DOI:
10.1039/C5RA13386F
(Paper)
RSC Adv., 2015,
5, 74864-74873
A family of rare earth complexes with chelating furan biradicals: syntheses, structures and magnetic properties†
Received
8th July 2015
, Accepted 27th August 2015
First published on 27th August 2015
Abstract
The combination of anisotropic LnIII ions and the furan biradical results in six complexes, namely, [Ln(hfac)3(NITFumbis)]2 (Ln = La(1), Ce(2), Pr(3), Gd(4), Tb(5), Dy(6); hfac = hexafluoroacetylacetone; NITFumbis = (2,5-bis-(1′-oxyl-3′-oxido-4′,4′,5′,5′-tetramethyl-4,5-hydro-1H-imidazol-2-yl)furan). Compounds 1–3 are isostructural and crystallize in the P
space group, while compounds 4–6 crystallize in the P21/c space group. For all the six complexes, the coordination number around the lanthanide ion is eight, and the polyhedron is in a distorted 4,4-bicappped trigonal prism or triangular dodecahedron coordination geometry (D2d or C2v symmetry) finished by three bischelate hfac− ligands and one bidentate radical ligand. DC magnetic studies show that the Ln(III) ions interact antiferromagnetically with the directly bonding nitronyl nitroxide radicals in all the six complexes. Especially, for complex 4, an intramolecular antiferromagnetic interaction between the two radicals is observed with the largest J (JRad–Rad = −24.89 cm−1) ever reported in Ln(III)-radical systems, and at low temperature, intermolecular ferromagnetic interaction also plays an important role. In addition, complex 6 exhibits field-induced single-molecule magnet (SMM) behavior.
Introduction
In the last few decades, molecular magnetism has attracted continuous interest because it provides genuine opportunities for both the synthesis of new compounds with unconventional properties (especially if following a rational design),1–3 and for exploring the fundamental aspects of magnetic interactions and magneto-structural correlations in molecular systems, which will further aid the design of new molecular magnets.4,5 One goal in this field is the synthesis of a whole family of systems, which provides a clear indication of the patterns of magnetic interactions and allowed for the rationalization of the magnetic coupling mechanism.6 Recently, lanthanide-based systems is becoming increasingly interested, due to their large number of unpaired f-electrons and large intrinsic magnetic anisotropy.7–9 Consequently, lanthanides ions, especially heavy lanthanide ions, have become good candidates for the construction of SCMs and SMMs.10–12 However, because the effective shielding by the outer-shell electrons and the rather large and anisotropic magnetic moments of the rare-earth metal ions, which makes the nature of the magnetic interactions between Ln(III) ions and other spin carries difficult to be treated, and has become an area of research interest.13 Therefore, synthesizing more lanthanide complexes and systematically studying their magnetic nature is becoming more and more significant.
In recent years, lanthanide compounds involving organic radicals (2p–4f) have attracted much attention, because several of these lanthanide compounds have been found to exhibit single-molecule11d,14 and single-chain magnets behavior12b,15 due to the Ising anisotropy of their 4f centers, and the big strength of magnetic interaction promoted organic radicals. Furthermore, the researchers showed that the properties and structures of the lanthanide-radical complexes are affected greatly by modifying the radical ligand.
In order to explore how the electron cloud density of the aromatic ring in the nitronyl nitroxide radical ligand affects the structure and magnetic character of lanthanide-radical complexes, we decided to use a new bis-nitronyl nitroxide radical based on furan ring, named NITFumbis = (1,3-bis-(1′-oxyl-3′-oxido-4′,4′,5′,5′-tetramethyl-4,5-hydro-1H-imidazol-2-yl)furan), its structure is shown in Scheme 1. Compared with pyridyl or phenyl substituted bis-nitronyl nitroxide radical,11d,16 furyl ring is rich in electron cloud density, which will affect the strength of magnetic interaction promoted by organic radicals. Up till now, no metal complexes with such radical has been reported. Herein we synthesized a series of isomorphic mononuclear tri-spin lanthanide complexes based on radical NITFumbis with the formula of [Ln(hfac)3(NITFumbis)2]2 (Ln = La(1), Ce(2), Pr(3), Gd(4), Tb(5), Dy(6), hfac = hexafluoroacetylacetonate, NITFumbis = 1,3-bis-(1′-oxyl-3′-oxido-4′,4′,5′,5′-tetramethyl-4,5-hydro-1H-imidazol-2-yl)furan). The static magnetic results suggested that there are antiferromagnetic interactions between Ln and the radicals in all of the six complexes. In addition, dynamic magnetic studies showed that complex 6 exhibit frequency-dependent ac susceptibility at low temperature, which suggest SMMs behavior.
 |
| | Scheme 1 | |
Experimental details
Materials and physical measurements
All of the reagents used in the syntheses were of analytical grade, except that the solvents used were distilled prior to use. Ln(hfac)3·2H2O was synthesized according to the method of the literature.17 2,5-Furanedicarboxaldehyde used to synthesize the nitronyl nitroxide radicals was prepared by activated manganese dioxide (Across) and 2,5-bis(hydroxymethyl)furane (Aldrich) according to the literature procedures.18 The ligand NITFumbis was prepared by condensation of 2,3-bis(hydroxylamino)-2,3-dimethylbutane with 2,5-furanedicarboxaldehyde, followed by oxidation with NaIO4 according to the literature method.19 Elemental analyses for carbon, hydrogen, and nitrogen were performed on a Perkin-Elmer 240 elemental analyzer. Infrared spectra were recorded from KBr pellets in the 4000–400 cm−1 region on a Bruker TENOR 27 spectrometer. Powder X-ray diffraction measurements were recorded on a D/Max-2500 X-ray diffractometer using Cu-Kα radiation. Direct-current (dc) magnetic susceptibilities of crystalline samples were measured on an MPMS-7 SQUID magnetometer in the temperature range of 2–300 K with 1000 Oe applied magnetic field. Alternating-current (ac) susceptibilities were performed on the same magnetometer under 0 or 3000 Oe DC field with an oscillating of 3 Oe. The data were corrected for the diamagnetism of the samples using Pascal constants.
X-Ray crystallography
All crystallographic data were carried out with an Oxford Diffractometer SuperNova™, which were equipped with graphite monochromatic Mo-Kα radiation (λ = 0.71073 Å). Lorentz polarization and absorption corrections were applied. Structures were solved by direct methods with the SHELXS-97 program and refined by full-matrix least-squares techniques against F2 with the SHELXTL-97 program package.20 The disordered fluorine atoms in all the six complexes were refined isotropically. Some restraints are applied, such as ISOR (anisotropic parameter), DFIX (restricting the distance between two atoms). Besides fluorine atoms, all other non-hydrogen atoms were refined anisotropically, and hydrogen atoms were located and refined isotropically. Crystallographic data for all of the six compounds are listed in Table 1. CCDC-1410302 (for 1), CCDC-1410303 (for 2), CCDC-1410315 (for 3), CCDC-1410316 (for 4), CCDC-1410317 (for 5) and CCDC-1410319 (for 6), contain the supplementary crystallographic data for this paper.
