Synthesis of 2,3-disubstituted thiophenes from 2-aryl-3-nitro-cyclopropane-1,1-dicarboxylates and 1,4-dithiane-2,5-diol

Thangavel Selvi, Govindhraj Vanmathi and Kannupal Srinivasan*
School of Chemistry, Bharathidasan University, Tiruchirappalli 620 024, Tamil Nadu, India. E-mail: srinivasank@bdu.ac.in

Received 15th May 2015 , Accepted 26th May 2015

First published on 26th May 2015


Abstract

A two-step synthesis of 2,3-disubstituted thiophenes from trans-2-aryl-3-nitrocyclopropane-1,1-dicarboxylates and 1,4-dithiane-2,5-diol is described. The nitrocyclopropane dicarboxylates when treated with boron trifluoride etherate formed aroylmethylidene malonates in situ through ring-opening followed by rearrangement and a Nef reaction, and subsequent addition of 1,4-dithiane-2,5-diol and triethylamine to the same flask gave tetrahydrothiophenes via a tandem thia-Michael addition/aldol reaction in a sequential one-pot manner. The product tetrahydrothiophenes upon treatment with p-toluenesulphonic acid underwent dehydration followed by monodecarbethoxylation to afford 2,3-disubstituted thiophenes.


Donor–acceptor (D–A) cyclopropanes are versatile building blocks for accessing a variety of carbo- and heterocycles including natural products.1 The typical reactions of donor–acceptor cyclopropanes include ring-opening,2 rearrangement3 and annulations4 are generally mediated by Lewis acids. The reactions are operationally simple, of wide substrate scope and display high regio-and stereoselectivities. Of the various donor–acceptor cyclopropanes, the nitro-substituted ones have received surprisingly scant attention despite the fact that they could afford a range of important products.5,6

A great deal of attention has been paid to the synthesis of substituted thiophenes largely owing to their use as functional materials and pharmaceuticals.7 Neverthless, the regioselective synthesis of substituted thiophenes is always a challenging task. Especially, 2,3-disubstituted thiophenes are difficult to prepare by direct electrophilic or metalation procedures (which are handy to introduce substituents in 2,5-positions).8 The aromatisation of suitably substituted tetrahydrothiophenes could be one of the alternative and useful approach for the synthesis of such 2,3-disubstituted thiophenes.

We have recently reported that the action of boron trifluoride etherate (BF3·OEt2) or tin(IV) chloride on trans-2-aryl-3-nitro-cyclopropane-1,1-dicarboxylates 1 (a type of donor–acceptor cyclopropanes) generates aroylmethylidene malonates 2 via ring-opening followed by rearrangement and Nef reaction (Scheme 1, eqn (1)).9 These malonates can serve as potential building blocks like chalcones and furnish heterocycles such as imidazoles, quinoxalines, benzo[1,4]thiazines and 2,4,5-trisubstituted oxazoles upon treatment with suitable nucleophilic reaction partners.9 Yamazaki et al., have reported that diethyl benzoylmethylidene malonate and related compounds are excellent Michael acceptors and adds with various carbon, nitrogen and oxygen nucleophiles.10 However their Michael addition reaction with sulfur nucleophiles has been scarcely investigated. It is well known that 1,4-dithiane-2,5-diol (3), the dimer of mercaptoacetaldehyde releases the monomer (i.e., 3′) in situ upon treatment with tertiary amines, organocatalysts or Lewis acids (Scheme 1, eqn (2)).4j,8,11 The released mercaptoacetaldehyde is capable of undergoing tandem thia-Michael addition/aldol reaction with α,β-unsaturated carbonyl compounds and β-nitroalkenes to furnish tetrahydrothiophenes.8,11 We envisaged that when treated with BF3·OEt2, the nitrocyclopropane dicarboxylates 1 would form aroylmethylidene malonates 2 in situ and further reaction of 2 in the same flask with 1,4-dithiane-2,5-diol (3) in the presence of triethylamine (Et3N) [for neutralizing the Lewis acid as BF3·OEt2–Et3N complex and generating mercaptoacetaldehyde (3′) in situ] would afford tetrahydrothiophenes 4 via a tandem conjugate addition/intramolecular aldol reaction between 2 and 3′ (Scheme 1, eqn (3)). Such one-pot sequential reactions are more promising than the corresponding step-wise synthesis since they avoid the separation and purification of the intermediate products, resulting in reduced time and minimal chemical wastage.12 Southern and co-workers have synthesized 2-aryl-3-nitro-thiophenes via dehydration and oxidation of 2-aryl-3-nitro-4-hydroxy-tetrahydrothiophenes.8 Since a similar functional group pattern is present in tetrahydrothiophenes 4, we envisioned that these compounds could be aromatised to obtain 2,3-disubstituted thiophenes (Scheme 1, eqn (3)).


image file: c5ra09111j-s1.tif
Scheme 1 One-pot sequential synthesis of tetrahydrothiophenes and subsequent aromatisation to 2,3-disubstituted thiophenes.

