DOI:
10.1039/C5RA08682E
(Paper)
RSC Adv., 2015,
5, 56949-56953
A green synthesis of highly substituted 1,5-diketones†
Received
10th May 2015
, Accepted 25th June 2015
First published on 25th June 2015
Abstract
Highly substituted 1,5-diketones have been synthesized in water via the reactions between aryl methyl ketones and aldehydes and the subsequent dimerizations. The reaction was catalyzed by aqueous KOH. The advantages of these aqueous reactions over organic-solvent mediated reactions are better yields, better diastereoselectivities, faster reaction rates, simpler workups, and being more energy efficient. The reaction can be scaled up to 13.9 gram scale and the aqueous KOH can be reused for five cycles. A possible mechanism is proposed to explain the high diastereoselectivities.
Introduction
It is known that 1,5-diketones exhibit various bioactivities including antitumor,1,2 antidiabetic,3,4 anti-inflammation,5,6 and anti-infection7,8 properties and so on.9–11 They are also key intermediates for the construction of substituted pyridines,12–14 quinolines,15 pyrylium16 and thiapyrylium.17 Most commonly 1,5-diketones are synthesized via condensations between ketones18,19 or silyl enolethers20 with α,β-unsaturated ketones. Dimerization of the condensation products between aryl methyl ketones and aldehydes under basic conditions can also produce 1,5-diketones.21–24 However, all the current methods employ volatile and toxic organic solvents such as methanol, which violates the principles of “green chemistry”.25–27 Several groups including ours have reported the successful replacement of volatile organic solvents with water for various organic synthetic reactions.28–34 Herein, an aqueous reaction between aryl methyl ketones and aldehydes leading to 1,5-diketones is reported. The reaction produces better yields and diastereoselectivities, has a simpler workup and is more energy efficient than previously reported organic-solvent mediated reactions.21–24
Results and discussion
Initially, a mixture of acetophenone (1, 200 mg), isobutyraldehyde (2, 1.5 equiv.) and tetrabutylammonium bromide (TBAB, 0.1 equiv.) in water (1 mL) was stirred at room temperature (rt) and treated with a series of bases for 12 h. No reaction took place with Na2CO3 (Table 1, entry 1) or K2CO3 (Table 1, entry 2). Product 3a was obtained in 23% yield with 1 equiv. of LiOH (Table 1, entry 3), 57% yield with 1 equiv. of NaOH (Table 1, entry 4), and 76% yield with 1 equiv. of KOH (Table 1, entry 5). When the amount of KOH was increased to 1.5 equiv. or higher, the yields of 3a were above 90% (Table 1, entries 7–9) and with 2 equiv. of KOH or more, the reaction times decreased from 12 h to 2 h (Table 1, entries 8 and 9). The reaction did not take place without TBAB or with sodium dodecyl sulfate (SDS) (Table 1, entries 10 and 11). However, when TBAB was replaced by Aliquat 336, a similar yield (95%) with a shorter reaction time (1 h) was achieved (Table 1, entries 12 and 13). When the amount of 2 was reduced to 1.0 equiv. and that of TBAB to 0.06 equiv., the yield of 3a remained high (Table 1, entry 17). Further reducing the amount of TBAB to 0.03 or 0.01 equiv. resulted in lower yields of 3a (Table 1, entries 18 and 19). Based on these results, the optimized conditions are: acetophenone (1, 1.0 equiv.), isobutyraldehyde (2, 1.0 equiv.), KOH (2 equiv.) and TBAB (0.06 equiv.) or Aliquat 336 (0.1 equiv.) in water at rt (Table 1, entries 13 and 17).
