16th July 2015 , Accepted 8th September 2015

First published on 8th September 2015


Abstract

In this study, three types of coupling agent, titanium tris(dodecylbenzenesulfonate) isopropoxide (NDZ 109), γ-methacryloxypropyltrimethoxysilane (KH570) and vinyltrim + ethoxysiloxane homopolymer (SG-Si6490), were utilized to reduce the polar surface energy of barium titanate (BaTiO3) particles from 37.53 mJ m−2 to 0.77 mJ m−2, 16.52 mJ m−2 and 5.46 mJ m−2, respectively. At 30 vol% filler loading, NDZ 109 treated BaTiO3 with the lowest polar surface tension exhibited a remarkable compatibility with ethylene propylene diene monomer (EPDM) gum shown by the bound rubber content. It is found that just 1% (by weight of BaTiO3 amount) coupling agents SG-Si6490 can raise the tensile strength of EPDM with untreated BaTiO3 composite from 1.94 MPa to 9.00 MPa, due to the C[double bond, length as m-dash]C bonds from vinyl groups. In terms of electrical properties, when untreated BaTiO3 loading was 30 vol%, the dielectric constant of EPDM control can increase from about 2 to 7. Moreover, the SG-Si6490 treated BaTiO3 further improved the dielectric constant of EPDM with untreated BaTiO3 composite from 7 to around 8. EPDM with NDZ109 treated BaTiO3 composite exhibited the lowest volume resistivity among EPDM composites.


1. Introduction

Dielectric polymer/ceramic composites are widely used in electronics.1,2 For example, fluoride polymer/ceramic composites are commonly used as embedded and multilayer capacitors in electronic devices, because of the polar and rigid matrix of the fluoride polymer.3,4

Another promising class of dielectric polymer/ceramic composites are dielectric elastomers with high actuated strain, which are capable of transforming under electric field over a wide range of frequency. Therefore, researchers are interested in developing artificial muscles and sensors by the use of dielectric elastomers.5,6

One of the commonly used ceramic particles is barium titanate (BaTiO3), which is ferroelectric material with perovskite structure and has both high dielectric constant and loss.7 The disadvantage of BaTiO3 is brittleness and high dielectric loss.8

In literature, polyurethanes have been studied as dielectric elastomers.9,10 Compared to them, ethylene propylene diene monomer (EPDM), with saturated and nonpolar backbone, not only has low dielectric constant and loss, but also has excellent resistance to heat, oxidation and solvent.11 However, EPDM is non-self reinforced rubber. It was often incorporated with fillers, semi-crystallized resins or fibers to improve tensile strength.12,13

Thus, it is interested to find whether the incorporation of EPDM and BaTiO3 can overcome their individual drawbacks and obtain dielectric elastomers with high dielectric constant, low dielectric loss, enhanced tensile strength and retained flexibility.

Due to different polar surface energy between EPDM matrix and BaTiO3 particles, the filler tends to aggregate and will influence the overall properties of EPDM composites. It is reported that the application of coupling agents improves the adhesion between rubber and fillers, and reduces agglomeration among fillers at the meantime.14,15

In this work, BaTiO3 particles were treated by three types of coupling agents with different functional groups to reduce the surface energy and then improve the interactions between EPDM and BaTiO3 particles. The aim is to select a coupling agent to produce a flexible EPDM/BaTiO3 elastomer with high tensile strength, high dielectric constant and low dielectric loss. Other properties include polar surface tension, cure characteristics, bound rubber content, crosslink density, mechanical and dielectric properties.

2. Experimental

2.1 Materials

Ethylene propylene diene monomer (EPDM J-4045) containing 5-ethylidene-2-norbornene (ENB) as diene, was supplied by Jilin Petrochem., Sinopec, China. The EPDM was consisted of 52.0 wt% ethylene, 40.3 wt% propylene and 7.7 wt% ENB. Dicumyl peroxide (DCP), zinc oxide, stearic acid (SA) and 2-mercapto benzimidazole (MB) were of reagent grade. The chemical names and structures of coupling agents were listed in Table 1. Coupling agents titanium tris(dodecylbenzenesulfonate) isopropoxide (NDZ109), γ-methacryloxypropyltrimethoxysilane (KH570) and vinyltrimethoxysiloxane homopolymer (SG-Si 6490) were supplied by Nanjing Shuguang Chemical Group Co., Ltd, China. Barium titanate (BaTiO3) particles were purchased from SongBao Electrically Functional Co., Ltd, Guangdong province, China.
Table 1 Chemical/commercial names and structures of three coupling agents
Chemical/commercial name Molecular formation and structure
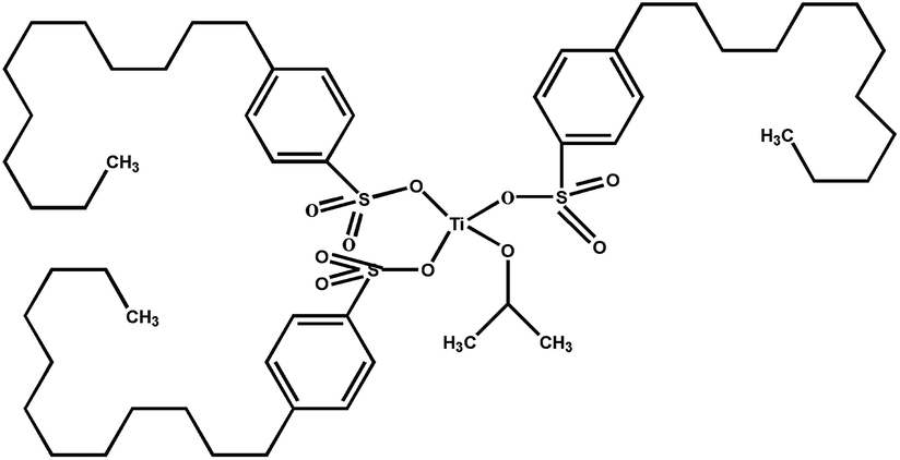
Titanium tris(dodecylbenzenesulfonate)isopropoxide (NDZ 109) C57H94O10S3Ti image file: c5ra14047a-u1.tif
γ-Methacryloxypropyltrimethoxysilane (KH570) C10H20O5Si image file: c5ra14047a-u2.tif
Vinyltrimethoxysiloxane homopolymer (SG-Si6490) image file: c5ra14047a-u3.tif


