Effect of zeolite pore structure on the diffusion and catalytic behaviors in the transalkylation of toluene with 1,2,4-trimethylbenzene

Yanchun Liab, Hao Wang*a, Mei Donga, Junfen Lia, Zhangfeng Qina, Jianguo Wanga and Weibin Fan*a
aState Key Laboratory of Coal Conversion, Institute of Coal Chemistry, Chinese Academy of Sciences, 27 South Taoyuan Road, Taiyuan 030001, PR China. E-mail: fanwb@sxicc.ac.cn; wanghao@sxicc.ac.cn; Fax: +86 351 4041153; Tel: +86 351 4199009
bUniversity of Chinese Academy of Sciences, Beijing 100049, PR China

Received 18th May 2015 , Accepted 29th July 2015

First published on 29th July 2015


Abstract

Effects of pore structures of ZSM-5, MOR, Beta and USY on their catalytic properties in the transalkylation of toluene with 1,2,4-trimethylbenzene (1,2,4-TMB) were investigated by studying the catalytic mechanism and the diffusion behavior of reactants and products. The medium-pore ZSM-5 shows low catalytic activity as a result of slow decomposition of diphenylmethane (DPM) intermediates and occurrence of severe cracking of 1,2,4-TMB via the monomolecular reaction pathway. In contrast, the large-pore MOR, Beta and USY zeolites allow rapid formation and transformation of bulky DPM species, consequently exhibiting higher catalytic activity. The diffusion experiments show that 1,2,4-TMB and 1,2,4,5-tetramethylbezene (1,2,4,5-TeMB) more easily diffuse into/out of the pores of MOR zeolite than of Beta and USY. Thus, the disproportionation of 1,2,4-TMB and coking were inhibited in MOR, which makes it exhibit higher catalytic stability and xylene selectivity. A detailed analysis of the deposited coke species with GC-MS indicates that the transalkylation of toluene with 1,2,4-TMB occurs via the bimolecular intermediate mechanism.


1. Introduction

Aromatics are the basic raw material of petrochemical and chemical industries. Xylene as the most important member of aromatics is strongly and still increasingly demanded due to its wide applications.1–3 The continuously growing demand for xylene as a raw material drives the research for the increase in the production of xylene. Currently, that majority of xylene is produced by catalytic reforming and steam cracking of naphtha and extraction from coal tar. Thus, large amounts of toluene and TMB are concurrently produced, which makes transalkylation of toluene with TMB an effective way to obtain xylene.4–8

Therefore, this reaction has attracted considerable research interest.9,10 In theory, two moles of xylene can be obtained by transalkylation of one mole of toluene with one mole of TMB. Thus, this method has high atomic economy and can significantly increase the xylene yield. Nonetheless, the reaction of toluene with TMB is somewhat complicated and involves in many elementary reactions.11–13 Besides the primary transalkylation reaction of toluene with TMB, the isomerization, disproportionation and dealkylation also take place in the meantime. This requires development of a highly active and selective catalyst. It cannot only enhance the xylene yield but also improve the catalytic stability by decreasing the yield of heavy aromatics that are the coke precursors.14 Zeolites have been proved to be potential for transalkylation of toluene with TMB because of their unique pore structure and acidic property.1,15,16 The H-form zeolite possesses numerous acid sites, which are the active sites for transformation of alkylaromatics. According to the previous studies,17–19 transalkylation and disproportionation are inclined to occur on strong acid sites, while isomerization more possibly reacts on the weak acid sites. In addition, the catalytic activity of zeolite for transalkylation is also markedly influenced by its pore structure.

Generally, 12-membered ring (12-MR) zeolites such as MOR, Beta and USY show higher catalytic activity than medium-pore zeolites in the transalkylation reaction involving large aromatic hydrocarbon molecules. Wang et al.20 investigated the catalytic properties of zeolite Beta in toluene disproportionation, TMB disproportionation and toluene–TMB transalkylation, and found that zeolite Beta exhibited excellent stability and transalkylation selectivity. This is confirmed by Krejčí and coworkers.21 Al-Khattaf et al.22 reported that USY gave high xylene yield in the transalkylation of toluene with 1,2,4-TMB that was carried out in a riser simulator reactor. Lee et al.23 investigated the catalytic activity of zeolites with 12-MR in the transalkylation reaction and found that MOR zeolite showed high activity and stability, especially after dealumination. Čejka et al.24 attributed the high catalytic activity of large-pore zeolites to accommodation of more reactants inside their channel systems, which led to an increase in the probability of occurrence of bimolecular reaction. For the 10-MR ZSM-5 zeolite, C9 aromatics cannot effectively diffuse into the inner channel,25 resulting in a lower catalytic activity for transalkylation of toluene with TMB. These results show that the pore structure of zeolite strongly influences on its catalytic activity and stability for transalkylation. Although the effect of pore structure and acidity of zeolites on their catalytic properties for transalkylation of toluene with TMB has been extensively studied, building and particularly accounting for the correlations between the pore structure and the catalytic activity and stability have not been paid sufficient attention.

To clarify the effect of zeolite pore structure on the catalytic activity for transalkylation of toluene with TMB, the reaction mechanism has been intensively investigated recently, and several reaction routes have been proposed.5,16,26–29 A possible route involving methyl-substituted diphenylmethanes (DPM) intermediates includes five steps (A–E):17 formation of TMB carbonium ions (step A), reaction with toluene to form 3mDPM+ (step B), intramolecular proton migration (step C), split of 3mDPM+ to xylene and another xylene carbonium ions (step D), and abstraction of a hydride from another TMB by xylene carbonium ions to form xylene and another TMB carbonium ions (step E). The route is similar to that proposed by Xiong et al.30 on the basis of the result obtained over H-ZSM-5 in the disproportionation of isotope-labeled toluene. The computations on the m-xylene disproportionation show that the final hydride transfer (step E) had the highest energy barrier.31 In addition, no experimental evidence has been obtained for the transalkylation of toluene with TMB.

