General approach to a spiro indole-3,1′-naphthalene tetracyclic system: stereoselective pseudo four-component reaction of isatins and cyclic ketones with two molecules of malononitrile

M. N. Elinson*a, A. N. Vereshchagina, R. F. Nasybullina, S. I. Bobrovskya, A. I. Ilovaiskya, V. M. Merkulovaa, I. S. Bushmarinovb and M. P. Egorova
aN. D. Zelinsky Institute of Organic Chemistry, Leninsky prospect 47, 119991 Moscow, Russia. E-mail: elinson@ioc.ac.ru
bA. N. Nesmeyanov Institute of Organoelement Compounds, Vavilova str. 28, 119991 Moscow, Russia

Received 25th February 2015 , Accepted 29th May 2015

First published on 1st June 2015


Abstract

A new type of catalytic stereoselective cascade pseudo four-component reaction was discovered. The simple and facile pseudo four-component reaction of isatins, cyclic ketones with two molecules of malononitrile catalyzed by triethylamine at ambient temperature stereoselectively results in the formation of tetracyclic spirooxindoles in 60–90% yields. Thus, a new simple and efficient ‘one-pot’ method to synthesize substituted spirooxindoles was found directly from reasonable starting compounds. Unique stereoselectivety was achieved on two or three centers in this pseudo four-component reaction.


Introduction

Multicomponent reactions (MCRs) have emerged as an efficient tool for modern organic synthesis by virtue of their convergence, productivity, facile execution, and generation of highly diverse and complex products from easily available starting materials in a single operation.1

MCRs are also convenient processes for the rapid generation of complex molecules with biologically relevant scaffold structures from three or more simple starting molecules.2

The MCRs protocol has significant advantages compare to conventional reactions in several aspects including lower costs, shorter reaction times, high degree of atom economy, and environmental friendliness. Therefore, the exploration of new MCRs is of a substantial interest in organic, combinatorial and medicinal chemistry.3–5

The heterocyclic spirooxindole ring system is a widely distributed structural framework in a number of pharmaceuticals and natural products,6 including cytostatic alkaloids such as spirotryprostatins A,7 B8 and stychnophylline.9 The unique molecular architecture and remarkable pharmacological activity have claimed the spirooxindoles and their derivatives attractive synthetic targets.10–13

Among either carbocycles or heterocycles fused with a spirooxindole moiety, the spiro[indole-3,1′-naphthalene]s are of particular interest, as they are an inhibitors of histone methyltransferase Pr-Set7 and applied in prevention and treatment of cancers and lifestyle-related diseases.14

To the best of our knowledge, only two methods of synthesis of spirooxindoles with fused cyclohexane ring have been reported so far.15,16 Both of them employ two-component condensation of isatylidene malononitriles and α,α-dicyanocycloalkenes catalyzed by various organic bases. Although it proceeds in one reaction step, the preliminary synthesis of Knoevenagel adducts is still required, which implies two extra steps in preparation of target spirooxindoles. Moreover, flash chromatography is needed for purification of desired products.16 In addition, the techniques mentioned above utilize only carbocyclic ketones, which markedly limit the scope of the reaction. Thus, the known procedures have their merits, but the essence of facile and convenient pseudo four-component methodology of synthesis of spirooxindoles from isatins and cyclic ketones and two molecules of malononitrile should be developed.

