Synthesis of fluorinated monomer and formation of hydrophobic surface therefrom

Dongxiao Hana, Liqun Zhua, Yichi Chenb, Weiping Li*a, Xianming Wangc and Liang Ningc
aKey Laboratory of Aerospace Advanced Materials and Performance (Ministry of Education), School of Material Science & Engineering, Beihang University, Beijing, 100191, China. E-mail: liweiping@buaa.edu.cn; Fax: +86 010 82317133; Tel: +86 010 82317113
bKey Laboratory of Bio-Inspired Smart Interfacial Science and Technology of Ministry of Education, School of Chemistry & Environment, Beihang University, Beijing, 100191, China
cMarine Chemical Research Institute, Qingdao, 266071, China

Received 3rd November 2014 , Accepted 13th February 2015

First published on 13th February 2015


Abstract

Fluorine-containing polymers play an important role in coatings. In this paper, a novel route was developed to prepare fluorine-containing copolymers with long perfluoroalkyl side chains. Hydrophobic films were formed from the copolymers and correlative stoichiometric curing agent. In order to prepare the anticipated fluorine-containing copolymers, a new kind of fluorinated monomer was designed and synthesized. The chemical structure of the monomer and the corresponding copolymers were confirmed by Fourier transform infrared spectroscopy (FT-IR) and nuclear magnetic resonance (1H NMR and 19F NMR). Glass-transition temperature (Tg) of the copolymers was determined with differential scanning calorimetry (DSC). Molecular weight and its distribution of the copolymers were investigated by gel permeation chromatography (GPC). The surface properties of the copolymer films were characterized by static water contact angle, X-ray photoelectron spectrometry (XPS) and atomic force microscopy (AFM). Results showed that the fluorinated monomer and the fluorine-containing copolymers were prepared as expected. Both branching degree and molecular weight of the copolymers increased as fluorine content thereof increased, resulting in an increasing Tg and a broader molecular weight distribution and larger polydispersity. XPS proved an enrichment of the fluorinated segments on the film surfaces. AFM results showed that surface roughness of the copolymer films increased with the use level of the monomer. As a result, the hydrophobicity of the copolymer films was enhanced with the increasing amount of the fluorinated monomer.


1 Introduction

Fluorine-containing polymers are unique low surface energy materials with excellent hydrophobic, oleophobic, antifouling and other physico-chemical properties, which are desirable in coatings.1–7 Great attention has been paid to the synthesis and application of fluorine-containing polymers. Xu et al. prepared a novel self-crosslinking fluorinated polyacrylate of soap-free lattices with core–shell structure, and the thermal and surface properties of the copolymers were studied.8 Zhang et al. developed an efficient synthetic approach to fluorinated acrylate containing a sulfonamide group as a space linker between the fluorinated chain and acrylic group. The reactivity ratios of the monomers in radical copolymerization were also investigated.9 Composite coatings prepared from hyperbranched fluoropolymers crosslinked with other components have been reported because of their excellent antifouling performances.10,11 Furthermore, various fluorinated acrylic monomers have been developed to prepare fluoropolymers.9,12–15 The fluorine segments can either be chemically incorporated into the polymeric main chain by fluorinated diols or diacids,16 or be grafted onto the side chain via fluorinated acrylate monomers.17–20

Fluorinated acrylic copolymers are typical low surface energy materials among fluorine-containing polymers.8,20–23 Fluorinated acrylate monomers, such as trifluoroethyl methacrylate (TFEMA), hexafluorobutyl acrylate (HFBA), dodecafluoroheptyl methacrylate (DFHMA), etc., were mostly used to synthesize fluorinated acrylic copolymer.20,24 In this case, the fluorinated acrylate monomers were copolymerized with other normal hydrocarbon acrylates, i.e., methyl methacrylate (MMA) and butyl acrylate (BA), 2-hydroxyethyl methacrylate (HEMA), etc., to prepare fluorinated acrylic copolymers. To obtain fluorinated copolymers with excellent property of low surface energy, more amount of fluorinated monomers have to be copolymerized. Besides the cost, there inevitably exist problems such as polymerization stability and compatibility owing to the great polarity difference of the monomers. Moreover, the fluorinated segments distribution will reach an equilibration and the surface energy of the film will decrease to a certain limit, which is generally decided by the above fluorinated modification method and molecular structure of the copolymer. Therefore, it is of high significance to explore novel modification methods to prepare fluorinated copolymer and the corresponding film of low surface energy.