2.2 Sample preparation

2.2.1 Surface modification of BaTiO3. NDZ109, KH570 and SG-Si6490 were used to modify the surface of the BaTiO3 particles, respectively. The content of each coupling agent was 1% by weight (wt%) of BaTiO3 amount. The 1.0 g NDZ109 was firstly mixed with 100 mL isobutanol for 15 min. BaTiO3 (100 g) was then added into the above mentioned solution with a further 30 min stirring. Such mix was poured into the porcelain plate, which was placed into vacuum oven to dry for 4 h. In this procedure, only isobutanol solution is vaporized, and all 1 wt% coupling agents were physically or chemically adhered to the particle surface. Similarly, KH570 and SG-Si6490 on the BaTiO3 surface were prepared by the same solution for 100 g BaTiO3 using the same procedure as described above.

Apart from FT-IR measurement, other experiments used the modified BaTiO3 without further extraction. So, the content of coupling agents on BaTiO3 surface in EPDM composites is 1 wt% of BaTiO3 mass.

2.2.2 Preparation of EPDM/BaTiO3 composites. The formulation of EPDM gum containing treated BaTiO3 were listed in Table 2. The density of EPDM and BaTiO3 is around 1.0 g cm−3 and 6.1 g cm−3, respectively. Thus, volume fraction of BaTiO3 in EPDM/BaTiO3 composites was about 30 vol% according to Table 2. Every EPDM composites were mixed by a two roll mixing mill (Shanghai Rubber Machinery Works, China), according to ISO2393. EPDM gums were vulcanized in an electrically heated press.
Table 2 Formulation of EPDM/BaTiO3 composites used in this study (phr)
EPDM Control Untreated BaTiO3 NDZ109 treated BaTiO3 KH570 treated BaTiO3 SG-Si 6490 treated BaTiO3 ZnO SA DCP MB
100           5 1 4 1
100   260       5 1 4 1
100     260     5 1 4 1
100       260   5 1 4 1
100         260 5 1 4 1


2.3 Testing procedures

2.3.1 Fourier transform infrared spectroscopy. The untreated, NDZ109 treated, KH570 treated and SG-Si6490 treated BaTiO3 particles were firstly extracted by ether solvent in Soxhlet extractor for 4 h at 70 °C. Then, the extracted BaTiO3 particles were dried at 40 °C for 6 h.

Fourier Transform Infrared (FT-IR) spectra of such extracted BaTiO3 were gained in Nicolet spectrometer (model NEXUS 670) by using KBr powder. The transmittance spectra of BaTiO3 were recorded from 4000 to 400 cm−1, at the resolution of 2 cm−1.

2.3.2 Water contact angle and surface tension. Static water contact angle was tested at 24 °C by drop shape analysis system (model DSA 100), purchased by Krüss, Germany. The contact angle was measured 10 s after the droplets fall on the material surface. Each value was an average of seven tests. The contact angle of diiodomethane was also measured. The surface tension was calculated by Owens and Wendt method, using the contact angles of above mentioned two solvents.
2.3.3 Curing characterizations. Curing properties of EPDM gums were tested by an Intelligent Computer Moving Die Rheometer (model MDR 2000), purchased by Wuxi Liyuan Electronic & Chemical Equipment Co., Ltd, China.
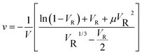
2.3.4 Crosslink density and bound rubber content. The solvent swell method was applied to measure the crosslink density of EPDM specimens. Samples were firstly immersed in toluene for 48 h at 24 °C. The crosslink density was then calculated following eqn (1):
 
image file: c5ra14047a-t1.tif(1)
where v is the crosslink density of EPDM composites (mol cm−3), VR is the volume fraction of EPDM rubber after immersion in toluene, V is the molar volume of toluene solvent (cm3 mol−1), μ is the interaction parameter between rubber and toluene solvent (0.49).16

The bound rubber content was calculated following eqn (2):

 
Rb (%) = 100 × [WfgWt[mf/(mf + mr)]]/Wt[mr/(mf + mr)] (2)
where Rb is the bound rubber content of EPDM gums, Wfg the total weight of BaTiO3 and gel, Wt the weight of samples, mf is the fraction of BaTiO3 in the EPDM gums, mr is the fraction of EPDM in the EPDM gums.