Table 1 Crystallographic data and structure refinement details for 1–6
| |
1 |
2 |
3 |
4 |
5 |
6 |
| Formula |
C66H58F36La2N8O22 |
C66H58Ce2F36N8O22 |
C66H58F36N8O22Pr2 |
C66H58F36Gd2N8O22 |
C66H58F36N8O22Tb2 |
C66H58Dy2F36N8O22 |
| Mr |
2277.02 |
2279.44 |
2281.02 |
2313.70 |
2317.04 |
2324.20 |
| Crystal system |
Triclinic |
Triclinic |
Triclinic |
Monoclinic |
Monoclinic |
Monoclinic |
| Space group |
P![[1 with combining macron]](https://www.rsc.org/images/entities/char_0031_0304.gif) |
P![[1 with combining macron]](https://www.rsc.org/images/entities/char_0031_0304.gif) |
P![[1 with combining macron]](https://www.rsc.org/images/entities/char_0031_0304.gif) |
P21/c |
P21/c |
P21/c |
| a (Å) |
13.895 (3) |
14.1078 (4) |
13.9203 (4) |
29.7235 (10) |
29.7640 (16) |
29.6112 (12) |
| b (Å) |
17.084 (3) |
17.1982(6) |
17.1400 (5) |
12.6890 (3) |
12.6516 (6) |
12.6818 (5) |
| c (Å) |
21.297 (4) |
21.4263 (5) |
21.2848 (7) |
23.8780 (7) |
23.9061 (12) |
23.9558 (10) |
| α (°) |
108.753 (3) |
108.562 (3) |
68.426 (3) |
90 |
90 |
90 |
| β (°) |
92.788 (3) |
93.305 (2) |
87.010 (3) |
108.287 (3) |
108.037 (1) |
107.2800 (10) |
| γ (°) |
113.849 (3) |
113.769 (3) |
66.321 (3) |
90 |
90 |
90 |
| V (Å3) |
4284.3 (13) |
4405.4 (2) |
4297.8 (3) |
8551.1 (4) |
8559.7 (7) |
8589.9 (6) |
| Z |
2 |
2 |
2 |
4 |
4 |
4 |
| ρcalc (mg m−3) |
1.765 |
1.718 |
1.763 |
1.797 |
1.798 |
1.797 |
| μ (mm−1) |
1.135 |
9.233 |
9.976 |
11.319 |
1.791 |
1.878 |
| F (000) |
2248 |
2252 |
2256 |
4552.0 |
4560 |
4568 |
| θ range (°) |
1.40–25.01 |
3.46–68.07 |
3.49–67.08 |
3.72–67.08 |
0.72–25.01 |
1.44–25.01 |
| GOF on F2 |
1.031 |
1.041 |
1.042 |
1.023 |
1.105 |
1.028 |
| R1/wR2 [I > 2σ(I)] |
0.0379, 0.0959 |
0.0741, 0.1870 |
0.0411, 0.1025 |
0.0732, 0.1785 |
0.0436, 0.0909 |
0.0448, 0.0953 |
| R1/wR2 (all data) |
0.0451, 0.1026 |
0.1051, 0.2063 |
0.0458, 0.1074 |
0.1185, 0.2168 |
0.0560, 0.0979 |
0.0599, 0.1036 |
Preparation of complexes of 1–6
All of the six complexes were obtained by dissolving Ln(hfac)3·2H2O (0.05 mmol) (Ln = La(1), Ce(2), Pr(3), Gd(4), Tb(5), Dy(6)) in boiling n-heptane (20 mL). After stirring for 2 h, the solution was cooled to 60 °C, to which NITFumbis (19 mg, 0.05 mmol) in CH2Cl2 (5 mL) was added. The resulting solution was stirred with refluxing for 30 min and then cooled to room temperature. Slowly evaporation of the final solution for about one week yield dark-blue block crystals suitable for single-crystal X-ray analysis.
[La(hfac)3(NITFumbis)]2 (1). Yield 0.026 g, 45%. C66H58F36La2N8O22 (2277.02 g mol−1): calcd for C 34.81, H 2.57, N 4.92; found: C 35.22, H 2.84, N 5.08%. IR (KBr pellet): 2362(w), 1651(s), 1613(w), 1400(vs), 1262(m), 1192(s), 1142(s), 801(w), 617(m) cm−1.
[Ce(hfac)3(NITFumbis)]2 (2). Yield 0.024 g, 42%. C66H58Ce2F36N8O22 (2279.44 g mol−1): calcd C 34.77, H 2.56, N 4.92; found: C 35.08, H 2.66, N 5.18%. IR (KBr pellet): 2357(w), 1649(s), 1398(w), 1256(s), 1197(s), 1143(vs), 776(m), 618(m) cm−1.
[Pr(hfac)3(NITFumbis)]2 (3). Yield 0.028 g, 48%. C66H58F36N8O22Pr2 (2281.02 g mol−1): calcd for C 34.75, H 2.56, N 4.91; found: C 34.88, H 2.92, N 5.13%. IR (KBr pellet) 2361(w), 1651(s), 1562(w), 1502(m), 1399(vs), 1338(s), 1275(vs), 1205(vs), 1154(s), 983(s), 814(m), 660(w), 622(m), 565(m) cm−1.
[Gd(hfac)3(NITFumbis)]2 (4). Yield 0.025 g, 43%. C66H58F36Gd2N8O22 (2313.70 g mol−1): calcd C 34.26, H 2.53, N 4.84; found: C 34.18, H 2.65, N 4.72%. IR (KBr pellet): 2362(w), 1653(s), 1524(s), 1399(vs), 1326(w), 1262(s), 1192(vs), 1146(vs), 795(w), 649(w), 579(m) cm−1.
[Tb(hfac)3(NITFumbis)]2 (5). Yield 0.024 g, 42%. C66H58F36N8O22Tb2 (2317.04 g mol−1): calcd for C 34.21, H 2.52, N 4.84; found: C 34.14, H 2.68, N 4.96%. IR (KBr pellet): 2362(w), 1650(vs), 1524(s), 1401(vs), 1268(vs), 1192(vs), 1135(vs), 987(w), 789(w), 609(m) cm−1.