Results and discussion

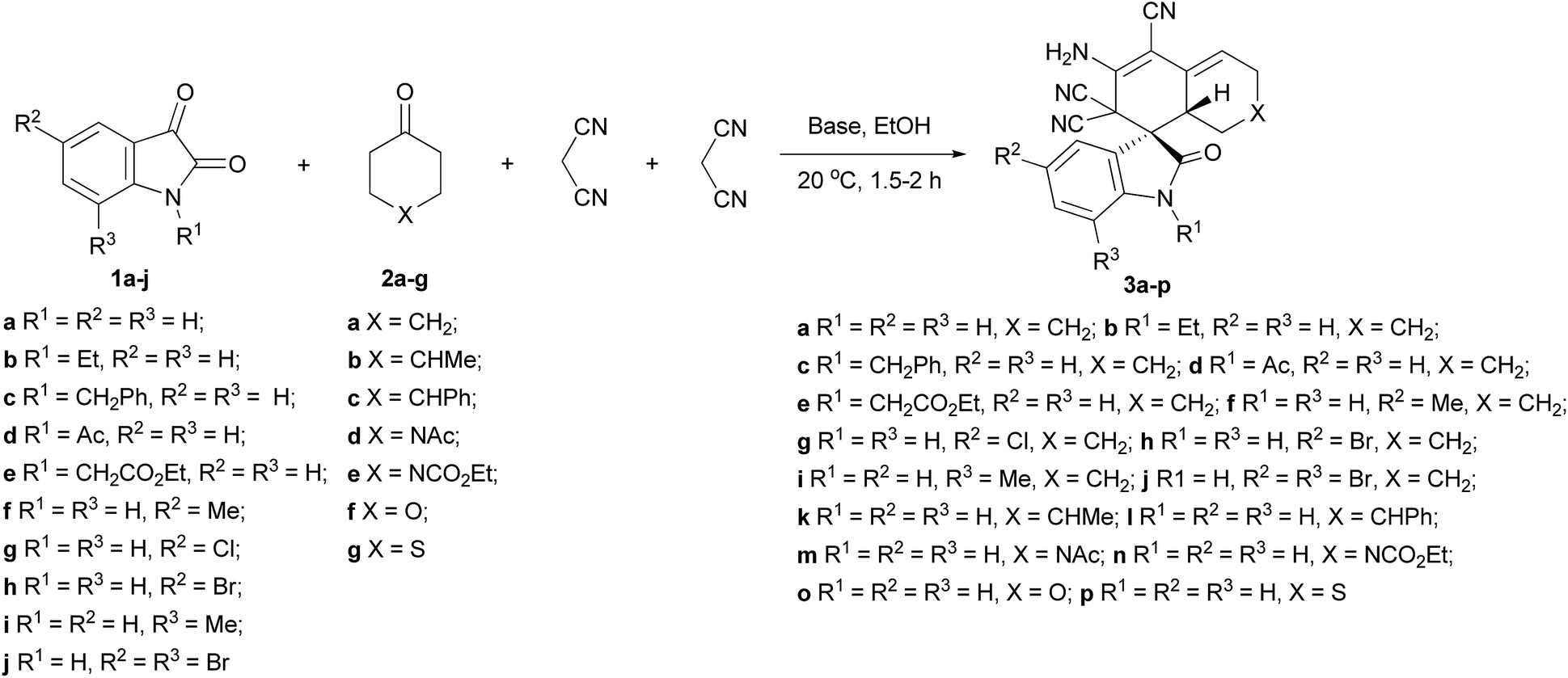
In the present study, we report a novel method for synthesis of spirooxindole systems via one-pot pseudo four-component condensation of isatins 1a–j, cyclic ketones 2a–g and two equivalents of malononitrile in the presence of base catalysts at ambient temperature (Scheme 1, Table 1 and 2).
image file: c5ra03452c-s1.tif
Scheme 1 One-pot multicomponent transformation of isatins 1a–j, cyclic ketones 2a–g and two equivalents of malononitrile into spirooxindoles 3a–p.
Table 1 Multicomponent transformation of isatin 1a, cyclohexanone 2a and two equivalents of malononitrile into spiro[indole-3,1′-naphtalene]-2′,2′,4′-tricarbonitrile 3aa
Entry Solvent Base Quantity of base (mmol) Time (h) Yield of 3ab (%)
a Isatin 1a (1 mmol), cyclohexanone 2a (1 mmol), malononitrile (2 mmol), EtOH (3 mL), 20 °C.b Isolated yield.c 60 °C.
1 MeOH NaOAc 0.1 1.5
2 MeOH NaOAc 0.1 3 45
3 EtOH NaOAc 0.1 3 53
4 EtOH NaOAc 0.2 3 61
5 EtOH NaOAc 0.2 12 63
6 EtOH NH4OAc 0.2 3 59
7 EtOH NaOH 0.1 3 30
8 EtOH DBU 0.1 3 35
9 EtOH NEt3 0.1 1.5 65
10 EtOH NEt3 0.2 1.5 85
11 EtOHc NEt3 0.2 1.5 41
12 n-PrOH NEt3 0.2 1.5 73