2.3.5 Scanning electron microscopy (SEM). The dispersion of BaTiO3 was observed with scanning electron microscope (model JEOL JSM-5900). The samples were firstly fractured in liquid nitrogen, and then the fracture surface sputtered with a layer of gold was scanned.
2.3.6 Mechanical properties. The tensile tests were completed by using electromechanical universal testing machine (model CMT 5254 type), purchased from Shenzhen SANS Testing Machine Co., Ltd, China, according to ISO37 and ISO34. The testing rate is 500 mm min−1. The testing temperature and humidity is 23 °C and 50% RH. The Shore A hardness of the specimens was tested with a rubber Shore A hardness degree tester (model: LX-A), purchased from Jiangsu Mingzhu Testing Machinery Co., Ltd, China, following ISO 868.
2.3.7 Dielectric constant and dielectric loss. According to IEC 60250, the dielectric constant (ε′) and dielectric loss (ε′′) were measured by Agilent Precision Impedance Analyzer (model 4294A), at 23 °C and 50% RH. Samples with 20 mm diameter were placed between silver electrode to test.
2.3.8 Volume and surface resistivity. According to IEC 60093, the volume and surface resistivity of EPDM composites were tested by a high-insulation resistance meter, purchased by Shanghai Precision & Scientific Instrument Co., Ltd, China.

3. Results and discussion

3.1 FT-IR analysis

The FT-IR spectra are used to detect the type of functional groups on the surface of BaTiO3 particles before surface treatment and after extraction. The purpose of FT-IR spectra is to evaluate whether there is chemical adherence of coupling agents to the BaTiO3 surface. In Fig. 1, it is observed that three types of coupling agents all absorb at bands 2925 cm−1 and 2854 cm−1. These two bands are assigned to asymmetric stretching vibration of methylene and symmetric stretching vibration of methylene, respectively.1,4,17
image file: c5ra14047a-f1.tif
Fig. 1 FT-IR spectra of three coupling agents.

Additionally, the coupling agent NDZ109 has characteristic peak at 1601 cm−1, assigned to skeletal vibration of phenyl group.18 As for KH570, a characteristic absorption peak appeared at 1637 cm−1 and is assigned to C[double bond, length as m-dash]C stretching vibration. In terms of SG-Si6490, the band characteristically absorbs at 1076 cm−1, assigned to Si–O–C rocking vibration.19–21

Fig. 2 shows spectra of treated BaTiO3 after extraction. Although some of the characteristic peaks mentioned above are not obvious, the peaks at 2925 cm−1 and 2854 cm−1 can prove the adherence of coupling agents to the surface of BaTiO3 particles.


image file: c5ra14047a-f2.tif
Fig. 2 FT-IR spectra of treated BaTiO3 after extraction.

Moreover, there is a peak appearing at 3525 cm−1, which is the stretching vibration of the –OH group.6,10 In literature,22 alkoxy groups can alcoholize with hydroxyl groups on particle surface and generate strong interaction between particles and coupling agents. Thus, it can confirm the adherence of coupling agents (NDZ109, KH570 and SG-Si6490) to BaTiO3 surface, respectively.

3.2 Water contact angle and surface tension measurement

Water contact angles and surface tension of BaTiO3 are listed in Fig. 3 and Table 3, respectively. It is obvious that the water contact angle of untreated BaTiO3 can be greatly boosted by the surface modification. The polar surface tension, calculated by Owens and Wendt method, follows the order: untreated BaTiO3 > KH570 treated BaTiO3 > SG-Si6490 treated BaTiO3 > NDZ109 treated BaTiO3. The results show that the polarity of functional groups in coupling agents follows the order: methacryloxypropyl groups from KH570 > vinyl groups from SG-Si6490 > dodecylbenzenesulfonate groups from NDZ109.
image file: c5ra14047a-f3.tif
Fig. 3 Water contact angles of BaTiO3.
Table 3 Surface tension of untreated and treated BaTiO3a
Sample Surface tension (mJ m−2)
γs γds γps
a γs: solid surface tension; γds: dispersive solid surface tension; γps: polar solid surface tension.
Untreated BaTiO3 75.37 37.84 37.53
109-Treated BaTiO3 37.19 36.42 0.77
570-Treated BaTiO3 77.51 60.99 16.52
6490-Treated BaTiO3 36.48 31.02 5.46


Scheme 1 illustrate the interaction of treated BaTiO3 with EPDM matrix. The reason for polarity differences is that the dodecylbenzenesulfonate group in NDZ109 has non-polar dodecyl and benzene groups, which can cover the surface of BaTiO3 particles to the most degree, changing the surface of BaTiO3 particles from hydrophilic to hydrophobic.2,11 By comparison, oligomer SG-Si6490 possesses non-polar long carbon chains and polar vinyl groups rather than non-polar benzene groups, making the polar surface tension a little higher than NDZ109 treated BaTiO3. In terms of methacryloxypropyl groups in KH570, due to the lack of long molecular chains and presence of polar acryloxy group, the polar surface tension of KH570 treated BaTiO3 is further increased.


image file: c5ra14047a-s1.tif
Scheme 1 Interaction of treated BaTiO3 with EPDM matrix: (A) NDZ109 treated BaTiO3; (B) KH570 treated BaTiO3; (C) SG-Si6490 treated BaTiO3.