To test our hypothesis, we required a variety of donor–acceptor nitrocyclopropane dicarboxylates which were prepared from Michael adducts of β-nitrostyrenes with diethyl malonate as reported by us earlier.9a We began the study by treating the nitrocyclopropane dicarboxylate 1a with BF3·OEt2 (1 equiv.) in dichloromethane (DCM) at room temperature. After complete conversion of 1a into aroylmethylidene malonate 2a (required about 24 h as judged by TLC), 2 equiv. of Et3N followed by 0.5 equiv. of 1,4-dithiane-2,5-diol (3) were added to the same reaction flask and the reaction was continued for another 4 h. After work-up and column chromatographic purification of the reaction mixture, the desired tetrahydrothiophene 4a was obtained as a mixture of diastereomers (dr 1[thin space (1/6-em)]:[thin space (1/6-em)]1.5, determined by 1H NMR) in 83% yield (Table 1, entry 1). The diastereomeric mixture was chromatographically homogeneous and thus could not be separated into individual components. Since both diastereomers are equally suitable for further transformation into a thiophene, the separation of diastereomers is not required. We also carried out a stepwise synthesis of 4a for comparison, which afforded the product in an overall yield of 79%. We next focused attention on exploring the scope of the sequential one-pot synthesis for other nitrocyclopropane dicarboxylates 1b–i. The presence of electron donating and halogen substituents on the aromatic ring of the nitrocyclopropanes was well tolerated and the corresponding tetrahydrothiophenes 4b–f are obtained in good yields (entries 2–6). However, the reaction failed when the electron withdrawing, nitro substituent was present on the aromatic ring (entry 7). This is likely due to the destabilization caused by the p-nitrophenyl group to the carbocation that would be generated during the ring-opening of the cyclopropane.9a We also tested the cyclopropane 1h having a naphthyl ring and the expected tetrahydrothiophene 4h was obtained in 81% yield (entry 8). No satisfactory results could be obtained for nitrocyclopropane 1i containing 2-thienyl ring at room temperature (entry 9). However, when the generation of thienoylmethylidene malonate was performed at −15 °C and then reaction with 3 was carried out at room temperature, the desired tetrahydrothiophene 4i was produced in 25% yield. All the products were obtained as chromatographically inseperable mixtures of diastereomers with dr values ranging from 1[thin space (1/6-em)]:[thin space (1/6-em)]1.1 to 1[thin space (1/6-em)]:[thin space (1/6-em)]2.2 (determined from their 1H NMR spectra). However, in case of 4d, the liquid diastereomeric mixture when kept at room temperature for 3–4 days formed crystals of one of the diastereomers. The impure crystals were collected and further recrystallized from CHCl3/MeOH (1[thin space (1/6-em)]:[thin space (1/6-em)]1 v/v) to obtain the diastereomer 4d in pure form.

Table 1 Synthesis of tetrahydrothiophenes from donor–acceptor nitrocyclopropanes

image file: c5ra09111j-u1.tif

Entry Ar Timea (h) Yieldb (%) drc
a Time in parenthesis indicates the time required for the formation of aroylmethylidene malonate.b Isolated yield.c Determined from the 1H NMR spectra (based on one of the ester methyl protons).d No reaction.e The ring-opening was carried out at −15 °C.
1 Ph (1a) 28 (24) 83 (4a) 1[thin space (1/6-em)]:[thin space (1/6-em)]1.5
2 4-MeC6H4 (1b) 18 (12) 80 (4b) 1[thin space (1/6-em)]:[thin space (1/6-em)]1.6
3 3,4-(Me)2C6H3 (1c) 15 (12) 85 (4c) 1[thin space (1/6-em)]:[thin space (1/6-em)]2.2
4 4-MeOC6H4 (1d) 13 (12) 81 (4d) 1[thin space (1/6-em)]:[thin space (1/6-em)]1.1
5 3,4-(MeO)2C6H3 (1e) 16 (12) 87 (4e) 1[thin space (1/6-em)]:[thin space (1/6-em)]1.5
6 4-ClC6H4 (1f) 27 (24) 74 (4f) 1[thin space (1/6-em)]:[thin space (1/6-em)]1.1
7 4-NO2C6H4 (1g) 48 NRd
8 1-Naphthyl (1h) 13 (12) 81 (4h) 1[thin space (1/6-em)]:[thin space (1/6-em)]1.2
9 2-Thienyl (1i) 4 (2) 25 (4i)e 1[thin space (1/6-em)]:[thin space (1/6-em)]1.1


