Synthesis of micro/mesoporous silica material by dual-template method as a heterogeneous catalyst support for alkylation

Shuo Zhao, Man He, Yuming Zhou*, Xiaoli Sheng*, Xiaoqin Fu and Yiwei Zhang
School of Chemistry and Chemical Engineering, Southeast University, Jiangsu Optoelectronic Functional Materials and Engineering Laboratory, Nanjing 211189, P. R. China. E-mail: ymzhou@seu.edu.cn; Fax: +86 25 52090617; Tel: +86 25 52090617

Received 29th January 2015 , Accepted 13th March 2015

First published on 13th March 2015


Abstract

A series of micro/mesoporous composites were synthesized using non-ionic block copolymer Pluronic P123 and protic ionic liquid (triethylamine acetate) as the co-templates. The structures of all the composites were characterized by using small angle X-ray scattering, N2 gas sorption, dynamic laser light scattering (DLS), scanning electron microscopy (SEM) and transmission electron microscopy (TEM). The results reflected that the structure of the final silica materials changes along with the content of protic ionic liquid (PIL) and hydrothermal temperature. It was found that the sample whose mass ratio of PIL to (P123 + PIL) was 40% had a t-plot micropore area of 404 m2 g−1 at the hydrothermal temperature of 373 K, without destroying the ordered mesoporous structure. The formation mechanism of the micro/mesoporous silica which is based on the interaction between PIL and P123 is tentatively elucidated. 12-Tungstophosphoric acid (HPW) catalysts supported on these micro/mesoporous materials were prepared by impregnation, and their catalytic performances were investigated in the alkylation of o-xylene with styrene. Alkylation results showed that all the catalysts showed high catalytic performance in terms of propane conversion and selectivity to propene.


1. Introduction

Since mesoporous silica materials were discovered,1 hierarchical porous silica materials have received significant attention due to their important role in the systematic study of structure property relationship and their technological promise in applications.2,3 On one hand, hierarchical porous silica materials possess high surface area, large pore volumes and various frameworks like mesoporous materials, on the other hand, these materials have high thermal, hydrothermal and mechanical stability like microporous materials.4–7 During the past decades, significant efforts have been devoted to design micro/mesoporous materials by using different approaches,8,9 such as postsynthetic demetalation process and template synthesis. And the approach using templates has been regarded as one of the most promising ways to obtain such this type of hierarchical porous silica materials.10 These templates include the solid templates which contain carbon nanoparticles, ion-exchange resins and the soft materials which contain surfactants and colloids.8,9 The interaction between templates and siliceous precursors is very important to obtain the expected structures. Thus, it is crucial to find a series of appropriate templates.

Nowadays, ionic liquids (ILs), which are molten salts at room temperature, have attracted much interest due to their unique properties such as low vapor pressure, mild reaction condition, solvating ability, easy recycle ability and so on.5,11–13 Hence, the ionic liquids were actively studied by many research groups working in all kinds of fields, such as chemistry, organometallic, biocatalyzed reactions.14,15 ILs can act as multiple roles of cosolvent, cosurfactant as well as salt in the system.16 So, ILs may greatly affect the aggregation behavior of aqueous surfactant solution. Long-chain amphiphilic ILs can self-assemble into ordered structures like surfactants.17 Hence, ILs can induce micro or mesoporous materials.18–20

In the previous work, these inorganic materials were mostly prepared by imidazolium based ILs. Hu et al.21 synthesized a high-quality cubic gyroid mesoporous silica (MCM-41) with the ionic liquid 1-hexadecyl-3-methylimidazolium bromide as the template under basic condition. Gao et al.22 obtained a series of micro/mesoporous silica composites with P123 and imidazolium ILs ([Cnmim]X) as the cotemplates. They found that the structure of the materials changed along with the change of the alkyl chain length and anion. Hu et al.23 synthesized the micro/mesoporous silicate materials using CTAB and imidazolium ILs ([Cnmim]X). They found the cations [C4mim]+ can embed into CTA+ micelles and aggregated into mixed micelles which acted as co-templates for synthesis of mesoporous materials at the room temperature, while at 373 K, the mixed micelles divided into CTA+ micelles and [C4mim]+ aggregates which were acted as mesoporous templates and microporous templates, respectively. So, imidazolium based ILs are appropriate to synthesize the micro/mesoporous silica materials.

