Development and validation of a gas chromatography-mass spectrometry method for determination of sterol oxidation products in edible oils

Yinzhou Hua, Guoliang Yangb, Weisu Huangc, Shiyun Laib, Yiping Rend, Baifen Huangd, Liangxiao Zhange, Peiwu Lie and Baiyi Lu*a
aZhejiang University, College of Biosystems Engineering and Food Science, Fuli Institute of Food Science, Zhejiang Key Laboratory for Agro-Food Processing, Zhejiang R & D Center for Food Technology and Equipment, Key Laboratory for Agro-Food Risk Assessment of Minstry of Agriculture, Hangzhou 310058, China. E-mail: bylu@zju.edu.cn
bBeingmate Baby & Child Food Co., Ltd., Hangzhou 311188, China
cZhejiang Economic & Trade Polytechnic, Department of Applied Technology, Hangzhou 310018, China
dZhejiang Provincial Centre for Disease Prevention and Control, Hangzhou 310051, China
eOil Crops Research Institute of the Chinese Academy of Agricultural Sciences, Wuhan 430062, China

Received 12th February 2015 , Accepted 30th April 2015

First published on 1st May 2015


Abstract

An efficient gas chromatography-mass spectrometry method was developed and validated for determination of sterol oxidation products (SOPs) in edible oils. The sample preparation involved cold saponification, liquid–liquid extraction, solid-phase extraction on a silica gel cartridge, and trimethylsilylation by N-methyl-N-(trimethylsilyl) heptafluorobutyramide with 5% 1-methyl imidazole. The trimethylsilyl ether derivatives of SOPs were separated by gas chromatography with a 30 m DB-5MS capillary column and quantified by a mass spectrometer in selective ion monitoring mode. 5α-Cholestane and 19-hydroxycholesterol were used as dual internal standards. The calibration curves for each compound showed correlation coefficients (R2) better than 0.98. The detection limits were below 12.9 ng mL−1 (except for epoxides). The intra- and inter-day determination precisions for diversiform SOPs were <10% in relative standard deviations; the recoveries ranged within 89.72% and 117.42%. The developed approach was successfully applied to study the presence of thirty-four different SOPs present at low levels in camellia, olive, sesame, peanut, rapeseed, rice bran, soybean and corn oils.


1. Introduction

Sterols, including cholesterol and phytosterols, are important functional components in fats and oils. Cholesterol is the main sterol in animals, whereas phytosterols are generally present in plants. Given their inherent molecular structure, sterols are vulnerable to oxidation and transform into sterol oxidation products (SOPs).1,2 Studies have revealed these compounds in fried potato products,3,4 vegetable oils5,6 and oils recovered from exhausted bleached earth,7 with a total content of 1.5–68.8 μg g−1 fat, 102.4–196.26 (rapeseed oil) μg g−1 oil, and 20–30 μg g−1 oil, respectively. Among the SOPs reported, the main compounds identified were 7α/7β-hydroxysterol, 5α,6α/5β,6β-epoxysterol, 7-ketosterol, and triols (Fig. 1).
image file: c5ra02795k-f1.tif
Fig. 1 The chemical structure of the main sterols, their oxidation products and TMS derivatives.

SOPs have stronger pathological and toxic effects compared with unoxidized sterols. A number of cholesterol oxidation products (COPs) exhibit cytotoxicity,8 apoptotic effect,9 pro-inflammatory effects,10 and atherosclerosis properties,11 where others have the ability to modulate the cholesterol metabolism.12 The presence of phytosterol oxidation products (POPs) in food and their biological effects have been less studied than COPs.13,14 However, given their structural similarity to COPs, POPs have been indicated to exert adverse biological effects similar to their cholesterol counterparts.2,15 Therefore, excessive intake of food containing SOPs poses harmful effects to the human body.

Determination of SOPs is challenging because of their low levels in the lipid fraction of food and biological matrices.7,16 The current analyses on SOPs are based on the methods developed for COPs and POPs, which are performed by GC, GC-MS, HPLC, or HPLC-MS. For instance, Sarojini applied coupled capillary column GC and GC-MS methods to assess sterol oxidation in oils recovered from exhausted bleaching earth,7 whereas Kemmo proposed a LC-MS method for determination of POPs in complex mixtures.17 These methods provide a feasible approach to quantify SOPs; however, validated methods for SOPs are yet to be established.7,18 Moreover, no commercial standard compound of POPs is available, which hinders the accurate determination of SOPs.

Among the various analytical platforms, GC-MS has become the preferred analytical method for the determination of SOPs in low amount because it allows for sensitive and simultaneous identification and quantification, thereby overcoming the problem of matrix interference.19 Before separation by GC, a chemical process is necessary to modify the compounds to generate new products with better chromatographic properties. Trimethylsilylation is the most prevalent derivatization technique used in quantitative detection of SOPs (Fig. 1). The common reagents used are N-methyl-N-(tert-butyldimethylsilyl) trifluoroacetamide (MTBSTFA), N-methyl-N-(tri-methylsilyl) trifluoroacetamide (MSTFA), trimethylsulphonium hydroxide (TMSH), N,O-bis-(trimethylsilyl) acetamide (BSA), N-methyl-bis-(trifluoro-acetamide) (MBTFA), N-trimethylsilyl-imidazole (TSIM), trimethylchlorosilane (TMCS), hexa-methyldisilazane (HMDS), and N,O-bis(trimethylsilyl) trifluoroacetamide (BSTFA), the last two reagents are used most frequently.

This study aims to develop a GC-MS method with optimized chemical derivatization for the determination of SOP profiles in all kinds of oils. The applicability and specificity of this method is validated using the standard compounds of COPs and sitosterol oxidation products. The developed approach is applied for determination of SOP profiles in camellia, olive, sesame, peanut, rapeseed, rice bran, soybean and corn oils.

2. Experimental

2.1. Standards and reagents

Stigmasterol (St), β-sitosterol (S), campesterol (Cam), brassicasterol (B), cholesterol (C), 7α-hydroxycholesterol (7α-HC), 7β-hydroxycholesterol (7β-HC), 7-ketocholesterol (7-KC), 5α,6α-epoxycholesterol (α-EC), 5β,6β-epoxycholesterol (β-EC), cholestanetriol (TC), 19-hydroxycholesterol (19-HC), and 5α-cholestane were purchased from Sigma-Aldrich. The derivatization reagents used were as follows: N-methyl-N-(trimethylsilyl) heptafluorobutyramide (MSHFBA), 1-methyl imidazole (1-MIM), MTBSTFA, MSTFA, TMSH, BSA, MBTFA, TSIM, TMCS, HMDS, and BSTFA, which were ordered from Sigma-Aldrich. Acetone, diethyl ether, dichloromethane, n-hexane, and ethanol were obtained from Merck & Co, Inc.