Therefore, the aim of this work is to experimentally illustrate the catalytic mechanisms of zeolites catalyst in the transalkylation of toluene with 1,2,4-TMB, and further reveal the effect of their pore structures on the catalytic activity and stability. Thus, evolution of the organic residues formed and entrapped in the void space of zeolites is traced by gas chromatography-mass spectrometry (GC-MS), and the diffusion coefficient of aromatic molecules in the zeolite channels is determined by infrared spectroscopy. These results will provide new insights into the transalkylation mechanism and the effect of zeolite pore structure on its catalytic activity and stability.

2. Experimental

2.1 Materials

Silica sol (40.5 wt% of SiO2) was purchased from Qingdao Haiyang Chem. Co., Ltd. Fumed silica (Cab-o-sil M5) was bought from Cabot Co. Sodium aluminate (41 wt% of Al2O3, 41 wt% of Na2O), sodium hydroxide (96 wt%), tetraethylammonium hydroxide (35 wt%), tetrapropylammonium hydroxide (25 wt%), toluene (99 wt%) and 1,2,4-TMB (99 wt%) were all obtained from Sinopharm Chemical Reagent Co., Ltd. All the reagents were used as received without further purification.

2.2 Synthesis of zeolite catalysts

ZSM-5, MOR, Beta and USY with different pore structures were synthesized by the hydrothermal method according to the reported methods.32–35 NH4-form zeolites were prepared by repeatedly ion-exchanging Na-form zeolites with ammonium nitrate aqueous solution (1 mol L−1). Then, they were calcined at 550 °C for 6 h in air to obtain H-form zeolites.

2.3 Characterization

Powder X-ray diffraction (XRD) patterns were recorded on a Rigaku Miniflex II X-ray diffractometer with Cu Kα radiation (λ = 0.154 nm, 30 kV, and 15 mA). The morphology of zeolite crystals was examined by scanning electron microscopy (SEM) on a JEOL JSM-7001F field emission-scanning electron microscope (FE-SEM). The bulk chemical compositions of zeolites were determined by inductively coupled plasma atomic emission spectroscopy (ICP-AES, iCAP6000). Nitrogen sorption isotherms were measured on a Tristar II 3020 volumetric adsorption analyzer at −196 °C. Prior to the measurements, the samples were degassed at 300 °C for 8 h under high vacuum. The specific surface area and micropore volume were calculated by the BET and t-plot methods respectively. The adsorption isotherms of toluene and 1,2,4-TMB on the zeolites were measured at 25 °C on a BELSORP-max instrument. Before the measurement, 0.2–0.3 g of calcined sample was degassed at 300 °C for 8 h. To determine the coke amount deposited in zeolites, thermal gravimetric analysis (TGA) was carried out on a Rigaku Thermo plus Evo TG 8120 instrument at a heating rate of 10 °C min−1 in air.

The type and concentration of acid sites and the diffusion coefficient of 1,2,4-TMB and 1,2,4,5-TeMB in zeolites were measured on a Bruker Tensor 27 Fourier transformed infrared (FT-IR) spectrometer. For both the measurements, self-supported zeolite wafers were gradually heated to 450 °C under vacuum and kept at this temperature for 2 h. When measuring pyridine adsorption FT-IR (Py-IR) spectra, pyridine vapor was introduced in the cell for 1 h after the sample was cooled to room temperature. The Py-IR spectra were collected after evacuation at 250 °C for 1 h. The concentrations of different acidic sites were calculated following the procedures reported by Datka and coworkers.36 To attain the diffusion coefficient, 1–5 Pa of adsorbate vapor was introduced in the cell at 25 °C until reaching the adsorption–desorption equilibrium. IR spectra were collected at time interval of 10 s and resolution of 4 cm−1 during the adsorption process. All the data were normalized to the same sample thickness, and the diffusion coefficient was calculated according to the reported method.37

2.4 Catalytic tests

The catalytic properties of the prepared zeolites for the transalkylation of toluene with 1,2,4-TMB were investigated in a fixed-bed reactor. In a typical run, 1 g zeolite was loaded and pretreated at the desired reaction temperature for 10 h in a nitrogen flow (80 mL min−1). The hydrogen was used as carrier gas and equal moles of toluene and 1,2,4-TMB (H2/hydrocarbons molar ratio of 4) were pumped into the reactor with a liquid weight hourly space velocity (WHSV) of 4 h−1. The reaction was carried out at 450 °C and 3 MPa. The gas and liquid products were separated with a cold trap. The gas product was on-line analyzed by an Angilent 7890A gas chromatograph equipped with three columns of DB-1, OxyPlot and Al2O3/KCl plot and two flame ionization detectors (FIDs) and one thermal conductivity detector (TCD). The liquid products were analyzed by a Shimadzu GC-2014C gas chromatograph equipped with a FID and a DB-WAX capillary column.

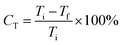
Taking into account the material balance of the components, the reactant conversion and product selectivity were calculated as follows:17

CT is the toluene conversion (wt%):

image file: c5ra09236a-t1.tif

C1,2,4-TMB is the conversion of 1,2,4-TMB (wt%):

image file: c5ra09236a-t2.tif

•The product selectivity was calculated according to the following equation:

image file: c5ra09236a-t3.tif
where T and 1,2,4-TMB are the concentrations of toluene and 1,2,4-TMB respectively; i and f represent the initial and final concentrations; yi stands for the weight fraction of component i in the product mixture.

