DOI:
10.1039/C5RA01461A
(Paper)
RSC Adv., 2015,
5, 24558-24563
Pd–imidate complexes as recyclable catalysts for the synthesis of C5-alkenylated pyrimidine nucleosides via Heck cross-coupling reaction†
Received
25th January 2015
, Accepted 27th February 2015
First published on 27th February 2015
Abstract
Pd–imidate complexes have been employed as efficient catalysts for the Heck alkenylation of unprotected 5-iodo-2′-deoxyuridine in acetonitrile. The protocol was also shown to work well for the unprotected 5-iodo-2′-deoxycytidine. A highly efficient scale-up synthesis of the HSV-1 inhibitor Brivudine (BVDU) is also accomplished in an overall yield of 72% over 3-steps. The catalyst also showed recyclability for 3 consecutive runs.
1. Introduction
Palladium-catalyzed cross-coupling reactions have proved to be indispensable synthetic tools for the construction of a large number of molecules with varied applicability.1–3 This powerful technology has allowed efficient C–C and C–heteroatom bond formation under relatively mild reaction conditions, if compared with the use of transition metals such as Pt and Ni.4 Cross-coupling reactions such as Suzuki–Miyaura,5 Stille,6 Sonogashira,7 Buchwald–Hartwig amination8 and Heck alkenylation,9 have found a relevant place among the synthetic chemist's artillery to combat complex synthetic problems. The development of highly active and easily accessible Pd-catalysts with the additional possibility of air and moisture stability has certainly become a necessity. In this regard our research group has been actively involved in the development of efficient Pd-catalysts with imidate (pseudohalides showing mixed σ-donating and π-accepting properties) ligands, that have been commonly employed in various cross-coupling processes.10
On the other hand, modification of nucleosides via metal-mediated processes especially by palladium-catalysed cross-coupling reactions is an active area of research due to the wide variety of applications exhibited by these molecules.11–14 Commercial importance of these molecules has also led to an increased interest in developing cost effective methodologies and catalytic systems that could address the challenges faced in such modifications. Brivudine (BVDU)15 that has proved to be an anti-HSV-1 (Herpes simplex virus) drug, its precursor carboxy vinyldeoxyuridine (CVU)15b or a 2′-deoxyuridine-linker16 for post synthesis conjugation of diagnostic oligonucleotides that find use as a fluorescent tag or an affinity probe are some interesting examples (Fig. 1).
 |
| | Fig. 1 C5-modified nucleosides of interest. | |
Clearly the structure of these commercially viable molecules require the installation of substituted alkenes on the parent nucleoside in a stereo-selective manner with high efficiency and under relatively mild reactions conditions (preferably lower temperature to minimize degradation) are the main challenges that needs to be addressed.
Palladium-catalyzed Heck alkenylation9 reaction has proven to achieving this goal of selectivity and reactivity under mild conditions. Several research groups have been actively involved in developing catalytic systems to improve the reaction efficiency.17
Recently, Len and co-workers have reported a protocol for the Heck alkenylation of 5-iodo-2′-deoxyuridine (IdU) under palladium-catalysed conditions.17a Although, the reaction was performed in water as the solvent, the palladium content was found to be less than satisfactory (around 10 mol%) as well as the yields of the cross-coupled products. This protocol was utilized for the synthesis of BVDU with an overall yield of 56% obtained over 3-steps. Given the high palladium concentration used in the protocol, it could seriously hamper the purity of the final product. Therefore, we focused on developing a better catalytic system which could address all of these issues without compromising the reactivity.
Herein, we report a highly efficient catalytic system that not only addresses the problems highlighted above regarding the palladium concentration but also include a more productive route for obtaining the commercially useful BVDU in an overall yield of 72% over 3-steps on large-scale. The Heck reaction conditions were also shown to work efficiently with 5-iodo-2′-deoxycytidine (IdC).