3.3 Effect of coupling agents on dispersion properties of BaTiO3 in organic solvents

Fig. 4 shows dispersion of untreated BaTiO3 and treated BaTiO3 in two-phase solvent. Due to higher density, distilled water is at the bottom, while n-octane is at the upper layer. It is observed that the untreated BaTiO3 shows hydrophilic properties, while treated BaTiO3 all show oleophilic properties. This is because untreated BaTiO3 has –OH group on particle surface. The alkoxy groups from NDZ109, KH570 and SG-Si6490 all can react with –OH group on the surface of BaTiO3 particle, making the surface of BaTiO3 particles full of dodecyl, vinyl and acryloxy, respectively. Thus, the treated BaTiO3 particles all suspended well in n-octane solvent.
image file: c5ra14047a-f4.tif
Fig. 4 Dispersion of powders in a two-phase solvent, the bottom layer solvent is deionized water and the upper layer solvent is n-octane: (A) untreated BaTiO3; (B) NDZ109 treated BaTiO3; (C) KH570 treated BaTiO3; (D) SG-Si6490 treated BaTiO3.

3.4 Effect of coupling agents on bound rubber of EPDM gums

The bound rubber content of EPDM gums are listed in Table 4. The bound rubber content of EPDM gums follows the order: EPDM with untreated BaTiO3 < EPDM with KH570 treated BaTiO3 < EPDM with SG-Si6490 treated BaTiO3 < EPDM with NDZ109 treated BaTiO3. It has been discussed that the surface modification can bring functional groups on the surface of BaTiO3, lowering the polar surface energy of BaTiO3 particles. Because EPDM matrix is a nonpolar material, BaTiO3 particles which have lower polar surface energy are more compatible with EPDM matrix.
Table 4 Bound rubber content of EPDM gums
Sample Bound rubber content (%)
EPDM with untreated BaTiO3 26
EPDM with NDZ109 treated BaTiO3 35
EPDM with KH570 treated BaTiO3 29
EPDM with SG-Si6490 treated BaTiO3 32


It is observed in Scheme 1 that NDZ109 possesses non-polar dodecyl and benzene groups, so the bound rubber of EPDM with NDZ109 treated BaTiO3 is the highest.8 Although oligomer SG-Si6490 has polar vinyl groups, it also long hydrocarbon chains. Like dodecyl groups, such polar and long hydrocarbon chains can physically entangle with EPDM matrix to increase the compatibility with EPDM, leading to the relatively higher bound rubber content.5,9 Because of the lack of long molecular chains, the polar acryloxy group mainly reduce the compatibility of KH570 treated BaTiO3 with EPDM matrix. In this way, the bound rubber content of EPDM with NDZ109 treated BaTiO3 further decreases.

3.5 Effect of coupling agents on cure properties of EPDM gums

The cure characteristics of EPDM with BaTiO3 treated by three types of coupling agents are shown in Fig. 5 and Table 5. The first decline of torque cure is due to the softening of EPDM gums at 170 °C. Because of the generation of cross-linking bonds among macromolecular chains, the torque gradually grows.23
image file: c5ra14047a-f5.tif
Fig. 5 Cure curves of EPDM composites.
Table 5 Cure characteristics of EPDM with and without BaTiO3a
Sample ML tML MH tMH ts2 t90 Cure rate
N m min N m min min min N m min−1
a ML: minimum torque; tML: time to minimum torque; MH: maximum torque; tMH: time to maximum torque; ts2: scorch time; t90: optimum cure time; cure rate: (MHML)/(t90ts2).
EPDM control 0.097 0.68 1.11 14.90 1.40 7.90 0.0713
EPDM with untreated BaTiO3 0.13 0.17 1.93 14.98 0.90 7.22 0.1215
EPDM with NDZ109 treated BaTiO3 0.16 0.47 2.52 14.82 0.93 7.13 0.1643
EPDM with KH570 treated BaTiO3 0.16 0.18 2.80 14.53 0.97 7.27 0.1843
EPDM with SG-Si6490 treated BaTiO3 0.21 0.23 2.49 15.00 0.91 9.73 0.1572


It is observed that ultimate cure state of mixes indicated by maximum torque (MH) and cure rate, obeys the sequence: EPDM with KH570 treated BaTiO3 > EPDM with SG-Si6490 treated BaTiO3 > EPDM with NDZ109 treated BaTiO3 > EPDM with untreated BaTiO3 > EPDM control.

