Multi-dressing time delayed fourth- and sixth-order fluorescence processes in Pr3+:YSO

Changbiao Lia, Lele Wanga, Chang Yanga, Tao Jianga, Metlo Imrana, Irfan Ahmeda, Min Xiaobc and Yanpeng Zhang*a
aKey Laboratory for Physical Electronics and Devices of the Ministry of Education, Shaanxi Key Lab of Information Photonic Technique, Xi’an Jiaotong University, Xi’an 710049, China. E-mail: ypzhang@mail.xjtu.edu.cn
bDepartment of Physics, University of Arkansas, Fayetteville, Arkansas 72701, USA
cNational Laboratory of Solid State Microstructures and Department of Physics, Nanjing University, Nanjing 210093, China

Received 30th March 2015 , Accepted 8th April 2015

First published on 8th April 2015


Abstract

We report the multi-dressing time delayed fluorescence processes in a Pr3+:YSO crystal, which have been investigated both theoretically and experimentally. The time delay of fluorescence processes can be controlled by the dressing effect which can be adjusted by the power or detuning of laser fields. In addition, we investigate the spectrum of the fluorescence signal at four different stages in the time domain. Specifically, there exists competition between fluorescence and spontaneous parametric four-wave mixing (SP-FWM), which can be separated due to the dressing effect. The experimental results can be well explained by the theoretical model.


1. Introduction

Lots of studies focus on the quantum coherence excitation and coherence transfer in atomic gases. Theses processes lead to many important physical phenomena, such as electromagnetically induced transparency (EIT),1 four-wave mixing (FWM) and six-wave mixing (SWM) under EIT conditions.2,3 Compared with atomic gases, solid materials are more appropriate for practical applications. Rare-earth-ion-doped crystals, for example Pr3+:Y2SiO5, have unique properties, such as long optical coherence times and optical controllability of the ionic states.4 Research areas like light coherent storage,5–7 all-optical routing,8 optical velocity reduction and reversible storage of double light pulses,9 and all-optically controlled higher-order nonlinear fluorescence (FL),10 have been realized with such crystals. Since the population and state transfer can be induced by an external electric field pulse,11 the lifetime of the state can be modified by the Stark shift in the atomic system.12 Similarly, the principal motivation of this work is how to control lifetime by using the dressing effect from the external laser field in a Pr:YSO crystal. Such results can find potential applications in optical information storage and processing on a photonic chip.

In this paper, we investigate the lifetime competition between SP-FWM and FL by gate control. At the zero delay stage there exist SP-FWM and FL signals together, and a strong SP-FWM signal can be demarcated from the FL signal in the same channel due to the dressing effect by utilizing the change of power and detuning of controlling fields. Moreover, for the long delay stage, there exists only the FL signal, so SP-FWM and FL signals can be separated in the time domain by gate control. The delay of FL signal lifetime depends on the splitting distance between the two dark states due to the dressing effect.

2. Experimental setup and basic theory

Y2SiO5 is a monoclinic crystal and belongs to the C62h space group with eight molecules per unit cell. Triply ionized rare-earth ions substitute for the Y3+ ions and occupy two inequivalent crystallographic sites with no rotational point symmetry (C1).13 To implement the current experiment, the sample is held at 77 K in a cryostat (CFM-102). Fig. 1(a) shows the simplified energy-level diagram of a 0.05% rare-earth Pr3+ doped Y2SiO5 (Pr:YSO) crystal. We confine ourselves to a detailed analysis of the triplet energy-level 3H4 and singlet energy-level 1D2 in the current work, since it is easy to identify them reliably by investigating the optical spectrum of the Pr3+ ions. The energy level of site I is labeled by a Greek letter without an asterisk and the one for site II is labeled by the Greek letter with an asterisk. However, under the action of the crystal field of YSO (i.e., the van der Waals interaction), the interaction between Pr3+ ions localized at different cation vacancies in the YSO crystal can happen, and then we can treat the two ions as a heteronuclear molecule. So δ0 and δ*0 are degenerated into one level, as shown in Fig. 1(c).
image file: c5ra05607a-f1.tif
Fig. 1 (a) Energy-level diagram of Pr3+:YSO. (b) Experimental setup. FL: fluorescence, PMT: photomultiplier tube, PBS: polarized beam splitter, and L: lens. Inset: V-type configuration with the corresponding phase-matching conditions for the PC-FWM process. (c) N-type four-level system, V-type three-level system (|0〉 ↔ |1〉 ↔ |2〉) of a heteronuclear-like molecule system and Λ-type three-level system (|0〉 ↔ |1〉 ↔ |3〉). (d) Generated SP-FWM in the V-type level system. (e) Dressed-state pictures for (e1) V-type and (e2) Λ-type level systems. (f) Measured FL signal in time domain with Δ1 = 0 and Δ2 = 0.