To investigate the transalkylation mechanism of toluene with 1,2,4-TMB, formation of DPM-based intermediates and their decomposition inside the zeolite pores during the reaction process were detected by a Shimadzu QP 2010 Ultra gas chromatograph-mass spectrometer (Ultra plus GC-MS) equipped with a Rtx-5MS capillary column. The DPM-based intermediates were not detected at 300 and 450 °C (not shown here), indicating that they rapidly transformed into other products at high temperature. Thus, the reaction temperature was lowered down to 150 °C for capture of these intermediate species. Considering the results obtained in the flushing experiment, those obtained at 150 °C should be believable. The similar method was also used by other researchers.38 After reaction for 10 h, the catalyst was quenched and cooled to room temperature. Then, the chemicals in the catalyst were extracted by a method originally developed by Guisnet and co-workers.39 The used catalyst was divided into six parts (I–VI). The part I was dissolved in 10 mL of 10% HF solution and the liberated organic species were extracted with CH2Cl2 (Aldrich, 99.9%), and analyzed with GC-MS. To clarify the role of DPM species as the reaction intermediates, flushing experiments were carried out. The parts II–VI were separately heated at 150 °C in an argon flow for 3–60 min. Each heated part was treated according to the same procedures as those employed for part I and analyzed with the GC-MS system.

3. Results and discussion

3.1 Characterization results

Fig. 1 shows the XRD patterns of different zeolite catalysts. All the samples are single phase with high crystallinity. This is further confirmed by their SEM images (Fig. 2) that all the samples are composed of uniform crystals without any impurities and amorphous materials. It is clear that the crystal morphologies of these samples are totally different. ZSM-5 particles exhibit an irregular spherical shape and their average size is larger than 2 μm. The MOR crystals show accumulated plates morphology analogous to ellipsoid, and the average thickness is about 0.45 μm. For Beta crystals, the ball-like shape was observed and the size is in the range of 0.3–0.5 μm. The USY aggregates are composed of cubic crystals with an average size of about 0.34 μm.
image file: c5ra09236a-f1.tif
Fig. 1 XRD patterns of ZSM-5 (a), MOR (b), Beta (c), and USY (d).

image file: c5ra09236a-f2.tif
Fig. 2 SEM images of ZSM-5 (a), MOR (b), Beta (c), and USY (d).

The channel systems and physicochemical properties of the prepared zeolites are listed in Table 1. ZSM-5 is considered as medium-pore zeolite, whereas MOR, Beta and USY are termed as large-pore zeolites. Table 1 shows that all the samples have high surface area and large pore volume although the values are related to their pore structures. USY exhibits the highest surface area and largest pore volume. The pore volumes of the four types of zeolites decrease in the order of USY > Beta > ZSM-5 > MOR. Fig. 3 shows the Py-IR spectra of different zeolite catalysts, and the Brønsted and Lewis acid site amounts are displayed in Table 1. Two absorbance bands are observed at 1545 and 1455 cm−1 for all the samples (Fig. 3), which are characteristic for pyridine molecules adsorbed on Brønsted and Lewis acid sites respectively. Table 1 shows that the amounts of Brønsted and Lewis acid sites in the zeolites are greatly related to their structures. USY exhibits a lower Brønsted acid site density than the other three types of zeolites, which have a similar concentration. It has been confirmed that the catalytic activity and selectivity of zeolites in the transalkylation highly depend on the density and strength of Brønsted acid sites.40 However, when the Brønsted acid site concentrations of different zeolites are similar, the pore structures of zeolites would significantly influence their catalytic properties.

Table 1 The channel systems and physicochemical properties of different zeolites
Sample Channel system41 Physicochemical properties
Da Windows Channel diameter (Å) Channel intersection dimension (Å) Si/Al SBET (m2 g−1) V (cm3 g−1) Brønsted acids (mmol g−1) Lewis acids (mmol g−1)
a Dimensionality of zeolite porous structure.b 8-MR channel of MOR is too small to be accessible for reactants.
ZSM-5 3 10-MR 5.3 × 5.6; 5.1 × 5.5 8.6 23.4 344 0.230 0.224 0.026
MOR 1b 12-MR 6.5 × 7.0 9.1 409 0.213 0.196 0.011
Beta 3 12-MR 6.4 × 7.6; 5.5 × 5.5 13.9 8.9 445 0.343 0.206 0.161
USY 3 12-MR 7.4 × 7.4 12 × 12 × 12 6.4 534 0.412 0.134 0.025



image file: c5ra09236a-f3.tif
Fig. 3 Py-IR spectra of H-ZSM-5 (a), H-MOR (b), H-Beta (c), and H-USY (d).

The adsorption of reactants on catalysts is the initial step necessary for the transalkylation reaction. Thus, the adsorption behaviors of toluene and 1,2,4-TMB on different zeolites are studied. Fig. 4 shows the adsorption isotherms of 1,2,4-TMB and toluene on the four types of zeolites. As expected, medium-pore ZSM-5 exhibited a much lower adsorption capacity for 1,2,4-TMB than the large-pore zeolites (Fig. 4A). The adsorption amount of 1,2,4-TMB on the large-pore zeolites decreased in the order: USY > Beta > MOR. Despite of the structure, all the zeolites showed higher adsorption amount of toluene than of 1,2,4-TMB (Fig. 4B), and the adsorption amount of toluene on the four types of zeolites decreased in the order: USY > Beta > ZSM-5 > MOR, being consistent with the pore volumes of these zeolites.


image file: c5ra09236a-f4.tif
Fig. 4 The adsorption isotherms of (A) 1,2,4-TMB and (B) toluene on different zeolites.

The pore size and volume are two key factors that affect the adsorption capacity of reactants on the zeolites. The low adsorption amount of 1,2,4-TMB on the medium-pore ZSM-5 can be attributed to its small pore size, which exerts steric constraint for diffusion of TMB into the inner channel. However, for the larger-pore MOR, Beta and USY zeolites, 1,2,4-TMB molecule much more easily diffuse into the inner channel, and consequently, a high adsorption amount was observed. USY zeolite has a bulky cavity inside the pore structure which can accommodate more molecules. Compared with 1,2,4-TMB, toluene has a smaller kinetic molecular diameter, and can more easily diffuse into the inner channel of both the medium- and the large-pore zeolites. Hence, the adsorption capacity of toluene in different zeolites is larger than that of 1,2,4-TMB, and the adsorption amount highly depends on the zeolite pore volume. Therefore, the adsorption amount of toluene on different zeolites decreases in the order of USY > Beta > ZSM-5 > MOR.