Generally, the rise of MH and cure rate can be ascribed to two possible reasons: increased physical entanglement of particles with rubber gums and increased chemical bonds formed.3 The incorporation of untreated BaTiO3 particles can increase the MH and cure rate of EPDM composites. This is because that untreated BaTiO3 can partially and physically adhere to the EPDM matrix. As for NDZ109 treated BaTiO3, the physical adherence of particles to EPDM matrix is much stronger than untreated BaTiO3, proved by bound rubber content measurement.7 So the MH and cure rate of EPDM with NDZ109 treated BaTiO3 are higher than those of EPDM with NDZ109 treated BaTiO3.

It has been proved that surface modification of BaTiO3 can endow particle surface with certain functional groups from coupling agents.22 In terms of SG-Si6490, the C[double bond, length as m-dash]C of vinyl groups can cleave and generate active carbon radicals to form extra chemical crosslink bonds, making the MH and cure rate of EPDM with SG-Si6490 treated BaTiO3 higher than those of EPDM with NDZ109 BaTiO3 particles.12

Similarly, KH570 introduces methoxy groups that can dehydrate with hydroxyl on the surface of BaTiO3, introducing C[double bond, length as m-dash]C groups at the same time. The C[double bond, length as m-dash]C groups from KH570 can participate into cure process and react with unsaturated groups in EPDM, leading to the rise of MH and cure rate.15

Although both KH570 and SG-Si6490 have the C[double bond, length as m-dash]C groups, the differences between MH and cure rate of them are greater. SG-Si6490 is oligomer, so there is lower concentration of C[double bond, length as m-dash]C groups in SG-Si6490 than that in KH570. Therefore, there are less C[double bond, length as m-dash]C groups in SG-Si6490 to generate chemical cross-linking points, making the MH and cure rate of EPDM with SG-Si6490 treated BaTiO3 lower than those of EPDM with KH570 treated BaTiO3.13

Scorch time indicates the premature vulcanization of EPDM matrix. It is observed from the Table 5 that the addition of untreated and treated BaTiO3 can all shorten scorch time, meaning the reduced scorch safety of EPDM composites.23,24

3.6 Effect of coupling agents on crosslink density of EPDM composites

The crosslink density of EPDM control and EPDM/BaTiO3 composites are listed in Table 6 and follow the order: EPDM with KH570 treated BaTiO3 > EPDM with SG-Si6490 treated BaTiO3 > EPDM with NDZ109 treated BaTiO3 > EPDM control ≈ EPDM with untreated BaTiO3. This result partially confirms the trend of MH.
Table 6 Crosslink density of mixes with various coupling agents
Sample Crosslink density (mol cm−3)
EPDM control 0.000155
EPDM with untreated BaTiO3 0.000147
EPDM with NDZ109 treated BaTiO3 0.000185
EPDM with KH570 treated BaTiO3 0.000530
EPDM with SG-Si6490 treated BaTiO3 0.000493


Although EPDM with untreated BaTiO3 has higher MH value than EPDM control, the crosslink density of EPDM with untreated BaTiO3 is almost the same as that of EPDM control. The reason is that the MH value is not only correlated with the variation of chemical crosslink density but also affected by the physical entanglement of BaTiO3 particles with EPDM gums. It seems that the incorporation of untreated BaTiO3 can partially enhance the physical entanglement with EPDM gums and then boost the MH, without affecting the chemical crosslink density of EPDM composites.25

In terms of NDZ109, the dodecyl can physically entangle with EPDM matrix, making BaTiO3 particles physically adhere to the EPDM matrix. In this way, such physical entanglement slightly increases crosslink density of EPDM with NDZ109 treated BaTiO3.13

When the surface of BaTiO3 has been modified by KH570 and SG-Si6490, the functional groups adhered to the surface of filler particles can participate into the vulcanization process and form chemical bonds between BaTiO3 particles and EPDM matrix, raising both MH value and chemical crosslink points.25,26

3.7 Effect of coupling agents on BaTiO3 dispersion in EPDM composites

Scanning electron micrographs (Fig. 6) are utilized to illustrate the effect of coupling agents on BaTiO3 particles dispersion. Due to strong hydrogen bonding formed by hydroxyl on BaTiO3 particles surface, the untreated BaTiO3 has a trend to agglomerate. After surface treatment by KH570 and SG-Si6490, it is observed that BaTiO3 can be embedded in the EPDM matrix to some extent, showing the improvement of interfacial adhesion. The reason is that the functional groups of KH570 and SG-Si6490 on surface of BaTiO3 particles can generate chemical bonds with EPDM matrix, proved by crosslink density results. This is also consistent with earlier reports,27,28 in which coupling agents can improve the filler dispersion and reduce agglomeration of particles.
image file: c5ra14047a-f6.tif
Fig. 6 SEM micrographs of EPDM vulcanizates with various coupling agents, (A) EPDM with untreated BaTiO3; (B) EPDM with NDZ109 treated BaTiO3; (C) EPDM with KH570 treated BaTiO3; (D) EPDM with SG-Si6490 treated BaTiO3.