In this work, a novel kind of fluorinated monomer was designed and synthesized. Furthermore, a hydrocarbon acrylate copolymer without any fluorine-containing segment was also synthesized via a radical polymerization route. A series of fluorine-containing acrylic copolymer was prepared by incorporation of the fluorinated monomer to modify the hydrocarbon acrylate copolymer. Chemical structure of the monomer and the acrylic copolymers were characterized by Fourier transform infrared spectroscopy (FT-IR). Glass transition temperature (Tg) of the copolymers was tested via differential scanning calorimetry (DSC). Surface properties of the copolymer films were studied by water static contact angles, atomic force microscopy (AFM) and X-ray photoelectron spectroscopy (XPS).

2 Experimental

2.1 Materials

1H,1H,2H,2H-Tridecafluoro-1-n-octanol (FOH) was obtained from Guangzhou Liyuan Industrial Materials CO., LTD (Guangzhou, China). Toluene diisocyanate (TDI) was supplied by Tianjin Dengke Chemical Reagent CO., LTD. (Tianjin, China). Methyl methacrylate (MMA), butyl acrylate (BA), hydroxyethyl methylacrylate (HEMA), and styrene (St) were supplied by Dongfang Yakeli Chemicals Limited Corporation (Beijing, China), which were used as the common hydrocarbon monomers. Butyl acetate (BuA) and xylene (Xyl) were purchased from Beijing Chemical Works (Beijing, China) and used as solvents. Benzoyl peroxide (BPO) was obtained from Xilong Chemicals Limited Corporation (Shantou, China) which was used as initiator. The hexamethylene diisocyanate tripolymer (N3375, Bayer) was used as a curing agent. All the reactants were used as received.

2.2 Synthesis of the fluorinated monomer

Scheme 1 exhibits the synthetic route of the fluorinated monomer. At first, TDI (8.71 g, 0.05 mol) and BuA (8.71 g) were added into a four-neck round-bottomed flask equipped with a mechanical stirrer, a reflux condenser, an addition funnel, a thermometer and a nitrogen pipe. The flask was heated to 70 °C. Then a mixture of FOH (18.21 g, 0.05 mol) and BuA (54.63 g) was added dropwise into the flask under continuous stirring for about 5 h. The reaction was continued for another 1 h after feeding, thereby the fluorinated monomer dissolved in BuA was prepared.
image file: c4ra13725f-s1.tif
Scheme 1 Synthesis of the fluorinated monomer.

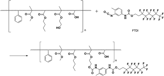
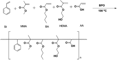
2.3 Synthesis of copolymers and formation of hydrophobic surface therefrom

The acrylic copolymer was synthesized via a solution polymerization route as shown in Scheme 2. The reaction was conducted in a four-neck round-bottomed flask equipped with a mechanical stirrer, a reflux condenser, an addition funnel and a thermometer. A mixed solvent of Xyl and BuA with a weight ratio of 3[thin space (1/6-em)]:[thin space (1/6-em)]2 was employed. St, MMA, BA, HEMA and AA with a weight ratio of 2[thin space (1/6-em)]:[thin space (1/6-em)]2[thin space (1/6-em)]:[thin space (1/6-em)]3.5[thin space (1/6-em)]:[thin space (1/6-em)]2[thin space (1/6-em)]:[thin space (1/6-em)]0.5 were used as the comonomers. The whole weight ratio of the solvent and the monomers was 3[thin space (1/6-em)]:[thin space (1/6-em)]2, and the initiator BPO accounted for 1 wt% of the whole monomers. At first, 2/5 of the mixed solvent was added into the flask at room temperature, then it was heated to 100 °C under continuous stirring. Next, all the monomers, 1/2 of the solvent, as well as 9/10 of the BPO solution were added dropwise into the flask over about 3 h. The reaction was carried out at 100 °C for another 2 h after feeding. After that, the rest 1/10 of the solvent and 1/10 of the BPO were added dropwise into the flask over about 0.5 h. The polymerization was continued further for 2 h to promote the conversion of the residual monomers. At last, the reaction mixture was cooled down to room temperature and the acrylic copolymer was prepared.
image file: c4ra13725f-s2.tif
Scheme 2 Synthesis of acrylic copolymer.