Table 1 Optimization of the condensation conditions between acetophenone with isobutyraldehydea

|
| Entry |
1 (equiv.) |
2 (equiv.) |
Base (equiv.) |
PTC (equiv.) |
t (h) |
3a yieldb (%) |
| Reaction conditions: acetophenone (200 mg), isobutyraldehyde, base, phase transfer catalyst (PTC), H2O (1 mL) at rt. All yields are isolated yields. NR: no reaction. |
| 1 |
1.0 |
1.5 |
Na2CO3 (1.0) |
TBAB (0.1) |
12 |
NRc |
| 2 |
1.0 |
1.5 |
K2CO3 (1.0) |
TBAB (0.1) |
12 |
NRc |
| 3 |
1.0 |
1.5 |
LiOH (1.0) |
TBAB (0.1) |
12 |
23 |
| 4 |
1.0 |
1.5 |
NaOH (1.0) |
TBAB (0.1) |
12 |
57 |
| 5 |
1.0 |
1.5 |
KOH (1.0) |
TBAB (0.1) |
12 |
76 |
| 6 |
1.0 |
1.5 |
KOH (0.5) |
TBAB (0.1) |
12 |
39 |
| 7 |
1.0 |
1.5 |
KOH (1.5) |
TBAB (0.1) |
8 |
91 |
| 8 |
1.0 |
1.5 |
KOH (2.0) |
TBAB (0.1) |
2 |
96 |
| 9 |
1.0 |
1.5 |
KOH (3.0) |
TBAB (0.1) |
2 |
96 |
| 10 |
1.0 |
1.5 |
KOH (2.0) |
— |
12 |
NRc |
| 11 |
1.0 |
1.5 |
KOH (2.0) |
SDS (0.1) |
12 |
NRc |
| 12 |
1.0 |
1.5 |
KOH (2.0) |
Aliquat 336 (0.1) |
1 |
95 |
| 13 |
1.0 |
1.0 |
KOH (2.0) |
Aliquat 336 (0.1) |
1 |
95 |
| 14 |
1.0 |
1.2 |
KOH (2.0) |
TBAB (0.1) |
2 |
96 |
| 15 |
1.0 |
1.0 |
KOH (2.0) |
TBAB (0.1) |
2 |
96 |
| 16 |
1.0 |
1.0 |
KOH (2.0) |
TBAB (0.08) |
2 |
96 |
| 17 |
1.0 |
1.0 |
KOH (2.0) |
TBAB (0.06) |
2.5 |
96 |
| 18 |
1.0 |
1.0 |
KOH (2.0) |
TBAB (0.03) |
12 |
82 |
| 19 |
1.0 |
1.0 |
KOH (2.0) |
TBAB (0.01) |
12 |
53 |
Next thirteen aryl methyl ketones were chosen for the condensation reactions with isobutyraldehyde (Scheme 1, 3a–3m). The reaction times ranged from 2.5–8 h and the yields from 76–96%. From Scheme 1, it can be seen that both the yields and reaction rates increased with the acidities of the aryl methyl ketones (3b vs. 3c vs. 3d vs. 3e). The slowest reaction rate was observed for the formation of 3j, because MeO– is a strong electron donating group (3j vs. 3h, 3i). In the case of the heterocyclic aryl compounds, the yield of 3l is slightly higher than that of 3m, which is because furanyl group is a poorer electron-donor than thiofuranyl group. Very similar results occurred for the reactions of cyclopentyl aldehyde, an analog to isobutyraldehyde with one hydrogen atom at C-2, with nine aryl methyl ketones (Scheme 1, 3n–3v), and cyclohexyl aldehyde with two aryl methyl ketones (Scheme 1, 3w, 3x). There was a difference in the reaction rates and yields between isobutyraldehyde and the two cyclic aldehydes. Better yields and faster reaction rates were observed in the former cases.
 |
| | Scheme 1 Condensation of aryl methyl ketones with aldehydes. Reaction conditions: aryl methyl ketones (200 mg), aldehyde (1 equiv.), KOH (2 equiv.), TBAB (0.06 equiv.) or Aliquat 336 (0.1 equiv.) and H2O (1 mL) at rt. All yields are isolated yields. | |
The replacement of TBAB with Aliquat 336 also led to a high-yielding synthesis of a series of 1,5-diketones (Scheme 1). In most cases, the yields were similar to those with TBAB, but the reaction rates were faster with Aliquat 336. The reason is that Aliquat 336 is a lipophilic syrup at rt, which functions as both a PTC and a solvent.30–34 The latter function facilitates the dissolving of both the high melting-point reaction intermediates and the final product which may include the reaction intermediates that are formed during the course of the reaction. In this system, TBAB is a better choice than Aliquat 336 because less TBAB is needed (by weight) and TBAB is water-soluble. The reaction using TBAB was scaled up to produce 13.9 g of 3a with the same yield and reaction rate. An X-ray crystal analysis of 3m confirmed its anti-stereochemical structure (Fig. 1). The typical NMR data for all the products are signals at ca. 4.3 ppm (t, J = ca. 10 Hz, 1H, H-2) and at ca. 3.1 ppm (m, 1H, H-3) (for the numbering see Scheme 1, 3a), indicating anti-diastereoselectivities of the reactions.