[Dy(hfac)3(NITPymbis)]2 (6). Yield 0.026 g, 44%. C66H58Dy2F36N8O22 (2324.20 g mol−1): calcd C 34.10, H 2.51, N 4.82; found: C 34.35, H 2.42, N 4.66%. IR (KBr pellet): 2361(w), 1653(vs), 1512(s), 1403(vs), 1269(vs), 1190(vs), 1157(vs), 992(vs), 795(s), 606(m) cm−1.
Results and discussion
Crystal structure
Structures of 1. Single-crystal X-ray diffraction analyses reveal that the molecular structures of 1–3 belong to triclinic P
space group. The asymmetric units in all the three complexes are composed of two crystallographically independent [Ln(hfac)3(NITFumbis)] moieties, and every [Ln(hfac)3(NITFumbis)] exhibits mononuclear tri-spin structure. The molecular structure of complex 1 as an example is shown in Fig. 1, the central LaIII ion is eight coordinated by three bischelate hfac− anions and two non-bridged NO groups from two separate organic radicals. The La–O(rad) (nitroxide) distances are in the range of 2.449(2)–2.503(2) Å, and the La–O(hfac) bond lengths are in the range of 2.441(3)–2.556(2) Å. The coordinated N–O bond lengths of the nitronyl nitroxide radicals are in the range of 1.294(2)–1.301(2) Å, which is a little larger than the uncoordinated N–O bonds (1.262(3)–1.268(2) Å). However, both are within the range of N–O bond length of the nitronyl radical. The Orad–La–Orad bond angles are 92.23(8)° and 94.53(8)°, respectively (Table 2). Here the two five membered heterocyclic rings and the furan ring show twist angles range from 22.7(2)° to 32.9(3)°. By employing the classic Continuous Symmetry Measures (CSM) method, the coordination sphere of La1 and La2 is estimated as nearly ideal D2d triangular dodecahedron with the deviation parameter S = 1.862 or C2v-bicapped trigonal prism with the derivation parameter S = 1.102, respectively (Table 3).21
 |
| | Fig. 1 Simplified view of the crystal structure of 1. Fluorine, hydrogen, and some carbon atoms are omitted for clarity. (b) Polyhedral of lanthanum atoms. | |
Table 2 Selected bond distances (Å) and angles (°) for complexes 1–6
| |
1 La |
2 Ce |
3 Pr |
| Ln–O(hfac) |
2.424(7)–2.480(6) |
2.377(13)–2.465(4) |
2.384(6)–2.433(7) |
| O(rad)–Ln–O(rad) |
86.7(2), 90.5(2) |
86.4(2), 90.6(2) |
86.1(2), 90.3(2) |
| Ln–O(rad) |
2.404(6)–2.460(6) |
2.394(4)–2.426(4) |
2.360(5)–2.386(5) |
| Ln–O(rad)–N |
134.2(5)–139.1(5) |
134.1(3)–137.7(3) |
133.8(4)–137.7(4) |
| O(rad)–N |
1.264(9)–1.305(9) |
1.291(6)–1.297(7) |
1.277(7)–1.300(7) |
![[thin space (1/6-em)]](https://www.rsc.org/images/entities/char_2009.gif) |
| |
4 Gd |
5 Tb |
6 Dy |
| Ln–O(hfac) |
2.354(10)–2.404(7) |
2.350(11)–2.382(12) |
2.321(9)–2.380(9) |
| O(rad)–Ln–O(rad) |
86.6(3), 90.7(3) |
86.1(5), 90.2(5) |
85.8(3), 88.8(3) |
| Ln–O(rad) |
2.345(8)–2.374(7) |
2.324(14)–2.364(13) |
2.321(9)–2.349(9) |
| Ln–O(rad)–N |
133.9(6)–138.7(7) |
134.2(10)–137.7(9) |
134.1(7)–137.3(7) |
| O(rad)–N |
1.277(12)–1.307(11) |
1.279(19)–1.299(16) |
1.288 (13)–1.309(14) |
Table 3 Lanthanide geometry analysis by SHAPE software
| Ln(III) |
D2d-DD |
C2v-TP |
D4d-AP |
Ln(III) |
D2d-DD |
C2v-TP |
D4d-AP |
| La1 |
1.862 |
2.046 |
4.289 |
La2 |
1.964 |
1.102 |
2.104 |
| Ce1 |
1.994 |
1.839 |
4.056 |
Ce2 |
1.994 |
1.058 |
1.770 |
| Pr1 |
1.804 |
2.018 |
4.130 |
Pr2 |
2.014 |
0.990 |
2.051 |
| Gd1 |
2.157 |
0.825 |
1.912 |
Gd2 |
2.963 |
1.107 |
3.249 |
| Tb1 |
2.017 |
0.709 |
1.743 |
Tb2 |
2.955 |
1.104 |
3.244 |
| Dy1 |
2.250 |
0.777 |
1.802 |
Dy2 |
2.802 |
1.056 |
3.051 |
The shortest distance between the uncoordinated N–O group is in the 10.924 Å, and the shortest La⋯La distance is 10.121 Å, hence the two sub-units are incompact, mononuclear moiety is considered for the magnetic analysis. The packing diagram for 1 is given in Fig. 2. There is no π–π stacking interaction in the system, and weak hydrogen bond interactions C–H⋯F or C–H⋯O to generate three dimensional networks with H⋯F distances of 2.460 Å or H⋯O distances in the range of 2.448–2.484 Å, which are comparable to the literature11d,14f,22 of the Ln(hfac)3 complexes (Table 3).
 |
| | Fig. 2 Packing diagram of LaNITFumbis. (Pink dot line, C17–H17⋯O9, C50–H50⋯O20, C17–H17⋯F33). | |
Structure of 4. Compound 4–6 crystallizes in space group P21/c with Z = 4. The asymmetric unit also contains two crystallographically independent [Ln(hfac)3(NITFumbis)] moieties, and every [Ln(hfac)3(NITFumbis)] exhibits mononuclear tri-spin structure with central metal ion in an LnO8 coordination sphere. The molecular structure of complex 4 as an example is shown in Fig. 3. The Gd–O(hfac) distances range from 2.354(10) to 2.404(7) Å. In contrast to 1, the Ln–O (radical) bond lengths of compounds 4–6 are in the range of 2.345(8)–2.374(7) Å for 4, 2.324(14)–2.364(13) Å for 5, and 2.321(9)–2.349(9) Å for 6, which exhibits the phenomenon of shrinking the bond distances for heavier lanthanide ions. When applying the C2v symmetry to the GdO8 site, CSM method gives the Gd1 and Gd2 the minimal value of S = 0.825 or S = 1.107, respectively. Similar to 1, hydrogen bonds C11–H11B⋯F28, C38–H38⋯F23, C28–H28B⋯F7, C50–H50A⋯O3, C50–H50C⋯O9 (H⋯F distances ranging from 2.451(3) to 2.616(5) Å and H⋯O distances ranging from 2.451(3) to 2.616(5) Å) attach isolated molecules into 3D supermolecular structure (Fig. 4).