3.2 Catalytic properties of zeolites with different pore structures for transalkylation of toluene with 1,2,4-TMB

The acidity and pore structure of zeolite are the two key factors influencing its catalytic properties for transalkylation. The results obtained over the MOR or Beta zeolites having different Si/Al ratios indicate that the transalkylation catalytic activity of zeolites highly depends on their Brønsted acid site density, being consistent with the previously reported results.40 Thus, the effect of zeolite pore structure on the catalytic performance was studied here with the samples having similar amounts of Brønsted acid sites. It was found that the catalytic activity of the investigated zeolite catalysts in the transalkylation was closely related to the pore structure of zeolites, including pore size and geometry.

Fig. 5 shows the dependence of toluene and 1,2,4-TMB conversions on the reaction time. The toluene conversions obtained over the four types of investigated zeolite catalyst were considerably different. MOR zeolite gave the highest conversion, followed by Beta zeolite, while USY showed the lowest conversion. For the 1,2,4-TMB, a similar initial conversion was obtained on the MOR, Beta and USY, being unexpectedly lower than that attained on the ZSM-5 (Fig. 5B) probably due to a more significant dealkylation on ZSM-5 as its smaller pores limit the occurrence of bimolecular reactions involving 1,2,4-TMB molecules and the 1,2,4-TMB more tightly occludes in the medium-pore ZSM-5 than in the large-pore zeolites. This is supported by the fact that ZSM-5 exhibited a higher selectivity to benzene and C1–C4 hydrocarbons but a much lower selectivity to C10 aromatics (Table 2). Regardless of the pore structures, all the samples exhibited higher conversion of 1,2,4-TMB than that of toluene. This may be because 1,2,4-TMB is more reactive than toluene owing to the presence of more methyl groups in the phenyl ring.20 It is worth noting that different types of zeolites show remarkably different catalytic stability (Fig. 5). No significant decrease in the activity was observed within 400 h for MOR, whereas ZSM-5, Beta and particularly USY quickly deactivated.


image file: c5ra09236a-f5.tif
Fig. 5 Dependence of toluene (A) and 1,2,4-TMB (B) conversions on the reaction time (reaction conditions: 1,2,4-TMB: toluene = 1; P = 3 MPa; T = 450 °C; WHSV = 4 h−1; H2/hydrocarbons = 4).
Table 2 Product distributions obtained over different types of zeolitesa
Catalysts Product distribution (wt%)
Xylene Benzene C1–C4 hydrocarbons C9 aromatics C10 aromatics
a Reaction conditions: 1,2,4-TMB: toluene = 1; P = 3 MPa; T = 450 °C; WHSV = 4 h−1; H2/hydrocarbons = 4.
ZSM-5 52.70 15.65 14.75 11.61 1.74
MOR 67.12 5.28 2.10 16.28 7.75
Beta 65.75 5.48 2.14 16.12 8.52
USY 62.34 2.35 0.74 20.91 12.11


The transalkylation of toluene with 1,2,4-TMB is a complex reaction. Xylene can be generated from not only transalkylation but also disproportionation and dealkylation. The contribution of each reaction to the selectivity of xylene was estimated by the previously reported method,17 and the result indicates that the selectivity of xylene that came from transalkylation reaction over the MOR, Beta and USY reached more than 50% in contrast to about 20% obtained on the ZSM-5. This shows that large-pore zeolites are more suitable for transalkylation of toluene with 1,2,4-TMB than medium-pore zeolites. The large-pore zeolites facilitate the diffusion of bulky 1,2,4-TMB molecules and the formation and subsequent transformation of bimolecular reaction intermediate species. Thus, transalkylation contributes more to generation of xylene.

Theoretically, bulky 1,2,4-TMB molecule is not easy to diffuse into the channels of ZSM-5 because of the small pore opening. Thus, the adsorption amount of 1,2,4-TMB on the ZSM-5 was very low at 5 Pa and 25 °C, as determined by FT-IR spectroscopy (not shown here). However, it is unexpected that an increase in the pressure of 1,2,4-TMB vapor to 270 Pa sharply increased the adsorption amount of 1,2,4-TMB on ZSM-5. This indicates that increase of the 1,2,4-TMB pressure facilitates its diffusion into the inner channel of ZSM-5. The critical diameter of zeolite pore could be enlarged at high temperature.42 Therefore, the 1,2,4-TMB molecule should more easily diffuse into the channels of ZSM-5 with increasing temperature. Thus, it is no doubt that 1,2,4-TMB molecule can diffuse into the channels of ZSM-5 under reaction conditions (450 °C and 3 MPa). This makes it possible to account for the high conversion of 1,2,4-TMB in ZSM-5. According to the bimolecular intermediate mechanism, a large bimolecular reaction intermediate (biphenyl methane carbonium ion intermediate) will form during the process of transalkylation of toluene with 1,2,4-TMB, and subsequently, this intermediate species decomposes into the xylene. However, a severe steric effect was exerted on the formation and decomposition of such a bulky intermediate species in ZSM-5 channels. As a result, dealkylation of 1,2,4-TMB severely occurs in ZSM-5 via the monomolecular mechanism, leading to production of high contents of benzene and C1–C4 hydrocarbons (Table 2). This is supported by the low selectivity of C10 aromatics which are mainly formed through the bimolecular disproportionation of 1,2,4-TMB. The above results show that zeolite pore structure has a great effect on the transalkylation of toluene with 1,2,4-TMB. The large-pore zeolite catalysts such as MOR, Beta and USY are more suitable for this reaction because of allowing the occurrence of bimolecular intermediate mechanism.