2.2. Sample preparation

2.2.1. Synthesis of POPs. Given that POP standards are not commercially available, 6β-hydroxysitosterol (6β-HS), 7-ketositosterol (7-KS), stigmastane-3β,5α,6β-triol (TS), 7α/7β-hydroxysitosterol (7α/7β-HS), and 5α,6α/5β,6β-epoxysitosterol (α/β-ES) were synthesized based on previous reports.20–22 The oxidation products of stigmasterol, campesterol, and brassicasterol were obtained from corresponding sterol standards heated at 150 °C for 2 h, followed by purification and concentration.1,23 The obtained SOPs were stocked at −4 °C as solutions and used for validation purposes.
2.2.2. Cold saponification. Saponification step was used to eliminate disturbance of triglycerides and release the sterol and their oxides from esterification forms. Cold saponification of oil sample (approximately 250 mg) was performed according to the method described by Azadmard-Damirchi et al.24 In brief, 10 mL of KOH (1 M) in 95% ethanol was added to the oil sample previously dissolved in 3 mL of dichloromethane. 100 μL of 5 μg mL−1 19-HC was added as internal standard (Internal standard I, used to correct the deviation of pretreatment), respectively. The mixture was mixed well and shaken for 18 h in the dark at room temperature. Approximately 10 mL of dichloromethane and 7 mL of water were then added, and the mixture was shaken vigorously to extract the unsaponifiable fraction containing the SOPs along with unoxidized sterols. After the removal of the aqueous phase, the organic phase was washed repeatedly with water until the solution became clear. The organic phase was evaporated under a stream of nitrogen and the residue was redissolved in 5 mL of n-hexane.
2.2.3. SPE purification. A single-step SPE method with sample extracts after the cold saponification was optimized. The unsaponifiable fraction was applied to silica SPE cartridges (ProElut Slica 500 mg/6 mL, Dikma, China) previously equilibrated with 5 mL of hexane. Based on the polarity properties of impurities and SOPs, the majority of less polar compounds such as fatty glycerides were eluted with a weak-polar solvent system, 10 mL of n-hexane/diethyl ether (9[thin space (1/6-em)]:[thin space (1/6-em)]1, v/v). The stripping of the retained sterols and SOPs from the cartridge was investigated using a series of n-hexane/diethyl ether solutions with increasing polarity (10 mL of n-hexane/diethyl ether solvent mixture with v/v ratio of 9[thin space (1/6-em)]:[thin space (1/6-em)]1, 8[thin space (1/6-em)]:[thin space (1/6-em)]2, 7[thin space (1/6-em)]:[thin space (1/6-em)]3, 6[thin space (1/6-em)]:[thin space (1/6-em)]4, and 5[thin space (1/6-em)]:[thin space (1/6-em)]5). The retained sterols and SOPs were eluted from the SPE cartridge with 10 mL of acetone, and then investigated with the optimal method described in Sections 2.2.4 and 2.3.
2.2.4. Derivatization protocols. Standard stock solutions for the comparison of derivatization protocols were prepared in acetone at concentrations of 10 μg mL−1. Exactly 100 μL of stock solutions of each reference substance (or SOPs obtained by Section 2.2.3 for analysis of practical samples) were combined with an equal volume of 5 μg mL−1 5α-cholestane (Internal standard II, used to adjust the errors of MS detector), dried under a stream of nitrogen, and subjected to the derivatization procedures described in Table 1. Reaction parameters for the initial screening, e.g. solvent, volume ratios, incubation temperature, and incubation time, were based on previous.1,3,7,25–29 The trimethylsilyl ether (TMSE) derivatives obtained (except for TMSE obtained by MSHFBA–1-MIM) were evaporated with nitrogen and redissolved in 100 μL of n-hexane prior to quadrupole GC-electron impact ionization (EI)-MS analysis. All procedures were carried out with at least three replications. Relative response factor (RRF), the percentage of maximum molar response ratio of each main derivative monitored by quadrupole GC-EI-MS in scan ion monitoring mode, was selected as the parameter for comparison.
Table 1 Derivative agent and derivative conditions
No. Solvent Volume (μL) Temperature (°C) Time (min) References
1 MSTFA 100 90 30 25
2 BSTFA–TMCS 99[thin space (1/6-em)]:[thin space (1/6-em)]1 (v/v) 100 60 60 26
3 BSTFA–TMCS 99[thin space (1/6-em)]:[thin space (1/6-em)]1 (v/v) 100 25 Overnight 3, 27 and 28
4 MSHFBA–1-MIM 95[thin space (1/6-em)]:[thin space (1/6-em)]5(v/v) 100 90 30  
5 BSA–TSIM–TMCS 1[thin space (1/6-em)]:[thin space (1/6-em)]1[thin space (1/6-em)]:[thin space (1/6-em)]1(v/v/v) 100 65 45 7
6 HMDS–TMCS–pyridine 2[thin space (1/6-em)]:[thin space (1/6-em)]1[thin space (1/6-em)]:[thin space (1/6-em)]3 (v/v/v) 100 90 90 29
7 HMDS–TMCS–pyridine 2[thin space (1/6-em)]:[thin space (1/6-em)]1[thin space (1/6-em)]:[thin space (1/6-em)]5 (v/v/v) 100 40 20 1


The MSHFBA protocol was further optimized because of higher sensitivity in the EI-MS mode. Analysis of volume ratios, incubation time, and incubation temperature with improved performance were carried out with the stock solutions as described previously. The samples were dried under a stream of nitrogen and incubated in a series of 100 μL MSHFBA–1-MIM solutions with different volume ratios (100[thin space (1/6-em)]:[thin space (1/6-em)]0, 95[thin space (1/6-em)]:[thin space (1/6-em)]5, 90[thin space (1/6-em)]:[thin space (1/6-em)]10, 85[thin space (1/6-em)]:[thin space (1/6-em)]15, and 80[thin space (1/6-em)]:[thin space (1/6-em)]20) prior to quadrupole GC-EI-MS analysis. Incubation was performed at 25, 50, 75, 100 and 125 °C for 5, 10, 20, 25, 30, 45 and 60 min. Experiments with nine repeated injections were also performed in the course of 10 h with a reference mixture of SOPs for storage stability test. Meanwhile the insensitivity to residual water was verified at 0%, 1%, 2%, 5%, and 10% water content. All subsequent experiments were performed with optimized conditions, namely, incubated in 100 μL MTBSTFA with 5% 1-MIN for 20 min at 75 °C.