2. Results and discussion
Initial Heck alkenylation studies for addressing the reactivity of the catalytic system was undertaken on aryl iodides with different alkenic substrates. Several differently substituted aryl iodides were employed furnishing the cross-coupled product in good to excellent yields (Scheme 1: also see ESI† for the complete table of coupling partners and coupled products).
 |
| | Scheme 1 Heck alkenylation of aryl iodides. | |
Heck alkenylation of IdU is carried out routinely using a variety of alkenic linkers under palladium-catalysed conditions. To achieve better reactivity it is in many cases unavoidable to use higher concentration of the palladium complex. This problem could possibly be circumvented by a judicious choice of ligands around the palladium centre that allows the catalyst to be active under the given set of conditions even at lower concentrations.
Recently, we reported an efficient protocol for the Suzuki–Miyaura cross-coupling of IdU in aqueous medium under very low concentration of a series of imidate-based water soluble palladium complexes (Scheme 2).18 Given the success we had with new imidate-based complexes, their application towards catalyzing Heck alkenylation reaction has been explored in this report.
 |
| | Scheme 2 Suzuki–Miyaura coupling of IdU. | |
At the outset, we performed screening studies for some of the synthesized Pd–imidate complexes. With the possibility of catalyzing the cross-coupling reaction in water (due to the water solubility of the complexes) we subjected complex Ia to Heck alkenylation conditions with IdU and butyl acrylate as the alkenic linker (Table 1). To our surprise the reaction was sluggish, even in the case with CH3CN/H2O system. Subsequently, changing the solvent system to only CH3CN offered improved yields of the cross-coupled product. Screening of all the Pd–imidate complexes suggested that complex Id catalyzed the Heck alkenylation of IdU in best yields during reasonable reaction time of 6 h while others at the same stage showed presence of greater amounts of starting material. Next, we undertook catalyst loading experiments to demonstrate the potential of the catalytic system (Table 1). The reactivity was found to be comparable even at 1.0 mol% catalyst loading of Id with 90% of the cross-coupled obtained in 6 h.
Table 1 Screening studies for Heck alkenylation of IdUa
Further reduction to 0.1 mol% of Id resulted in good yields of the desired product at the cost of extended reaction time to 24 h. It was therefore decided that the optimum catalyst concentration that could be used henceforth will be 1.0 mol% to minimize the heating of sensitive starting materials. We next turned our attention towards exploring the scope for the Heck reaction of IdU with a variety of alkenic substrates and Id as the catalyst (1.0 mol%) at 80 °C in CH3CN solvent (Scheme 2).19 Various substituted acrylates were first employed as coupling partners for the Heck alkenylation reaction with IdU (Scheme 3). In most cases good to excellent yields (58–92%) of the cross-coupled product was observed in 6–24 h. Similarly, methyl acrylate 2d leads to the formation of cross-coupled product 3d in 92% which is a precursor for the synthesis of BVDU. Acrylamides 2f and 2h also provided the cross-coupled products in good yields which was the case even with styrene 2g as the alkenic partner.
 |
| | Scheme 3 Scope studies for Heck alkenylation of IdU.a,b aUnless otherwise mentioned all the reactions are carried out: 0.5 mmol of 1, 1.5 mmol of 2a–i, 1.0 mol% of Id, 1.0 mmol Et3N, 3 mL of CH3CN at 80 °C. bIsolated yields after column chromatography as shown for each compound. | |
These results highlight the powerful nature of the catalytic system reported herein and to test further its applicability, scale-up studies were then performed for the synthesis of BVDU. Recent report on the synthesis of BVDU furnished 56% yield (Len and co-workers in 2014).17b Gratifyingly, Heck alkenylation of IdU with Id as the catalyst, it was possible to reduce the catalyst loading to 0.5 mol% for large-scale reaction with methyl acrylate followed by hydrolysis of the ester to the carboxyvinyl uridine (CVU) which upon bromination provided the BVDU. The efficient nature of our catalytic system was successfully demonstrated on 5 mmol and 10 mmol scale with an overall yield of 72%, consistent in both scales (Table 2 also see ESI† for more details on the optimisation of conditions).