 |
| | Fig. 3 Simplified view of the crystal structure of 4. Fluorine, hydrogen, and some carbon atoms are omitted for clarity. (b) Polyhedral of gadolinium atoms. | |
 |
| | Fig. 4 Packing diagram of GdNITFumbis. (Pink dot line, C11–H11B⋯F28, C38–H38⋯F23, C28–H28B⋯F7, C50–H50A⋯O3, C50–H50C⋯O9). | |
Static magnetic properties
Magnetic measurements were performed on polycrystalline samples of 1–6. The phase purity of the bulk samples was confirmed by XRD analyses as shown in Fig. S7 and 8 (ESI).† Direct current (dc) magnetic susceptibilities for the six complexes were measured under 1 kOe in the 2–300 K range and the magnetic behaviors are shown in Fig. 5–8.
 |
| | Fig. 5 χMT vs. T (○) and χM vs. T (□) plots for complex 1. | |
 |
| | Fig. 6 χMT vs. T (○) and χM vs. T (□) plots for complex 2 (left) and 3 (right). | |
 |
| | Fig. 7 χMT vs. T (□)and χM vs. T (○) plots for complex 4, and the solid lines represent the theoretical values based on the corresponding equations (left). Field dependence of the magnetization for complex 4 at 2 K (right). | |
 |
| | Fig. 8 χMT vs. T (○) and χM vs. T (□) plots for 5 (left) and 6 (right). | |
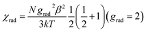
Static magnetic properties for complex 1(La), 2(Ce), and 3(Pr). At room temperature, the value of χMT for complex 1 is 0.76 cm3 K mol−1 (Fig. 5), in good agreement with the expected value (0.75 cm3 K mol−1) for two organic radicals (S = 1/2, 0.375 cm3 K mol−1). Upon cooling, χMT value gradually decreases and reaches a minimum of 0.03 cm3 K mol−1 at 2 K. This behavior evidences that weak antiferromagnetic radical–radical interactions operate in the lanthanum complex. The experimental data between 2−300 K are well fitted using a dinuclear model H = −2JRad–RadŜRad1ŜRad2, the magnetic data were analyzed by the eqn (2). The least-squares fit to the data of 1 leads to g = 2.01, JRad–Rad = −5.3 cm−1.| |
 | (1) |
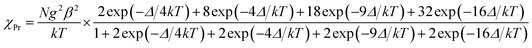
Variable-temperature magnetic susceptibilities for complexes of 2 and 3 are studied and shown in Fig. 6. The observed room-temperature χMT values are 1.53 and 2.37 cm3 K mol−1 for Ce(III) and Pr(III) mononuclear complexes, respectively. Both the values are very close to the expected values of 1.55 and 2.35 cm3 K mol−1 for an uncoupled system of one Ln(III) ion (Ce(III) or Pr(III)) plus two radicals. Upon cooling, the χMT value of 2 continuously decreases and reaches a minimum of 0.14 cm3 K mol−1 at 2 K. While on decreasing the temperature, the χMT value of 3 decreases gradually and reaches a minimum of 0.07 cm3 K mol−1 at 2.0 K, which may be ascribed to the progressive depopulation of excited Stark sublevels of PrIII and the weak interactions between Pr(III) ion and radicals.
To obtain a rough quantitative estimate of the magnetic interaction parameters between paramagnetic species (Ce(III) [or Pr(III) ion] and the radicals) in the mononuclear tri-spin system, we assumed that the total magnetic susceptibility χtotal is given by the sum of the isolated Ln(III) ion and two radicals (eqn (2)). The Ce(III) [or Pr(III)] ion may be assumed to exhibit a splitting of the MJ energy levels (Ĥ = ΔĴz2) in an axial crystal field. Thus χCe and χPr can be described by eqn (4) and (5), respectively.3e,15a,23 In the expression, Δ is the zero-field-splitting parameter, g is the Lande factor. The zJ′ parameter based on the molecular field approximation in eqn (6) is introduced to simulate the magnetic interactions between all the paramagnetic species in the system. Thus, the magnetic data can be analyzed by the following approximate treatment of eqn (2)–(6).
| |
 | (3) |
| |
 | (4) |
| |
 | (5) |
| |
 | (6) |
The observed χMT data were well reproduced (Fig. 6) by using the above approximate eqn (2)–(6), giving the best fitting parameters of g = 0.89, Δ = 5.76 cm−1, zJ′ = −0.52 cm−1 for complex 2 and g = 0.83, Δ = −18.92 cm−1, zJ′ = −1.07 cm−1 for complex 3. The negative zJ′ value is indicative of the antiferromagnetic interaction between the paramagnetic ions (Pr(III) and radicals) in the mononuclear tri-spin systems.
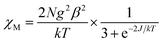
Static magnetic properties of complex 4. The temperature dependence of magnetic susceptibilities for 4 is studied and shown in Fig. 7. The observed room-temperature χMT value is 8.72 cm3 K mol−1, in agreement with the expected value 8.63 cm3 K mol−1 for one uncoupled GdIII ion (8S7/2, g = 2) and two organic radicals (S = 1/2). On decreasing the temperature, the χMT value keeps almost constant down to 100 K, then decreases slightly to reach a minimum of 8.04 cm3 K mol−1 at 22 K. Upon further cooling, χMT increases to 8.22 cm3 mol−1 K at 2 K. Such a magnetic behavior is consistent with dominant antiferromagnetic interactions. Accordingly, the system was modeled as a mononuclear tri-spin unit, and the magnetic analysis was carried out by using the spin Hamiltonian H = −2JRad–Gd (ŜRad1ŜGd + ŜRad2ŜGd) − 2JRad–RadŜRad1ŜRad2, where JRad–Gd and JRad–Rad characterized the exchange interactions for radical–Gd(III) and radical–radical, respectively. At low temperature, the increase of χMT may be assigned to weak intermolecular ferromagnetic interaction, so the mean-field approximation (zJ′) was introduced. Assuming that radicals and Gd(III) have the same g value,23 the magnetic data were analyzed by the following approximate treatment equations.24| |
 | (7) |
| |
 | (8) |
The observed χMT data at 2–300 K were well reproduced, giving the best fitting parameters of g = 2.00, JRad–Gd = −1.00 cm−1, JRad–Rad = −24.89 cm−1 and zJ′ = 0.004 cm−1. The negative values of JRad–Gd and JRad–Rad indicate the antiferromagnetic interactions between Gd(III) and the radicals, and also between the two intramolecular radicals.