The synthesis of highly ordered mesoporous silicate materials by a hydrothermal method has rarely been reported using protic ionic liquids (PILs) which are formed via the proton transfer from a Bronsted acid to a Bronsted base. Many PILs are miscible with water to form mixtures at any composition, and both the component ions favorably form hydrogen bonds with water.24–26 Chen et al.27 reported that the hierarchically nanostructured silica materials were obtained by using protic ionic liquid (ethylammonium nitrate) and non-ionic block copolymer Pluronic P123 as templates through the sol–gel method. These materials contained a disordered population of micropores and an ordered population of mesopores. And the micropores caused by ethylammonium nitrate. The micro/mesoporous materials, combining the advantages of mesoporous materials and microporous materials, are expected to be more suitable for catalytic reactions as catalysts support material. It is said that the product of Friedel–Crafts alkylation of o-xylene and styrene, 1-phenyl-1-xylyl ethane (PXE) is an appropriate solvent for many materials. In general, 12-tungstophosphoric acid (HPW) and ordered mesoporous SBA-15 are used as acid catalysts and support, respectively to obtain PXE.28,29 Sheng et al.30 successfully loaded HPW onto sulfonate-functionalized ionic liquid-modified mesoporous silica SBA-15 by total anion-exchange. And the final catalyst showed a high efficiency in alkylation. Thus, the micro/mesoporous materials can instead of the traditional supports to synthesize PXE to investigate if micro/mesoporous materials are suitable for this reaction.

In this work, a new approach to prepare micro/mesoporous silica materials possessing both micropores and mesopores has been suggested. The porous silica materials were synthesized with P123 and PIL (triethylamine acetate) as the co-templates by the hydrothermal method. A number of samples were synthesised by changing the PIL to P123 weight ratio and temperature during synthesis. Moreover, HPW supported on micro/mesoporous materials were prepared by impregnation method. The catalytic properties of the catalysts were assessed in the alkylation of o-xylene with styrene.

2. Experimental section

2.1 Chemicals

P123 (PEO20PPO70PEO20) was purchased from Sigma-Aldrich, the inorganic silica precursor was silicon(IV) tetraacetate (TEOS 97%, Fluka) and HCl (37% in water, Aldrich) was used as reaction catalyst, triethylamine (Merck) and acetic acid (Merck) were used to synthesise PIL.

2.2 Preparation of PIL

Triethylamine acetate was obtained according to the literature.31 A typical polymerization procedure is described as follows. Acetic acid (30.025 g) was added dropwise into triethylamine (50.595 g) at 353 K. After stirring for 5 h, PIL which was yellow was obtained. PIL was characterized by 1H NMR. 1H-NMR (CDCl3) δ: 7.979 (s, 1H, –NH), 2.762 (s, 3H, CH3COO–), 1.277–1.86 (t, 2H, –CH2), 0.86 (s, 3H, –CH3), which is consistent with literature reports.

2.3 Synthesis of micro/mesoporous materials

In a typical synthesis, 4 g P123 and an appropriate amount of PIL were completely dissolved in water; its pH was controlled by HCl (2 M). Under strong stirring, 9 g tetraethyl orthosilicate (TEOS) was dripped slowly. After stirring at 313 K for 24 h, the whole slurry was transferred into an autoclave for aging at an appropriate temperature for 48 h. The PIL and organic components were extracted by ethanol and then water in an oven overnight. The white as-synthesized solid powders were then calcined at 823 K for 6 h in ambient air, with a heating rate of 3 K min−1.

Similarly, a series of micro/mesoporous materials were synthesized by changing the ratio of PILs and temperature during synthesis. The final products were denoted as PIL-X-Y, in which X represents the mass ratio of PIL to (P123 + PIL); Y represents the aging temperature, respectively. As a comparison, samples either without P123 (denoted as PIL) or using water to replace PIL (denoted as P123) were also prepared.

2.4 Catalysts preparation

1 g of micro/mesoporous materials were added into the mixture of 20 mL ethyl alcohol and 0.4 g of 12-tungstophosphoric acid at 333 K. The mixture continuously stirred until ethyl alcohol steamed. The obtained white solid was dried at 393 K overnight and calcined in air at 573 K for 4 h.