The fluorine-containing acrylic copolymer was prepared by incorporation of the fluorinated monomer to modify the hydrocarbon acrylate copolymer. The modification route is shown in Scheme 3. The synthesized acrylic copolymer was added into a four-necked round-bottomed flask equipped with a mechanical stirrer, a reflux condenser, an addition funnel and a thermometer, and the flask was heated to 70 °C. Then a solution of the fluorinated monomer in BuA was added dropwise into the acrylic copolymer. The flask was remained at 70 °C for 1 h after feeding to promote the reaction completely. After that, the reaction mixture was cooled down to room temperature and the fluorine-containing acrylic copolymer was prepared. To investigate the influence of the fluorinated segments content on hydrophobicity of the copolymer, a series of fluorine-containing acrylic copolymer with different mole ratios of –NCO/–OH was prepared. –NCO was from the molecule of FTDI, while –OH came from HEMA that was copolymerized within the acrylic copolymer. And the mole ratio was 1%, 2%, 5% and 10%.


image file: c4ra13725f-s3.tif
Scheme 3 Synthesis of the fluorine-containing acrylic copolymer.

Certain amount of fluorinated monomer FTDI with a molecular weight of 538.26 was incorporated into the acrylic copolymer molecules during the synthesis of fluorine-containing acrylic copolymer. Therefore, the fluorine modification will certainly affect the molecular weight of the copolymer. Hexamethylene diisocyanate tripolymer (N3375, Bayer) was employed as a curing agent to react with the remaining hydroxyl group, which enable the copolymer molecules to connect with each other to form a cross-linked network during the film formation. The mixture of acrylic copolymer with stoichiometric N3375 was spun on tin plates and glass slides, respectively, followed by drying at 50 °C for 10 h to obtain the anticipated copolymer film.

The recipes of the fluorine-containing copolymer and the composition of the copolymer film were shown in Table 1. Theoretical fluorine element content was calculated based on the weight ratio of copolymer, FTDI, as well as amount of the corresponding curing agent.

Table 1 Recipe of the fluorine-containing copolymer (mole fraction) and water contact angle of the corresponding film with stoichiometric amount of curing agent
Copolymer –OH ratio of the acrylic copolymer –NCO ratio of the fluorinated monomer –NCO ratio of the curing agent N3375 Contact angles of the films on tin plates/° Contact angles of the films on glass slides/° Theoretical fluorine element content/wt%
PA 100 0 100 79.0 ± 0.7 76.1 ± 0.2 0
FA-1 100 1 99 97.3 ± 0.8 94.7 ± 0.6 0.21
FA-2 100 2 98 110.3 ± 1.0 109.9 ± 0.4 0.43
FA-5 100 5 95 116.2 ± 0.6 114.7 ± 0.3 1.07
FA-10 100 10 90 117.1 ± 1.0 116.5 ± 0.4 2.13


2.4 Characterization

2.4.1 FT-IR analysis. The chemical structure of the fluorinated monomer, acrylic copolymer as well as the fluorine-containing acrylic copolymer was characterized by infrared spectra with a Fourier transform infrared spectrum analyzer (FT-IR, Thermo Nicolet AVATAR, USA). The fluorinated monomer was distilled under reduced pressure to remove the solvent before test. The copolymer was dried to remove the solvent and the residue was pelleted with KBr for analysis.
2.4.2 NMR analysis. 1H NMR and 19F NMR were performed on a 400 MHz AVANCE III Brüker NMR spectrometer using dimethyl sulfoxide-d6 (CD3SOCD3) as solvent. FOH, the solvent-free copolymers before and after fluorine modification were dissolved in CD3SOCD3 before test.
2.4.3 DSC analysis. Glass-transition temperature (Tg) of the copolymer was determined with differential scanning calorimetry (DSC, Mettler Toledo, DSC1, Switzerland). The test was conducted under nitrogen atmosphere with the temperature ranging from −20 °C to 200 °C under a heating rate of 10 °C min−1.
2.4.4 GPC analysis. Molecular weight distribution of the copolymers before and after fluorine modification was evaluated by gel permeation chromatography (GPC, 515-2410 system, Waters, USA) with a Styragel (HT6E_HT5_HT3) chromatography column system at 30 °C. Tetrahydrofuran (THF) was used as the mobile phase and solvent at a flow rate of 1 mL min−1. A standard polystyrene specimen with known Mn was used as reference. The copolymers were dried and then dissolved in THF for the measurement. The copolymer solutions are passed through a filter membrane with the pore size of 0.22 μm before test.
2.4.5 Static water contact angle. Static contact angle of water on the copolymer films incorporated with different amount of FTDI was measured on a KRÜSS DSA 20 equipment (KRÜSS, German) with deionized water by sessile drop method. Tin plates and glass slides were selected as the substrates. The measurements were performed at more than five different positions for each sample to report the average values.
2.4.6 XPS studies. X-ray photoelectron spectrometer (XPS, ESCALAB 250 Xi, Thermo Fisher Scientific, USA) was employed to analyze the elemental composition at surface of the copolymer films.
2.4.7 AFM analysis. The copolymer film surfaces on glass slides were characterized via an Atomic Force Microscope (Veeco DI, USA). The instrument was operated in tapping-mode to obtain the height and phase images. The root-mean-square roughness (Rq) of the films was calculated by the software.