The fitting results of JRad–Gd is in the range of ever reported GdIII-radicals compounds, the JRad–Rad is larger than the reported highest value (JRad–Rad = −11.89 cm−1) for Ln-radical systems,3f although much larger value for JRad–Rad is found in transition-metal-radical systems.25 Because a spin delocalization exists from the magnetic orbital π* of NITFumbis to the empty 6s and 5d orbitals on the LnIII ion, the antiferromagnetic interaction between the intramolecular radicals could be interpreted based on the superexchange of the two radicals through the empty 6s and 5d orbitals of the Ln(III) ion.7c,26 The shorter bond distances of Gd(III)–Orad (4) than La(III)–Orad (1) may result in good overlapping of the π* electronic cloud through the empty 6s and 5d orbitals, which is the reason of the more pronounced antiferromagnetic interaction in compound 4 than in 1. The fact that GdIII mediates the magnetic interaction more efficiently than YIII has already been observed in the literature.27 The much larger JRad–Rad for compound 4 than other Gd-radical complexes3f,16c,d,27,28 may be not only due to the good conjugation among the furyl ring and the two imidazol rings on which the radicals locate, but also due to the high electronic density of the furyl ring.
The field dependences of magnetization for complexes 4 have been determined at 2 K in the range of 0–70 kOe (Fig. 7 (right)). The experimental magnetization is compared to the theoretical magnetization given by the Brillouin function for S = 9/2 of the ferromagnetic and the S = 7/2 for antiferromagnetic state. The experimental magnetization is close to the Brillouin function for S = 7/2, which further confirms the antiferromagnetic interactions between the paramagnetic centers.
Static magnetic properties of complex 5 and 6. The direct current (DC) magnetic susceptibility data of 5 and 6 are shown in Fig. 8. For 5, the value of χMT at 300 K is 12.91 cm3 K mol−1, which is a little higher than the expected value 12.50 cm3 K mol−1 for one uncoupled TbIII ion (7F6 and g = 3/2) and two organic radicals (S = 1/2). Upon cooling, the value of χMT decreases smoothly till 60 K, and then shows an abrupt decrease to 10.26 cm3 K mol−1 at 2 K. For 6, the value of χMT at room temperature is 14.18 cm3 K mol−1, which is slightly lower than the expected value of 14.92 cm3 K mol−1 for one uncoupled DyIII ion (6H15/2) and two organic radicals (S = 1/2). As the temperature is lowered, the χMT value decreases slightly until 100 K and then decays sharply to a minimum of 11.30 cm3 K mol−1 at 2 K. The decrease of χMT at high temperature regime can be ascribed to the depopulation of the LnIII MJ states and/or antiferromagnetic coupling between spin carriers.The field dependences of magnetization (M) for complex 5 and 6 have been determined at 2 K in the range of 0–70 kOe (Fig. 9). For 5, the field-dependent magnetization value at 2 K shows a rapid increase in the magnetization at low magnetic fields. At higher fields, M increases up to 5.81 Nβ at 2 K and 70 kOe, which is much lower than the saturation values of 11 Nβ (9 Nβ for each TbIII ion for J = 6 and g = 3/2, plus 1 Nβ for each organic radical). For 6, M increases up to 6.57 Nβ at 2 K and 70 kOe with the increase of the applied field, which also does not reach the expected saturation values of 12 Nβ (10 Nβ for each DyIII ion for J = 15/2 and g = 4/3, plus 1 Nβ for each organic radical). Considering the strong spin-orbit coupling in LnIII ions, the large gaps between experimental data and theoretical saturation values for compounds 5 and 6 can be ascribed to the presence of magnetic anisotropy and/or low-lying excited states in the systems.11c,12a,14,29
 |
| | Fig. 9 Field dependence of the magnetization at 2 K for complex 5 (left) and 6 (right). | |
Dynamic magnetic properties for 5 and 6. To examine the spin dynamics of complex 5 and 6, alternating current (AC) measurements were carried out under a zero DC field or 3000 Oe with an oscillation of 3 Oe. The imaginary component χ′′ of the complex 5 does not show any frequency-dependent phenomenon (Fig. S5, see ESI†). As for DyIII compound, the imaginary component of ac magnetic susceptibility data displays temperature dependence with no peaks observed while the real component exhibits a steady increase down to 2 K under zero dc field (Fig. S6, see ESI†). As is well known, magnetization can reverse via quantum mechanical tunneling process in lanthanide SMMs within the lowest energy doublet, which can be suppressed by applying a static magnetic field. Here a DC field of 3000 Oe is applied to probe the dynamic behavior of AC magnetic susceptibility (Fig. 10). Consequently, well-resolved peaks emerge which suggest that the relaxation process is slowed by the external fields. The maximums of the imaginary component of the ac susceptibility are extracted for relaxation time τ. Plots of ln
τ versus T−1 display linear dependence indicating spin reversed by thermal activated Orbach mechanism process (Fig. 11). Arrhenius fit (τ = τ0
exp(Δeff/kBT)) gives the effect energy gap of 15 K with the pre-exponential τ0 of 1.25 × 10−6 s, which fall in the range well for SMMs.14,30
 |
| | Fig. 10 Temperature dependence of the in-phase (top) and out-of-phase (bottom) components of the AC magnetic susceptibility for complex 6 (right) in a 3000 Oe DC field with an oscillation of 3 Oe. | |
 |
| | Fig. 11 (a) Magnetization relaxation time, ln τ vs. T−1 plot for 6 under 3000 Oe dc field. The solid line is fitted with the Arrhenius law. | |
Conclusions
In conclusion, a nitronyl nitroxide radical NITFumbis and six new compounds [Ln(hfac)3(NITFumbis)]2 have been synthesized. The results show that all of the LnIII-complexes have analogous structures, and each of them features as monometallic tri-spin complex, and the asymmetric unit is composed of two crystallographically independent [Ln(hfac)3(NITPymbis)] moieties. The temperature dependencies of magnetic susceptibilities for the LnIII-complexes are studied, and the results show that there are antiferromagnetic interactions between the paramagnetic ions (Ln(III) and radicals) in all the six complexes. For Gd(III) complex 4, the fitting results of the magnetic susceptibility reveal that there are two different magnetic interactions between the Gd(III) ion and the NITPymbis ligand (antiferromagnetic interaction between the Gd(III) and the radicals, and also antiferromagnetic interaction between the two intramolecular radicals). The DyIII compound exhibits field-induced SMM behavior with Ueff of 15 K and τ0 of 1.25 × 10−6 s under 3000 Oe external field, while the TbIII compound shows no out-of-phase ac signal. The results reported here demonstrated that the local symmetry of lanthanide ions is significant for magnetic anisotropy and for rationally design of new lanthanide SMMs.
Acknowledgements
This work was financially supported by the National Natural Science Foundation of China (21371133).