Table 2 Scale-up studies for BVDU

|
| |
Amount of 1 |
%Yield for step A |
%Yield for step B |
%Yield for step C |
Overall %yield |
| 1 |
5 mmol |
90 |
90 |
89 |
72 |
| 2 |
10 mmol |
90 |
90 |
89 |
72 |
Our next target was to explore the possibility of performing the Heck alkenylation reactions with other nucleoside coupling partners other than the uridine analogue.
In the first case we subjected IdC20 to palladium-catalysed Heck alkenylation with butyl acrylate, although in this case the reaction had to be performed in DMF rather than CH3CN due to the lower solubility of IdC in CH3CN. Also, substituting soluble base Et3N for an inorganic base K2CO3 resulted in the cross-coupled product in 55% yield (Scheme 4).
 |
| | Scheme 4 Heck alkenylation of IdC. | |
Finally, to further demonstrate the potential of the catalytic system, recyclability studies were undertaken. Catalyst recycling21 was performed by introducing a fresh batch of IdU, methyl acrylate and trimethylamine on the completion of each catalytic run (Fig. 2). Samples were taken after 8 h in each case and the conversions were analysed by HPLC. The yield of the cross-coupled product remained unchanged for the first 3 runs, however a steady reduction in yield was observed in the subsequent runs. This could be attributed to the poor solubility of the substrates with each run eventually resulting in precipitation.
 |
| | Fig. 2 Recycling studies for Heck alkenylation of IdU 1 and methyl acrylate 2d. | |
Initial studies on the possible mechanism suggest the absence of the classical Pd(0)/Pd(II) catalytic cycle involving a Pd(0) (TPA)2 as the possible catalytically active species generated via reduction of the Pd(II)–imidate precatalysts. Possibility of a nanoparticular pathway for the catalytic reaction was checked by conducting the mercury drop-test22 which resulted in the complete retardation of the catalytic reaction (no product formation – an aspect of nanoparticular catalyst systems – Scheme 5). Further studies are in progress to verify the reaction mechanism.
 |
| | Scheme 5 Mercury-drop test for verification of possible nanoparticular pathway. | |
3. Conclusion
In conclusion, we have described here the development of efficient Heck alkenylation protocol using Pd–imidate complexes at lower catalyst concentration under relatively milder reaction conditions. The utility of the catalytic protocol was established by the synthesis of HSV-1 inhibitor BVDU on 10 mmol scale in high yields. The palladium-catalyzed protocol has also been extended towards IdC with the cross-coupled product obtained in good yields. Recycling studies were also performed with the catalyst showing good recyclability for the first 3 runs. The catalytic reaction was found to follow a nanoparticular pathway as shown by the mercury drop-test.
4. Experimental section
General remarks
NMR data (1H or 13C) were recorded on Bruker Avance 400 spectrometers. HPCL-MS analyses were performed on a Shimadzu Prominence Spectrometer. The ionization mechanism used was electrospray in positive and negative ion full scan mode using acetonitrile as solvent and nitrogen gas for desolvation. C, H and N analyses were carried out with a Carlo Erba instrument.
General procedure for Heck alkenylation of 5-iodo-2′-deoxyuridine
A solution of precatalyst Id (1.0 mol%) in dry CH3CN (1.0 mL) was stirred for 5 min at ambient temperature under N2. Then, nucleoside (0.5 mmol) was added and the solution stirred for 5 min at 80 °C. Thereafter, Et3N (1.0 mmol) and alkene linker (0.5 mmol) were also added with CH3CN (1.0 mL). The resulting solution was then stirred at 80 °C for required amount of time. After the completion of reaction the solvent was removed under vacuo and the resultant residue obtained was purified using column chromatography in CH2Cl2
:
MeOH solvent system (96
:
4) to afford the desired product as a white solid.