3 Results and discussions

3.1 Synthesis of the fluorinated monomer

The FOH solution was added dropwise to ensure that TDI was excessive during the reaction to generate the structure with only one perfluoroalkyl end group per fluorinated monomer molecule. Fig. 1 displays the FT-IR spectra of the fluorinated monomer (FTDI shown in Scheme 1). The characteristic vibration of 3323 cm−1 was assigned to the stretching vibration of –NH–, while the characteristic vibration of 2967 cm−1 and 2878 cm−1 were attributed to the asymmetrical and symmetrical stretching vibration of –CH3, respectively. The asymmetrical stretching vibration of –NCO appeared at 2276 cm−1. The characteristic vibration of –NH–CO– from FTDI resulted in the peak at 1714 cm−1. The peak at 1598 cm−1 was due to the stretching vibration of the benzene ring, and 1542 cm−1 to the deformation vibration of N–H from –CO–NH–. The peaks at 1237 cm−1, 1200 cm−1 and 1148 cm−1 were assigned to the perfluoroalkyl group. The existence of characteristic vibration peak of –NH–CO– and –NCO revealed that TDI had reacted with FOH, so that FTDI was prepared as expected.
image file: c4ra13725f-f1.tif
Fig. 1 FT-IR spectra of the fluorinated monomer.

3.2 Synthesis of modified acrylic copolymer

Chemical structure of the copolymers was confirmed by FT-IR as shown in Fig. 2. Both the copolymers exhibited the characteristic stretching vibration of –OH at 3500 cm−1, asymmetrical and symmetrical stretching vibration of C–H from the benzene ring at 3081 cm−1 and 3027 cm−1 respectively; asymmetrical and symmetrical stretching vibration of –CH3 at 2956 cm−1 and 2875 cm−1 respectively, stretching vibration of C[double bond, length as m-dash]O at 1731 cm−1, stretching vibration of benzene ring at 1603 cm−1, asymmetrical and symmetrical deformation vibration of –CH3 at 1454 cm−1 and 1388 cm−1 respectively, as well as the stretching vibration of C–O–C of acrylic esters at 1275 cm−1 and 1165 cm−1. There is no characteristic vibration of C[double bond, length as m-dash]C at around 1640 cm−1 appeared, indicating that all the monomer had been incorporated into the copolymer with no residual monomer existed.
image file: c4ra13725f-f2.tif
Fig. 2 FT-IR spectrum of the copolymers. (a) Acrylic copolymer PA; (b) fluorine-containing acrylic copolymer FA-10.

When 10 mol% FTDI was introduced to modify the acrylic copolymer (Fig. 2b), the existence of deformation vibration of N–H from –CO–NH– at 1535 cm−1 and characteristic vibration of the perfluoroalkyl group at 1245 cm−1 and 1151 cm−1, together with disappearance of the characteristic vibration peak of –NCO at 2276 cm−1, proved that the fluorinated monomer had been incorporated into the acrylic copolymer and the desired fluorine-containing copolymer was prepared.