2.3. GC-MS analyses

The GC-MS system used in the present work was a 7890A-5973N GC-MS system with quadrupole technology supplied with split/splitless injection and 7683B sample injector (Agilent Technologies, US). Identification was supported by a comparison with the mass spectra of standard substances of COPs and sitosterol oxidation products using scan ion monitoring (m/z 50–600). The selective ion monitoring (SIM) was used for detection and quantification of SOPs. In other words, each SOP was monitored using one quantitative fragment ion and three different qualitative fragment ions in four consecutive runs for quantification and identification of the compounds. The MS data for SOPs analyzed by GC-EI-SIM-MS are listed in Table 2.
Table 2 MS data and retention time (tR) for SOPs analyzed by GC-MSa
No. Description tR Quantitative ion (relative intensity %) Qualitative ion (relative intensity %)
a C, cholesterol; B, brassicasterol; Cam, campesterol; St, stigmasterol; S, sitosterol; C, cholesterol; H stands for OH; K stands for keto; E stands for epoxy; T stands for triol.
1 5α-C 15.58 217.4(100.0) 357.4(41.9) 372.4(28.4) 262.4(7.8)
2 7α-HC 21.27 456.4(100.0) 546.5(1.1) 531.5(0.6) 441.4(1.8)
3 C 22.08 458.4(33.9) 368.4(67.8) 329.3(100.0) 353.4(39.1)
4 7α-HB 22.20 468.4(100.0) 558.5(1.7) 543.5(0.8) 453.4(1.6)
5 B 23.15 470.4(76.1) 380.3(100.0) 341.3(68.8) 365.3(44.5)
6 19-HC 23.67 353.3(100.0) 531.5(0.4) 366.3(48.9) 253.3(11.0)
7 7α-HCam 23.85 470.4(100.0) 560.5(1.4) 545.5(1.0) 455.4(3.3)
8 6β-HB 23.90 415.4(100.0) 468.4(81.2) 453.4(45.7) 543.5(21.6)
9 7α-HSt 24.32 482.4(100.0) 572.5(1.2) 557.5(0.6) 467.4(1.3)
10 7β-HC 24.75 456.4(100.0) 546.5(1.2) 531.5(0.4) 441.4(2.0)
11 β-EC 24.80 474.4(65.7) 384.4(100.0) 459.4(45.7) 445.4(16.2)
12 Cam 25.41 472.4(34.3) 382.3(77.0) 343.3(100.0) 367.3(49.1)
13 St 25.56 484.4(86.8) 394.3(100.0) 355.3(52.0) 379.3(40.3)
14 7β-HB 25.58 468.4(100.0) 558.5(4.5) 543.5(1.0) 453.4(1.3)
15 6β-HCam 25.66 417.4(100.0) 470.4(88.2) 455.4(45.7) 545.5(19.2)
16 α-EC 25.77 474.4(58.9) 384.4(100.0) 459.4(62.1) 445.4(21.5)
17 7α-HS 26.05 484.4(100.0) 574.5(1.0) 559.5(0.5) 469.4(1.7)
18 6β-HSt 26.28 429.4(100.0) 482.4(66.4) 467.4(41.2) 557.5(20.4)
19 β-EB 26.68 486.4(59.0) 396.4(100.0) 471.4(47.2) 457.4(14.9)
20 α-EB 26.94 486.4(61.2) 396.4(100.0) 471.4(49.5) 457.4(16.2)
21 S 27.30 486.4(38.8) 396.4(90.9) 357.3(100.0) 381.4(41.2)
22 7β-HCam 27.59 470.4(100.0) 560.5(1.9) 545.5(0.4) 455.4(1.3)
23 7β-HSt 27.80 482.4(100.0) 572.5(2.2) 557.5(0.5) 467.4(1.4)
24 6β-HS 28.07 431.4(100.0) 484.4(78.3) 469.4(79.2) 559.5(34.2)
25 TC 28.17 403.4(100.0) 456.4(77.6) 546.5(24.4) 441.4(26.0)
26 β-ECam 28.42 488.4(62.2) 398.4(100.0) 473.4(51.3) 459.4(15.0)
27 α-ECam 28.82 488.4(55.1) 398.4(100.0) 473.4(46.9) 459.4(14.3)
28 β-ESt 29.17 500.4(65.0) 410.4(100.0) 485.4(80.1) 471.4(15.4)
29 TB 29.31 415.4(100.0) 468.4(89.1) 558.5(80.3) 453.4(25.2)
30 α-ESt 29.55 500.4(62.9) 410.4(100.0) 485.4(65.8) 471.4(15.7)
31 7-KC 29.87 472.4(100.0) 382.4(26.6) 367.3(50.4) 457.4(15.5)
32 7β-HS 29.89 484.4(100.0) 574.5(2.3) 559.5(1.0) 469.4(2.5)
33 β-ES 30.96 502.4(57.3) 412.4(100.0) 487.4(46.7) 473.4(17.9)
34 7-KB 31.28 484.4(100.0) 394.4(16.1) 379.3(19.3) 469.4(15.2)
35 TCam 31.30 417.4(100.0) 470.4(92.0) 560.5(66.3) 455.4(26.4)
36 α-ES 31.43 502.4(57.7) 412.4(100.0) 487.4(56.3) 473.4(22.7)
37 TSt 31.93 429.4(100.0) 482.4(75.0) 572.5(51.1) 467.4(39.6)
38 7-KCam 33.07 486.4(100.0) 396.4(22.5) 381.3(58.0) 471.4(15.6)
39 TS 33.80 431.4(100.0) 484.4(75.5) 574.5(22.7) 469.4(20.8)
40 7-KSt 33.87 498.4(100.0) 408.4(47.0) 393.3(25.1) 483.4(12.1)
41 7-KS 35.73 500.4(100.0) 410.4(50.4) 395.3(27.6) 485.4(13.6)


An arylene type 5% phenyl–95% methyl polysiloxane fused-silica capillary column, DB-5MS (30 m × 0.25 mm × 0.25 μm, Agilent Technologies, USA), supplied with a 2 m guard column was chosen for testing of the different samples. Several chromatographic and mass spectrometer conditions were tested before reaching the best peak resolution and method sensitivity. The best SOP separation was attained under the following GC-MS conditions. Helium carrier gas was used at a flowrate of 1.2 mL min−1. The oven temperature was initially set at 100 °C for 1 min, then gradually raised to 200 °C at 50 °C min−1 rate, 250 °C at 20 °C min−1 rate, 300 °C at 1.5 °C min−1 rate gradually, and held for 10 min. Injection was hot splitless at 300 °C. The ion source temperature was set at 250 °C and the transfer line was at 300 °C.