3.3 Diffusion behavior of large aromatic molecules in the large-pore zeolite channels

It was reported that the diffusion constant decreased with increasing adsorbate molecular size.43 Toluene can easily diffuse into the channels of all the large-pore zeolites because of its smaller molecular kinetic diameter. Hence, the transalkylation rate should be mainly influenced by the diffusion behavior of bulky 1,2,4-TMB since its molecular size is much larger than that of toluene. In addition, it was found that significant amounts of TeMB were observed in the products (Table 2), which is the precursor of deposited coke species.14,44,45 Consequently, the catalytic stability of zeolite catalysts in the transalkylation would be affected by the desorption and diffusion of TeMB in the channels because the accumulation of more TeMB in the channels would decrease the catalytic stability. Thus, the diffusion behaviors of 1,2,4-TMB and TeMB in the channels of MOR, Beta and USY were investigated here by the time-resolved in situ FT-IR spectroscopy, and their diffusion coefficient were estimated from the adsorption uptakes at different time.37

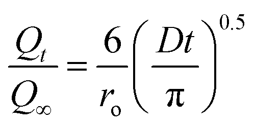
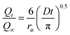
The measurement for adsorption of TMB and TeMB on the large-pore zeolites at 25 °C can avoid the reactions occurring at the real reaction temperature of 450 °C, which makes it very difficult to determine the diffusion coefficient. The same measurement condition was also adopted by Čejka et al.46 Fig. 6 shows the IR spectra collected at 25 °C and 5 Pa for adsorption of 1,2,4-TMB on MOR. Two absorbance bands appeared at 1504 and 1453 cm−1 after introduction of 1,2,4-TMB due to the interaction of the 1,2,4-TMB with zeolite, and the intensity increased with the adsorption time until the equilibrium was reached. Generally, the adsorption uptake (Q) of adsorbate on adsorbent can be represented by its absorbance band intensity of IR spectroscopy. The absorbance band at 1504 cm−1 was used to estimated the adsorbed 1,2,4,-TMB uptake and the diffusion coefficient was estimated from the time-dependent adsorption uptake by the following equation.37

image file: c5ra09236a-t4.tif
where Qt and Q represent the adsorption uptake of 1,2,4-TMB at time t and after reaching equilibration respectively. The ro denotes the average zeolite particle size, being 0.45, 0.48 and 0.34 μm for MOR, Beta and USY, respectively, as estimated from their SEM images. The curve was made by plotting the Qt/Q versus the square root of the adsorption time, and the slope of the linear part of the curve (Qt/Q = 0.3–0.6) was used for estimation of the diffusion coefficient (D). The adsorption of 1,2,4,5-TeMB and the calculation of its diffusion coefficient were carried out by the same method as that employed for the measurement of 1,2,4-TMB with the exception that the intensity of absorbance band at 1385 cm−1 was used to estimated the adsorbed 1,2,4,5-TeMB uptake. Fig. 7 shows the dependence of normalized intensity of the absorbance bands at 1504 and 1385 cm−1 in the IR spectra of MOR-, Beta- and USY-adsorbed 1,2,4-TMB and 1,2,4,5-TeMB on the square root of the adsorption time, and the calculated diffusion coefficient are listed in Table 3.


image file: c5ra09236a-f6.tif
Fig. 6 Time-resolved IR spectra for adsorption of 1,2,4-TMB on MOR at 25 °C (time resolution of 10 s).

image file: c5ra09236a-f7.tif
Fig. 7 Dependence of normalized intensity of the absorbance bands at 1504 and 1385 cm−1 in the IR spectra of 1,2,4-TMB (A) and 1,2,4,5-TeMB (B) adsorbed on MOR (image file: c5ra09236a-u1.tif), Beta (image file: c5ra09236a-u2.tif) and USY (image file: c5ra09236a-u3.tif) at 25 °C on the square root of the adsorption time.
Table 3 Diffusion coefficients of 1,2,4-TMB and 1,2,4,5-TeMB and the coking rates in different zeolites
Sample Adsorbate Diffusion coefficient 10−13 (cm2 s−1) Coke/d%
MOR 1,2,4-TMB 7.10 0.30
1,2,4,5-TeMB 5.22
Beta 1,2,4-TMB 2.22 4.33
1,2,4,5-TeMB 0.99
USY 1,2,4-TMB 0.91 5.28
1,2,4,5-TeMB 0.80


Table 3 shows that the diffusion coefficients of 1,2,4-TMB and 1,2,4,5-TeMB in different zeolite channels are significantly different. The diffusion coefficients of 1,2,4-TMB and 1,2,4,5-TeMB both decreased in the order of MOR > Beta > USY. Irrespective of the zeolite pore structure, the diffusion coefficient of 1,2,4-TMB in zeolite channels is higher than that of 1,2,4,5-TeMB owing to the smaller dynamic molecular diameter. The larger diffusion coefficient of 1,2,4-TMB in the MOR than in the Beta and USY indicates that the diffusion of 1,2,4-TMB is faster in the MOR channels, leading to a shorter stay and a lower steady-state concentration of 1,2,4-TMB in the pore. This promotes the transalkylation of 1,2,4-TMB with toluene and the decrease of the probability for disproportionation of 1,2,4-TMB. Therefore, MOR gave higher toluene conversion and xylene selectivity but lower TeMB selectivity (Table 2). The diffusion rate of 1,2,4-TMB in the channels of Beta and USY was slower than in the channels of MOR. Thus, more TMB molecules were occluded in the Beta and USY channels, increasing the possibility for disproportionation of 1,2,4-TMB, and hence, resulting in a lower toluene conversion and xylene selectivity. As mentioned above, the catalytic stability of zeolite catalysts during transalkylation can be accounted for by the diffusion coefficients of 1,2,4,5-TeMB in the zeolite channels. The much larger diffusion coefficient of 1,2,4,5-TeMB in MOR than in USY and Beta (Table 3) indicates that bulky aromatic molecules can rapidly diffuse out of the MOR channel, consequently, decreasing the coking rate and increasing the catalytic stability. The coke formation rate shown in Table 3 is calculated by dividing the deposited coke amount during the transalkylation process by the reaction time (day), which indicates that the coking rate in the MOR channels is only about 10% of those in the Beta and USY channels. Therefore, a much higher catalytic stability was observed for MOR than for Beta and USY (Fig. 5).