Spectroscopic data for previously reported compounds in literature was verified:
3a,22 3b,23 3d,23 3e,24 3f,16 3g,25 3h,23 CVU,26 BVDU,27 4a.17b
Dodecyl (E)-3-(1-((2R,4R,5R)-4-hydroxy-5-(hydroxymethyl)tetrahydrofuran-2-yl)-2,4-dioxo-1,2,3,4-tetrahydropyrimidin-5-yl)acrylate (3c). (0.20 g, 86%); 1H NMR (400 MHz, DMSO-d6) δ 11.66 (s, 1H), 8.41 (s, 1H), 7.35–7.33 (m, 1H), 6.84–6.82 (m, 1H), 6.13–6.11 (m, 1H), 5.19–5.17 (m, 2H), 4.21–4.18 (m, 1H), 4.08–4.05 (m, 2H), 3.80–3.77 (m, 1H), 3.81–3.56 (m, 2H), 2.19–2.16 (m, 2H), 1.65–1.68 (m, 2H), 1.25–1.18 (m, 16H), 0.86–0.84 (m, 3H). 13C NMR (100 MHz, DMSO-d6) δ 167.0, 161.9, 149.4, 144.1, 138.1, 116.6, 108.3, 87.7, 84.8, 69.8, 63.8, 60.9, 45.8, 31.3, 29.1, 29.0, 28.9, 28.7, 28.6, 28.2, 25.4, 22.1, 13.9, 8.6. MS(ESI): m/z = 467 [M + H+]. Anal. calcd (%) for C24H38N2O7: C, 61.78; H, 8.21; N, 6.00. Found: C, 61.71; H, 8.12; N, 5.97.
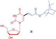
(1S,2S,4R)-1,7,7-Trimethylbicyclo[2.2.1]heptan-2-yl (E)-3-(1-((2R,4R,5R)-4-hydroxy-5-(hydroxymethyl)tetrahydrofuran-2-yl)-2,4-dioxo-1,2,3,4-tetrahydropyrimidin-5-yl)acrylate (3i). (0.195 g, 90%) 1H NMR (400 MHz, DMSO-d6) 11.66 (s, 1H), 8.4 (s, 1H), 7.31–7.29 (m, 1H), 6.81–6.78 (m, 1H), 6.12–6.09 (m, 1H), 5.25–5.22 (m, 1H), 5.16–5.14 (m, 1H), 4.68–4.66 (m, 1H), 4.25–4.22 (m, 1H), 3.82–3.80 (m, 1H), 3.63–3.61 (m, 2H), 2.18–2.15 (m, 2H), 1.75–1.70 (m, 4H), 1.23 (s, 1H), 1.15–1.12 (m, 2H), 1.0 (s, 3H), 0.80 (s, 6H). 13C NMR (100 MHz, DMSO-d6) δ 166.3, 161.9, 149.3, 144.2, 138.0, 117.0, 108.3, 87.7, 84.9, 79.9, 69.7, 60.8, 48.5, 46.6, 44.4, 38.3, 33.2, 26.7, 19.9, 198, 11.4. MS(ESI −ve mode): m/z = 433 [M − H+]. Anal. calcd (%) for C22H30N2O7: C, 60.82; H, 6.96; N, 6.45. Found: C, 60.71; H, 6.84; N, 6.41.
General procedure for large-scale synthesis of BVDU
5 mmol scale synthesis.
Step-A. A solution of precatalyst Id (1 mol%) in dry CH3CN (20 mL) was stirred for 5 min at ambient temperature under N2. Then, 5-iodo 2′-deoxyuridine (5.0 mmol) was added and the solution stirred for 5 min at 80 °C. Thereafter, Et3N (10 mmol) and alkene linker (7.5 mmol) were also added with CH3CN (10 mL). The resulting solution was then stirred at 80 °C for required amount of time. After the completion of reaction the solvent was removed under vacuo and the resultant residue obtained was purified using column chromatography in CH2Cl2
:
MeOH solvent system (97
:
3) to afford the desired product as a white solid (90%, 1.4 g).