Fig. 3 displays the 1H NMR spectra of the copolymers. In the spectrum of PA, the peak at 0.9 ppm was assigned to the proton of –CH3 from MMA, HEMA and BA. The peaks between 1.0 ppm to 1.5 ppm were due to the –CH2CH2– in BA. The protons on the main chains resulted in the peaks around 2.0 ppm. The peaks at 3.4 ppm and 3.5 ppm were assigned to –CH2– and –OH from –CH2OH of HEMA, respectively. The peaks between 3.7 ppm to 4.9 ppm were due to the –OCH2– and –OCH3 groups from BA, HEMA and MMA. The protons on the benzene ring of St resulted in the peaks at around 7.2 ppm, while the proton of –COOH from AA resulted in the peak at 12.1 ppm. Compared with the spectra of acrylic copolymer PA and the fluorine-containing acrylic copolymer FA-1, the characteristic peak of –OH at 3.5 ppm (peak 1 in Fig. 3a) became weak and the peak of –NH appeared at 3.3 ppm in Fig. 3b (peak 2). It confirmed that FTDI had reacted with the hydroxyl group on the side chain of the hydrocarbon acrylic copolymer.


image file: c4ra13725f-f3.tif
Fig. 3 1H NMR spectra of the copolymers. (a) acrylic copolymer PA; (b) fluorine-containing acrylic copolymer FA-1.

The chemical structures of FOH and the fluorine-containing acrylic copolymer FA-1 were corroborated by 19F-NMR as shown in Fig. 4. In spectrum of FOH (Fig. 4a), the chemical shifts at −80.9 ppm was assigned to the –CF3 group, the peak at −113.0 ppm was assigned to the fluorine atoms of –CF2CH2CH2OH, while the peaks between −121.7 ppm to −127.5 ppm were assigned to the other –CF2– groups. It is obvious that the fluorine-containing copolymer FA-1 (Fig. 4b) shows almost the same peaks with FOH (Fig. 4b). The less fluorine content dissolved in the solvent resulted in a rough baseline of the spectrum. As a result, it demonstrated that fluorine-containing acrylic copolymer was prepared via the modification route as expected.


image file: c4ra13725f-f4.tif
Fig. 4 19F NMR spectra of FOH (a) and fluorine-containing acrylic copolymer FA-1 (b).

On the other hand, it has been reported that DSC may be applied to judge the homogeneity of the copolymerization process,23 so that DSC was employed to test the glass transition temperature (Tg) of the copolymer synthesized in this manuscript. One single Tg is undoubtedly an indication of a copolymer synthesized via statistical copolymerization rather than a blend of homopolymers. Fig. 5 exhibits the DSC curves of the acrylic copolymer and the fluorine-containing copolymer modified with different amount of the fluorinated monomer. Each copolymer exhibited only one Tg, indicating that all the monomers had been copolymerized to synthesize the anticipated acrylic copolymer, furthermore, the fluorinated monomer had been chemically incorporated into the copolymer. There was no homopolymer generated during the process of either the polymerization or the fluorine modification. Besides, it also revealed that Tg of the copolymer increased as more fluorinated monomer was incorporated. The interesting result was attributed to the increasing amount of the relatively rigid molecular chain of FTDI as well as the branching degree of the copolymer molecules.


image file: c4ra13725f-f5.tif
Fig. 5 DSC curves of the copolymers. (a) PA; (b) FA-1; (c) FA-2; (d) FA-5; (e) FA-10.

GPC was employed to explore the molecular weight Mn, Mw and distribution of the copolymers before and after fluorine modification. The copolymers were dissolved in THF before test. However, the THF solutions of FA-5 and FA-10, copolymers with higher fluorine content, were difficult to pass through the filter membrane with the pore size of 0.22 μm. Only GPC traces of PA, FA-1 and FA-2 were obtained and shown in Fig. 6. The number average molecular weight (Mn) of the copolymers kept almost unchanged, while the weight average molecular weight (Mw) increased significantly with the increasing amount of FTDI added, suggesting a broader molecular weight distribution and larger polydispersity. The poor solubility of FA-5 and FA-10 was due to the even larger molecular weight. These proved further that FTDI was incorporated into the copolymer via the modification route.


image file: c4ra13725f-f6.tif
Fig. 6 GPC traces of the copolymers. (a) Hydrocarbon acrylic copolymer PA, (b) fluorine-containing copolymer FA-1, (c) fluorine-containing copolymer FA-2.

