Issue 35, 2015

Highly sensitive and selective chemosensors for Cu2+ and Al3+ based on photoinduced electron transfer (PET) mechanism

Abstract

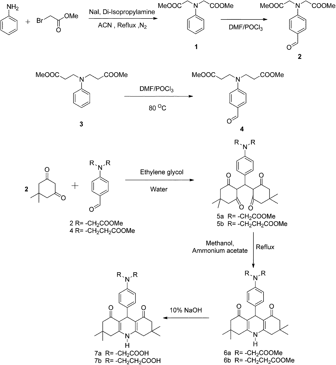
Two novel acridine based chemosensors 7a and 7b were synthesized and configured as “fluorophore–spacer–receptor” systems based on photoinduced electron transfer. The probes 7a and 7b exhibited high selectivity and sensitivity for the detection of Cu2+ and Al3+ respectively over commonly coexistent metal ions in CH3CN. The binding association constants (Ka) of 7a–Cu2+ and 7b–Al3+ were found to be 4.0 × 104 M−1 and 1.7 × 104 M−1 in CH3CN, and the corresponding detection limits were calculated to be 2.8 × 10−7 M and 5.8 × 10−7 M, respectively. The fluorescence response of 7a–Cu2+ and 7b–Al3+ with respect to pH change was studied and the resulting demonstrated fluorescence enhancement was observed in the pH range of 7.0–9.0. The chromophores were characterized by FT-IR, 1H-NMR, 13C-NMR and HR Mass spectral analysis.

Graphical abstract: Highly sensitive and selective chemosensors for Cu2+ and Al3+ based on photoinduced electron transfer (PET) mechanism

Supplementary files

Article information

Article type
Paper
Submitted
14 Jan 2015
Accepted
05 Mar 2015
First published
10 Mar 2015

RSC Adv., 2015,5, 27282-27289

Author version available

Highly sensitive and selective chemosensors for Cu2+ and Al3+ based on photoinduced electron transfer (PET) mechanism

S. Chemate and N. Sekar, RSC Adv., 2015, 5, 27282 DOI: 10.1039/C5RA00123D

To request permission to reproduce material from this article, please go to the Copyright Clearance Center request page.

If you are an author contributing to an RSC publication, you do not need to request permission provided correct acknowledgement is given.

If you are the author of this article, you do not need to request permission to reproduce figures and diagrams provided correct acknowledgement is given. If you want to reproduce the whole article in a third-party publication (excluding your thesis/dissertation for which permission is not required) please go to the Copyright Clearance Center request page.

Read more about how to correctly acknowledge RSC content.

Social activity

Spotlight

Advertisements