Table 2 Multicomponent transformation of isatins 1a–j, cyclic ketones 2a–g and two equivalents of malononitrile into spirooxindoles 3a–pa
Entry Isatin Cyclic ketone Time (h) Product, yieldb (%)
a Isatin 1 (1 mmol), cyclic ketone 2 (1 mmol), malononitrile (2 mmol), NEt3 (0.2 mmol), EtOH (3 mL), 20 °C.b Isolated yield.
1 1a 2a 1.5 3a, 85
2 1b 2a 1.5 3b, 86
3 1c 2a 1.5 3c, 90
4 1d 2a 1.5 3d, 65
5 1e 2a 1.5 3e, 62
6 1f 2a 1.5 3f, 68
7 1g 2a 2 3g, 61
8 1h 2a 2 3h, 63
9 1i 2a 2 3i, 60
10 1j 2a 2 3j, 81
11 1a 2b 2 3k, 68
12 1a 2c 1.5 3l, 72
13 1a 2d 1.5 3m, 66
14 1a 2e 1.5 3n, 60
15 1a 2f 2 3o, 73
16 1a 2g 2 3p, 77


In order to find optimal conditions, the one-pot pseudo four-component transformation of isatin 1a, cyclohexanone 2a and two equivalents of malononitrile was selected as a model reaction. The results are summarized in Table 1.

First, this process was performed in alcohols at ambient temperature in the presence of NaOAc as catalyst (Table 1, entries 1–5). Only Knoevenagel adducts were observed in the reaction mixture within 1.5 h (Table 1, entry 1). After doubling the reaction time (3 h) we obtained the spiro[indole-3,1′-naphthalene]-2′,2′,4′-tricarbonitrile 3a in moderate 45% yield (Table 1, entry 2). Replacement of MeOH with much more appropriate EtOH allowed us to afford 3a in 53% yield (Table 1, entry 3), so the latter turned out to be the solvent of choice and was further used for catalyst screening. We examined various bases, such as NH4OAc, NaOH, and DBU (Table 1, entries 6–8). It was found that NH4OAc had no significant influence on outcome of the reaction, while in the case of NaOH and DBU the process performed poorly. Nevertheless, the most dramatic improvement was achieved when the catalyst was switched to NEt3 (Table 1, entries 8,9). The one-pot multicomponent transformation of isatin 1a, cyclohexanone 2a and malononitrile proceeded smoothly and 3a was obtained in good 82% yield (Table 1, entry 9).

Under the optimal catalytic conditions [i.e. ethanol as solvent, NEt3 as catalyst 20 °C and 1.5 h reaction time] isatins 1a–j, cyclic ketones 2a–g and two equivalents of malononitrile were transformed into corresponding substituted tetracyclic spirooxindoles 3a–p in 60–90% yields (Table 2).

The developed multicomponent technique proved to be general, since good to excellent yields (60–90%) of tetracyclic spirooxindoles 3a–p were observed in all the cases. The reaction proceeded smoothly with cyclohexanone and substituted cyclohexanones. N-substituted piperidin-4-ones reacted properly as well (Table 2, entries 11–14). Further involving of tetrahydro-4H-pyran-4-one 2f and tetrahydro-4H-thiopyran-4-one 2g into the process allowed to afford corresponding spiro compounds 3o and 3p in 73% and 77% yield respectively (Table 1, entries 15–16).