In conclusion, the fluorinated monomer FTDI has reacted with the hydroxyl groups on the side chain of the acrylic copolymers. A series of fluorine-containing acrylic copolymer was prepared by incorporating different amount of FTDI into the hydrocarbon acrylic copolymer.

3.3 Surface property of the copolymer films

3.3.1 Contact angles. Water contact angle has been used to reflect the hydrophobicity of the coatings. Better hydrophobicity reflects a higher contact angle. The copolymer modified with different amount of the fluorinated monomer was mixed with stoichiometric amount of curing agent and the films were prepared on two kinds of substrate. Static water contact angles of the copolymer films on tin plates and glass slides were exhibited in Fig. 7. The same trend was observed on the two different kinds of substrate. Although water contact angles of film formed on glass slides were relatively smaller than those on tin plates, the difference were very small (less than 3°) as shown in Table 1, suggesting that the copolymer was suitable for application on substrates of different polarity. It is clear that water contact angle of the copolymer films increased sharply with the incorporation of the fluorinated monomer, indicating that the hydrophobicity of the copolymer films was improved greatly by the modification of the fluorinated monomer.
image file: c4ra13725f-f7.tif
Fig. 7 Water contact angles of the copolymer films on tin plates and glass slides. (a) PA; (b) FA-1; (c) FA-2; (d) FA-5; (e) FA-10.

Taking the films on glass slides for example, water contact angle of the mere hydrocarbon acrylic copolymer film was only 76.1 ± 0.2°. However, even if there was only 1 mol% of the fluorinated monomer incorporated into the acrylic copolymer and reacted with hydroxyl groups, contact angle of the film thereof increased remarkably to 94.7 ± 0.6° (FA-1), suggesting that the copolymer film turned to hydrophobic from hydrophilic by adding so little amount of FTDI.25 When the fluorinated monomer amount increased to 2 mol%, 5 mol% and 10 mol%, contact angle of the fluorine-containing copolymer film increased continually to 109.9 ± 0.4°, 114.7 ± 0.3° and 116.5 ± 0.4°, respectively, although to a relatively little extent as comparing with that of 1 mol% incorporation, revealing that very small amount of the fluorinated monomer produces great influence on the hydrophobicity of the copolymer film. Compared with other fluorinated acrylic copolymer modified with fluorinated acrylates,20,24,26 the modification in this manuscript seems to be more effective. These might be attributed to the modification route of the fluorinated monomer. FTDI reacted with the hydroxyl group at the end of side chains of the acrylic copolymer, thus the perfluoroalkyl group was connected to the end of side chains of the copolymer so that length of the side chains was effectively increased. This structure was more efficient in reducing surface energy of the copolymer film.16 The perfluoroalkyl groups with low surface energy tend to migrate to the surface and distribute on the film–air interface. When 1 mol% FTDI was copolymerized, the fewer low surface energy segments were easier to distribute on the film–air surface. However, as the amount of the monomer content increased, the perfluoroalkyl segments on the film surface were more and tend to be in saturated, thus water contact angle reached a limit value. Therefore, when more FTDI was incorporated, water contact angle did not increase to so large a degree as that for less than 5 mol% FTDI was copolymerized.

3.3.2 XPS. To study the migration behavior of the perfluoroalkyl segments, elemental composition of the copolymer films were characterized via XPS analysis. The maximum depth resolution for XPS was no more than 10 nm, and this is determined by the mean free path of the X-ray photon. In the characterization of this work, the sample can be rotated to change the angle between film surface of the sample in normal direction and the detector of the instrument to detect the element distribution in different depth of the film. When the angle is 0°, the test depth reaches the maximum value (no more than 10 nm). The test depth will decrease when the angle increases. The maximum value of this angle in the employed instrument is 55°, in which case, the outmost of the film surface is detected. In this work, FA-10 film was formed on a piece of silicon wafer, and 0° and 55° were chosen to obtain the element distribution of the film at different depth. Fig. 8 displays the XPS spectrum of FA-10 film based on fluorine-containing copolymer and stoichiometric curing agent, and the atomic ratio data were shown in Table 2. The stoichiometric F/C atomic ratio was just 0.02. When the angle between film surface of the sample in normal direction and the detector of the instrument was 0°, the measured value increased to 0.38, as 19-fold higher as the theoretical value, while the value increased to 0.51 as the angle increased to 55°. The results demonstrated that the perfluoroalkyl segments migrated to the air–film interface and segregated on the surface. Therefore, although the fluorine element content was only 2.13 wt% in FA-10, water contact angle of the film increased steeply to 116.5 ± 0.4°, revealing a film with excellent hydrophobicity.
image file: c4ra13725f-f8.tif
Fig. 8 XPS spectrum of FA-10 film formed on silicon wafer. (a) The angle between film surface of the sample in normal direction and the detector of the XPS instrument was 0°; (b) the angle between film surface of the sample in normal direction and the detector of the XPS instrument was 55°.
Table 2 XPS data of FA-10 film formed on silicon wafer
Atomic ratio Theoretical values Measured valuesa (0°) Measured valuesb (55°)
a The angle between film surface of the sample in normal direction and the detector of the XPS instrument was 0°.b The angle between film surface the sample in normal direction and the detector of the XPS instrument was 55°.
O/C 0.26 0.22 0.24
F/C 0.02 0.38 0.51
N/C 0.09 0.08 0.12