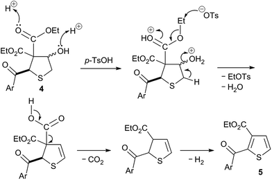
With the availability of various tetrahydrothiophenes, we next focused attention on transforming them into target 2,3-disubstituted thiophenes. Pleasingly, when we subjected the tetrahydrothiophenes 4 to dehydration using p-TsOH (PTSA) in toluene at 90 °C,13 they underwent dehydration as well as monodecarbethoxylation under the reaction conditions to yield 2,3-disubstituted thiophenes 5a–f and 5i directly (Table 2, entries 1–6 and 8). Although tetrahydrothiophene 4h produced thiophene 5h, the product could not be isolated in pure form due to inseparable impurities with the same Rf value (entry 7). The yield was best for tetrahydrothiophene 4d which is having a 4-methoxyphenyl ring (entry 4). A plausible mechanism for the transformation of 4 into 5 is shown in Scheme 2. The reaction may proceed through p-toluenesulphonic acid promoted dehydration, ester cleavage,14 decarboxylation and dehydrogenation (auto oxidation). The product thiophenes possess two electron withdrawing substituents in 2,3-positions and synthesis of such compounds is always a challenging endeavour.

Table 2 Synthesis of 2,3-disubstituted thiophenes from tetrahydrothiophenesa

image file: c5ra09111j-u2.tif

Entry Ar Time (h) Yielda (%)
a Isolated yield.b Thiophene 5h could not be isolated in pure form.
1 Ph (4a) 24 72 (5a)
2 4-MeC6H4 (4b) 24 68 (5b)
3 3,4-(Me)2C6H3 (4c) 15 79 (5c)
4 4-MeOC6H4 (4d) 18 88 (5d)
5 3,4-(MeO)2C6H3 (4e) 20 81 (5e)
6 4-ClC6H4 (4f) 24 63 (5f)
7 1-Naphthyl (4h) 16 b (5h)
8 2-Thienyl (4i) 20 61 (5i)



image file: c5ra09111j-s2.tif
Scheme 2 Plausible mechanism for the formation of 5 from 4.

The thiophenes obtained in the present study could serve as versatile precursors for other useful compounds. To prove the point, we subjected one of the thiophenes, 5b to a palladium-mediated homocoupling to obtain a bis(thiophene).15 Accordingly, when 5b was treated with PdCl2(PPh3)2 (3 mol%) in the presence of AgOAc (2 equiv.) in DMSO at 60 °C for 24 h, the bis(thiophene) 6 in 52% yield (Scheme 3). It is worth noting that bisthiophenes are valuable materials in organic electronics.16


image file: c5ra09111j-s3.tif
Scheme 3 Synthesis of a bis(thiophene).

In summary, we have developed a convenient two-step procedure for the synthesis of 2,3-disubstituted thiophenes from 2-aryl-3-nitrocyclopropane-1,1-dicarboxylates and 1,4-dithiane-2,5-diol. The first step involves sequential one-pot synthesis of substituted tetrahydrothiophenes by the treatment of donor–acceptor nitrocyclopropane dicarboxylates with BF3·OEt2 to generate aroylmethylidene malonates in situ followed by Et3N-mediated tandem thia-Michael addition/aldol reaction with mercaptoacetaldehyde. In the second step, the tetrahydrothiophenes were aromatised to target thiophenes using p-toluenesulfonic acid. To prove the synthetic utility of the synthesised thiophenes, one of the thiophenes was transformed into a bis(thiophene) by a palladium-mediated homocoupling. Further scope of the methodology is under investigation.

Acknowledgements

The authors thank Science and Engineering Research Board (SERB), India for financial support; DST-FIST for NMR facility at School of Chemistry, Bharathidasan University and Sophisticated Analytical Instrumentation Facility (SAIF), Lucknow for HRMS. T.S. thanks Department of Science and Technology (DST) for an INSPIRE-SRF fellowship.