Spirooxindoles 3a–j, m–p have two and spiroxindoles 3k,l three asymmetric centers, but in the NMR spectra of all these compounds only a single set of signals was identified. Thus, in all cases the individual diastereoisomer was isolated.

The cis relationship of the carbonyl group and proton at tert-C atom in bicyclic system is characteristic and preferable for the compounds of such type as was established earlier.15,17 Thus, (3R*,8a′R*)-configuration was assigned for spirooxindoles 3a–j, m–p. To confirm the suggested structure for spirooxindoles, single crystals of 3a were crystallized from ethanol. X-Ray diffraction analysis unambiguously supports outlined on Fig. 1 (3R*,8a′R*)-configuration.


image file: c5ra03452c-f1.tif
Fig. 1 The general view of 3a in crystal. Atoms are represented by thermal displacement ellipsoids (p = 50%).

The cis position of two protons at tert-C atoms between CH2 fragment in bicyclic system for spiroxindoles 3k,l was assigned based on the NOESY correlation of these protons (Fig. 2).


image file: c5ra03452c-f2.tif
Fig. 2 NOESY interactions for 3k,l.

Thus, (3R*,7′R*,8a′R*) configuration was assigned for spiroxindoles 3k,l.

With the above results taken into account and the mechanistic data on multicomponent transformations of isatins and C–H acids,18–23 the following mechanism for the one-pot pseudo four component condensation of isatins 1, cyclic ketones 2 and two equivalents of malononitrile in the presence of triethylamine at ambient temperature was proposed (Scheme 2).


image file: c5ra03452c-s2.tif
Scheme 2 Mechanism of multicomponent transformation of isatins 1, cyclic ketones 2 and two equivalents of malononitrile into spirooxindoles 3.

The first step of this multicomponent process begins with base induced Knoevenagel condensation of isatin 1 and malononitrile with the formation of isatilidenemalononitrile 4 (Scheme 2). Another equivalent of malononitrile simultaneously reacts with cyclic ketone affording adduct 5 (Scheme 2). Then, by the action of NEt3 cyclic adduct 5 forms anion A, which attacks activated double bond of isatilidenemalononitrile 4 with further cyclization into anion C. The latter interacts with malononitrile providing spirooxindole 3 with the regeneration of malononitrile anion to continue the catalytic cycle.

Conclusion

The new simple catalytic pseudo four component process can produce an effective stereoselective transformation of isatins, cyclic ketones and two equivalents of malononitrile into spirooxindole frameworks in 60–90% yields. This novel catalytic pseudo four-component process offers a facile and convenient way to create substituted medicinally relevant spirooxindoles and spiroindole-3,1′-naphthalenes – the approved basis for the generation of molecule ligands with different biomedical properties. The developed catalytic multicomponent procedure utilizes simple equipment, and requires reasonable starting materials. It is easily carried out, the reaction products were isolated by an easy work-up procedure, and do not need any further purification steps. The application of this convenient multicomponent method is also beneficial from the viewpoint of diversity-oriented large-scale processes.

Acknowledgements

The authors gratefully acknowledge the financial support of the Presidential Scholarship Program for the State Support of young Russian scientists – PhD (project no. MK-899.2014.3).