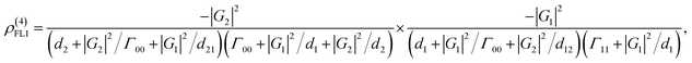
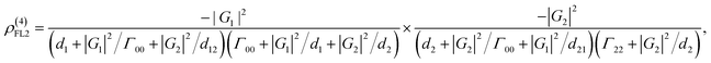
Theoretically, the intensity of the FL signal is proportional to the square of the diagonal elements of the density matrix. When E1 and E2 are open simultaneously, the FL processes (FL1 and FL2) ρ(4)11 and ρ(4)22 can be generated via the pathway image file: c5ra05607a-t1.tif and image file: c5ra05607a-t2.tif, respectively. Considering the coherence properties of such a system, the two FL processes can be unified together by the fourth-order coherence process as follows

 
image file: c5ra05607a-t3.tif(1)
or
 
image file: c5ra05607a-t4.tif(2)
where d1 = Γ10 + 1, d2 = Γ20 + 2, d12 = Γ12 + i(Δ1Δ2) and d21 = Γ21 + i(Δ2Δ1), Gi = −μijEi/ħ the Rabi frequency, and Γij is the transverse decay rate.

Therefore, the intensity of the measured FL signal can be described as:

 
image file: c5ra05607a-t5.tif(3)
where image file: c5ra05607a-t6.tif is the FL signal intensity at the photoexcitation stage, and G2a is the Rabi frequency of the input fields. ρ(2)11eΓFLt is the FL signal intensity at the zero delay stage, ΓFL1 is a decoherence rate; image file: c5ra05607a-t7.tif is the FL signal intensity at the adiabatic population transition stage, tp is the pulse width, and t0 is the delay time, which is mainly determined by phonon-assisted non-radiative transition which is mainly determined by acoustic phonons at low temperature. a2eΓ(tt0) is the FL signal intensity at the spontaneous radiation stage, and a0, a1, a2 depend on the input laser field power.

Generally, the dephasing rate (Γ11) of the measured FL signal radiated from level |1〉 is determined by the dephasing time, (T2)1, including the longitudinal dephasing time (spontaneous emission lifetime (T1)1) and the reversible transverse dephasing time, (T*2)1, i.e., Γ11 = (2πT1)1−1 + (2πT*2)1−1. However, in our case, because the starting points of the pulse laser and measuring process are triggered simultaneously, the factor affecting the measured linewidth should include a coherence process between two levels |0〉 and |1〉 which can be described as the decoherence rate Γ10, where Γij = (Γi + Γj)/2, (i, j = 0, 1, 2). ΓFL = Γ11 + Γ10 in which Γ00 = (2πT1)0−1 + (2πT*2)0−1 is the dephasing rate of the ground state |0〉. In detail, by taking the controlling terms into account, one can get

 
(2πT1)1−1 = 16π(ν + Δν)3β2η3/εhc3, (4)

(2πT1)0−1 = 0, (2πT*2)1−1 = P1(t) + γ*, (2πT*2)0−1 = P0(t) + γ*,
where γ* is the total effect of Γphonon (is related to the temperature of the sample) and Γion–spin (Γion–spin relates to the ion–spin coupling effect of the individual ion), and
 
image file: c5ra05607a-t8.tif(5)
 
image file: c5ra05607a-t9.tif(6)
In eqn (4), the term (ν + Δν) represents the location of the energy-level which can be modulated by the coupling field. Thus, the lifetime is modified since the perturbed state leads to population redistribution. In eqn (5) and (6), cH and cD represent the population densities at the triplet energy-level 3H4 and singlet energy-level 1D2, respectively, controlled by the pump power. ∑(AnH/RHn) and ∑(AnD/RDn) represent the induced dipole–dipole interactions of states H–H and D–D, respectively.