3.8 Effect of coupling agents on mechanical properties of EPDM composites

Data of mechanical properties of EPDM with three types of coupling agents treated BaTiO3 are listed in Table 7. The addition of untreated BaTiO3 can greatly increase the hardness, but slightly increase the 100% modulus and tensile strength. Moreover, the surface modification of BaTiO3 by coupling agents can further increase the hardness, 100% modulus and tensile strength of EPDM composites to some degree.
Table 7 Mechanical properties of EPDM with and without BaTiO3
Sample Hardness Modulus at 100% Tensile strength Elongation at break Tear strength
Shore A MPa MPa % kN m−1
EPDM control 51 1.34 ± 0.06 1.45 ± 0.18 119 ± 30 8.73 ± 1.58
EPDM with untreated BaTiO3 65 1.53 ± 0.11 1.94 ± 0.48 252 ± 32 9.53 ± 0.79
EPDM with NDZ109 treated BaTiO3 68 1.59 ± 0.06 3.23 ± 0.44 251 ± 17 9.26 ± 1.15
EPDM with KH570 treated BaTiO3 74 4.88 ± 0.14 8.29 ± 0.89 182 ± 7 19.87 ± 2.15
EPDM with SG-Si6490 treated BaTiO3 74 4.21 ± 0.08 9.00 ± 0.52 196 ± 9 21.06 ± 2.48


Fig. 7 illustrates the strain–stress curves of EPDM composites as well as the dispersion models of BaTiO3 particles in EPDM matrix. The addition of untreated BaTiO3 can not increase the 100% modulus and tensile strength of EPDM composites because of the agglomeration of BaTiO3 particles in EPDM matrix. It is also observed that the weak and physical adherence of untreated BaTiO3 particles to EPDM matrix can increase the elongation at break from 119% to 252%.


image file: c5ra14047a-f7.tif
Fig. 7 Strain–stress curves and dispersion models of BaTiO3 particles in EPDM composites, (A) EPDM control; (B) EPDM with untreated BaTiO3; (C) EPDM with NDZ109 treated BaTiO3; (D) EPDM with KH570 treated BaTiO3; (E) EPDM with SG-Si6490 treated BaTiO3.

The treatment of coupling agent NDZ109 brings slight increase on mechanical properties of EPDM composites, because the crosslink density of EPDM with NDZ109 treated BaTiO3 is slightly higher than that of EPDM with untreated BaTiO3. The dodecyl on BaTiO3 particles can not only prevent BaTiO3 from agglomerating, but also can physically entangle with EPDM matrix. In this way, the elongation at break and tensile strength of EPDM with NDZ109 treated BaTiO3 have a little increase compared with EPDM with untreated BaTiO3.9,29

In addition, EPDM with KH570 and SG-Si6490 treated BaTiO3 all show higher tensile and tear strength than EPDM with untreated and NDZ109 treated BaTiO3. This is because both KH570 and SG-Si6490 have C[double bond, length as m-dash]C bonds, which can generate chemical cross-linking points between BaTiO3 particles and EPDM matrix. Thereby, crosslink density, modulus at 100% and tensile strength of EPDM composites all increase. In addition, the functional groups of SG-Si6490 on BaTiO3 has long hydrocarbon chains, which have more physical entanglement with EPDM matrix than KH570 treated BaTiO3. In this way, although EPDM with SG-Si6490 treated BaTiO3 has lower crosslink density than EPDM with KH570 treated BaTiO3, the tensile strength of the former is a little higher than the latter.

Compared to EPDM with untreated BaTiO3, surface treatment of BaTiO3 with KH570 and SG-Si6490 can lower the elongation at break. This can be explained by the fact that the extra formed C–C linkage are much rigid.12 Thus, EPDM with KH570 and SG-Si6490 treated BaTiO3 exhibit lower value of elongation at break than EPDM with untreated BaTiO3.

3.9 Effect of coupling agents on dielectric properties

EPDM is generally used as an insulator because of its non-polar backbone structure.30 In literature, the addition of inorganic fillers can enhance the conductivity of polymer.31 Fig. 8 and 9 show curves of relative dielectric constant and dielectric loss of EPDM composites in the following order: EPDM with KH570 treated BaTiO3 > EPDM with SG-Si6490 treated BaTiO3 > EPDM with untreated BaTiO3 > EPDM with NDZ109 treated BaTiO3 > EPDM control.
image file: c5ra14047a-f8.tif
Fig. 8 Relative dielectric constant of EPDM with treated BaTiO3.

image file: c5ra14047a-f9.tif
Fig. 9 Dielectric loss of EPDM with treated BaTiO3.

Due to the presence of BaTiO3 particles, there is interfacial polarization at the interface between BaTiO3 and EPDM matrix. Generally, the relative dielectric constant is mainly correlated with the ability to polarize. The relative dielectric constant can change with the variation of polarizability. Thus, the results of surface tension of functional groups on the surface of BaTiO3 can support the results of relative dielectric constant of EPDM composites.20,21

The surface modification of BaTiO3 can increase the dielectric loss of EPDM composites. The dielectric loss values of EPDM composites follow the order: EPDM with KH570 treated BaTiO3 > EPDM with SG-Si6490 treated BaTiO3 > EPDM with NDZ109 treated BaTiO3 ≈ EPDM with untreated BaTiO3 ≈ EPDM control. The dielectric loss tangent is ascribed to the viscous drag of BaTiO3 particles which correlates with polar surface tension of particles. The higher the polarity on surface of BaTiO3 particles can cause higher value of dielectric loss tangent.