References
-
(a) C. Benelli, A. Caneschi, D. Gatteschi, L. Pardi, P. Rey, D. P. Shum and R. L. Carlin, Inorg. Chem., 1989, 28, 272 CrossRef;
(b) O. Kahn, Molecular Magnetism, VCH Publishers, New York, 1993 Search PubMed;
(c) C. Benelli, A. Caneschi, D. Gatteschi and R. Sessoli, J. Appl. Phys., 1993, 73, 5333 CrossRef CAS PubMed;
(d) M. L. Kahn, J. P. Sutter, S. Golhen, P. Guionneau, L. Ouahab, O. Kahn and D. Chasseau, J. Am. Chem. Soc., 2000, 122, 3413 CrossRef CAS;
(e) O. Evans and W. Lin, Chem. Mater., 2001, 13, 3009 CrossRef CAS;
(f) M. T. Lemaire, Pure Appl. Chem., 2004, 76, 277 CAS.
-
(a) G. St-Pierre, A. Chagnes, N. A. Bouchard, P. D. Harvey, L. Brossard and H. Menard, Langmuir, 2004, 20, 6365 CrossRef CAS PubMed;
(b) A. B. Descalzo, K. Rurack, H. Weisshoff, R. Martinez-Manez, M. D. Marcos, P. Amoros, K. Hoffmann and J. Soto, J. Am. Chem. Soc., 2005, 127, 184 CrossRef CAS PubMed;
(c) D. Luneau and P. Rey, Coord. Chem. Rev., 2005, 249, 2591 CrossRef CAS PubMed;
(d) M. A. Aldamen, J. M. Clemente-Juan, E. Coronado, C. Marti-Gastaldo and A. Gaita-Arino, J. Am. Chem. Soc., 2008, 130, 8874 CrossRef CAS PubMed.
-
(a) T. C. Stamatatos, S. J. Teat, W. Wernsdorfer and G. Christou, Angew. Chem., Int. Ed., 2009, 48, 521 CrossRef CAS PubMed;
(b) R. Sessoli and A. K. Powell, Coord. Chem. Rev., 2009, 253, 2328 CrossRef CAS PubMed;
(c) M. Mannini, F. Pineider, P. Sainctavit, C. Danieli, E. Otero, C. Sciancalepore, A. M. Talarico, M. A. Arrio, A. Cornia, D. Gatteschi and R. Sessoli, Nat. Mater., 2009, 8, 194 CrossRef CAS PubMed;
(d) P. Dawid, C. Szymon and S. Olaf, Nature, 2010, 468, 417 CrossRef PubMed;
(e) L. Sorace, C. Benelli and D. Gatteschi, Chem. Soc. Rev., 2011, 40, 3092 RSC;
(f) Y. L. Wang, Y. Y. Gao, Y. Ma, Q. L. Wang, L. C. Li and D. Z. Liao, CrystEngComm, 2012, 14, 4706 RSC.
-
(a) A. Caneschi and D. Gatteschi, Prog. Inorg. Chem., 1991, 39, 331 CrossRef PubMed;
(b) N. Koga and S. Karasawa, Bull. Chem. Soc. Jpn., 2005, 78, 1384 CrossRef CAS;
(c) G. Christou, Polyhedron, 2005, 24, 2065 CrossRef CAS PubMed.
-
(a) G. Poneti, K. Bernot, L. Bogani, A. Caneschi, R. Sessoli, W. Wernsdorfer and D. Gatteschi, Chem. Commun., 2007, 1807 RSC;
(b) P. H. Lin, T. J. Burchell, L. Ungur, L. F. Chibotaru, W. Wernsdorfer and M. Murugesu, Angew. Chem., Int. Ed., 2009, 48, 9489 CrossRef CAS PubMed;
(c) D. Visinescu, O. Fabelo, C. Ruiz-Perez, F. Lloret and M. Julve, CrystEngComm, 2010, 12, 2454 RSC.
- R. D. Willet, D. Gatteschi and O. Kahn, Magneto-Structural Correlations in Exchange Coupled Systems, Reidel Publishing, Dordrecht, The Netherlands, 1983 Search PubMed.
-
(a) A. Bencini, C. Benelli, A. Caneschi, R. L. Carlin, A. Dei and D. Gatteschi, J. Am. Chem. Soc., 1985, 107, 8128 CrossRef CAS;
(b) A. Bencini, C. Benelli, A. Caneschi, A. Dei and D. Gatteschi, Inorg. Chem., 1986, 25, 572 CrossRef CAS;
(c) C. Benelli, A. Caneschi, D. Gatteschi, L. Pardi and P. Rey, Inorg. Chem., 1990, 29, 4223 CrossRef CAS;
(d) C. Benelli, A. Caneschi, O. Guillou and L. Pardi, Inorg. Chem., 1990, 29, 1750 CrossRef CAS;
(e) C. Benelli, A. Caneschi, D. Gatteschi and R. Sessoli, Inorg. Chem., 1993, 32, 4797 CrossRef CAS;
(f) O. Kahn, Adv. Inorg. Chem., 1995, 43, 179 CrossRef CAS;
(g) J. L. Sanz, R. Ruiz, A. Gleizes, F. Lloet, J. Fans, M. Julve, J. J. Borras-Alvenar and Y. Journeaux, Inorg. Chem., 1996, 35, 7384 CrossRef CAS PubMed.
-
(a) C. Lescop, E. Belorizky, D. Luneau and P. Rey, Inorg. Chem., 2002, 41, 3375 CrossRef CAS PubMed;
(b) N. Ishikawa, M. Sugita, T. Ishikawa, S. Y. Koshihara and Y. Kaizu, J. Am. Chem. Soc., 2003, 125, 8694 CrossRef CAS PubMed;
(c) N. Ishikawa, M. Sugita and W. G. Wernsdorfer, J. Am. Chem. Soc., 2005, 127, 3650 CrossRef CAS PubMed;
(d) Y. N. Guo, G. F. Xu, P. Gamez, L. Zhao, S. Y. Lin, R. P. Deng, J. K. Tang and H. J. Zhang, J. Am. Chem. Soc., 2010, 132, 8538 CrossRef CAS PubMed.
-
(a) N. Ishikawa, J. Phys. Chem. A, 2003, 107, 5831 CrossRef CAS;
(b) S. Takamatsu, T. Ishikawa, S. Koshihara and N. Ishikawa, Inorg. Chem., 2007, 46, 7250 CrossRef CAS PubMed;
(c) J. D. Rinehart, M. Evans, W. J. Evans and J. R. Long, J. Am. Chem. Soc., 2011, 133, 14236 CrossRef CAS PubMed.