The large difference in the diffusion rate of 1,2,4-TMB and 1,2,4,5-TeMB in different zeolites is related to their pore structures. Three-dimensional (3D) Beta and USY zeolites have a large intersection in the channels (Table 1), which allows forming bulkier fused aromatic molecules, and further transforming into deposited carbonaceous materials. With respect to the one-dimensional MOR, not only bulky aromatic species rapidly diffuse out of the channels, but also there is no cavity large enough to accommodate fused aromatics. Thus, it shows high catalytic activity and stability.

3.4 Catalytic mechanism of transalkylation of toluene with 1,2,4-TMB

Up to date, although several reaction mechanisms have been proposed for transalkylation, the most possible one is the bimolecular intermediate mechanism, which involves formation of methyl-substituted diphenylmethanes (DPM) intermediate species where two aromatic rings are bridged by an alkyl group.17 Nonetheless, this intermediate species has not been detected yet during the transalkylation process. Therefore, gas chromatography-mass spectrometry (GC-MS) was used here to explore if the DPM species forms, and then, decomposes into products over different types of zeolites by following the method reported by Guisnet and co-workers.39

The reaction was carried out at 150 °C because the DPM-based intermediates cannot be observed under real reaction conditions (450 °C) due to their high reactivity.38 After 10 h, the reaction was stopped by liquid nitrogen and the catalyst was taken out at room temperature. Then, the catalyst was divided into six parts (10 mg for each part). The catalyst was first dissolved into aqueous HF solution, and liberated organic species were extracted with CH2Cl2 and analyzed with GC-MS. It is clear that the types and amounts of DPM species are highly dependent on the pore structures of zeolites (Fig. 8). No significant amounts of DPM species were observed in MOR zeolite, indicating that DPM species were not formed or quickly decomposed into xylene. USY and Beta contained mainly dimethyl DPM (2mDPM) and tetramethyl DPM (4mDPM), while large numbers of 2mDPM and trimethyl DPM (3mDPM) species were generated in ZSM-5 with small amounts of 4mDPM. It seems that more DPM isomers were formed in ZSM-5 than in USY and Beta. This may be because of the smaller pore structure of ZSM-5 restricting the secondary isomerization of DPM species to other thermodynamically more stable isomers and the decomposition to other smaller molecules inside the channels.


image file: c5ra09236a-f8.tif
Fig. 8 GC-MS total ion chromatogram of the organic species extracted from ZSM-5, MOR, Beta and USY with CH2Cl2 after the transalkylation was conducted at 150 °C for 10 h. The structures of these organic species were determined by comparing their mass spectra with those shown in the NIST database and reported in the ref. 47.

Fig. 8 shows that most of the organic species occluded in the MOR zeolite are xylene. Indeed, it was found that the DPM intermediates were detected when the Si/Al molar ratio of MOR zeolite increased from 9 to 32 (not shown here). This supports that the DPM intermediates quickly decomposed into xylene once they were formed in the MOR pores. Thus, it can be deduced that the transalkylation of toluene with 1,2,4-TMB occurs via the bimolecular intermediate mechanism. According to the previous reports,17 the 1,2,4-TMB molecules first adsorbed on the acid sites in the zeolite (Fig. 9) and formed carbonium ions (step A), which then reacted with toluene to generate 3mDPM+ (step B). This is followed by isomerization of 3mDPM+ through an intramolecular hydrogen transfer reaction (step C). Subsequently, the obtained 3mDPM+ isomer decomposed into xylene and xylene carbonium ion (step D). The xylene carbonium ion further abstracted a hydride from one 1,2,4-TMB molecule to form xylene and 1,2,4-TMB carbonium ion (step E). However, the computational results show that the final hydride abstraction (step E) has a very high energy barrier,48 making it difficult to occur. The formation of 4mDPM+ indicates that the reaction follows another way, as shown in the steps of F and G. The xylene carbonium ion reacted with another 1,2,4-TMB molecule to form 4mDPM+, which then decomposed into xylene and 1,2,4-TMB carbonium ions that initiated new catalytic cycles. This is supported by the catalytic mechanism proposed for the disproportionation of toluene38 and ethylbenzene.49


image file: c5ra09236a-f9.tif
Fig. 9 Mechanistic scheme for the transalkylation of toluene with trimethylbenzene.

To determine whether the DPM species are real reaction intermediates in the transalkylation process of toluene with 1,2,4-TMB, the carbonaceous residues in the large-pore Beta and medium-pore ZSM-5 zeolites after flushing with argon flow at 150 °C for 3–60 min (parts II–VI) were as examples detected and the results were presented in Fig. 10. Although all the DPM signals continuously decreased with increasing flushing time in the intensity, the decreasing degree for Beta is much more significant than that for ZSM-5. This suggests that the DPM species in ZSM-5 are more stable than those in Beta, probably due to that the narrower pore system of ZSM-5 restrained the DPM species, causing its slow decomposition. Before being flushed with argon, zeolite Beta produced a very small amount of xylene, as indicated by the remarkably weak xylene signal. Nonetheless, it sharply increased after flushing for 3 min (part II), and kept almost the same from 3 to 10 min despite that a further increase in the flushing time to 30 min led to a dramatic decrease. On the other hand, it was found that the signals of 2mDPM and 4mDPM continuously decreased in the intensity with the flushing time while that of 3mDPM species did not change when the sample was flushed for ≤10 min. It should be noted that all the DPM species in zeolite Beta quickly decomposed, and nearly disappeared after flushing for 6 min.


image file: c5ra09236a-f10.tif
Fig. 10 GC-MS chromatograms of the carbonaceous residues obtained by dissolving ZSM-5 and Beta with HF aqueous solution after catalyzing the transalkylation of toluene with 1,2,4-TMB at 150 °C and WHSV of 4 h−1 for 10 h and subsequently flushing with argon flow (40 mL min−1) for 0 (I), 3 (II), 6 (III), 10 (IV), 30 (V) and 60 (VI) min extracting with CH2Cl2.