In the current V-type level system, there exists a second-order FL signal FL3 (FL4) via the pathway image file: c5ra05607a-t10.tif and considering the self- or external-dressing effect, the diagonal element ρ(2)11(ρ(2)22) corresponding to the fluorescence signal FL3 (FL4) is given by10

 
image file: c5ra05607a-t11.tif(7)
 
image file: c5ra05607a-t12.tif(8)

In addition to the FL spectrum, a SP-FWM spectrum will occur in the paraxial direction due to the so-called phase-matching FWM (PC-FWM) process (see Fig. 1(d)) occurring in the V-type system, in which the strong pumping fields E1 and E2 are mixed with two weakly generated fields ES and EaS, satisfying the phase-matching conditions (PMCs) kaS1 = k1 + k2kS1 and kS1 = k2 + k1kaS1, respectively. Both signals are detected by a pair of point symmetrical PMTs as shown in Fig. 1(b). The density matrix elements can be obtained by the perturbation chains image file: c5ra05607a-t13.tif (Stokes signal) and image file: c5ra05607a-t14.tif (anti-Stokes signal) together with the dressing effect of E2

 
image file: c5ra05607a-t15.tif(9)
 
image file: c5ra05607a-t16.tif(10)
The intensities of the PC-FWM signals (ES1 and EaS1) are described as
 
IS1(t) = I0(S1)[thin space (1/6-em)]exp[−ΓSt], (11)
 
IaS1(t) = I0(aS1)[thin space (1/6-em)]exp[−ΓaSt], (12)
where ΓS1 = (Γ10)1 + (Γ00)2 + (Γ20)3, ΓaS1 = (Γ20)1 + (Γ00)2 + (Γ10)3, I0(S1) ∝ |ρ(3)20(S1)|2 and I0(aS1) ∝ |ρ(3)10(aS1)|2. Differing from the case of FL signals, the PC-FWM signals are from the coherent processes. The linewidths are determined by the atomic coherence time and are much narrower.

When E1, E2 and E3 in |0〉 ↔ |1〉 ↔ |2〉 ↔ |3〉 are on simultaneously, a multi-dressed FL5 signal can be obtained as shown in Fig. 1(c). Such a process can be described by the sixth-order coherence process as

 
image file: c5ra05607a-t17.tif(13)
where d23 = Γ23 + i(Δ3Δ1 + Δ2). In addition, the corresponding decoherence rate is given by ΓFL5 = (Γ31)1 + (Γ11)2 + (Γ10)3 + (Γ00)4 + (Γ20)5 + (Γ22)6.

The sample (a 3 mm Pr:YSO crystal) is held in a cryostat (CFM-102) at a temperature of 77 K. Three tunable dye lasers (narrow scan with a 0.04 cm−1 linewidth) pumped by an injection locked single-mode Nd:YAG laser (Continuum Powerlite DLS 9010, 10 Hz repetition rate, 5 ns pulse width) are used to generate E1(ω1, Δ1), E2 & E2′(ω2, Δ2), and E3(ω3, Δ3) with the frequency detuning Δi = ωmnωi (i = 1, 2, and 3), respectively, where ωmn denotes the corresponding atomic transition frequency. To make description convenient, we define several abbreviated symbols as follow: FL1 and FL2 mean the fluorescence signals radiated from the same level |1〉, but pumped by fields E1 and E2, respectively. The emitted signals ES and EaS form a spatial conical alignment, shown as in Fig. 1(b). But the FL is a non-coherent signal. Therefore, the pair of pure SP-FWMs (EaS and ES) is only detected by two photomultiplier tubes (PMT1 and PMT2) along the counter-direction of E1′ and E2′, and a composite signal (including FL and SP-FWMs) is monitored by another detector PMT3, as shown in Fig. 1(b). The lifetime and intensity of the SP-FWM and FL signals are detected with a digitizing oscilloscope and are averaged with a fast gated integrator (gate width of 10 μs).