Step-B. (E)-5-[2-Carbomethoxyvinyl]-2′-deoxyuridine (dUMA). (1.4 g, 4.5 mmol) was dissolved in 1 M NaOH (70 mL) and the mixture stirred for 3 h, filtered and filtrate adjusted to pH 2 with 1 M HCl. On cooling at 4 °C a white precipitate formed. This was filtered off and washed with cold water (2 × 5 mL) and acetone (2 × 5 mL) and dried to give a white solid (90%, 1.2 g).
Step-C. To a solution of (E)-5-(2-carboxyvinyl)-2′-deoxyuridine (1.2 g, 4.0 mmol) in DMF (6 mL) was added K2CO3 (1.11 g, 8.0 mmol) and the suspension stirred at room temperature for 15 min. Then added NBS (0.72 g, 4.0 mmol) fraction-wise over 30 min at ambient temperature. After completion of reaction, the solvent was removed under vacuo and the resultant residue obtained was purified using column chromatography in CH2Cl2
:
MeOH solvent system (96
:
8) to afford the desired product as a white solid (89%, 1.19 g).
10 mmol scale synthesis.
Step-A. A solution of precatalyst Id (1 mol%) in dry CH3CN (40 mL) was stirred for 5 min at ambient temperature under N2. Then, 5-iodo 2′-deoxyuridine (10 mmol) was added and the solution stirred for 5 min at 80 °C. Thereafter, Et3N (20 mmol) and alkene linker (15 mmol) were also added with CH3CN (20 mL). The resulting solution was then stirred at 80 °C for required amount of time. After the completion of reaction the solvent was removed under vacuo and the resultant residue obtained was purified using column chromatography in CH2Cl2
:
MeOH solvent system (97
:
3) to afford the desired product as a white solid (84%, 2.6 g).
Step-B. (E)-5-[2-Carbomethoxyvinyl]-2′-deoxyuridine (dUMA). (2.6 g, 8.3 mmol) was dissolved in 1 M NaOH (140 mL) and the mixture stirred for 3 h, filtered and filtrate adjusted pH 2 with 1 M HCl. On cooling at 4 °C a white precipitate formed. This was filtered off and washed with cold water (2 × 10 mL) and acetone (2 × 10 mL) and dried to give a white solid. (90%, 2.2 g).
Step-C. To a solution of (E)-5-(2-carboxyvinyl)-2′-deoxyuridine (2.2 g, 7.4 mmol) in DMF (12 mL) was added K2CO3 (2.22 g, 16 mmol) and the suspension stirred at room temperature for 15 min. Then added NBS (1.44 g, 8.0 mmol) fraction-wise over 30 min at ambient temperature. After completion of reaction, the solvent was removed under vacuo and the resultant residue obtained was purified using column chromatography in CH2Cl2
:
MeOH solvent system (96
:
8) to afford the desired product as a white solid. (90%, 2.21 g).
General procedure for recycling studies for Heck alkenylation of pyrimidine nucleosides
A solution of precatalyst Id (1.0 mol%) in dry CH3CN (1.0 mL) was stirred for 5 min at ambient temperature under N2. Then, nucleoside (0.5 mmol) was added and the solution stirred for 5 min at 80 °C. Thereafter, Et3N (1.0 mmol) and alkene linker (0.5 mmol) were also added with CH3CN (1.0 mL). The resulting solution was then stirred at 80 °C for required amount of time. After the completion of reaction, an aliquot of the reaction mixture was injected in an HPLC to confirm the yield obtained. On completion of the reaction another batch of nucleoside, Et3N and alkene linker was added and the reaction continued.
Acknowledgements
The authors would like to thank Department of Science and Technology, India for DST Inspire faculty award (IFA12-CH-22) for A.R.K. We also would like to thank UGC-FRP. We are also indebted to Alexander von Humboldt foundation for providing equipment grant to A.R.K.
Notes and references
- For a review on Pd-catalysed cross-coupling reactions see: C. C. C. Johanson, M. O. Kitching, T. J. Colacot and V. Snieckus, Angew. Chem., Int. Ed., 2012, 51, 5062 CrossRef PubMed.