The above results indicate that all the DPM intermediate species are unstable. As is shown in the Fig. 9, all the DPM species can decompose into xylene. Therefore, the xylene can be formed during the flushing process. The similar amount of xylene observed during the whole flushing process (≤60 min) in ZSM-5 (Fig. 10) might be because the formation rate of xylene is nearly equal to its diffusion rate out of the zeolite channels. However, for the zeolite Beta, almost of all the generated xylene in the transalkylation process diffused out, and thus, marginal amounts of xylene was retained in the channels (part I). After being flushed at 150 °C with argon flow, the DPM species speedily decomposed into xylene, resulting in the generation of more xylene than that diffusing out, as supported by consuming most of the 2mDPM and 4mDPM species. When the sample was flushed from 3 to 10 min, the amount of xylene was maintained almost the same. This may be due to the significant decrease in the amount of 2mDPM and 4mDPM species, leading to a formation rate of xylene similar to its diffusion rate. Then the amount of xylene dramatically decreases with the time due to the DPM species in the channel decomposed completely. However, it is unexpected that no heavy decrease in the 3mDPM amount was observed within 6 min probably because the 1,2,4-TMB carbonium ions originated from the 4mDPM decomposition could react with toluene to form new 3mDPM species, which nearly compensates the decrease caused by the decomposition of 3mDPM. Thus, it can be deduced that the transalkylation of toluene with 1,2,4-TMB occurs via the bimolecular intermediate mechanism, and both the 3mDPM and 4mDPM species are the reaction intermediates. This requires a large zeolite channel, which facilitates rapidly formation and decomposition of these two types of intermediate species. Therefore, the large-pore Beta, USY and MOR zeolites show high transalkylation activity. In contrast, the reaction in the medium pore of ZSM-5 more favorably occurs via the monomolecular reaction pathway that has a less requirement for the reaction space, resulting in the severe dealkylation, and thus, yielding smaller amounts of xylene.

4. Conclusions

The pore size and dimension of zeolites have significant effects on their catalytic activity, selectivity and stability for transalkylation of toluene with 1,2,4-TMB to xylene. This is because the reaction probably occurs via the bimolecular intermediate mechanism, and both 3mDPM and 4mDPM species are the reaction intermediates. The large-pore zeolites are superior to the medium-pore ZSM-5 due to the rapid formation and decomposition of these two types of intermediate species. Compared to USY and Beta, MOR shows higher catalytic activity, selectivity and stability as it allows the rapid diffusion of large-molecule aromatics such as TMB and TeMB out of its channels.

Acknowledgements

This work is financially supported by the National Basic Research Program of China (2011CB201403), the National Natural Science Foundation of China (21273263, 21273264), the Natural Science Foundation of Shanxi Province (2012011005-2), and the Research Project Supported by Shanxi Scholarship Council of China (2014-102).