2.5 Catalytic tests

The alkylation reactions were carried out in a continuously stirred oil batch reactor under 393 K. Styrene (6 g), o-xylene (45 g) (quality ratio of o-xylene to styrene, 7.5[thin space (1/6-em)]:[thin space (1/6-em)]1) and 1.02 g of catalyst were introduced in a three-neck 100 mL round-bottom flask equipped with a condenser for 3 h. Firstly, the mixture of the small amount of o-xylene and the desired amount of catalyst were added to the round-bottom flask at 393 K, the mixture of a certain amount of styrene and the remaining o-xylene then dropwise into the flask for 2 h. The final reaction mixture remained for another 1 h. After the reaction, unreacted o-xylene was distilled out under atmospheric pressure, and then the obtained liquid was denoted by crude product which was analyzed with GC-9890A gas chromatograph equipped with OV-1 capillary column and a flame ionization detector (FID). The yield of PXE was defined as follows:
image file: c5ra01250c-t1.tif

Actual product weight = crude product weight × PXE (chromatography) %.

2.6 Characterization

The structure of the calcined samples was characterized by an X-ray powder diffractometor (Rigaku, RINT-Ultima III) using Cu Kα radiation with 40 kV and 200 mA. All scans were continuous and run between 2θ values of 0–5°. The N2 physical adsorption and desorption isotherms were adopted at 77 K to obtain surface areas with ASAP 2020 apparatus (Micromertics USA) by means of the Brunauer–Emmett–Teller (BET) method. The pore size distribution in mesopore range was analyzed by the BJH (Barrett–Joyner–Halenda) method using the Halsey equation for multilayer thickness. Micropore volume was calculated by the t-plot method. Transmission Electron Microscopy (TEM) was performed on FEI Tecnai G20 instrument. Infrared spectra were recorded on a Bruker Tensor 27 (German) using DRIFT techniques, scanned from 4000 to 400 cm−1. The sample was ground with KBr and pressed into a thin wafer. The samples were evacuated at 573 K for 4 h before the measurement. Scanning electron microscopy (SEM) images were recorded on a JEOL JSM-5600L SEM Instrument with a working distance of 3–4 mm and an electron voltage of 3.0 kV. The size distributions of micelles were determined by dynamic laser light scattering (DLS) on a Malvern Nano-ZS, with a detecting angle of 90°.

3. Results and discussion

3.1 Effect of the PIL content

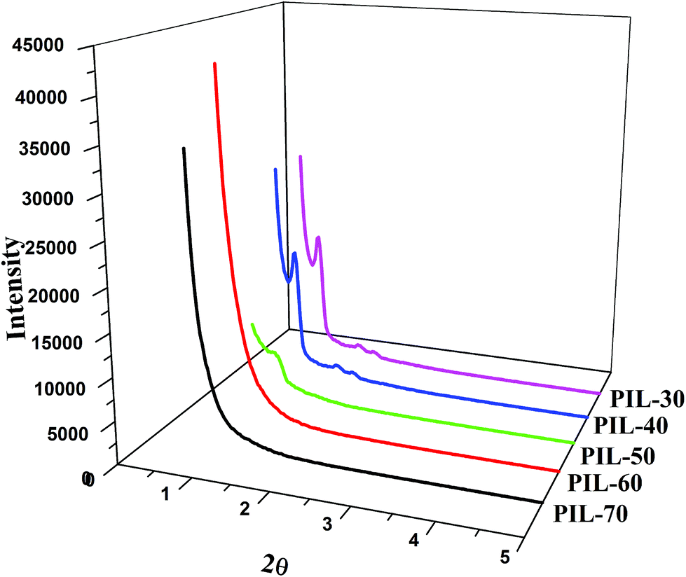
The XRD patterns of the samples induced by PIL/P123 co-templates are shown in Fig. 1. When the mass ratio of PIL to (P123 + PIL) is 30% and 40% (PIL-30, PIL-40), three well-resolved diffraction peaks which include a strong reflection at 2θ = 0.86° for d100 and two other weaker reflections at 2θ = 1.55° and 2θ = 1.71° respectively for d110 and d200 are observed in the curve, which is a typical pattern characterizing the hexagonal arrangement of SBA-15. Only one broad diffraction peak with a much lower intensity is preserved for PIL-50, indicating its less ordered structure. No other obvious diffraction peak is observed with increasing the content of PIL, stating a poor periodicity for PIL-60 and PIL-70.
image file: c5ra01250c-f1.tif
Fig. 1 XRD patterns of the samples induced by PIL/P123 co-templates at 393 K.