- Palladium-Catalysed Coupling Reactions, Practical Aspects and Future Developments, ed. A. Molnar, Wiley-VCH Verlag, 2013 Search PubMed.
-
(a) Metal-Catalyzed Cross-Coupling Reactions, ed. A. de Meijere and F. Diederich, Wiley-VCH, Weinheim, 2004 Search PubMed;
(b) Handbook of Organopalladium Chemistry for Organic Synthesis, ed. E. Negishi and A. de Meijere, Wiley, New York, 2003 Search PubMed.
- K. C. Nicolaou, P. C. Bulger and D. Sarlah, Angew. Chem., Int. Ed., 2005, 44, 4442 CrossRef CAS PubMed.
- A. Suzuki, Angew. Chem., Int. Ed., 2011, 50, 6722 CrossRef CAS PubMed.
- J. K. Stille, Angew. Chem., Int. Ed. Engl., 1986, 25, 508 CrossRef.
- K. Sonogashira, Y. Tohda and N. Hagihara, Tetrahedron Lett., 1975, 16, 4467 CrossRef.
-
(a) J. F. Hartwig, Acc. Chem. Res., 1998, 31, 852 CrossRef CAS;
(b) B. H. Yang and S. L. Buchwald, J. Organomet. Chem., 1999, 576, 125 CrossRef CAS.
-
(a) R. F. Heck, J. Am. Chem. Soc., 1968, 90, 5518 CrossRef CAS;
(b) T. Mizoroki, K. Mori and A. Ozaki, Bull. Chem. Soc. Jpn., 1971, 44, 581 CrossRef CAS.
-
(a) G. Sánchez, J. García, M. Martínez, J. Pérez, L. García, J. L. Serrano and A. R. Kapdi, Dalton Trans., 2011, 12676 RSC;
(b) M. D. Santana, R. García-Bueno, G. García, G. Sánchez, J. García, M. Naik, S. Pednekar, A. R. Kapdi, J. Pérez, L. García, E. Pérez and J. L. Serrano, Dalton Trans., 2012, 3832 RSC;
(c) J. L. Serrano, J. Pérez, L. García, G. Sánchez, J. García, K. Tyagi and A. R. Kapdi, RSC Adv., 2012, 2, 12237 RSC.
-
(a) M. K. Lakshman, J. Organomet. Chem., 2002, 653, 234 CrossRef CAS;
(b) L. A. Agrofoglio, I. Gillaizeau and Y. Saito, Chem. Rev., 2003, 103, 1875 CrossRef CAS PubMed;
(c) M. K. Lakshman, Curr. Org. Synth., 2005, 2, 83 CrossRef CAS.
-
(a) V. Vongsutilers, J. R. Daft, K. H. Shaughnessy and P. M. Gannett, Molecules, 2009, 14, 3339 CrossRef CAS PubMed;
(b) G. Herve, G. Sartori, G. Enderlin, G. Mackennzie and C. Len, RSC Adv., 2014, 4, 18558 RSC.
-
(a) N. J. Greco and Y. Tor, J. Am. Chem. Soc., 2005, 127, 1078 CrossRef PubMed;
(b) P. Wigerinck, L. Kerremans, P. Claes, R. Snoeck, P. Maudgal, E. De Clercq and P. Herdewijn, J. Med. Chem., 1993, 36, 538 CrossRef CAS;
(c) E. Mayer, L. Valis, R. Huber, N. Amann and H. A. Wagenknecht, Synthesis, 2003, 15, 2335 Search PubMed.
-
(a) S. Gallagher-Duval, G. Herve, G. Sartori, G. Enderlin and C. Len, New J. Chem., 2013, 37, 1989 RSC;
(b) N. Fresneau, M. A. Hiebel, L. A. Agrofoglio and S. Berteina-Raboin, Molecules, 2012, 17, 14409 CrossRef CAS PubMed;
(c) G. Sartori, G. Enderlin, G. Herve and C. Len, Synthesis, 2012, 44, 767 CrossRef CAS PubMed;
(d) G. Sartori, G. Herve, G. Enderlin and C. Len, Synthesis, 2013, 45, 330 CrossRef CAS PubMed.