-
(a) P. D. W. Boyd, Q. Li, J. B. Vincent, K. Folting, H. R. Chang, W. E. Streib, J. C. Huffman, G. Christou and D. N. Hendrickson, J. Am. Chem. Soc., 1988, 110, 8537 CrossRef CAS;
(b) A. Caneschi, D. Gatteschi, N. Lalioti, C. Sangregorio, R. Sessoli, G. Venturi, A. Vindigni, A. Rettori, M. G. Pini and M. A. Novak, Angew. Chem., 2001, 113, 1810 CrossRef;
(c) D. Gatteschi and R. Sessoli, Angew. Chem., Int. Ed., 2003, 42, 268 CrossRef CAS PubMed;
(d) A. Mishra, W. Wernsdorfer, K. A. Abboud and G. Christou, J. Am. Chem. Soc., 2004, 126, 15648 CrossRef CAS;
(e) N. Ishikawa, M. Sugita and W. Wernsdorfer, Angew. Chem., Int. Ed., 2005, 44, 2931 CrossRef CAS PubMed;
(f) X. Y. Wang, Z. M. Wang and S. Gao, Chem. Commun., 2008, 281 RSC;
(g) H. L. Sun, Z. M. Wang and S. Gao, Coord. Chem. Rev., 2010, 254, 1081 CrossRef CAS PubMed;
(h) J. S. Miller and D. Gatteschi, Chem. Soc. Rev., 2011, 40, 3065 RSC.
-
(a) N. Ishikawa, M. Sugita and W. Wernsdorfer, Angew. Chem., 2005, 117, 2991 CrossRef PubMed;
(b) J. Tang, I. Hewitt, N. T. Madhu, G. Chastanet, W. Wernsdorfer, C. E. Anson, C. Benelli, R. Sessoli and A. K. Powell, Angew. Chem., Int. Ed., 2006, 45, 1729 CrossRef CAS PubMed;
(c) K. Bernot, J. Luzon, L. Bogani, M. Etienne, C. Sangregorio, M. Shanmugam, A. Caneschi, R. Sessoli and D. Gatteschi, J. Am. Chem. Soc., 2009, 131, 5573 CrossRef CAS PubMed;
(d) K. Bernot, F. Pointillart, P. Rosa, M. Etienne, R. Sessoli and D. Gatteschia, Chem. Commun., 2010, 46, 6458 RSC;
(e) H. S. Ke, G. F. Xu, Y. N. Guo, P. Gamez, C. M. Beavers, S. J. Teat and J. K. Tang, Chem. Commun., 2010, 46, 6057 RSC;
(f) S. D. Jiang, B. W. Wang, G. Su, Z. M. Wang and S. Gao, Angew. Chem., Int. Ed., 2010, 49, 7448 CrossRef CAS PubMed.
-
(a) P. H. Lin, T. J. Burchell, R. Clérac and M. Murugesu, Angew. Chem., Int. Ed., 2008, 47, 8848 CrossRef CAS PubMed;
(b) R. N. Liu, L. C. Li, X. L. Wang, P. P. Yang, C. Wang, D. Z. Liao and J. P. Sutter, Chem. Commun., 2010, 46, 2566 RSC.
- M. Estrader, J. Ribas, V. Tangoulis, X. Solans, M. Font-Bardia, M. Maestro and C. Diaz, Inorg. Chem., 2006, 45, 8239 CrossRef CAS PubMed.
-
(a) J. X. Xu, Y. Ma, D. Z. Liao, G. F. Xu, J. K. Tang, C. Wang, N. Zhou, S. P. Yan, P. Cheng and L. C. Li, Inorg. Chem., 2009, 48, 8890 CrossRef CAS PubMed;
(b) N. Zhou, Y. Ma, C. Wang, G. F. Xu, J. K. Tang, J. X. Xu, S. P. Yan, P. Cheng, L. C. Li and D. Z. Liao, Dalton Trans., 2009, 8489 RSC;
(c) X. L. Wang, L. C. Li and D. Z. Liao, Inorg. Chem., 2010, 49, 4735 CrossRef CAS PubMed;
(d) T. Han, W. Shi, X. P. Zhang, L. L. Li and P. Cheng, Inorg. Chem., 2012, 51, 13009 CrossRef CAS PubMed;
(e) X. L. Mei, Y. Ma, L. C. Li and D. Z. Liao, Dalton Trans., 2012, 41, 505 RSC;
(f) X. L. Mei, R. N. Liu, C. Wang, P. P. Yang, L. C. Li and D. Z. Liao, Dalton Trans., 2012, 41, 2904 RSC;
(g) P. Hu, X. F. Wang, Y. Ma, Q. L. Wang, L. C. Li and D. Z. Liao, Dalton Trans., 2014, 43, 2234 RSC;
(h) L. L. Li, S. Liu, Y. Zhang, W. Shi and P. Cheng, Dalton Trans., 2015, 44, 6118 RSC.
-
(a) A. Caneschi, D. Gatteschi, N. Lalioti, C. Sangregorio, R. Sessoli, G. Venturi, A. Vindigni, A. Rettori, M. G. Pini and M. A. Novak, Angew. Chem., Int. Ed., 2001, 40, 1760 CrossRef CAS;
(b) L. Bogani, C. Sangregorio, R. Sessoli and D. Gatteschi, Angew. Chem., Int. Ed., 2005, 44, 5817 CrossRef CAS PubMed;
(c) K. Bernot, L. Bogani, A. Caneschi, D. Gatteschi and R. Sessoli, J. Am. Chem. Soc., 2006, 128, 7947 CrossRef CAS PubMed;
(d) T. Han, W. Shi, Z. Niu, B. Na and P. Cheng, Chem.–Eur. J., 2013, 19, 994 CrossRef CAS PubMed;
(e) X. L. Wang, X. Bao, P. P. Xu and L. Li, Eur. J. Inorg. Chem., 2011, 3586 CrossRef CAS PubMed;
(f) L. L. Li, S. Liu, H. Li, W. Shi and P. Cheng, Chem. Commun., 2015, 51, 10933 RSC.
-
(a) G. Francese, F. M. Romero, A. Neels, H. Stoeckli-Evans and S. Decurtins, Inorg. Chem., 2000, 39, 2087 CrossRef CAS;
(b) H. Oshio, M. Yamamoto, T. Ito, H. Kawauchi, N. Koga, T. Ikoma and S. Tero-Kubota, Inorg. Chem., 2001, 40, 5518 CrossRef CAS PubMed;
(c) L. Tian, Y. Q. Sun, B. Na and P. Cheng, Eur. J. Inorg. Chem., 2013, 4329 CrossRef CAS;
(d) S. Y. Zhou, X. Li, T. Li, L. Tian, Z. Y. Liu and X. G. Wang, RSC Adv., 2015, 5, 17131 RSC.