N2 adsorption isotherms of the calcined samples in Fig. 2A exhibit the typical IV adsorption. The presence of a pronounced hysteresis loop in the isothermals indicates the intersection network of porous structures. At very low relative pressure P/P0, an increase at the adsorption isothermal of all materials proves the presence of micropores. With the increase of PIL content, the pressure onset of the hysteresis gradually shifts to lower values from 0.6 (PIL-40) to 0.4 (PIL-70), which illustrates pore size shrinkage. Distortion of the characteristic hysteresis loop of PIL-70 demonstrates the loss of ordered pore structure, which agrees with the XRD result. There is a clear hysteresis loop in the isothermals of PIL, indicating protic ionic liquid can self-assemble to micelles which act as the mesoporous templates at higher PIL concentration.


image file: c5ra01250c-f2.tif
Fig. 2 (A) N2 adsorption–desorption isotherms, (B) pore size distributions calculated by BJH model based on desorption curves of the calcined samples induced by P123/PIL co-templates at 393 K.

Fig. 2B shows the pore size distribution calculated by BJH model based on desorption curves. Two peaks are observed from the pore size distributions of the sample PIL-60, whereas the others have only one peak. The difference may be caused by the existence of PIL micro scale micelles and P123 mesoscale micelles. From the data above, it can be concluded that PIL and P123 are miscible and can form mixed micelles at lower PIL concentration, while, PIL micelles can separated from the mixed micelles with the increase of PIL concentration. And two different scale micelles which induce the micro/mesoporous material are formed. And the sample PIL-70 only has one peak at 3.8 nm, indicating the structure of ordered channel has been destroyed. That certifies the function of ionic liquid for the material structure.

The characteristic data on the samples are summarized in Table 1. From Table 1, it can be seen that with increasing PIL, the average pore size of each sample is 7.14, 5.14, 4.35, 3.32 nm, respectively. Among them, PIL-40 and PIL-30 possess extremely large pore volume of 1.23, 1.31 cm3 g−1, which are larger than that of the pure SBA-15 of 1.10 cm3 g−1. This phenomenon indicates the positive contributions of PIL to the volume.

Table 1 Physicochemical properties of the calcined samples induced by P123/PIL co-templates at 393 K
Sample name BET surface area (m2 g−1) Pore volume (cm3 g−1) Average pore size (nm)
PIL-70 838 0.70 3.32
PIL-60 796 0.86 4.35
PIL-50 844 1.08 5.14
PIL-40 691 1.23 7.14
PIL-30 681 1.32 7.73
PIL 720 0.65 3.59
P123 881 1.10 5.01


The TEM images of the calcined sample prepared at 393 K show the structure of the samples obtained with different PIL content, meaning P123/PIL templates can induce micro/mesoporous composites. The images for PIL-30 and PIL-40 show very ordered mesoporous structure, these mesopores are arranged in a hexagonally ordered array. The order–degree of samples decreases with increasing the content of PIL. If making a local enlargement, the wall filled with the cycle-like micropores is found. The Fig. 3C of the sample PIL-50 lacks orderliness because of the existence of PIL, which is consistent with the XRD result. And the hexagonally ordered array structure of PIL-70 totally disappear, only disordered worm-like mesopores can be found in the Fig. 3E, illustrating the excess of PIL affect the conformation of samples. The morphology of the PIL-40 particles prepared at 373 K is shown in the SEM Fig. 3F, which exhibits worm-like shapes.


image file: c5ra01250c-f3.tif
Fig. 3 The images of the calcined samples induced by P123/PIL at 393 K. The TEM image of (A) PIL-30, (B) PIL-40, (C) PIL-50, (D) PIL-60, (E) PIL-70, (F) the SEM image of PIL-40. The insets are the local enlargements with the same enlargement scale.

Fig. 4 shows the size distribution of P123/PIL micelles in aqueous solutions with different PIL concentration at room temperature. Only one peak could be found in the sample P123 and PIL-40 at 18 and 20 nm, respectively. While, the average diameter of PIL-40 has a higher value than that of P123, demonstrating the PIL maybe around the P123 micelles owing to the hydrogen bonding. Another new peak at 7 nm appears with increasing the PIL concentration, representing the PIL may self-assembly form a new micelles, which is consistent with pore size distribution of PIL-60.


image file: c5ra01250c-f4.tif
Fig. 4 Size distribution of P123/PIL aqueous solutions determined by DLS.