3. Experimental results and discussion

Fig. 2(a) and (b) show two sets of measured lifetimes of SP-FWMs at different values of Δ1. The decoherent rate (ΓS) increases, and the lifetime of the SP-FWM signal reduces with increasing power of E2 at Δ1 = −350 GHz as shown in Fig. 2(c1). Similarly, one can obtain the same results at Δ1 = 0 as shown in Fig. 2(c2). The observed features can be explained by the decoherence rate ΓS in eqn (13) relating to the power of E2. The induced dipole–dipole interaction increases with the increased power of E2, so one can deduce that the increased ΓS will result in a reduced lifetime of the output signal.
image file: c5ra05607a-f2.tif
Fig. 2 (a) Lifetime of SP-FWM pumped by E2, (a1) at low power (1 mW), (a2) at middle power (5 mW) and (a3) at high power (9 mW), Δ1 = −350 GHz and Δ2 = 0, P1 = 5 mW. (b) Same as (a), but with Δ1 = 0. (c) Power dependence of ΓS by changing the power of E2, (c1) Δ1 = −350 GHz, and (c2) Δ1 = 0. Solid curves are the theoretical predictions. (d) Evolution of the SP-FWM signal versus Δ1, with P2 being 1 mW, 5 mW, 9 mW, respectively, Δ2 = 0.

Next, Fig. 2(d) shows the evolution of the SP-FWM at different locations of the boxcar integrator gate pumped by different powers of E2 as scanning Δ1 at fixed Δ2 = 0. At first, at the photoexcitation stage, the SP-FWM shows a Lorentzian lineshape. Next, at the decay stage, the intensity of the SP-FWM signal reaches a maximum. The population decreases as the boxcar integrator gate moves backward along the time axis, which leads to a decrease in the intensity of the SP-FWM signal as shown in Fig. 2(d). The reason is that the population decreases as the boxcar integrator gate moves backward along the time axis, which leads to a decrease in the intensity of the SP-FWM signal as shown in Fig. 2(d). At last, the intensities of SP-FWM signals increase with the increased power of E2. However, the spectra of the SP-FWM signals do not show AT splitting, which is insensitive for the dressing effect due to the increased power of E2 as shown in Fig. 2(d1)–(d3). So, the decay process of a strong SP-FWM signal is observed at zero delay. The baseline (the dashed curve in Fig. 2(d)) shows the SP-FWM signal at different locations of the boxcar integrator gate in the time domain as Δ1 = −350 GHz. The population decreases as decay increases, so the intensity of SP-FWM signal decreases. Similarly, the intensity of the SP-FWM signal also decreases at Δ1 = 0 (the solid curve in Fig. 2(d)).