Notes and references

  1. For recent reviews, see: (a) H.-U. Reissig and R. Zimmer, Chem. Rev., 2003, 103, 1151–1196 CrossRef CAS PubMed; (b) M. Yu and B. L. Pagenkopf, Tetrahedron, 2005, 61, 321–347 CrossRef CAS PubMed; (c) C. A. Carson and M. A. Kerr, Chem. Soc. Rev., 2009, 38, 3051–3060 RSC; (d) M. Y. Mel'nikov, E. M. Budynina, O. A. Ivanova and I. V. Trushkov, Mendeleev Commun., 2011, 21, 293–301 CrossRef PubMed; (e) F. De Simone, T. Saget, F. Benfatti, S. Almeida and J. Waser, Chem.–Eur. J., 2011, 17, 14527–14538 CrossRef CAS PubMed; (f) M. A. Cavitt, L. H. Phun and S. France, Chem. Soc. Rev., 2014, 43, 804–818 RSC; (g) T. F. Schneider, J. Kaschel and D. B. Werz, Angew. Chem., Int. Ed., 2014, 53, 5504–5523 CrossRef CAS PubMed; (h) H. K. Grover, M. R. Emmett and M. A. Kerr, Org. Biomol. Chem., 2015, 13, 655–671 RSC.
  2. (a) M. R. Emmett and M. A. Kerr, Org. Lett., 2011, 13, 4180–4183 CrossRef CAS PubMed; (b) M. R. Emmett, H. K. Grover and M. A. Kerr, J. Org. Chem., 2012, 77, 6634–6637 CrossRef CAS PubMed; (c) S. M. Wales, M. M. Walker and J. S. Johnson, Org. Lett., 2013, 15, 2558–2561 CrossRef CAS PubMed; (d) M. C. Martin, D. V. Patil and S. France, J. Org. Chem., 2014, 79, 3030–3039 CrossRef CAS PubMed; (e) K. L. Ivanov, E. V. Villemson, E. M. Budynina, O. A. Ivanova, I. V. Trushkov and M. Y. Melnikov, Chem.–Eur. J., 2015, 21, 4975–4987 CrossRef CAS PubMed.
  3. (a) P. E. O'Bannon and W. P. Dailey, Tetrahedron, 1990, 46, 7341–7358 CrossRef; (b) E. M. Budynina, O. A. Ivanova, E. B. Averina, T. S. Kuznetsova and N. S. Zefirov, Tetrahedron Lett., 2006, 47, 647–649 CrossRef CAS PubMed; (c) G.-Q. Li, L.-X. Dai and S.-L. You, Org. Lett., 2009, 11, 1623–1625 CrossRef CAS PubMed; (d) T. F. Schneider, J. Kaschel, B. Dittrich and D. B. Werz, Org. Lett., 2009, 11, 2317–2320 CrossRef CAS PubMed; (e) J. Kaschel, T. F. Schneider, D. Kratzert, D. Stalke and D. B. Werz, Angew. Chem., Int. Ed., 2012, 51, 11153–11156 CrossRef CAS PubMed; (f) C. D. Schmidt, J. Kaschel, T. F. Schneider, D. Kratzert, D. Stalke and D. B. Werz, Org. Lett., 2013, 15, 6098–6101 CrossRef CAS PubMed; (g) G. Sathishkannan and K. Srinivasan, Adv. Synth. Catal., 2014, 356, 729–735 CrossRef CAS PubMed.
  4. (a) C. A. Carson and M. A. Kerr, J. Org. Chem., 2005, 70, 8242–8244 CrossRef CAS PubMed; (b) Y.-B. Kang, Y. Tang and X.-L. Sun, Org. Biomol. Chem., 2006, 4, 299–301 RSC; (c) K. Sapeta and M. A. Kerr, J. Org. Chem., 2007, 72, 8597–8599 CrossRef CAS PubMed; (d) O. A. Ivanova, E. M. Budynina, Y. K. Grishin, I. V. Trushkov and P. V. Verteletskii, Angew. Chem., Int. Ed., 2008, 47, 1107–1110 CrossRef CAS PubMed; (e) A. T. Parsons and J. S. Johnson, J. Am. Chem. Soc., 2009, 131, 3122–3123 CrossRef CAS PubMed; (f) F. de Nanteuil and J. Waser, Angew. Chem., Int. Ed., 2011, 50, 12075–12079 CrossRef