3.2 Effect of the hydrothermal temperature

The low-angle XRD patterns of the samples induced by PIL/P123 co-templates at different temperature are shown in Fig. 5. When the temperature is 393 K and 373 K, three well-resolved diffraction peaks are observed in the curve, which corresponding to the (100), (110) and (200) reflections. While, the intensity of PIL-40-373 is much lower than PIL-40-393. It means that the ordered mesoporous structure is affected by temperature. Three peaks are disappeared when the temperature is 353 K, which shows a poor periodicity of the sample's structure.
image file: c5ra01250c-f5.tif
Fig. 5 XRD patterns of the PIL-40 at different temperature.

The N2 adsorption isotherms of the calcined samples at different temperature are shown in Fig. 6A. Pronounced hysteresis loop characterizing the cylindrical mesopores can be observed at 393 K or 373 K, representing that the samples have a ordered porous structure. While, the adsorption of PIL-40-393 is higher than that of PIL-40-373. The distortion of hysteresis loop indicates the loss of the ordered pore structure at 353 K, which according to the XRD results. Fig. 6B shows the pore size distribution calculated by BJH model based on desorption curves. The mesopore size distribution of PIL-40-373 is similar with that of PIL-40-393 whose mesopore size is about 6.3 nm. While, from the Table 2, it is can be seen that PIL-40-373 has a t-plot micropore area of 404 m2 g−1, which is larger than other samples. When the temperature increase to 393 K, there is still a t-plot micropore area of 21 m2 g−1, certifying the effect of PIL microporous template. Through the analysis, it is known that the ordered mesoporous channels with small amounts of micropores can be obtained at 393 K, and materials which not only possess more micropores but also remain the hexagonally ordered array structure are induced at a low temperature of 373 K. When the temperature decreases to 353 K, the material with disordered structure is obtained. Thus, the hydrothermal temperature is a significant factor to obtain the micro/mesoporous material.


image file: c5ra01250c-f6.tif
Fig. 6 (A) N2 adsorption–desorption isotherms, (B) pore size distributions calculated by BJH model based on desorption curves of the calcined samples induced by PIL-40 co-templates at different temperature.
Table 2 Physicochemical properties of the calcined samples induced by PIL-40 co-templates at different temperature
Sample name Temperature (K) BET surface area (m2 g−1) Micropore surface area (m2 g−1) Pore volume (cm3 g−1) Average pore size (nm)
PIL-40-353 353 676 133 0.48 2.84
PIL-40-373 373 722 404 0.91 5.05
PIL-40-393 393 691 21 1.23 7.14


Fig. 7 shows the TEM images of PIL-40 synthesized at different temperature. A little disordered structure can be seen when the temperature is 353 K. The two-dimensional hexagonal structure has been destroyed. When the temperature increases to 373 K or 393 K, the mesopores are arranged in an ordered array as observed in Fig. 7B and C. And both of the samples show uniformly distributed pores with the pore size estimated to be 6.3 nm from the image, which is consistent with the result of N2 gas sorption. A part of the walls of mesoporous channels are destroyed a little in the enlarged insert, which may during to the existence of worm-like micropores. Compared with PIL-40-393, PIL-40-373 has a higher t-plot micropore area of 404 m2 g−1. Thus, the favorable temperature to synthesis the micro/mesoporous SBA-15 materials is 373 K.


image file: c5ra01250c-f7.tif
Fig. 7 TEM images of the PIL-40 at different temperature (A) 353 K, (B) 373 K, (C) 393 K. The insets are the local enlargements with the same enlargement scale.