In addition, the relative dielectric constant of EPDM with various coupling agents remain almost unchanged in the frequency range of 20 kHz–10 MHz, while dielectric loss decline in that range.

Fig. 10 shows the dielectric loss factor (defined as tan[thin space (1/6-em)]δ = ε′′/ε′) of EPDM composites. It is shown that the dielectric loss factors of EPDM composites are close to each other, and that EPDM with KH570 treated BaTiO3 has the highest dielectric loss factor among all EPDM composites.


image file: c5ra14047a-f10.tif
Fig. 10 Dielectric loss factor of EPDM composites.

In literatures, Cole–Cole model and Debye relaxation are often used to evaluate the dielectric properties of compostes.32–36 Cole–Cole semicycles are often shown by the plot of dielectric constant versus dielectric loss.29 Fig. 11 illustrates the curves of dielectric loss versus dielectric constant of EPDM samples. There are Cole–Cole semicycles found for EPDM with untreated BaTiO3, EPDM with KH570 treated BaTiO3 and EPDM with SG-Si6490 treated BaTiO3 composites. Every semicycle can be correlated to one Debye relaxation, due to the interfacial polarization. NDZ109 treated BaTiO3 possesses the lowest polar surface energy, so there is not obvious semicycle found in curves of EPDM with NDZ109 treated BaTiO3 composites, meaning the interfacial polarization between NDZ109 treated BaTiO3 and EPDM matrix is the lowest.


image file: c5ra14047a-f11.tif
Fig. 11 Curves of dielectric constant versus dielectric loss of EPDM composites.

3.10 Effect of filler loading on surface and volume resistivity of EPDM composites

Resistivity can indicate the resistance of materials to the passing of current carrier.25,26 Table 8 shows the surface and volume resistivity of EPDM composites. It is observed that the incorporation of 30 vol% untreated BaTiO3 can greatly decrease the volume resistivity of EPDM control by two orders of magnitude. Only EPDM with NDZ109 treated BaTiO3 further decreases one order of magnitude of volume and surface resistivity. This is correlated with bound rubber content. Higher bound rubber content means more EPDM matrix adhere to the particle surface, leading to more electric passage. In this way, the volume resistivity decreases.
Table 8 Surface and volume resistivity of EPDM composites
Sample EPDM Control EPDM with untreated BaTiO3 EPDM with NDZ109 treated BaTiO3 EPDM with KH570 treated BaTiO3 EPDM with SG-Si6490 treated BaTiO3
Volume resistivity (Ω m) 1.57 × 1015 1.49 × 1013 2.87 × 1012 3.38 × 1013 1.42 × 1013
Surface resistivity (Ω) 5.01 × 1012 1.46 × 1012 3.85 × 1011 3.47 × 1011 1.93 × 1011


4. Conclusions

The incorporation of treated BaTiO3 in EPDM can both enhance tensile strength and dielectric constant without greater increase of dielectric loss. It is found that just 1% (by weight of BaTiO3 amount) coupling agents SG-Si6490 can raise the tensile strength of EPDM with untreated BaTiO3 from 1.94 MPa to 9.00 MPa, because the C[double bond, length as m-dash]C bonds from vinyl groups in SG-Si6490 can participate into cure process and generate chemical bonds between BaTiO3 particles and EPDM matrix, greatly enhancing crosslink density of EPDM composites.

When the filler loading of untreated BaTiO3 is at 30 vol%, the dielectric constant of EPDM control can increase from around 2 to 7 at 10 MHz. Moreover, KH570 and SG-Si6490 treated BaTiO3 particles can further increase the dielectric constant from 7 to around 8. However, compared to untreated BaTiO3, NDZ109 treated BaTiO3 particles can decrease the dielectric constant and loss of EPDM composites. As for some EPDM composites, there are Cole–Cole semicycles shown in curves of dielectric constant versus dielectric loss, due to strong interfacial polarization.

The surface treatment of BaTiO3 with coupling agents can introduce functional groups to particle surface and reduce the polar surface tension of BaTiO3 particles, shown by the contact angle results. The non-polar dodecyl and benzene groups in NDZ109 can lower the polar surface energy of BaTiO3 from 37.53 mJ m−2 to 0.77 mJ m−2. The decreased polar surface tension can increase the bound rubber content of EPDM gum and decrease the volume resistivity of EPDM to the greatest extent. The dispersion properties show that treated BaTiO3 change from hydrophilic to oleophilic. The SEM results show that the interaction between filler and EPDM has been improved.

Acknowledgements

The authors gratefully acknowledge the Priority Academic Program Development of Jiangsu Higher Education Institutions (PAPD).