2.4. Statistical analysis

All analyses were carried out in triplicate and the mean results were reported. Statistical analyses were carried out using SAS 9.3 (SAS Institute Inc., 2012).

3. Results and discussion

3.1. Optimization of SPE method

The results showed that sterols and SOPs could be completely adsorbed by the ProElut (500 mg/6 mL) silica cartridge (Fig. 1). Sterols and SOPs were stripped from the cartridge one after another with the increasing polarity of eluent. As shown in Fig. 2, 10 mL n-hexane/diethyl ether solution (7[thin space (1/6-em)]:[thin space (1/6-em)]3, v/v) could elute most of the sterols without any SOPs co-eluted, while equal volume of n-hexane/diethyl ether solution (6[thin space (1/6-em)]:[thin space (1/6-em)]4, v/v) could completely strip the sterols and parts of the 5α,6α/5β,6β-epoxy and 6-hydroxyl derivatives. Based on this observation, the n-hexane/diethyl ether (7[thin space (1/6-em)]:[thin space (1/6-em)]3, v/v) was used as the optimal solution. The SOPs were then eluted from the SPE cartridge with 10 mL of acetone.
image file: c5ra02795k-f2.tif
Fig. 2 Optimization of solution for elution on ProElut Silica solid-phase extraction cartridge. B, brassicasterol; Cam, campesterol; St, stigmasterol; S, sitosterol; C, cholesterol; H stands for OH; K stands for keto; E stands for epoxy; T stands for triol.

This result was similar to the previous report,24 which involved separation and enrichment using a single SPE (1000 mg silica) eluted by n-hexane/diethyl ether solutions with increasing diethyl ether content. Both methods are capable of separating SOPs from sterols; however, the new one is much economical and more environment friendly because it uses less silica packing and elution solvent. In addition, dry sodium sulfate was applied into the SPE prior to the analysis to remove all traces of water in the unsaponifiable extract to avoid any interference from water during the experiment.

3.2. Comparison and optimization of derivatization protocols

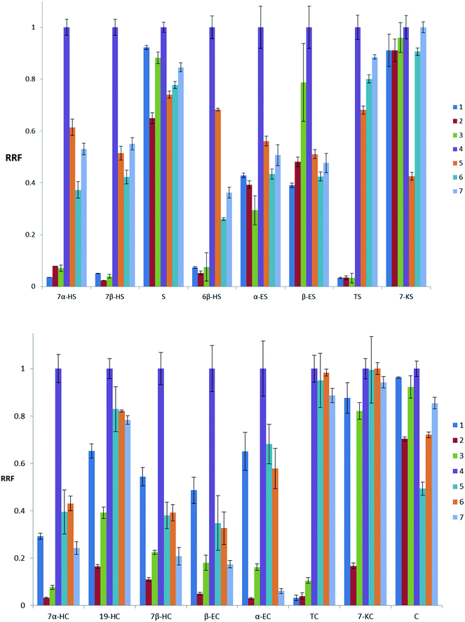
The results of the initial screening of reagents and protocols listed in Table 1 are summarized in Fig. 3. Sterols and SOPs with one hydroxyl were easily detected by all protocols; among which MSHFBA was slightly more sensitive than the others. All seven protocols generated a single main product and identical side products, except for triols. Two or three hydroxyls of triols are TMSE. The derivative reaction ratio changes under the derivatization conditions. In cases of multiple derivatives, only those with high molar response ratios are shown. MSHFBA exhibited a preference for multiple hydroxyls on steroid nucleus (7α-OH, 6β-OH, and triols) and was less prone to formation of side products. In particular, MSHFBA showed ten times the molar response ratios of the MSTFA and BSTFA–TMCS (99[thin space (1/6-em)]:[thin space (1/6-em)]1) protocols, and about double the sensitivity of the BSA–TSIM–TMCS (1[thin space (1/6-em)]:[thin space (1/6-em)]1[thin space (1/6-em)]:[thin space (1/6-em)]1) and HMDS–TMCS–pyridine (2[thin space (1/6-em)]:[thin space (1/6-em)]1[thin space (1/6-em)]:[thin space (1/6-em)]3 and 2[thin space (1/6-em)]:[thin space (1/6-em)]1[thin space (1/6-em)]:[thin space (1/6-em)]5) protocols. Furthermore, the derivatives of MSHFBA can be injected into the GC without removing the derivative agent, making the analysis much more convenient and precise.
image file: c5ra02795k-f3.tif
Fig. 3 Molar response ratios of the main derivative obtained from each reference substance. Relative response factors (RRF), defined as the % of maximum molar response ratio of each main derivative when monitored by quadrupole GC-EI-MS in total ion monitoring mode. The legends 1, 2, 3, 4, 5, 6, and 7 stand for the derivatization protocol described in Section 2.2.4, respectively. 1, MSTFA; 2, BSTFA–TMCS-99: 1–60 °C; 3, BSTFA–TMCS-99: 1(v/v)–25 °C; 4, MSHFBA–1-MIM: 95[thin space (1/6-em)]:[thin space (1/6-em)]5; 5, BSA–TSIM–TMCS-1[thin space (1/6-em)]:[thin space (1/6-em)]1[thin space (1/6-em)]:[thin space (1/6-em)]1; 6, HMDS–TMCS–pyridine-2[thin space (1/6-em)]:[thin space (1/6-em)]1[thin space (1/6-em)]:[thin space (1/6-em)]3; 7, HMDS–TMCS–pyridine 2[thin space (1/6-em)]:[thin space (1/6-em)]1[thin space (1/6-em)]:[thin space (1/6-em)]5. S, sitosterol; C, cholesterol; H stands for OH; K stands for keto; E stands for epoxy; T stands for triol.