We next investigate the lifetime delay of the FL signal by nonradiative relaxation, and the AT splitting spectra. Fig. 3(a) and (b) show the delay time of the FL signal at different powers of E2. There exist two peaks, which correspond to the locations of the zero delay time and a longer delay time. When the power of E2 increases, the right peak moves to the right (the lower curve in Fig. 3(a2)). Specially, Fig. 3(b) shows two peaks at a low power E2 as Δ1 = 0. The reason is that particles are excited to |1〉 which is split into |G〉 caused by E1. If we set |1〉 as the frequency reference point, the Hamiltonian can be written as: image file: c5ra05607a-t18.tif. From the equation H|G〉 = λ±|G〉, we can obtain image file: c5ra05607a-t19.tif. In addition, E2 splits |G1+〉 into |G2+±〉 if Δ2 > 0, or splits |G1−〉 into |G2−±〉 if Δ2 < 0. The Hamiltonian can be written as image file: c5ra05607a-t20.tif, where Δi = Δ2 − (−1)jλ±. From the relation H′|G2±±〉 = λ±±|G2±±〉, we can obtain image file: c5ra05607a-t21.tif. The obvious delay of the right peak in Fig. 3(a1) is caused by the residual particles in |G2++〉 transferring to |G1−〉 through a phonon-assisted nonradiative transition which is mainly determined by acoustic phonons at low temperature. Therefore, the delay of the FL decay process depends on the splitting gap between |G2++〉 and |G1−〉. We can obtain the expression of the splitting distance image file: c5ra05607a-t22.tif, when the dressing effect of field E2 can be neglected at the lower power of field E2. The decay process of FL is delayed ∼280 μs, as shown in Fig. 3(b1). Moreover, at the high power of field E2 (P2 = 9 mW), the splitting distance between |G2++〉 and |G1−〉 is image file: c5ra05607a-t23.tif, as Δ1 = Δ2 = 0. The splitting distance increases with the increased power E2, the decay process of FL is delayed ∼540 μs, as shown in Fig. 3(b3). In addition, at the rising edge of the right peak in the time domain, there exists the adiabatic population transition due to the dark states between |G2+±〉, and the time width depends on the pulse width. Finally, at the descending edge of the right peak, all the population is spontaneously radiated to the low energy level, as shown in Fig. 3(b). The corresponding theoretical predictions are shown in Fig. 3(c), which agree well with the experimental results.


image file: c5ra05607a-f3.tif
Fig. 3 (a1)–(a3) Lifetime of FL pumped by field E2 1 mW, 5 mW, 9 mW, respectively, as Δ1 = −350 GHz, P1 = 5 mW and Δ2 = 0. (b) Same as (a), but with Δ1 = 0. (c) Corresponding theoretical predictions of (b). (d) Evolutions of FL signals versus Δ1, with P2 being 1 mW, 5 mW, 9 mW, respectively, Δ2 = 0.

Fig. 3(d) shows the intensity evolution of the FL signal. At first, there exists competition between SP-FWM and FL. The second curve in Fig. 3(d1) shows that FL is suppressed, and the SP-FWM is a little. The intensity of the FL signal decreases and the intensity of SP-FWM signal increases with increasing power E2. Specially, the FL signal vanishes at maximum power E2, as shown by the second or third curve in Fig. 3(d3). Secondly, at the rising edge of the right peak in the time domain, the relative width of AT-splitting of FL increases, as the power of E2 increases. Finally, in the decay stage of the right peak in the time domain, the spectra of FL shows a Lorentzian lineshape as shown by the seventh curve in Fig. 3(d1)–(d3). To explain the above experimental results, we turn to the density matrix element related to the FL and SP-FWM signals. At the zero delay stage, the intensity of the SP-FWM signal increases with increasing power E2. However, the intensity of the FL signal decreases, and even vanishes due to the dressing effect. In eqn (1), the term |G1|2/d1 can determine the self-dressing effect when Δ1 is scanned. Due to the low E2 power, the dressing effect of E2 (|G2|2/Γ00 and |G2|2/d2 in eqn (1)) can be neglected. So the intensity of FL is suppressed, and the SP-FWM is generated (the second curve in Fig. 3(c1)). The pump probability of E2 (|G2|2/Γ00) becomes larger as P2 increases and the dressing effect of E2 (|G2|2/d2 and |G2|2/d12) should be considered. Therefore, the second curve in Fig. 3(d1) shows the profile of FL due to the self-dressing caused by E1. Furthermore, the second curve in Fig. 3(d3) shows that the intensity of FL is fully suppressed by E1 and E2 synchronously, and leaves the SP-FWM signal only. Next, at the rising edge of the right peak in the time domain, there exists an adiabatic population transition between the dark states (|G2+±〉). The FL signal shows AT splitting spectra due to the dressing effect of E1 at low powers of E2, and we can obtain the expression of the splitting distance Δa as shown by the sixth curve in Fig. 3(d1). The splitting distance will become larger when P2 increases as shown by the sixth curve in Fig. 3(d3).14 Finally, at the delay stage, the FL signal is from state |−〉 spontaneous radiation, so the spectra of the FL signal shows a Lorentzian lineshape.