Notes and references

  1. A. Allahbakhsh and S. Mazinanib, RSC Adv., 2015, 5, 46694–46699 RSC.
  2. C. Jia, Z. Shao, H. Fan and J. Wang, RSC Adv., 2015, 5, 15283 RSC.
  3. S. Liu, S. Xiao, S. Xiu, B. Shen, J. Zhai and Z. An, RSC Adv., 2015, 5, 40692 RSC.
  4. B. Chen, N. Ma, X. Bai, H. Zhang and Y. Zhang, RSC Adv., 2012, 2, 4386–4689 Search PubMed.
  5. W. Lei, R. Wang, D. Yang, G. Hou, X. Zhou, H. Qiao, W. Wang, M. Tiana and L. Zhang, RSC Adv., 2015, 5, 47429 RSC.
  6. P. Dey, K. Naskar, B. Dash, S. Nair, G. Unnikrishnanb and G. B. Nando, RSC Adv., 2014, 4, 35879 RSC.
  7. S. Liu and J. Zhai, RSC Adv., 2014, 4, 40973 RSC.
  8. M.-F. Lin, V. K. Thakur, E. J. Tanb and P. S. Lee, RSC Adv., 2011, 1, 576–578 RSC.
  9. Y. Kim, O. N. L. Smith, M. Kathaperumal, L. R. Johnstone, M.-J. Panc and J. W. Perry, RSC Adv., 2014, 4, 19668 RSC.
  10. C. Ehrhardt, C. Fettkenhauer and J. Glenneberg, RSC Adv., 2014, 4, 40321 RSC.
  11. X. Hu, H. Gao, X. Zhou, Y. Cui and H. Ge, RSC Adv., 2014, 4, 13662 RSC.
  12. J. Su, S. Chen, J. Zhang and Z. Xu, Polym. Test., 2009, 28, 419–427 CrossRef CAS PubMed.
  13. J. Su, S. Chen, J. Zhang and Z. Xu, Polym. Test., 2009, 28, 235–242 CrossRef CAS PubMed.
  14. S. O. Pongdhorn, T. Uthai and H. Kannika, Polym. Test., 2004, 23, 397–403 CrossRef PubMed.
  15. N. Alkadasi, D. G. Hundiwale and U. R. Kapadi, Polym.-Plast. Technol. Eng., 2006, 45, 415–420 CrossRef CAS PubMed.
  16. J. Brandrup, E. H. Immergut and E. A. Grulke, Polymer Handbook, Wiley-Interscience, New York, 1999 Search PubMed.
  17. S. Chen, J. Zhang and J. Su, J. Appl. Polym. Sci., 2009, 114, 3110–3117 CrossRef CAS PubMed.
  18. Q. Zhao, X. Li and J. Gao, Polym. Degrad. Stab., 2007, 92, 1841–1846 CrossRef CAS PubMed.
  19. W. Z. Wang and B. J. Qu, Polym. Degrad. Stab., 2003, 81, 531–537 CrossRef CAS.
  20. Z. D. Liu, Y. Feng and W. L. Li, RSC Adv., 2015, 5, 29017 RSC.
  21. H. Luo, D. Zhang, L. Wang, C. Chen, J. Zhoub and K. Zhou, RSC Adv., 2015, 5, 52809 RSC.
  22. K. Nagata, Y. Takahashi, S. Shibusawa and Y. Nakamura, J. Adhes. Sci. Technol., 2002, 16, 1017–1026 CrossRef CAS PubMed.
  23. H. K. Rahiman, G. Unnikrishnan, A. Sujith and C. K. Radhakrishnan, Mater. Lett., 2005, 59, 633–639 CrossRef PubMed.
  24. C. Nakason, P. Wannavilai and A. Kaesaman, Polym. Test., 2006, 25, 34–41 CrossRef CAS PubMed.
  25. J. Su, S. Chen, J. Zhang and Z. Xu, J. Reinf. Plast. Compos., 2010, 29, 2946–2960 CrossRef CAS PubMed.
  26. J. Su, S. Chen, J. Zhang and Z. Xu, J. Appl. Polym. Sci., 2010, 117, 1741–1749 CAS.
  27. S. O. Pongdhorn, S. Chakrit, T. Uthai and H. Kannika, Polym. Test., 2004, 23, 871–879 CrossRef PubMed.
  28. S. O. Pongdhorn, S. Chakrit, H. Kannika and T. Uthai, Polym. Test., 2005, 24, 439–446 CrossRef PubMed.
  29. K. Hayashida, RSC Adv., 2013, 3, 221–227 RSC.
  30. W. Zheng and S. C. Wong, Compos. Sci. Technol., 2003, 63, 225–235 CrossRef CAS.
  31. J. Su, S. Chen, J. Zhang and Z. Xu, J. Appl. Polym. Sci., 2010, 122, 3277–3289 CrossRef PubMed.
  32. S. Bandyopadhyay and A. Dutta, RSC Adv., 2015, 5, 65123–65132 RSC.
  33. C. Grosse, J. Colloid Interface Sci., 2014, 419, 102–106 CrossRef CAS PubMed.
  34. M. Ramar, P. Tyagi, C. K. Suman and R. Srivastava, RSC Adv., 2014, 4, 51256–51261 RSC.
  35. M. Smari, H. Rahmouni, N. Elghoul, I. Walha, E. Dhahri and K. Khirouni, RSC Adv., 2015, 5, 2177–2184 RSC.
  36. K. Sasaki, K. Wake and S. Watanabe, Radio Sci., 2014, 49, 459–472 CrossRef PubMed.

This journal is © The Royal Society of Chemistry 2015
Click here to see how this site uses Cookies. View our privacy policy here.