1-MIM acts as catalyst in the MSHFBA protocol, promoting TMSE derivatization of multiple hydroxyls components. Based on the observation, 1-MIM was essential for MSHFBA protocol, in which 5% content (v/v) showed the optimal effects. Incubation temperature and time exhibited a weak influence on the reaction yield of MSHFBA with 5% 1-MIM. The overall relative standard deviation (RSD) of the storage stability test was less than 5% (n = 9), and the preparation was insensitive to 2% residual water. Our data indicated that MSHFBA with 5% 1-MIM is a sensitive, robust, and simplified derivatization scheme; the optimized method is listed in Section 2.2.4. These derivatization conditions are similar to the determination of individual and total sterol contents,30 and more applicable to SOPs with improved performance. To the best of our knowledge, no attempts have been made to investigate and compare trimethylsilyl chemical modification schemes thus far. This study is the first to use MSHFBA with 1-MIM protocol to analyze SOPs.

3.3. GC separation and mass spectrometry determination

Several chromatographic and mass spectrometer conditions were tested before reaching the best peak resolution and method sensitivity. The oven programs were run at diverse temperature rates (from 50 °C to 1.5°C min−1) to reach the final oven temperature at 300 °C. The result showed that an increase in injection temperature improves the peak resolution of SOPs, and 300 °C was obtained as the best condition that leads to the largest response area of various SOPs. The best SOP separation was attained under the GC-MS conditions indicated in Section 2.3 is shown in Fig. 4. The total analysis time was 36 min, and all SOPs were fully resolved. The elution pattern was similar to those reported for a capillary GC column with 95% dimethyl- and 5% diphenyl-polysiloxane as stationary phase: 7α-OH, 7β-OH, 6β-OH, β-epoxy, α-epoxy, triol, and 7-keto.3,19
image file: c5ra02795k-f4.tif
Fig. 4 Typical GC-MS chromatograms of a mixture of sterols and sterol oxidation products. 1, 5α-C; 2,7α-HC; 3, C; 4, 7α-HB; 5, B; 6, 19-HC; 7,7α-HCam; 8, 6β-HB; 9, 7α-HSt; 10, 7β-HC; 11, β-EC; 12, Cam; 13, St; 14, 7β-HB; 15, 6β-HCam; 16, α-EC; 17, 7α-HS; 18, 6β-HSt; 19, β-EB; 20, α-EB; 21, S; 22, 7β-HCam; 23, 7β-HSt; 24, 6β-HS; 25, TC; 26, β-ECam; 27, α-ECam; 28, β-ESt; 29,TB; 30, α-ESt; 31, 7-KC; 32, 7β-HS; 33, β-ES; 34, 7-KB; 35, TCam; 36, α-ES; 37, TSt; 38, 7-KCam; 39, TS; 40, 7- KSt; 41, 7-KS; C, cholesterol; B, brassicasterol; Cam, campesterol; St, stigmasterol; S, sitosterol; H stands for OH; K stands for keto; E stands for epoxy; T stands for triol.

Further MS information was obtained through EI-MS. SIM was employed because the SOPs in the oil samples are a complex mixture of minor compounds with a wide range of chemical structures. The principal fragments and their relative abundances are listed in Table 2. Molecular ions (M+) were observed for all COPs and sitosterol oxidation products characterized. In addition to the loss of TMSOH, a certain pattern was observed in the fragmentation of the hydroxyl derivatives of sterols, i.e., the occurrence of fragments M+–CH3, M+–TMSOH–CH3, and M+–2TMSOH. The following fragmentations were used to quantify sitosterol oxide TMSE ether derivatives: fragments at m/z 484.4 for 7α-/7β-HS, m/z 502.5 for epimers of α/β-ES, m/z 431.4 for 6β-HS and TS, and m/z 500.5 for 7-KS. Table 2 shows that the fragmentation patterns for the sitosterol oxidation products are similar to those obtained for the corresponding COPs, but 28 m/z higher. The fragments of stigmasterol, campesterol, and brassicasterol derivatives were referred to corresponding sitosterol oxidation products and COPs; their retention times were confirmed by the thermal oxidation products obtained in Section 2.2.1. These results were similar to those reported previously,1,3,15 but the coverage of SOP classes was broader than any previous single analysis.

3.4. Method validation

3.4.1. Calibration, limits of detection (LOD) and limits of quantitation (LOQ). Calibration curves were created using multiple-component samples prepared by dilution of independent stock solutions, and constructed for all compounds by plotting the ratio of the integrated SIM peak areas (area of selected compound/area of internal standard) versus the ratio of their respective concentrations. The results of calibration curves are presented in Table 3, wherein, all analytes showed good linearity (R2 > 0.981). Based on the corresponding calibration curves, the mean values obtained were in the range of 0.1–10.0 μg mL−1. The slopes of cholesterol and the COP calibration curves were constant multiples of the corresponding sitosterol and its oxidation products. The ratios of corresponding slopes are called “response factor” in the literature.1 Response factors between different phytosterols and cholesterol are used to extrapolate the POP contents without available commercial standard by the corresponding COPs. However, the response factors of individual phytosterol and cholesterol in our study were a little different from those reported previously.1 This difference may be due to the various instruments and mass spectrum patterns used in the two studies.
Table 3 Calibration curve parameters, recovery and precision for SOPs analyzed by GC-MSa
SOPs Standard curve Linear range (μg mL−1) Correlation coefficient (R2) LOD (ng mL−1) LOQ (ng mL−1) Recovery Intra-day Inter-day
High Middle Low
a C, cholesterol; B, brassicasterol; Cam, campesterol; St, stigmasterol; S, sitosterol; H stands for OH; K stands for keto; E stands for epoxy; T stands for triol; LOD, limit of detection; LOQ, limit of quantification.
C y = 0.095x + 0.0088 0.1–10.0 0.9979 1.04 3.47
S y = 0.0383x − 0.0004 0.1–10.0 0.9974 2.04 6.79
St y = 0.0418x + 0.0011 0.1–10.0 0.9974 2.07 6.93
Cam y = 0.0458x − 0.0018 0.1–10.0 0.9975 1.31 4.37
B y = 0.0823x + 0.0105 0.1–10.0 0.9968 0.98 3.27
7α-HS y = 0.3583x − 0.0294 0.1–10.0 0.9965 0.31 1.03 110.23% ± 1.84% 114.59% ± 3.56% 104.01% ± 4.16% 4.08% 4.99%
7β-HS y = 0.2890x − 0.0038 0.1–10.0 0.9928 0.42 1.27 101.13% ± 2.30% 115.50% ± 3.57% 105.02% ± 4.43% 4.12% 4.76%
6β-HS y = 0.0679x − 0.0101 0.1–10.0 0.9946 2.48 8.27 109.74% ± 2.35% 100.77% ± 4.92% 109.31% ± 4.69% 4.96% 5.73%
α-ES y = 0.0057x − 0.0004 0.1–10.0 0.9872 15.00 50.00 117.42% ± 2.38% 111.95% ± 3.21% 99.39% ± 4.85% 3.59% 5.66%
β-ES y = 0.0056x − 0.0008 0.1–10.0 0.9840 36.30 99.20 107.57% ± 4.37% 108.82% ± 3.47% 97.63% ± 5.95% 3.76% 5.33%
TS y = 0.0292x − 0.0074 0.1–10.0 0.9848 3.81 12.70 94.23% ± 3.41% 94.73% ± 4.36% 90.60% ± 4.68% 5.13% 6.80%
7-KS y = 0.0167x − 0.0028 0.1–10.0 0.9981 2.99 9.97 92.81% ± 3.52% 91.15% ± 4.78% 94.15% ± 5.70% 4.36% 5.68%
7α-HC y = 0.8336x + 0.001 0.1–10.0 0.9979 0.12 0.41 92.53% ± 4.51% 97.67% ± 5.87% 103.14% ± 4.06% 5.73% 6.74%
7β-HC y = 0.6278x − 0.0447 0.1–10.0 0.9968 0.50 1.67 101.44% ± 2.84% 95.53% ± 5.34% 100.99% ± 5.07% 5.10% 6.10%
α-EC y = 0.0136x − 0.0025 0.1–10.0 0.9926 6.49 21.60 115.41% ± 6.86% 113.08% ± 5.00% 106.68% ± 8.09% 7.65% 10.95%
β-EC y = 0.0126x − 0.0003 0.1–10.0 0.9810 14.30 47.60 112.01% ± 7.35% 114.02% ± 5.39% 107.98% ± 5.58% 6.14% 9.02%
TC y = 0.1816x − 0.0242 0.1–10.0 0.9956 0.64 2.15 92.63% ± 3.69% 89.72% ± 4.74% 90.11% ± 8.39% 4.25% 6.21%
7-KC y = 0.0344x − 0.0071 0.1–10.0 0.9889 1.71 5.70 97.98% ± 6.96% 102.67% ± 6.40% 103.65% ± 9.03% 6.57% 8.17%