Fig. 4(a) and (b) show lifetimes of the FL signal at different Δ2. It is obvious that the lifetime of the FL signal decays as shown in Fig. 4(b), compared with the lifetime in Fig. 4(a). At Δ2 = −300 GHz, since the dressing effect of E2 can be neglected, the splitting distance between |G〉 is image file: c5ra05607a-t24.tif. However, as Δ2 is close to the resonant point, the splitting distance between |G2++〉 and |G1−〉 is image file: c5ra05607a-t25.tif due to the dressing effect from E1 and E2. So, the delay of the FL signal is longer at Δ2 = 0, as shown in Fig. 4(b). For the FL signal spectra, first of all, at the zero delay stage, the spectrum of the FL signal is suppressed by E1, and the dressing effect of E2 can be neglected as Δ2 is far away from the resonant point, as shown by the first curve in Fig. 4(c1) and (c5). If Δ2 is tuned close to the resonant point, the lineshape of the FL signal is switched from the suppressed dip (the first curve in Fig. 4(c1)) to the emission peak of the SP-FWM signal (the first curve in Fig. 4(c3)), due to the dressing effect of E2 (|G2|2/d12 in eqn (1)). Secondly, at the adiabatic population transition stage, the spectrum of the FL signal shows AT-like splitting due to the self-dressing effect of E1 (|G1|2/d1 and |G1|2/d21 in eqn (1)), as shown by the fourth curve in Fig. 4(c1), when Δ2 is far away from the resonant region. However, at Δ2 = 0, the FL signal is completely suppressed due to the dressing effect of E1 (|G1|2/d1 and |G1|2/d21 in eqn (1)) and E2 (|G2|2/d2 and |G2|2/d12 in eqn (1)) together, as shown by the fourth curve in Fig. 4(c3). Thirdly, at the spontaneous radiation stage, the pump probability of E2 (|G2|2/Γ00) becomes larger if Δ2 is tuned to the resonant point. However, there exists a dressing effect as Δ2 = 0 so the intensity of FL signal decreases as shown in the sixth curve in Fig. 4(c3).


image file: c5ra05607a-f4.tif
Fig. 4 Measured lifetime of the FL signal with Δ2 being −300, −200, −100, 0, 100, 200, 300 GHz from top to bottom respectively. (a) Δ1 = −300 GHz. (b) Δ1 = 0, P1 = 5 mW. (c1)–(c5) Intensity of FL versus Δ1, Δ2 = −300, −100, 0, 100, 300 GHz, respectively, P2 = 9 mW.

So far, we have shown that the delay of the fluorescence lifetime process of Pr3+:YSO in a V-type three level system can be all-optically controlled. Such controllable processes can be extended to any multi-level system. Fig. 5(a) shows the delay of the FL5 lifetime in an N-type level system. The delay of the FL5 lifetime is obviously decayed if Δ1 is tuned to the resonant point, as shown in Fig. 5(a2), compared with the FL4 lifetime in Fig. 5(a1) at Δ1 = −300 GHz. The reason is that, due to the dressing effect of E2 and E3, the FL5 delay is ∼550 μs, as shown in Fig. 5(a1). While if Δ1 is tuned to the resonant point, the dressing effect will be increased and the delay of the FL5 signal becomes ∼800 μs. At the zero delay stage, there exists only the SP-FWM signal due to the strong dressing effect of E1, E2 and E3, and the intensity of the FL5 signal is completely suppressed as shown by the third and fourth curves in Fig. 5(b). The slope of the lifetime curve of the SP-FWM signal is larger at Δ1 = 0 than the slope at Δ1 = 300 GHz, as shown in Fig. 5(a). At the other stage, the FL5 signal shows the same characteristics as those in Fig. 3 or 4.


image file: c5ra05607a-f5.tif
Fig. 5 (a) Measured lifetime of the FL signal. (a1) Δ1 = −300 GHz. (a2) Δ1 = 0, P1 = 5 mW, P2 = 7 mW, P3 = 5 mW. (b) Intensity of FL versus Δ1, Δ2 = Δ3 = 0.