3.3.3 AFM. It is believed that hydrophobicity of polymeric films is generally determined by the film surface composition and the surface roughness,4,27 the copolymer film formed on glass slides was investigated by AFM. Height images of the film were shown in Fig. 9, besides, the corresponding surface root-mean-square roughness (Rq) was also calculated and recorded. The films were plat and surface roughness was smaller than 0.8 nm, suggesting that the fluorinated segments were in good compatibility with the hydrocarbon components. Moreover, surface roughness increased with amount of the fluorinated monomer added, which was helpful to improve hydrophobicity of the copolymer films.
image file: c4ra13725f-f9.tif
Fig. 9 AFM height images of the copolymer films on glass slides. (a) PA; (b) FA-1; (c) FA-2; (d) FA-5; (e) FA-10.

4 Conclusion

A novel route was designed to synthesize a kind of fluorinated monomer with a perfluoroalkyl group end and a residual isocyanate group. A series of fluorine-containing acrylic copolymer with long perfluoroalkyl side chains was prepared by incorporation of the fluorinated monomer which was reacted with hydroxyl groups on the side chain of the common acrylic copolymer. Furthermore, by mixing the fluorine-containing copolymer with stoichiometric curing agent, hydrophobic film was formed. The structure of the monomer as well as the copolymer was confirmed by FT-IR, 1H NMR and 19F NMR, respectively. DSC results revealed that incorporation of the fluorinated monomer resulted in a graft copolymer which contained a fluorinated side chain and led to a little increased Tg of the copolymer, which was probably due to the introduction of relatively rigid fluorinated molecular chain within the copolymer and the increase of the copolymer molecule weight and branching degree. GPC traces suggested that incorporation of the fluorinated monomer resulted in a higher weight average molecular weight (Mw), broader molecular weight distribution and larger polydispersity of the copolymer. XPS showed that the perfluoroalkyl segments migrated to surface of the film. AFM revealed that the fluorinated components were in good compatibility with hydrocarbon acrylic segments, furthermore, the surface roughness increased with the increasing amount of the fluorinated monomer. The fluorinated segments segregated on the surface together with the increased surface roughness contributed to a more hydrophobic film.

In addition, different fluorinated monomers can be synthesized by varying molecular chain of the fluorinated alcohols or acids. And the fluorinated monomers can be used to modify other copolymers containing amine, hydroxyl or carboxyl groups. Therefore, the method of synthesizing fluorinated monomer and the procedure of modifying copolymers produce high significance in creating hydrophobic films with low surface energy.

Acknowledgements

This work was financially supported by the National Natural Science Foundation of China (51173006).