The determination of LOD and LOQ was based on the standard deviation of the response and the slope of the calibration curve. The signal-to-noise ratio (S/N ratio) was calculated for every compound and extrapolated to LOD (S/N = 3) and LOQ (S/N = 10). The calculated LOQ and LOD values are shown in Table 3. The developed method enabled the quantification of all POPs at concentrations in the range of 0.12–99.2 ng mL−1. LOQs were below the lowest standard level of the calibration curves for all target compounds. The detection of 7α/7β-hydroxy derivative was the easiest, with LOQs of 0.41–1.67 ng mL−1, followed by 6β-hydroxy, triol, and 7-keto derivatives with LOQs of 0.64–2.48 ng mL−1. Detection of α/β-epoxy derivative was the most difficult among all SOPs, with a high LOQ of 21.6–99.2 ng mL−1, close to the lowest standard level of their calibration curves. Therefore, the detection of epoxy derivatives was more difficult than that of the other compounds. The developed method produced lower LODs and LOQs than the conventional GC because of the strong derivative solution of MSHFBA with 5% 1-MIM.

3.4.2. Precision and recovery. Precision and recovery should ideally be carried out using reference materials supplied by standard organizations. However, oil samples with known SOP concentration are no commercially available. In this study, the precision and recovery of the developed method was evaluated with spiked samples at three concentration levels of 1.0, 0.5, and 0.1 μg mL−1 for COPs, and 5.0, 2.5, and 0.5 μg mL−1 for sitosterol oxidation products. All samples were subjected to the optimal sample preparation procedure and GC-MS quantitative methods described in Sections 2.2 and 2.3. The intra-day precision was determined by analyzing six samples on the same day (expressed as RSD) and ranged from 3.59% to 7.65%, whereas inter-day precision was tested by analyzing six control pool samples at six different days (expressed as RSD) and ranged from 4.76% to 10.95%. The observed results are listed in Table 3. The overall RSDs obtained in the inter and intra-day experiments were below 10% with the exception for α-EC (interday precision = 10.95%). These results clearly demonstrated the precision of the analytical procedure for all SOPs studied, similar to previous reports.29 As listed in Table 3, the developed method showed good recoveries for all compounds, ranging from 89.72% to 117.42% and achieved good values despite the three different addition levels. Regarding the mean recovery values, the highest values were detected for α-EC, β-EC, α-ES and β-ES, with a mean value of 115.41%, 112.01%, 117.42% and 107.57%, respectively. The other SOPs studied showed good mean recoveries, with values ranging from 89.72% to 110.23%. Recoveries higher than 100% were also reported for the sterol oxidation products, possibly because of matrix effects or other analytical difficulties.29,31,32