 |
| | Fig. 1 ORTEP diagram of compound 3m. | |
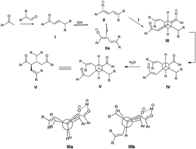
The following mechanism is proposed for the reaction (Scheme 2). Deprotonation of I formed from the aldol reaction between aryl methyl ketone and aldehyde leads to enolates II and IIa, which are in equilibrium with I. The Michael addition of II to I via III produces IV, which is protonated to yield V. The anti-diastereoselectivity in the formation of V is determined by transition state III, which has two polar groups (carbonyl and enolate) in the opposite directions in a staggered conformation. This is further supported by the fact that LiOH-catalyzed reaction (Table 1, entry 3) leads to much more complicated products than KOH-catalyzed reaction (Table 1, entry 17). The possible reason is that K+ is such a weak Lewis acid that transition states IIIa and IIIb are not possible. In contrast, Lewis acid Li+ is capable to form IIIa, which leads to the desired anti-products. The conformation of IIIa (M = Li) is eclipsed (syn-periplanar). One way of avoiding the eclipsed conformation is through IIIb (anti-clinal) (M = Li) formed from I and destabilized IIa. Compared to III, IIIa and IIIb are both destabilized and are roughly in the same energy level, the former leading to the anti-product and the latter to the undesired syn-product. Therefore, KOH is preferred for this reaction rather than other bases (LiOH, NaOH, Table 1, entries 3 and 4).
 |
| | Scheme 2 A possible pathway for the highly stereoselective synthesis of anti-1,5-diketone. | |
Table 2 summarizes the results of recycling the aqueous KOH media. After five cycles, the yield was still above 80%. The reaction rate was slow for the fifth cycle, acceptable for the fourth cycle and excellent for the first three cycles.
Table 2 Recyclability studies of the aqueous KOH for the condensation of acetophenone with isobutyraldehydea

|
| Cycle |
t (h) |
bYield% |
| Reaction conditions: acetophenone (2000 mg), isobutyraldehyde (1 equiv.), Aliquat 336 (0.1 equiv.), KOH (2 equiv.) and H2O (10 mL) at rt. All yields are isolated yields. |
| 1 |
1 |
95 |
| 2 |
1.5 |
92 |
| 3 |
3 |
86 |
| 4 |
7 |
84 |
| 5 |
17 |
84 |
Compared with other methods reported in the literature, this procedure offers the following advantages. (1) Water was used as reaction media instead of MeOH.21–24 (2) The aqueous KOH was recyclable. (3) Better yields and diastereoselectivities were obtained than those for most reported procedures.21–23 Only Novikov and Tishchenko reported a yield higher than 90%.24 All other reports had yields around 60%.21–23 (4) The product workup was very simple. As the solid product formed during the reaction, it all adhered together as one large clump of material (ESI, S2, Picture 2†). Thus the products were collected by simply decanting the aqueous KOH from the product. In contrast, the literature procedures required extractions of the products with organic solvents. (5) This procedure was carried out at rt. All the literature procedures required that the reaction media be heated above 50 °C.21–24 Therefore our procedure is more energy-efficient.
Since 1,5-diketones are intermediates for some classes of compounds, 3a, 3d and 3l were used to synthesize highly substituted pyridines 4a, 4b and 4c (Scheme 3). The pyridines were obtained in good yields with moderate reaction rates.12–14
 |
| | Scheme 3 The synthesis of substituted pyridines from 1,5-diketones. Reaction conditions: 1,5-diketones (300 mg), NH4OAc (6 equiv.) and HOAc (5 mL) at 110 °C. All yields are isolated yields. | |
Experimental
General experimental information
All of the chemicals were obtained from commercial sources or prepared according to standard methods. NMR spectra were recorded with a 400 or 600 MHz spectrometer for 1H NMR, a 100 or 151 MHz spectrometer for 13C NMR and a 377 MHz spectrometer for 19F NMR. TMS was used as an internal standard. Chemical shifts (δ) were reported relative to TMS (1H) or CDCl3 (13C). Multiplicities were reported as follows: singlet (s), doublet (d), triplet (t), quartet (q), multiplet (m), dd (doublet of doublets) and dt (doublet of triplets). Coupling constants were reported in Hertz (Hz). Melting points were recorded with a micro melting point apparatus. Infrared analyses (KBr pellet) were performed by FT-IR. X-ray structural analyses were conducted on the XtaLAB mini diffractometer (600 W, SHINE, CCD, 75 mn, 0.1 electrons per pixel per s). High resolution mass spectra (HRMS) were recorded on a QTOF mass analyzer with electrospray ionization (ESI†).
Typical 200 mg-scale condensation procedure using the synthesis of 3a as an example
Acetophenone (200 mg), isobutyraldehyde (1 equiv.), KOH (2 equiv.), TBAB (0.06 equiv.) and water (1 mL) were added to a 10 mL test tube. After the mixture was stirred at rt for 2.5 h and TLC indicated the completion of the reaction, the crude product aggregated into a hard clump (ESI, S2,† Picture 1†). The reaction was then stopped and the aqueous KOH was decanted. The crude product in the test tube was washed with distilled water (3 × 2 mL), and then crystallized with methanol (1 mL) to give a white product 3a (279 mg, 96%, mp: 142.1–143.5 °C).