-
(a) E. De Clercq, C. Desgranges, P. Herdewin, I. S. Sim, A. S. Jones, M. J. McLean and R. T. Walker, J. Med. Chem., 1986, 29, 213 CrossRef CAS;
(b) R. F. Whale, P. L. Cole and R. T. Walker, Chem. Nucleosides Nucleotides, 1991, 10, 1615 CrossRef CAS.
- M. H. Lyttle, T. A. Walton, D. J. Dick, T. G. Carter, J. H. Beckman and R. M. Cook, Bioconjugate Chem., 2002, 13, 1146 CrossRef CAS PubMed.
-
(a) G. Herve and C. Len, RSC Adv., 2014, 4, 46926 RSC;
(b) J. Dadová, P. Vidláková, R. Pohl, L. Havran, M. Fojta and M. Hocek, J. Org. Chem., 2013, 78, 9627 CrossRef PubMed;
(c) V. Aucagne, S. Berteina-Raboin, P. Guenot and L. A. Agrofoglio, J. Comb. Chem., 2004, 6, 717 CrossRef CAS PubMed.
- A. R. Kapdi, V. Gayakhe, Y. S. Sanghvi, J. Garcia, P. Lozano, I. da Silva, J. Perez and J. Luis Serrano, RSC Adv., 2014, 4, 17567 RSC.
-
(a) J. Broggi, N. Joubert, V. Aucagne, S. Berteina-Raboin, S. Diez-Gonzalez, S. Nolan, D. Topalis, D. Deville-Bonne, J. Balzarini, J. Neyts, G. Andrei, R. Snoeck and L. A. Agrofoglio, Nucleosides, Nucleotides Nucleic Acids, 2007, 26, 1391 CrossRef CAS PubMed;
(b) R. Kore, A. Kumar and C. Irudaya, Curr. Org. Chem., 2013, 17, 2164 CrossRef.
- For examples of Heck reaction of IdC see: M. V. Reddington and D. Cunningham-Bryant, Tetrahedron Lett., 2011, 52, 181 CrossRef CAS PubMed.
-
(a) C. Zhou, J. Wang, L. Li, R. Wang and M. Hong, Green Chem., 2011, 13, 2100 RSC;
(b) M. R. Eberhard, Org. Lett., 2004, 6, 2125 CrossRef CAS PubMed.
-
(a) G. M. Whitesides, M. Hackett, R. L. Brainard, J. P. P. M. Lavallaye, A. F. Sowinski, A. N. Izumi, S. S. Moore, D. W. Brown and E. M. Staudt, Orgamometallics, 1985, 4, 1819 CrossRef CAS;
(b) S. M. Khake, V. Soni, R. G. Gonnade and B. Punji, Dalton Trans., 2014, 43, 16084 RSC.
- S. Jaegar, G. Rasched, H. Kornreich-Leshem, M. Engeser, O. Thum and M. Famulok, J. Am. Chem. Soc., 2005, 127, 15071 CrossRef PubMed.
- K. Sakthivel and C. F. Barbas III, Angew. Chem., Int. Ed., 1998, 37, 2872 CrossRef CAS.
- A. L. Casalnuovo and J. C. Calabrese, J. Am. Chem. Soc., 1990, 112, 4324 CrossRef CAS.
- K. Fujimoto, H. Yoshino, T. Ami, Y. Yoshimura and I. Saito, Org. Lett., 2008, 10, 397 CrossRef CAS PubMed.
- M. Johar, T. Manning, D. Y. Kunimoto and R. Kumar, Bioorg. Med. Chem., 2005, 13, 6663 CrossRef CAS PubMed.
Footnote |
| † Electronic supplementary information (ESI) available. See DOI: 10.1039/c5ra01461a |
|
| This journal is © The Royal Society of Chemistry 2015 |
Click here to see how this site uses Cookies. View our privacy policy here.