3.5. Application

In this study, SOP profiles of camellia, olive, sesame, peanut, rapeseed, rice bran, soybean, and corn oils were successfully analyzed using the developed method. All samples were pre-treated and analyzed with the optimal method obtained in Sections 2.2 and 2.3. Each SOP content was expressed in mg per 1 kg oil. As showed in Table 4, all SOPs studied could be detected and quantified in eight different kinds of oils. The total separation time of all SOPs in the authentic samples was 36 min, which was less than 41 min and 44 min in a similar separation.7 Meanwhile, the coverage of SOP classes in the present study was broader than those reported previously for a single analysis.7,24 The oxidation products of campesterol, stigmasterol, and sitosterol were detected in all oils, whereas considerable amounts of brassicasterol oxides were only detected in rapeseed oils. The POP contents were typically present at trace to 100.65 mg kg−1, while the COPs were commonly lower than 1.35 mg kg−1 or not even detected. Among all the SOPs, 7-keto derivatives were generally dominant in all samples, together with 7-hydroxysterols, whereas triol derivatives were present in quantifiable amounts. The total SOPs content in camellia oil, olive, sesame, peanut, rapeseed, rice bran, soybean, and corn oils were 5.16–8.15, 6.82–10.39, 21.53–34.89, 8.86–18.14, 115.01–174.82, 133.55–143.8, 7.62–19.35 and 17.94–26.72 mg kg−1, respectively. These values are similar to what in some vegetable oils reported previously as: peanut oil (7.1 mg kg−1), olive oil (7.7 mg kg−1), corn oil (4.3 mg kg−1), soybean oil (0.8 mg kg−1) and rapeseed oil (81.1–102.45 mg kg−1).5,31,33
Table 4 SOP contents (mg kg−1) of common edible oilsa
No. Description Camellia oil Olive oil Sesame oil Peanut oil Rapeseed oil Rice bran oil Soybean oil Corn oil
a C, cholesterol; B, brassicasterol; Cam, campesterol; St, stigmasterol; S, sitosterol; H stands for OH; K stands for keto; E stands for epoxy; T stands for triol; ND, not detected; TD, trace detection.
1 7α-HC TD ND ND TD TD 0.05–0.05 TD TD
2 7β-HC TD ND ND TD TD 0.05–0.05 TD TD
3 β-EC TD ND ND TD TD 0.20–0.33 TD TD
4 α-EC TD ND ND TD TD 0.08–0.12 TD TD
5 TC T-0.11 ND ND TD–0.11 TD–0.82 0.07–0.22 TD–0.40 TD–0.68
6 7-KC T-0.2 ND ND TD–0.18 0.40–1.35 0.84–0.97 TD–0.15 TD–0.19
7 7α-HB TD ND ND TD 7.21–20.24 TD TD TD
8 6β-HB TD ND ND TD 0.25–0.33 TD TD TD
9 7β-HB TD ND ND TD 4.62–12.00 TD TD TD
10 β-EB TD ND ND TD TD–0.78 TD TD TD
11 α-EB TD ND ND TD TD–0.77 TD TD TD
12 TB TD ND ND TD TD–0.50 TD TD TD
13 7-KB TD ND ND TD 75.63–100.65 TD TD TD
14 7α-HCam 0.13–0.14 TD–0.18 1.11–1.67 0.24–0.62 1.51–2.72 0.15–0.15 TD–1.22 TD–0.21
15 6β-Hcam 0.23–0.26 TD–0.23 0.26–0.37 TD–0.24 0.33–0.45 0.24–0.26 0.23–0.29 TD–0.26
16 7β-Hcam 0.18–0.18 TD–0.19 1.14–2.57 0.32–0.56 0.98–1.54 0.23–0.25 TD–0.83 TD–0.19
17 β-ECam 0.10–0.20 TD–0.26 0.27–0.79 0.25–0.97 0.53–0.71 2.61–3.88 0.39–0.42 0.42–0.61
18 α-ECam 0.27–0.36 TD–0.34 0.32–0.62 0.31–0.51 0.36–0.41 0.52–0.99 0.24–0.42 0.36–0.57
19 TCam 0.24–0.30 TD–0.22 0.20–0.31 TD–0.25 0.48–0.80 2.14–3.87 TD–0.38 0.24–0.45
20 7-KCam 0.64–0.88 0.46–0.51 0.71–0.95 0.50–1.11 4.95–6.00 20.25–21.24 0.70–1.26 2.07–3.31
21 7α-HSt TD TD 0.90–1.54 0.25–0.45 0.25–0.46 0.14–0.23 TD–0.74 TD–0.17
22 6β-HSt 0.29–0.33 TD 0.27–0.55 0.26–0.34 0.90–0.93 0.28–0.33 TD–0.34 0.25–0.25
23 7β-HSt TD–0.19 TD 1.47–2.90 0.31–0.4 0.34–0.45 0.21–0.26 TD–0.65 TD–0.24
24 β-ESt TD TD TD–0.57 TD TD–0.19 0.36–0.41 TD–0.17 TD–0.29
25 α-ESt TD–0.33 TD TD–0.29 0.28–0.34 0.25–0.28 0.28–0.28 TD–0.31 0.25–0.27
26 TSt 0.32–0.47 0.29–0.69 0.24–0.37 0.30–0.45 TD–0.32 2.10–2.58 TD–0.27 TD–0.22
27 7-KSt 0.39–0.54 0.26–0.49 0.62–0.88 0.48–0.56 0.52–0.65 9.57–10.35 0.48–0.83 0.52–1.10
28 7α-HS TD–0.23 1.23–1.9 2.82–4.84 1.07–1.82 2.11–4.30 0.51–0.55 0.24–2.13 0.29–0.55
29 6β-HS 0.24–0.27 TD–0.58 1.05–1.42 0.22–0.39 0.73–1.02 0.79–1.03 0.22–0.61 0.33–0.52
30 7β-HS TD–0.21 0.87–1.56 5.05–7.84 1.48–2.27 2.11–4.00 0.82–0.88 0.21–2.14 0.47–0.90
31 β-ES TD–0.24 TD–0.29 0.38–0.64 TD–0.34 0.24–0.79 0.52–0.62 TD–0.39 0.25–0.56
32 α-ES TD–0.36 0.29–0.43 0.63–0.89 0.31–0.88 0.86–0.98 0.68–1.21 0.30–0.41 0.40–0.84
33 TS 0.24–0.27 TD–0.27 0.21–0.31 0.24–0.35 0.48–1.04 10.2–11.24 TD–0.20 1.37–3.19
34 7-KS 0.62–1.52 0.55–0.76 2.92–3.74 0.86–4.43 7.65–8.85 79.66–81.45 2.30–4.40 8.96–10.48
  Total SOPs 5.16–8.15 6.82–10.39 21.53–34.89 8.86–18.14 115.01–174.82 133.55–143.8 7.62–19.35 17.94–26.72


4. Conclusion

An efficient method based on GC-MS for simultaneous quantification of SOPs in edible oils was developed. This method was validated to ensure the reliability of the results with a high degree of precision, recovery, and specificity. The developed method could significantly enhance the detection sensitivity of SOPs in oil samples and bring a more simplified pretreatment by combination with optimized chemical derivatization. The LODs and LOQs were better than 3.81 and 12.7 ng mL−1 (except for epoxides), respectively, which were low enough to monitor oil SOP levels. The intra- and inter-day determination precisions for diversiform SOPs were <10% in RSDs, and the recoveries ranged within 89.72–117.42%. The developed method was successfully applied to study the presence of 34 different SOPs presented at low levels in edible oils. In addition, the coverage of SOP classes was broader than those reported previously for a single analysis.

Acknowledgements

This work was financially supported by the National Natural Science Foundation of China (no. 31271847), the Zhejiang Provincial Natural Science Foundation of China (no. Y15C00028) and the National High Technology Research and Development Program of China (“863”Program, 2011AA100807).