The same procedure was used in preparing 3a using Aliquat 336 as PTC (ESI, S3, Picture 3†).
Synthesis of 3a in 13.9 g scale
The synthesis of 3a starting from 10 g of acetophenone was performed in a 100 mL round-bottom flask using the same procedure as above to yield 3a (13.9 g, 96%, t: 2.5 h).
Recycling procedure in the synthesis of 3a
In a 100 mL round-bottom flask, a mixture of acetophenone (2000 mg), isobutyraldehyde (1 equiv.), Aliquat 336 (0.1 equiv.), KOH (2 equiv.) and H2O (10 mL) was stirred at rt. After TLC indicated the completion of the reaction, the crude product aggregated into a hard clump (ESI, S3, Picture 4†). The reaction was then stopped and the aqueous KOH was decanted. The crude product was washed with distilled water (3 × 5 mL), and crystallized with methanol (10 mL) to yield 3a (2.75 g, 95%). In the second cycle, a new mixture of acetophenone (2000 mg), isobutyraldehyde (1 equiv.), Aliquat 336 (0.1 equiv.) and the aqueous KOH used in the first reaction was subject to the as above conditions to yield 3a (2.68 g, 92%). The reaction was repeated in this manner five times. The reaction times ranged from 1–17 h and the yields from 95–84%.
Typical 300 mg-scale synthesis procedure using the synthesis of 4a as an example
In a 25 mL round-bottom flask, a mixture of 3a (300 mg), NH4OAc (6 equiv.) and acetic acid (5 mL) was refluxed for 8 h. The acetic acid was then distilled off. The residue was dissolved in ethyl acetate (5 mL), washed with water (2 × 5 mL), and dried over Na2SO4. The ethyl acetate was then evaporated and the product was purified by column chromatography on silica gel (petroleum ether/ethyl acetate = 10
:
1) to give 4a (203 mg, 72%, mp: 62.6–63.5 °C).
Conclusions
In conclusion, we have successfully replaced volatile and toxic organic solvent methanol with water in the dimerizations of the condensation products from aldehydes and aryl methyl ketones. In comparison to the organic-mediated reaction, the aqueous reaction offered several advantages, including simpler workups, higher energy efficiency, better yields, diastereoselectivities and recyclable reaction media. This procedure should be applicable to the greener manufacture of these types of 1,5-diketones.
Notes and references
- J.-H. Su, C.-F. Dai, H.-H. Huang, Y.-C. Wu, P.-J. Sung, C.-H. Hsu and J.-H. Sheu, Chem. Pharm. Bull., 2007, 55, 594–597 CrossRef CAS.
- M. Perez, C. del Pozo, F. Reyes, A. Rodriguez, A. Francesch, A. M. Echavarren and C. Cuevas, Angew. Chem., Int. Ed., 2004, 43, 1724–1727 CrossRef CAS PubMed.
- C. Li, W. Lu, C. Lu, W. Xiao, X. Shen, J. Huang, G. Liu and Y. Tang, J. Mol. Model., 2012, 18, 4033–4042 CrossRef CAS PubMed.
- C.-R. Chen, Y.-W. Liao, L. Wang, Y.-H. Kuo, H.-J. Liu, W.-L. Shih, H.-L. Cheng and C.-I. Chang, Chem. Pharm. Bull., 2010, 58, 1639–1642 CrossRef CAS.
- M. Cheng, M. Wu, Y. Su, I. Chen and G. Yuan, Phytochem. Lett., 2012, 5, 63–67 CrossRef PubMed.
- Y. W. Hsu, L. C. Hsu, Y. H. Liang, Y. H. Kuo and T. M. Pan, J. Agric. Food Chem., 2010, 58, 8211–8216 CrossRef CAS PubMed.
- S. A. Ahmed, S. A. Ross, D. Slade, M. M. Radwan, I. A. Khan and M. A. Elsohly, Tetrahedron Lett., 2008, 49, 6050–6053 CrossRef CAS PubMed.
- D. Batovska, S. Parushev, B. Stamboliyska, I. Tsvetkova, M. Ninova and H. Najdenski, Eur. J. Med. Chem., 2009, 44, 2211–2218 CrossRef CAS PubMed.