-
(a) Y. Z. Zheng, Y. Lan, C. E. Anson and A. K. Powell, Inorg. Chem., 2008, 47, 10813 CrossRef CAS PubMed;
(b) S. Kanegawa, M. Maeyama, M. Nakano and N. Koga, J. Am. Chem. Soc., 2008, 130, 3079 CrossRef CAS PubMed;
(c) X. L. Wang, L. C. Li and D. Z. Liao, Inorg. Chem., 2010, 49, 4735 CrossRef CAS PubMed.
-
(a) N. M. Shavaleev, F. Gumy, R. Scopelliti and J. C. G. Bünzli, Inorg. Chem., 2009, 48, 5611 CrossRef CAS PubMed;
(b) B. Drahoš, J. Kotek, P. Hermann, I. Lukeš and É. Tóth, Inorg. Chem., 2010, 49, 3224 CrossRef PubMed.
-
(a) E. F. Ullmann, L. Call and J. H. Osiecki, J. Org. Chem., 1970, 35, 3623 CrossRef;
(b) M. S. Davis, K. Morokum and R. N. Kreilick, J. Am. Chem. Soc., 1972, 94, 5588 CrossRef CAS.
-
(a) G. M. Sheldrick, SHELXS-97, Program for solution of crystal structures, University of Göttingen, Germany, 1997 Search PubMed;
(b) G. M. Sheldrick, SHELXL-97, Program for refinement of crystal structures, University of Göttingen, Germany, 1997 Search PubMed;
(c) G. M. Sheldrick, SADABS, Program for area detector adsorption correction, Institute for inorganic chemistry, University of Göttingen, Germany, 1996 Search PubMed.
-
(a) H. Zabrodsky, S. Peleg and D. Avnir, J. Am. Chem. Soc., 1992, 114, 7843 CrossRef CAS;
(b) M. Pinsky and D. Avnir, Inorg. Chem., 1998, 37, 5575 CrossRef CAS.
- Y. L. Wang, B. Gu, Y. Ma, C. Xing, Q. L. Wang, L. C. Li, P. Cheng and D. Z. Liao, CrystEngComm, 2014, 16, 2283 RSC.
- M. F. Richardson, W. F. Wagner and D. E. Sands, J. Inorg. Nucl. Chem., 1968, 30, 1275 CrossRef CAS.
-
(a) C. Benelli, A. Caneschi, D. Gatteschi, J. Laugier and P. Rey, Angew. Chem., Int. Ed., 1987, 26, 913 CrossRef PubMed;
(b) S. Akine, T. Matsumoto, T. Taniguchi and T. Nabeshima, Inorg. Chem., 2005, 44, 3270 CrossRef CAS PubMed;
(c) Q. H. Zhao, Y. P. Ma, L. Du and R. B. Fang, Transition Met. Chem., 2006, 31, 593 CrossRef CAS.
-
(a) G. Francese, F. M. Romero, A. Neels, H. Stoeckli-Evans and S. Decurtins, Inorg. Chem., 2000, 39, 2087 CrossRef CAS;
(b) I. A. Gass, C. J. Gartshore, D. W. Lupton, B. Moubaraki, A. Nafady, A. M. Bond, J. F. Boas, J. D. Cashion, C. Milsmann, K. Wieghardt and K. S. Murray, Inorg. Chem., 2011, 50, 3052 CrossRef CAS PubMed;
(c) I. A. Gass, S. Tewary, A. Nafady, N. F. Chilton, C. J. Gartshore, M. Asadi, D. W. Lupton, B. Moubaraki, A. M. Bond, J. F. Boas, S. X. Guo, G. Rajaraman and K. S. Murray, Inorg. Chem., 2013, 52, 7557 CrossRef CAS PubMed.
-
(a) Y. Pei, A. Lang, P. Bergerat, O. Kahn, M. Fettouhi and L. Ouahab, Inorg. Chem., 1996, 35, 193 CrossRef CAS PubMed;
(b) K. Fegy, A. Lang, P. Bergerat, O. Kahn, M. Fettouhi and L. Ouahab, Inorg. Chem., 1998, 37, 4518 CrossRef CAS PubMed.
- J. P. Sutter, M. L. Kahn, S. Golhen, L. Ouahab and O. Kahn, Chem.–Eur. J., 1998, 4, 571 CrossRef CAS.
-
(a) C. Lescop, D. Luneau, P. Rey, G. Bussiere and C. Reber, Inorg. Chem., 2002, 41, 5566 CrossRef CAS PubMed;
(b) C. Lescop, D. Luneau, E. Beloeizky, P. Fries, M. Guillot and P. Rey, Inorg. Chem., 1999, 38, 5472 CrossRef CAS.
-
(a) K. Bernot, L. Bogani, R. Sessoli and D. Gatteschi, Inorg. Chim. Acta, 2007, 360, 3807 CrossRef CAS PubMed;
(b) Y. Ma, G. F. Xu, X. Yang, L. C. Li, J. K. Tang, S. P. Yan, P. Cheng and D. Z. Liao, Chem. Commun., 2010, 46, 8264 RSC;
(c) S. Osa, T. Kido, N. Matsumoto, N. Re, A. Pochaba and J. Mrozinski, J. Am. Chem. Soc., 2004, 126, 420 CrossRef CAS PubMed;
(d) Y. M. Bing, N. Xu, W. Shi, K. Liu and P. Cheng, Chem.–Asian J., 2013, 8, 1412 CrossRef CAS PubMed.
-
(a) C. Benelli, A. Caneschi, D. Gatteschi and L. Pardi, Inorg. Chem., 1992, 31, 741 CrossRef CAS;
(b) M. L. Kahn, J. P. Sutter, S. Golhen, P. Guionneau, L. Ouahab, O. Kahn and D. Chasseau, J. Am. Chem. Soc., 2000, 122, 3413 CrossRef CAS;
(c) J. X. Xu, Y. Ma, G. F. Xu, C. Wang, D. Z. Liao, Z. H. Jiang, S. P. Yan and L. C. Li, Inorg. Chem. Commun., 2008, 11, 1356 CrossRef CAS PubMed;
(d) H. X. Tian, R. N. Liu, X. L. Wang, P. P. Yang, Z. X. Li, L. C. Li and D. Z. Liao, Eur. J. Inorg. Chem., 2009, 4498 CrossRef CAS PubMed;
(e) Y. L. Miao, J. L. Liu, J. Y. Li, J. D. Leng, Y. C. Ou and M. L. Tong, Dalton Trans., 2011, 40, 10229 RSC;
(f) R. N. Liu, C. M. Zhang, L. C. Li, D. Z. Liao and J. P. Sutter, Dalton Trans., 2012, 41, 12139 RSC.
|
| This journal is © The Royal Society of Chemistry 2015 |
Click here to see how this site uses Cookies. View our privacy policy here.