References

  1. M. Gonzalez-Larena, G. Garcia-Llatas, M. C. Vidal, L. M. Sanchez-Siles, R. Barbera and M. J. Lagarda, J. Agric. Food Chem., 2011, 59, 3624–3631 CrossRef CAS PubMed.
  2. Y. O'Callaghan, F. O. McCarthy and N. M. O'Brien, Biochem. Biophys. Res. Commun., 2014, 446, 786–791 CrossRef PubMed.
  3. D. Derewiaka and M. Obiedzinski, Eur. Food Res. Technol., 2012, 234, 703–712 CrossRef CAS PubMed.
  4. E. Tabee, M. Jagerstad and P. C. Dutta, Eur. Food Res. Technol., 2008, 227, 745–755 CrossRef CAS.
  5. X. Zhang, D. Julien-David, M. Miesch, F. Raul, P. Geoffroy, D. Aoude-Werner, S. Ennahar and E. Marchioni, J. Agric. Food Chem., 2006, 54, 5410–5415 CrossRef CAS PubMed.
  6. D. Kmiecik, J. z. Korczak, M. RudzinÌska, A. G. MichaÅowska and M. HeÌsÌ, Eur. J. Lipid Sci. Technol., 2009, 111, 1124–1132 CrossRef CAS PubMed.
  7. S. J. K. A. Ubhayasekera and P. C. Dutta, J. Am. Oil Chem. Soc., 2012, 89, 1427–1433 CAS.
  8. A. Vejux and G. Lizard, Mol. Aspects Med., 2009, 30, 153–170 CrossRef CAS PubMed.
  9. Y. W. Cheng, J. J. Kang, Y. L. Shih, Y. L. Lo and C. F. Wang, Food Chem. Toxicol., 2005, 43, 617–622 CrossRef CAS PubMed.
  10. I. L. Aye, B. J. Waddell, P. J. Mark and J. A. Keelan, Mol. Hum. Reprod., 2012, 18, 341–353 CrossRef CAS PubMed.
  11. G. Poli, B. Sottero, S. Gargiulo and G. Leonarduzzi, Mol. Aspects Med., 2009, 30, 180–189 CrossRef CAS PubMed.
  12. P. C. Dutta, R. Przybylski, M. Eskin, L. Appelqvist and M. Erickson, Deep Frying, 2006, 111–164 Search PubMed.
  13. L. Soupas, L. Juntunen, S. Saynajoki, A. M. Lampi and V. Piironen, J. Am. Oil Chem. Soc., 2004, 81, 135–141 CrossRef CAS PubMed.
  14. E. Hovenkamp, I. Demonty, J. Plat, D. Lutjohann, R. P. Mensink and E. A. Trautwein, Prog. Lipid Res., 2008, 47, 37–49 CrossRef CAS PubMed.
  15. M. Menendez-Carreno, H. Steenbergen and H. G. Janssen, Anal. Bioanal. Chem., 2012, 402, 2023–2032 CrossRef CAS PubMed.
  16. Y. Z. Hu, W. S. Huang and B. Y. Lu, J. Chin. Cereals Oils Assoc., 2013, 28, 117–122 CAS.
  17. S. Kemmo, V. Ollilainen, A.-M. Lampi and V. Piironen, Eur. Food Res. Technol., 2007, 226, 1325–1334 CrossRef.
  18. T. Vanmierlo, C. Husche, H. F. Schott, H. Pettersson and D. Lutjohann, Biochimie, 2013, 95, 464–472 CrossRef CAS PubMed.
  19. V. Cardenia, M. T. Rodriguez-Estrada, E. Baldacci, S. Savioli and G. Lercker, J. Sep. Sci., 2012, 35, 424–430 CrossRef CAS PubMed.
  20. J. Gao, Q. Yue, Y. Ji, B. Cheng and X. Zhang, J. Agric. Food Chem., 2013, 61, 982–988 CrossRef CAS PubMed.
  21. N. M. O'Connell, Y. C. O'Callaghan, N. M. O'Brien, A. R. Maguire and F. O. McCarthy, Tetrahedron, 2012, 68, 4995–5004 CrossRef PubMed.
  22. D. A. Foley, Y. O'Callaghan, N. M. O'Brien, F. O. McCarthy and A. R. Maguire, J. Agric. Food Chem., 2010, 58, 1165–1173 CrossRef CAS PubMed.
  23. A. Conchillo, L. Cercaci, D. Ansorena, M. T. Rodriguez-Estrada, G. Lercker and I. Astiasaran, J. Agric. Food Chem., 2005, 53, 7844–7850 CrossRef CAS PubMed.
  24. S. Azadmard-Damirchi and P. C. Dutta, J. Chromatogr. A, 2009, 1216, 36–42 CrossRef CAS PubMed.
  25. J. A. Bowden, D. M. Colosi, D. C. Mora-Montero, T. J. Garrett and R. A. Yost, J. Chromatogr. B: Anal. Technol. Biomed. Life Sci., 2009, 877, 3237–3242 CrossRef CAS PubMed.
  26. A. Caligiani, F. Bonzanini, G. Palla, M. Cirlini and R. Bruni, Plant Foods Hum. Nutr., 2010, 65, 277–283 CrossRef CAS PubMed.
  27. M. Menendez-Carreno, D. Ansorena, I. Astiasaran, V. Piironen and A. M. Lampi, Food Chem., 2010, 122, 277–284 CrossRef CAS PubMed.
  28. K. Koschutnig, S. Kemmo, A. M. Lampi, V. Piironen, C. Fritz-Ton and K. H. Wagner, Food Chem., 2010, 118, 133–140 CrossRef CAS PubMed.
  29. C. Husche, O. Weingartner, H. Pettersson, T. Vanmierlo, M. Bohm, U. Laufs and D. Lutjohann, Chem. Phys. Lipids, 2011, 164, 425–431 CrossRef CAS PubMed.
  30. C. N. Standard, in Chinese National Standard, 2010, vol. GBT 25223-2010.
  31. L. Johnsson and P. C. Dutta, Food Chem., 2006, 97, 606–613 CrossRef CAS PubMed.
  32. M. Menendez-Carreno, C. Garcia-Herreros, I. Astiasaran and D. Ansorena, J. Chromatogr. B: Anal. Technol. Biomed. Life Sci., 2008, 864, 61–68 CrossRef CAS PubMed.
  33. E. Tabee, S. Azadmard-Damirchi, M. Jägerstad and P. C. Dutta, J. Am. Oil Chem. Soc., 2008, 85, 857–867 CrossRef CAS PubMed.

Footnote

Electronic supplementary information (ESI) available. See DOI: 10.1039/c5ra02795k

This journal is © The Royal Society of Chemistry 2015
Click here to see how this site uses Cookies. View our privacy policy here.