CAS PubMed; (g) G. Sathishkannan and K. Srinivasan, Org. Lett., 2011, 13, 6002–6005 CrossRef CAS PubMed; (h) G. Yang, Y. Shen, K. Li, Y. Sun and Y. Hua, J. Org. Chem., 2011, 76, 229–233 CrossRef CAS PubMed; (i) H. Xiong, H. Xu, S. Liao, Z. Xie and Y. Tang, J. Am. Chem. Soc., 2013, 135, 7851–7854 CrossRef CAS PubMed; (j) G. Sathishkannan and K. Srinivasan, Chem. Commun., 2014, 50, 4062–4064 RSC; (k) S. Chakrabarty, I. Chatterjee, B. Wibbeling, C. G. Daniliuc and A. Studer, Angew. Chem., Int. Ed., 2014, 53, 5964–5968 CrossRef CAS PubMed; (l) K. S. Halskov, F. Kniep, V. H. Lauridsen, E. H. Iversen, B. S. Donslund and K. A. Jørgensen, J. Am. Chem. Soc., 2015, 137, 1685–1691 CrossRef CAS PubMed.
  5. (a) R. Ballini, A. Palmieri and D. Fiorini, ARKIVOC, 2007, vii, 172–194 Search PubMed; (b) E. B. Averina, N. V. Yashin, T. S. Kuznetsova and N. S. Zefirov, Russ. Chem. Rev., 2009, 78, 887–902 CrossRef CAS PubMed.
  6. (a) R. P. Wurz and A. Charette, Org. Lett., 2005, 7, 2313–2316 CrossRef CAS PubMed; (b) O. Lifchits and A. B. Charette, Org. Lett., 2008, 10, 2809–2812 CrossRef CAS PubMed; (c) O. Lifchits, D. Alberico, I. Zakharian and A. B. Charette, J. Org. Chem., 2008, 73, 6838–6840 CrossRef CAS PubMed; (d) S. S. So, T. J. Auvil, V. J. Garza and A. E. Mattson, Org. Lett., 2012, 14, 444–447 CrossRef CAS PubMed; (e) A. M. Hardman, S. S. So and A. E. Mattson, Org. Biomol. Chem., 2013, 11, 5793–5797 RSC.
  7. For recent reports, see: (a) Y. Zhang, M. Bian, W. Yao, J. Gu and C. Ma, Chem. Commun., 2009, 4729–4731 RSC; (b) W. You, X. Yan, Q. Liao and C. Xi, Org. Lett., 2010, 12, 3930–3933 CrossRef CAS PubMed; (c) G. C. Nandi, S. Samai and M. S. Singh, J. Org. Chem., 2011, 76, 8009–8014 CrossRef CAS PubMed; (d) M. Teiber and T. J. J. Muller, Chem. Commun., 2012, 2080–2082 RSC; (e) B. Gabriele, R. Mancuso, G. Salerno and R. C. Larock, J. Org. Chem., 2012, 77, 7640–7645 CrossRef CAS PubMed; (f) B. Gabriele, R. Mancuso, L. Veltri, V. Maltese and G. Salerno, J. Org. Chem., 2012, 77, 9905–9909 CrossRef CAS PubMed; (g) C. R. Reddy, R. R. Valleti and M. D. Reddy, J. Org. Chem., 2013, 78, 6495–6502 CrossRef CAS PubMed; (h) L.-R. Wen, T. He, M.-C. Lan and M. Li, J. Org. Chem., 2013, 78, 10617–10628 CrossRef CAS PubMed; (i) H. Jullien, B. Quiclet-Sire, T. Tetart and S. Z. Zard, Org. Lett., 2014, 16, 302–305 CrossRef CAS PubMed; (j) G. Zhang, H. Yi, H. Chen, C. Bian, C. Liu and A. Lei, Org. Lett., 2014, 16, 6156–6159 CrossRef CAS PubMed; (k) C. Eller, G. Kehr, C. G. Daniliuc, D. W. Stephan and G. Erker, Chem. Commun., 2015, 51, 7226–7229 RSC.
  8. C. J. O'Connor, M. D. Roydhouse, A. M. Przybyl, M. D. Wall and J. M. Southern, J. Org. Chem., 2010, 75, 2534–2538 CrossRef PubMed.
  9. (a) T. Selvi and K. Srinivasan, J. Org. Chem., 2014, 79, 3653–3658 CrossRef CAS PubMed; (b) T. Selvi and K. Srinivasan, Chem. Commun., 2014, 50, 10845–10848 RSC.