Formation mechanism of hierarchical micro/mesoporous silica: in aqueous systems, mesopores were produced in an analogous liquid templating approach. Micropores and mesopores were obtained with the elimination of PIL and P123, respectively. P123 micelles have a hydrophobic core and a hydrophilic head group. There is a strong interaction between PIL and P123 mainly due to the hydrogen bond. And the inorganic network also has a strong interaction with the polar domain of the PIL molecules, thus creating micropores. The ammonium-based ionic liquid (triethylamine acetate) can act as multiple roles of cosolvent, cosurfactant as well as salt in the system. When the content of PIL is low, the co-solvent and co-surfactant functions are dominant. PIL and P123 are miscible and can form mixed micelles in aqueous solution. The short chains of PIL probably incline to swell the P123 micelles. Thus, the average diameter of P123/PIL mixed aggregates may shift to a higher value. Which is analogous to the function of the diameter expander, reagent 1,3,5-trimethylbenzene (TMB). In the case of P123/TMB mixed micelles, TMB molecules are totally solubilized in the core of P123 micelles, which obviously forms the swollen P123 micelles, consequently the size of mixed micelles can be higher than P123 micelles. Protic ionic liquids can separated from the mixed micelles at higher concentration of protic ionic liquid. And the large micelles induced by numbers of ionic liquid micro scale micelles act as the mesoporous template. This phenomenon is certified by pore size distribution of PIL-60 which has two peaks (3.9 nm, 7.7 nm). And the structure of the final sample is influenced by PIL as well. The mesoporous structure becomes disordered with increasing the content of protic ionic liquid, which is confirmed by the XRD pattens and TEM results. PIL micelles are dominant in the solution under the high PIL concentration, and the P123 micelles almost disappear, which is confirmed by the size distribution curve of PIL-70. The presence of disordered micropores may contribute to the disappearance of the (110) and (200) peaks in the XRD patterns of the final samples. The formation mechanism of the micro/mesoporous silica material which is based on the interaction between PIL and P123 is schematically presented in Fig. 8.


image file: c5ra01250c-f8.tif
Fig. 8 The template mechanism of IL cationic [N(CH2CH3)3]+ and P123 (A) synergism for mesoporous material at lower PIL content, and (B) for the micro/mesoporous materials at higher PIL content.

3.3 Catalytic activity of micro/mesoporous materials supported HPW

The IR spectra of the pure HPW, PIL-X and HPW/PIL-X-Y are shown in Fig. 9A.
image file: c5ra01250c-f9.tif
Fig. 9 (A) FT-IR spectra of pure HPW, PIL-X and HPW/PIL-X and (B) FT-IR spectra of different HPW/PIL-X-Y samples.

IR peaks of pure HPW show approximately at 1080 (P–O in the central tetrahedron), 980 (terminal W[double bond, length as m-dash]O) and 890 and 800 (W–O–W) cm−1 corresponding to asymmetric vibration associated with Keggin ion. IR peak of SBA-15 at 3440 cm−1 is stretching frequency for hydroxyl and silicon hydroxyl, 1630 cm−1 peak is bending vibration peak for O–H of adsorbed water, 1080 cm−1, 808 cm−1 and 461 cm−1 peaks are vibration absorption peaks for Si–O–Si, including 1080 cm−1 peak is the strong asymmetric stretching vibration absorption peak of Si–O–Si, 968 cm−1 peak is bending vibration peak for silicon hydroxyl. Fig. 9B presents the IR spectra of all different HPW/PIL-X-Y samples. It can be seen that the IR bands at approximately 980 cm−1, 890 cm−1 and 800 cm−1 are clearly observed. This indicates the primary structure of 12-tungstophosphoric acid is preserved even after immobilization at the surface of PIL-X-Y.

The catalytic performance of different carriers with HPW were investigated owing to the carriers contain high surface area and narrow size distribution which are favorable conditions for the reaction. Sheng et al.32 found that pure HPW showed high catalytic performance for the reaction, while, it was difficult for recovery. HPW/SBA-15 showed the low product yield (68.3%) in their work. From Table 3, it is found that the support itself has no catalyst performance and other samples exhibit the much higher catalytic properties than those of HPW/SBA-15 in their work. Among the catalysts investigated, HPW/PIL-30-393 with large pore size of the support exhibited the best catalytic performance. Thus, the catalytic activity may change along with the pore size of supports because large pore size material is conducive to the macromolecular reaction. So, suitable pore size may contribution to the high catalytic performance.