Notes and references

  1. (a) R. V. A. Orru and M. de Greef, Synthesis, 2003, 1471 CrossRef CAS PubMed ; (b) M. A. Mironov, QSAR Comb. Sci., 2006, 25, 423 CrossRef CAS PubMed .
  2. (a) L. Weber, Drug Discovery Today, 2002, 7, 143–147 CrossRef CAS ; (b) A. Dömling, Curr. Opin. Chem. Biol., 2002, 6, 306 CrossRef .
  3. A. Dömling, W. Wang and K. Wang, Chem. Rev., 2012, 112, 3083 CrossRef PubMed .
  4. P. Slobbe, E. Ruijte and R. V. A. Orru, MedChemComm, 2012, 3, 1189 RSC .
  5. C. de Graaff, E. Ruijte and R. V. A. Orru, Chem. Soc. Rev., 2012, 41, 3969 RSC .
  6. R. M. Williams and R. J. Cox, Acc. Chem. Res., 2003, 36, 127 CrossRef CAS PubMed .
  7. C. B. Cui, H. Kakeya and H. Osada, Tetrahedron, 1996, 52, 12651 CrossRef CAS .
  8. C. B. Cui, H. Kakeya and H. Osada, J. Antibiot., 1996, 49, 832 CrossRef CAS .
  9. J. Leclercq, M. C. de Pauw-Gillet, R. Bassleer and L. Angenot, J. Ethnopharmacol., 1986, 15, 305 CrossRef CAS .
  10. P. B. Alper, C. Meyers, A. Lerchner, D. R. Siegel and E. M. Carreira, Angew. Chem., Int. Ed., 1999, 38, 3186 CrossRef CAS .
  11. C. V. Galliford and K. A. Scheidt, Angew. Chem., Int. Ed., 2007, 46, 8748 CrossRef CAS PubMed .
  12. W.-B. Chen, Z.-J. Wu, Q.-L. Cun, X.-M. Zhang and W.-C. Yuan, Org. Lett., 2010, 12, 2132 CrossRef PubMed .
  13. M. Xia and R.-Z. Ma, J. Heterocycl. Chem., 2014, 51, 539 CrossRef CAS PubMed .
  14. K. Tatsuhiko, T. Toshiya, K. Takeshi, W. Yoichiro, S. Akira and F. Yoshifumi, Pr-set7 inhibitor, WO2011010715 A1, 27 January 2011 .
  15. T. H. Babu, A. A. Joseph, D. Muralidharan and P. T. Perumal, Tetrahedron Lett., 2012, 51, 994 CrossRef PubMed .
  16. X.-F. Huang, Y.-F. Zhang, Z.-H. Qi, N.-K. Li, Z.-C. Geng, K. Li and X.-W. Wang, Org. Biomol. Chem., 2014, 12, 4372 CAS .
  17. T. H. Babu, K. Karthik and P. T. Perumal, Synlett, 2010, 1128 CAS .
  18. M. N. Elinson, A. I. Ilovaisky, V. M. Merkulova, F. Barba and B. Batanero, Tetrahedron, 2013, 69, 7125 CrossRef CAS PubMed .
  19. M. N. Elinson, A. I. Ilovaisky, A. S. Dorofeev, V. M. Merkulova, N. O. Stepanov, F. M. Miloserdov, Y. N. Ogibin and G. I. Nikishin, Tetrahedron, 2007, 63, 10543 CrossRef CAS PubMed .
  20. M. N. Elinson, A. I. Ilovaisky, V. M. Merkulova, D. V. Demchuk, P. A. Belyakov, Y. N. Ogibin and G. I. Nikishin, Electrochim. Acta, 2008, 53, 8346 CrossRef CAS PubMed .
  21. M. N. Elinson, A. S. Dorofeev, F. M. Miloserdov and G. I. Nikishin, Mol. Diversity, 2009, 13, 47 CrossRef CAS PubMed .
  22. M. N. Elinson, V. M. Merkulova, A. I. Ilovaisky, D. V. Demchuk, P. A. Belyakov and G. I. Nikishin, Mol. Diversity, 2010, 14, 833 CrossRef CAS PubMed .
  23. M. N. Elinson, A. I. Ilovaisky, V. M. Merkulova, T. A. Zaimovskaya and G. I. Nikishin, Mendeleev Commun., 2012, 22, 143 CrossRef CAS PubMed .

Footnote

Electronic supplementary information (ESI) available: Full characteristics of the new compounds, copies of 1H, 13C, IR-spectra for selected compounds, and X-ray details. CCDC 1050772. For ESI and crystallographic data in CIF or other electronic format see DOI: 10.1039/c5ra03452c

This journal is © The Royal Society of Chemistry 2015
Click here to see how this site uses Cookies. View our privacy policy here.