References

  1. A. F. Thünemann, A. Lieske and B.-R. Paulke, Adv. Mater., 1999, 11, 321–324 CrossRef.
  2. A. Asakawa, M. Unoki, T. Hirono and T. Takayanagi, J. Fluorine Chem., 2000, 104, 47–51 CrossRef CAS.
  3. R. A. Iezzi, S. Gaboury and K. Wood, Prog. Org. Coat., 2000, 40, 55–60 CrossRef CAS.
  4. L. Feng, S. H. Li, Y. S. Li, H. J. Li, L. J. Zhang, J. Zhai, Y. L. Song, B. Q. Liu, L. Jiang and D. B. Zhu, Adv. Mater., 2002, 14, 1857–1860 CrossRef CAS.
  5. X. Yang, L. Zhu, Y. Zhang, Y. Chen, B. Bao, J. Xu and W. Zhou, Appl. Surf. Sci., 2014, 295, 44–49 CrossRef CAS PubMed.
  6. A. Akthakul, R. F. Salinaro and A. M. Mayes, Macromolecules, 2004, 37, 7663–7668 CrossRef CAS.
  7. M. D. Damaceanu, C. P. Constantin, M. Bruma and N. M. Belomoina, Polymer, 2014, 55, 4488–4497 CrossRef CAS PubMed.
  8. W. Xu, Q. F. An, L. F. Hao, D. Zhang and M. Zhang, Appl. Surf. Sci., 2013, 268, 373–380 CrossRef CAS PubMed.
  9. Q. H. Zhang, Q. Y. Wang, X. L. Zhan and F. Q. Chen, Ind. Eng. Chem. Res., 2014, 53, 8026–8034 CrossRef CAS.
  10. C. S. Gudipati, J. A. Finlay, J. A. Callow, M. E. Callow and K. L. Wooley, Langmuir, 2005, 21, 3044–3053 CrossRef CAS PubMed.
  11. K. A. Pollack, P. M. Imbesi, J. E. Raymond and K. L. Wooley, ACS Appl. Mater. Interfaces, 2014, 6, 19265–19274 CAS.
  12. S. Ito, S. Kaneko, C. M. Yun, K. Kobayashi and M. Nakagawa, Langmuir, 2014, 30, 7127–7133 CrossRef CAS PubMed.
  13. C. Benbayer, S. Saidi-Besbes, E. T. de Givenchy, S. Amigoni, F. Guittard and A. Derdour, Colloid Polym. Sci., 2014, 292, 1711–1717 CAS.
  14. M. J. Lina, T. L. D. Lune, A. Dessaint, et al. Fluorinated Acrylic Monomers as Hydrophobic and Oleophobic Agents,[thin space (1/6-em)]U.S.A[thin space (1/6-em)]Pat., 5144056, 1992.
  15. J.-Q. Huang, W.-D. Meng and F.-L. Qing, J. Fluorine Chem., 2007, 128, 1469–1477 CrossRef CAS PubMed.
  16. W. Ming, J. Laven and R. V. D. Linde, Macromolecules, 2000, 33, 6886–6891 CrossRef CAS.
  17. V. S. Reddy, B. D. Lunceford, P. E. Cassidy and J. W. Fitch, Polymer, 1997, 38, 703–706 CrossRef CAS.
  18. R. R. Thomas, D. R. Anton, W. F. Graham, M. J. Darmon, B. B. Sauer, K. M. Stika and D. G. Swartzfager, Macromolecules, 1997, 30, 2883–2890 CrossRef CAS.
  19. D.-K. Kim, S.-B. Lee and K.-S. Doh, J. Colloid Interface Sci., 1998, 205, 417–422 CrossRef CAS PubMed.
  20. D. Han, L. Zhu, Y. Chen, W. Li and L. Feng, J. Fluorine Chem., 2013, 156, 38–44 CrossRef CAS PubMed.
  21. J.-W. Ha, I. J. Park, S.-B. Lee and D.-K. Kim, Macromolecules, 2002, 35, 6811–6818 CrossRef CAS.
  22. J. Z. Gao, X. M. Wang, Y. X. Wei and W. Yang, J. Fluorine Chem., 2006, 127, 282–286 CrossRef CAS PubMed.
  23. K. Landfester, R. Rothe and M. Antonietti, Macromolecules, 2002, 35, 1658–1662 CrossRef CAS.
  24. P. T. Xiong, D. P. Lu, P. Z. Chen, H. Z. Huang and R. Guan, Eur. Polym. J., 2007, 43, 2117–2126 CrossRef CAS PubMed.
  25. L. Gao and T. J. McCarthy, Langmuir, 2007, 23, 3762–3765 CrossRef CAS PubMed.
  26. W. Yang, Y. Chen, D. Han and L. Zhu, J. Fluorine Chem., 2013, 149, 8–12 CrossRef CAS PubMed.
  27. R. N. Wenzel, Ind. Eng. Chem., 1936, 28, 988–994 CrossRef CAS.

This journal is © The Royal Society of Chemistry 2015
Click here to see how this site uses Cookies. View our privacy policy here.