Table 3 Activity of various supported HPW catalystsa in alkylation of o-xylene with styrene
Catalyst Yieldb (%) Selectivityc (%)
a Reaction conditions: o-xylene[thin space (1/6-em)]:[thin space (1/6-em)]styrene = 7.5[thin space (1/6-em)]:[thin space (1/6-em)]1, reaction temperature = 393 K, reaction time = 3.0 h, catalyst loading = 20% (w/w of styrene).b Isolated yield based on the amount of styrene.c Target product: all products.
PIL-40
HPW/PIL-70-393 85.46 85.66
HPW/PIL-60-393 86.28 86.47
HPW/PIL-50-393 89.42 89.57
HPW/PIL-40-393 90.29 90.55
HPW/PIL-30-393 93.80 94.57
HPW/PIL-40-373 86.52 86.72
HPW/PIL-40-353 80.38 80.56


Stability and reusability of the catalyst are significant for any catalytic system. The reusability of the HPW/PIL-30-393 and HPW/SBA-15 catalysts has been evaluated by carrying out the reaction with used catalyst under the optimized conditions. After each run, the catalyst was recovered by filtration, then washed with ethanol, dried and calcined at 573 K for 4 h, and used again. The data obtained are summarized in Fig. 10. It can be seen only 15% reduction in the activity is observed after 4 runs on the HPW/PIL-30-393 catalyst. In contrast, the deactivation of HPW/SBA-15 catalyst is much faster and PXE yield drops to 40% after the fourth reaction cycle. The poor catalytic stability of HPW/SBA-15 may be due to the possibility that HPW leaching from the catalyst support into the liquid reaction system may result in the low conversion. Furthermore, micropores of HPW/PIL-30-393 may be another reason for better stability.


image file: c5ra01250c-f10.tif
Fig. 10 Catalytic stability of the HPW/PIL-30-393 and HPW/SBA-15 catalysts in the alkylation of o-xylene with styrene (reaction conditions: o-xylene[thin space (1/6-em)]:[thin space (1/6-em)]styrene = 7.5[thin space (1/6-em)]:[thin space (1/6-em)]1, reaction temperature = 393 K, reaction time = 3.0 h, catalyst loading = 20% (w/w of styrene)).

4. Conclusion

In summary, a series of micro/mesoporous silica materials are obtained using P123 and PIL (triethylamine acetate) as co-templates. The structure of the final materials was investigated by two important factors: the PIL content and hydrothermal temperature. The formation mechanism of the micro/mesoporous silica which is based on the interaction between PIL and P123 is tentatively elucidated. At low concentration of PIL, PIL and P123 can form mixed micelles in aqueous solution because of the hydrogen bond. PIL may separate from P123 micelles and form mesoscale micelles with the increase of PIL content. The results showed that the sample PIL-40-373 not only possessed a t-plot micropore area of 404 m2 g−1 but also remained the hexagonally ordered array structure. A serious of micro/mesoporous materials supported HPW catalysts were obtained, and their catalytic performances were investigated in the alkylation of o-xylene with styrene. Alkylation results showed that catalysts had much higher product yield and longer catalytic life, which might be due to the large pore size of the support and the strong interaction between the HPW and the supports.

Acknowledgements

The authors are grateful to the financial supports of National Natural Science Foundation of China (Grant no. 21306023, 21376051, 21106017 and 51077013), Fund Project for Transformation of Scientific and Technological Achievements of Jiangsu Province of China (Grant no. BA2011086), Key Program for the Scientific Research Guiding Found of Basic Scientific Research Operation Expenditure of Southeast University (Grant no. 3207043101) and Instrumental Analysis Fund of Southeast University.