References

  1. T.-C. Tsai, S.-B. Liu and I. Wang, Appl. Catal., A, 1999, 181, 355–398 CrossRef CAS.
  2. O. Xu, H. Su, J. Ji, X. Jin and J. Chu, Chin. J. Chem. Eng., 2007, 15, 326–332 CrossRef CAS.
  3. N. M. Tukur and S. Al-Khattaf, Energy Fuels, 2007, 21, 2499–2508 CrossRef CAS.
  4. N. Hamedi, D. Iranshahi, M. R. Rahimpour, S. Raeissi and H. Rajaei, J. Taiwan Inst. Chem. Eng., 2015, 48, 56–72 CrossRef CAS PubMed.
  5. S. A. Ali, K. E. Ogunronbi and S. S. Al-Khattaf, Chem. Eng. Res. Des., 2013, 91, 2601–2616 CrossRef CAS PubMed.
  6. S. A. Ali, A. M. Aitani, C. Ercan, Y. Wang and S. Al-Khattaf, Chem. Eng. Res. Des., 2011, 89, 2125–2135 CrossRef CAS PubMed.
  7. T.-C. Tsai, S.-B. Liu and I. Wang, Catal. Surv. Asia, 2009, 13, 94–103 CrossRef CAS.
  8. J. M. Serra, E. Guillon and A. Corma, Stud. Surf. Sci. Catal., 2005, 158, 1757–1762 CrossRef.
  9. S. S. Al-Khattaf, S. A. Ali, M. S. Osman and A. M. Aitani, J. Ind. Eng. Chem., 2015, 21, 1077–1088 CrossRef CAS PubMed.
  10. T.-C. Tsai, W.-H. Chen, S.-B. Liu, C.-H. Tsai and I. Wang, Catal. Today, 2002, 73, 39–47 CrossRef CAS.
  11. S. A. Ali, M. A. Ali, K. Al-Nawad, C. Ercan and Y. Wang, Appl. Catal., A, 2011, 393, 96–108 CrossRef CAS PubMed.
  12. J. M. Serra, E. Guillon and A. Corma, J. Catal., 2005, 232, 342–354 CrossRef CAS PubMed.
  13. V. Hulea, N. Bilba, M. Lupascu, E. Dumitriu, D. Nibou, S. Lebaili and H. Kessler, Microporous Mater., 1997, 8, 201–206 CrossRef CAS.
  14. M. Guisnet and P. Magnoux, Appl. Catal., A, 2001, 212, 83–96 CrossRef CAS.
  15. S. A. Ali, A. M. Aitani, J. Cejka and S. S. Al-Khattaf, Catal. Today, 2015, 243, 118–127 CrossRef CAS PubMed.
  16. J. Čejka and B. Wichterlová, Catal. Rev.: Sci. Eng., 2002, 44, 375–421 Search PubMed.
  17. E. Dumitriu, C. Guimon, V. Hulea, D. Lutic and I. Fechete, Appl. Catal., A, 2002, 237, 211–221 CrossRef CAS.
  18. I. Fechete, P. Caullet, E. Dumitriu, V. Hulea and H. Kessler, Appl. Catal., A, 2005, 280, 245–254 CrossRef CAS PubMed.
  19. P. Ratnasamy, S. Sivasankar and S. Vishnoi, J. Catal., 1981, 69, 428–433 CrossRef CAS.
  20. I. Wang, T. C. Tsai and S. T. Huang, Ind. Eng. Chem. Res., 1990, 29, 2005–2012 CrossRef CAS.
  21. A. Krejčí, S. Al-Khattaf, M. A. Ali, M. Bejblová and J. Čejka, Appl. Catal., A, 2010, 377, 99–106 CrossRef PubMed.
  22. S. Al-Khattaf, N. M. Tukur and A. Al-Amer, Ind. Eng. Chem. Res., 2007, 46, 4459–4467 CrossRef CAS.
  23. Y.-K. Lee, S.-H. Park and H.-K. Rhee, Catal. Today, 1998, 44, 223–233 CrossRef CAS.
  24. J. Čejka, A. Krejčí and J. Hanika, Stud. Surf. Sci. Catal., 1999, 125, 351–358 CrossRef.
  25. N. R. Meshram, S. B. Kulkarni and P. Ratnasamy, J. Chem. Technol. Biotechnol., Chem. Technol., 1984, 34, 119–126 CrossRef PubMed.
  26. T.-C. Tsai and I. Wang, J. Catal., 1992, 133, 136–145 CrossRef CAS.
  27. A. Corma, F. Llopis and J. B. Monton, J. Catal., 1993, 140, 384–394 CrossRef CAS.
  28. E. Dumitriu, V. Hulea, S. Kaliaguine and M. M. Huang, Appl. Catal., A, 1996, 135, 57–81 CrossRef CAS.
  29. S. Al-Khattaf, S. A. Ali, A. M. Aitani, N. Zilkova, D. Kubicka and J. Cejka, Catal. Rev.: Sci. Eng., 2014, 56, 333–402 CAS.
  30. Y. Xiong, P. G. Rodewald and C. D. Chang, J. Am. Chem. Soc., 1995, 117, 9427–9431 CrossRef CAS.
  31. L. A. Clark, M. Sierka and J. Sauer, J. Am. Chem. Soc., 2003, 125, 2136–2141 CrossRef CAS PubMed.
  32. S. Sang, F. Chang, Z. Liu, C. He, Y. He and L. Xu, Catal. Today, 2004, 93–95, 729–734 CrossRef CAS PubMed.
  33. G. J. Kim and W. S. Ahn, Zeolites, 1991, 11, 745–750 CrossRef CAS.
  34. M. A. Camblor, A. Mifsud and J. Pérez-Pariente, Zeolites, 1991, 11, 792–797 CrossRef CAS.
  35. D.-S. Liu, S.-L. Bao and Q.-H. Xu, Zeolites, 1997, 18, 162–170 CrossRef CAS.
  36. J. Datka, B. Gil and A. Kubacka, Zeolites, 1996, 17, 428–433 CrossRef CAS.
  37. G. Mirth, J. Cejka and J. A. Lercher, J. Catal., 1993, 139, 24–33 CrossRef CAS.
  38. S. Svelle, U. Olsbye, K.-P. Lillerud, S. Kolboe and M. Bjørgen, J. Am. Chem. Soc., 2006, 128, 5618–5619 CrossRef CAS PubMed.
  39. M. Guisnet and P. Magnoux, Appl. Catal., 1989, 54, 1–27 CrossRef CAS.
  40. A. Ungureanu, T. V. Hoang, D. Trong On, E. Dumitriu and S. Kaliaguine, Appl. Catal., A, 2005, 294, 92–105 CrossRef CAS PubMed.
  41. H.-K. Min, S. H. Cha and S. B. Hong, ACS Catal., 2012, 2, 971–981 CrossRef CAS.
  42. S. M. Csicsery, Zeolites, 1984, 4, 202–213 CrossRef CAS.
  43. D. M. Ruthven and B. K. Kaul, Ind. Eng. Chem. Res., 1993, 32, 2053–2057 CrossRef CAS.
  44. E. E. Wolf and F. Alfani, Catal. Rev.: Sci. Eng., 1982, 24, 329–371 CAS.
  45. S. H. Oh, S. I. Lee, K. H. Seong, Y. S. Kim, J. H. Lee, J. Woltermann, W. E. Cormier and Y. F. Chu, Stud. Surf. Sci. Catal., 2002, 142, 887–894 CrossRef.
  46. J. Čejka, J. Kotrla and A. Krejčí, Appl. Catal., A, 2004, 277, 191–199 CrossRef PubMed.
  47. S. Meyerson, H. Drews and E. K. Fields, J. Am. Chem. Soc., 1964, 86, 4964–4967 CrossRef CAS.
  48. Y. Byun, D. Jo, D. N. Shin and S. B. Hong, ACS Catal., 2014, 4, 1764–1776 CrossRef CAS.
  49. H.-K. Min, V. Chidambaram and S. B. Hong, J. Phys. Chem. C, 2010, 114, 1190–1193 CAS.

This journal is © The Royal Society of Chemistry 2015
Click here to see how this site uses Cookies. View our privacy policy here.