- Z. Y. Hao, D. Liang, H. Luo, Y. F. Liu, G. Ni, Q. J. Zhang, L. Li, Y. K. Si, H. Sun, R. Y. Chen and D. Q. Yu, J. Nat. Prod., 2012, 75, 1083–1089 CrossRef CAS PubMed.
- M. P. Ullewar and S. N. Umathe, J. Neuroimmunol., 2015, 280, 58–65 CrossRef CAS PubMed.
- A. S. Husni, C. R. McCurdy, M. M. Radwan, S. A. Ahmed, D. Slade, S. A. Ross, M. A. ElSohly and S. J. Cutler, Med. Chem. Res., 2014, 23, 4295–4300 CrossRef CAS PubMed.
- L. S. Novikov, V. A. Mezhentsev and I. G. Tishchenko, Chem. Heterocycl. Compd., 1979, 15, 1367 CrossRef.
- J. Husson and M. Knorr, Beilstein J. Org. Chem., 2012, 8, 379–389 CrossRef CAS PubMed.
- V. G. Kharchenko, L. I. Markova, O. V. Fedotova and N. V. Pchelintseva, Chem. Heterocycl. Compd., 2003, 39, 1121–1142 CrossRef CAS.
- S. F. Alshahateet, R. Bishop, D. C. Craig and M. L. Scudder, Cryst. Growth Des., 2010, 10, 1842–1847 CAS.
- D. Fǎrcasiu, A. Vasilescu and A. T. Balaban, Tetrahedron, 1971, 27, 681–685 CrossRef.
- V. Padmavathi, A. Balaiah, A. Padmaja and D. B. Reddy, Phosphorus, Sulfur Silicon Relat. Elem., 2002, 177, 2791–2798 CrossRef CAS PubMed.
- R. Shankar, A. K. Jha, U. S. Singh and K. Hajela, Tetrahedron Lett., 2006, 47, 3077–3079 CrossRef CAS PubMed.
- A. Yanagisawa, H. Takahashi and T. Arai, Tetrahedron, 2007, 63, 8581–8585 CrossRef CAS PubMed.
- B. C. Ranu, M. Saha and S. Bhar, J. Chem. Soc., Perkin Trans. 1, 1994, 1, 2197–2199 RSC.
- K. Kulka, R. Eiserle, J. J. Rogers and F. Richter, J. Org. Chem., 1960, 25, 270–272 CrossRef CAS.
- W. L. Dilling, N. B. Tefertiller and J. P. Heeschen, J. Org. Chem., 1972, 37, 4159–4166 CrossRef CAS.
- R. Anet, J. Org. Chem., 1961, 26, 246–247 CrossRef CAS.
- L. S. Novikov and I. G. Tishchenko, Vestsi Akad. Navuk BSSR, Ser. Khim. Navuk, 1970, 5, 79–82 Search PubMed.
- S. Trakhtenberg and J. C. Warner, Chem. Rev., 2007, 107, 2174–2182 CrossRef CAS PubMed.
- P. T. Anastas, Chem. Rev., 2007, 107, 2167–2168 CrossRef.
- I. T. Horváth and P. T. Anastas, Chem. Rev., 2007, 107, 2169–2173 CrossRef PubMed.
- D. L. Aubele, C. A. Lee and P. E. Floreancig, Org. Lett., 2003, 5, 4521–4523 CrossRef CAS PubMed.
- S. Narayan, J. Muldoon, M. G. Finn, V. V. Fokin, H. C. Kolb and K. B. Sharpless, Angew. Chem., Int. Ed., 2005, 44, 3275–3279 CrossRef CAS PubMed.
- G. He, B. Li and C. Li, J. Agric. Food Chem., 2013, 61, 2913–2918 CrossRef CAS PubMed.
- B. Li and C. Li, J. Org. Chem., 2014, 79, 2242–2254 CrossRef CAS PubMed.
- T. Li, X. Cui, L. Sun and C. Li, RSC Adv., 2014, 4, 33599 RSC.
- B. Li and C. Li, J. Org. Chem., 2014, 79, 8271–8277 CrossRef CAS PubMed.
- X. Cui, B. Li, T. Liu and C. Li, Green Chem., 2012, 14, 668–672 RSC.
Footnotes |
| † Electronic supplementary information (ESI) available: Pictures of the synthesis of 3a, general experimental information, general procedure for all products, analytical data for all products, references for known compounds, NMR spectra of the products, X-ray crystallographic analysis for product 3m. CCDC 1063937. For ESI and crystallographic data in CIF or other electronic format see DOI: 10.1039/c5ra08682e |
| ‡ L. L. and S. F. contributed equally to this work. |
|
| This journal is © The Royal Society of Chemistry 2015 |
Click here to see how this site uses Cookies. View our privacy policy here.