  10. (a) S. Yamazaki and Y. Iwata, J. Org. Chem., 2006, 71, 739–743 CrossRef CAS PubMed; (b) S. Morikawa, S. Yamazaki, Y. Furusaki, N. Amano, K. Zenke and K. Kakiuchi, J. Org. Chem., 2006, 71, 3540–3544 CrossRef CAS PubMed; (c) S. Morikawa, S. Yamazaki, M. Tsukada, S. Izuhara, T. Morimoto and K. Kakiuchi, J. Org. Chem., 2007, 72, 6459–6463 CrossRef CAS PubMed; (d) S. Yamazaki, S. Kashima, T. Kuriyama, Y. Iwata, T. Morimoto and K. Kakiuchi, Tetrahedron: Asymmetry, 2009, 20, 1224–1234 CrossRef CAS PubMed.
  11. (a) A. Barco, N. Baricordi, S. Benetti, C. D. Risi and G. P. Pollini, Tetrahedron Lett., 2006, 47, 8087–8090 CrossRef CAS; (b) J. Tang, D. Q. Xu, A. B. Xia, Y. F. Wang, J. R. Jiang, S. P. Luo and Z. Y. Xu, Adv. Synth. Catal., 2010, 352, 2121–2126 CrossRef CAS PubMed; (c) N. Baricordi, S. Benetti, V. Bertolasi, C. D. Risi, G. P. Pollini, F. Zamberlan and V. Zanirato, Tetrahedron, 2012, 68, 208–213 CrossRef CAS PubMed; (d) J.-B. Ling, Y. Su, H.-L. Zhu, G.-Y. Wang and P.-F. Xu, Org. Lett., 2012, 14, 1090–1093 CrossRef CAS PubMed; (e) Y. Dong, D. Navarathne, A. Bolduc, N. McGregor and W. G. Skene, J. Org. Chem., 2012, 77, 5429–5433 CrossRef CAS PubMed; (f) S.-W. Duan, Y. Li, Y.-Y. Liu, Y.-Q. Zou, D.-Q. Shi and W.-J. Xiao, Chem. Commun., 2012, 5160–5162 RSC; (g) C. Xu, J. Du, L. Ma, G. Li, M. Tao and W. Zhang, Tetrahedron, 2013, 69, 4749–4757 CrossRef CAS PubMed; (h) Y. Su, J.-B. Ling, S. Zhang and P.-F. Xu, J. Org. Chem., 2013, 78, 11053–11058 CrossRef CAS PubMed.
  12. (a) L. F. Tietze, G. Brasche and K. Gericke, Domino Reactions in Organic Synthesis, Wiley-VCH, Weinheim, 2006 Search PubMed; (b) W. Zhao and F.-E. Chen, Curr. Org. Synth., 2012, 9, 873–897 CrossRef CAS; (c) V. Gembus, J.-F. Bonfanti, O. Querolle, P. Jubault, V. Levacher and C. Hoarau, Org. Lett., 2012, 14, 6012–6015 CrossRef CAS PubMed; (d) X. Chen, H. Chen, X. Ji, H. Jiang, Z.-J. Yao and H. Liu, Org. Lett., 2013, 15, 1846–1849 CrossRef CAS PubMed; (e) A. Acharya, G. Parameshwarappa, B. Saraoah and H. Ila, J. Org. Chem., 2015, 80, 414–427 CrossRef CAS PubMed.
  13. X. Fang, J. Li, H.-Y. Tao and C.-J. Wang, Org. Lett., 2013, 15, 5554–5557 CrossRef CAS PubMed.
  14. A. P. Krapcho, ARKIVOC, 2007, ii, 1–53 CrossRef.
  15. K. Masui, H. Ikegami and A. Mori, J. Am. Chem. Soc., 2004, 126, 5074–5075 CrossRef CAS PubMed.
  16. (a) A. Mishra, C.-Q. Ma and P. Bauerle, Chem. Rev., 2009, 109, 1141–1276 CrossRef CAS PubMed; (b) Y. Chen, X. Wan and G. Long, Acc. Chem. Res., 2013, 46, 2645–2655 CrossRef CAS PubMed.

Footnote

Electronic supplementary information (ESI) available. See DOI: 10.1039/c5ra09111j

This journal is © The Royal Society of Chemistry 2015
Click here to see how this site uses Cookies. View our privacy policy here.