References

  1. D. Zhao, J. Feng, Q. Huo, N. Melosh, G. H. Frederickson, B. F. Chmelka and G. D. Stucky, Science, 1998, 279, 548–552 CrossRef CAS.
  2. Z. L. Hua, J. Zhou and J. L. Shi, Chem. Commun., 2011, 47, 10536–10547 RSC.
  3. J. G. Li, R. B. Lin and S. W. Kuo, RSC Adv., 2013, 3, 17411–17423 RSC.
  4. Y. Ooi and S. Bhatia, Microporous Mesoporous Mater., 2007, 102, 310–317 CrossRef CAS PubMed.
  5. T. Welton, Chem. Rev., 1999, 99, 2071–2083 CrossRef CAS PubMed.
  6. D. Zhang, A. Duan, Z. Zhao and C. Xu, J. Catal., 2010, 274, 273–286 CrossRef CAS PubMed.
  7. H. C. Xin, J. Zhao, S. T. Xu, J. P. Li, W. P. Zhang, X. W. Guo, E. J. M. Hensen, Q. H. Yang and C. Li, J. Phys. Chem. C, 2010, 114, 6553 CAS.
  8. L. M. Xiong, J. L. Shi, L. X. Zhang and M. Y. Nogami, J. Am. Chem. Soc., 2007, 129, 11878–11879 CrossRef CAS PubMed.
  9. X. Chen, Z. Q. Sun, L. L. Zheng, Z. M. Chen, Y. F. Wang, N. Fu, K. Zhang, X. Yan, H. Liu, L. Jiang and B. Yang, Adv. Mater., 2004, 16, 1632–1636 CrossRef CAS.
  10. K. Egeblad, C. H. Christensen, M. Kustova and C. H. Christensen, Chem. Mater., 2008, 20, 946–960 CrossRef CAS.
  11. R. Sheldon, Chem. Commun., 2001, 2399–2407 RSC.
  12. H. Li, P. S. Bhadury, B. Song and S. Yang, RSC Adv., 2012, 2, 12525–12551 RSC.
  13. C. C. Ke, J. Li, X. J. Li, Z. G. Shao and B. L. Yi, RSC Adv., 2012, 2, 8953–8956 RSC.
  14. C. M. Gordon, Appl. Catal., A, 2001, 222, 101–117 CrossRef CAS.
  15. P. Wasserscheid and W. Keim, Angew. Chem., Int. Ed., 2000, 39, 3772–3789 CrossRef CAS.
  16. K. Binnemans, Chem. Rev., 2005, 105, 4148–4204 CrossRef CAS PubMed.
  17. C. K. Lee, H. W. Huang and I. J. B. Lin, Chem. Commun., 2000, 1911–1912 RSC.
  18. T. L. Merrigan, E. D. Bates, S. C. Dorman and J. H. Davis, Chem. Commun., 2000, 2051–2052 RSC.
  19. Y. Zhou and M. Antonietti, Adv. Mater., 2003, 15, 1452–1455 CrossRef CAS.
  20. Y. Zhou, J. H. Schattka and M. Antonietti, Nano Lett., 2004, 4, 477–481 CrossRef CAS.
  21. J. Hu, J. X. Yin, T. S. Lin and G. T. Li, J. Chem. Educ., 2012, 89, 284–285 CrossRef CAS.
  22. F. Gao, J. Hu, C. J. Peng, H. L. Liu and Y. Hu, Langmuir, 2012, 28, 2950–2959 CrossRef CAS PubMed.
  23. J. Hu, F. Gao, Y. Z. Shang, C. J. Peng, H. L. Liu and Y. Hu, Microporous Mesoporous Mater., 2011, 142, 268–275 CrossRef CAS PubMed.
  24. T. L. Greaves, A. Weerawardena, C. Fong and C. J. Drummond, Langmuir, 2007, 23, 402–404 CrossRef CAS PubMed.
  25. A. Kumar and P. Venkatesu, RSC Adv., 2013, 3, 362–367 RSC.
  26. T. L. Greaves, A. Weerawardena, C. Fong, I. Krodkiewska and C. J. Drummond, J. Phys. Chem. B, 2006, 110, 22479–22487 CrossRef CAS PubMed.
  27. Z. F. Chen, T. L. Greaves, R. A. Caruso and C. J. Drummond, J. Mater. Chem., 2012, 22, 10069–10076 RSC.
  28. X. L. Sheng, Y. M. Zhou, Y. W. Zhang, Y. Z. Duan and M. W. Xue, Catal. Lett., 2012, 142, 360–367 CrossRef CAS.
  29. X. L. Sheng, Y. M. Zhou, Y. W. Zhang, M. W. Xue and Y. Z. Duan, Chem. Eng. J., 2012, 179, 295–301 CrossRef CAS PubMed.
  30. X. L. Sheng, Y. M. Zhou, Y. L. Yang, Y. W. Zhang, Z. W. Zhang, S. J. Zhou, X. Q. Fu and S. Zhao, RSC Adv., 2014, 4, 30697–30703 RSC.
  31. J. Y. Weng, C. M. Wang, H. R. Li and Y. Wang, Green Chem., 2006, 8, 96–99 RSC.
  32. X. L. Sheng, J. Kong, Y. M. Zhou, Y. W. Zhang, Z. W. Zhang and S. J. Zhou, Microporous Mesoporous Mater., 2014, 187, 7–13 CrossRef CAS PubMed.

This journal is © The Royal Society of Chemistry 2015
Click here to see how this site uses Cookies. View our privacy policy here.