4. Conclusion

In summary, we have shown the multi-dressing time delayed FL processes in a Pr3+:YSO crystal, which have been investigated both theoretically and experimentally. The decay process of a strong SP-FWM signal is observed at the zero delay, while the FL signal decays after a longer delay time. For FL processes in the time domain, there are four stages, e.g., the photoexcitation stage, the zero delay stage, the adiabatic population transition stage and the spontaneous radiation stage. The time delay of FL processes depends on the distance of AT-splitting between dark states due the dressing effect. The splitting distance increases if laser power increases, and the time delay will become larger and larger. Specially, there exists competition exists between FL and SP-FWM at the zero delay stage, which can be controlled by utilizing dressing effects through adjusting the power or detuning of pump fields. The FL signal is delayed and the SP-FWM can be distinguished from the composite channel in the time domain. Such research can be applied in optical information storage and processing on photonic chips in the future.

Acknowledgements

This work was supported by the 973 Program (2012CB921804), the National Natural Science Foundation of China (11474228, 61308015, 61205112), and KSTIT of Shaanxi Province (2014KCT-10).

References

  1. M. Xiao, Y. Q. Li, S. Z. Jin and J. Gea-Banacloche, Phys. Rev. Lett., 1995, 74, 666–669 CrossRef CAS.
  2. M. Kash, et al., Phys. Rev. Lett., 1999, 82, 5229–5232 CrossRef CAS.
  3. B. S. Ham, M. S. Shahriar and P. R. Hemmer, Opt. Lett., 1997, 22, 1138–1140 CrossRef CAS.
  4. H. Goto and K. Ichimura, Phys. Rev. A, 2007, 75, 033404 CrossRef.
  5. A. Turukhin, V. Sudarshanam, M. Shahriar, J. Musser, B. Ham and P. Hemmer, Phys. Rev. Lett., 2002, 88, 023602 CrossRef CAS.
  6. J. Longdell, E. Fraval, M. Sellars and N. Manson, Phys. Rev. Lett., 2005, 95, 063601 CrossRef CAS.
  7. F. Beil, J. Klein, G. Nikoghosyan and T. Halfmann, J. Phys. B: At. Mol. Phys., 2008, 41, 074001 CrossRef.
  8. H. Wang, A. Li, D. Du, Y. Fan, L. Wang, Z. Kang, Y. Jiang, J. Wu and J. Gao, Appl. Phys. Lett., 2008, 93, 221112 CrossRef PubMed.
  9. M. Sabooni, Q. Li, L. Rippe, R. K. Mohan and S. Kröll, Phys. Rev. Lett., 2013, 111, 183602 CrossRef.
  10. C. B. Li, L. L. Wang, H. B. Zheng, H. Y. Lan, C. J. Lei, D. Zhang, M. Xiao and Y. P. Zhang, Appl. Phys. Lett., 2014, 104, 051912 CrossRef PubMed.
  11. H. Zhang, L. Wang, L. Zhang, C. Li, L. Xiao, J. Zhao and S. T. Jia, Phys. Rev. A, 2013, 87, 033405 CrossRef.
  12. M. S. Safronova, U. I. Safronova and S. G. Porsev, Phys. Rev. A, 2013, 87, 032513 CrossRef.
  13. B. A. Maximov, Y. A. Charitonov, V. V. Ilyikhin and N. B. Belov, Dokl. Akad. Nauk SSSR, 1968, 183, 1072 Search PubMed.
  14. D. Zhang, H. Lan, C. Li, H. Zheng, C. Lei, R. Wang, I. Metlo and Y. Zhang, J. Phys. Chem. C, 2014, 118, 14521 CAS.

This journal is © The Royal Society of Chemistry 2015
Click here to see how this site uses Cookies. View our privacy policy here.