Unusual tandem sequence of oxa Diels–Alder reaction, retro Diels–Alder reaction, and oxa 6π-electrocyclic ring opening in the reaction of 6-amino-4-(4-methoxyphenyl)-2H-pyran-2-ones with benzaldehydes

Adil I. Khatri and Shriniwas D. Samant*
Department of Chemistry, Institute of Chemical Technology, N. M. Parekh Road, Matunga, 400019, India. E-mail: sd.samant@ictmumbai.edu.in; Fax: +91 22 2269 2102; Tel: +91 22 3361 2606

Received 29th October 2014 , Accepted 21st November 2014

First published on 21st November 2014


Abstract

The oxa Diels–Alder reaction of 6-amino-4-(4-methoxyphenyl)-2H-pyran-2-ones with benzaldehydes took an unusual path whereby a tandem sequence of the oxa Diels–Alder reaction, retro Diels–Alder reaction, and 6π-electrocyclic ring opening of the pyran yielded 3-(4-methoxyphenyl)-5-phenyl-1-(piperidin-1-yl/pyrrolidin-1-yl)penta-2,4-dien-1-ones. The reaction took place in boiling toluene with a series of substituted benzaldehydes. An electron-donating group on benzaldehyde retarded the reaction, while an electron-withdrawing group favoured it, thus indicating the normal electron demand pathway.


2-Pyrones function as dienes in the Diels–Alder reaction. The first Diels–Alder reaction of 2-pyrone was reported in 1931 by Otto Diels and Kurt Alder, only three years after the discovery of the Diels–Alder reaction.1 Subsequently, the reaction has been applied to synthesize various natural and synthetic products.2,3 Applications in the synthesis and utility of 2-pyrones have been described in reviews.4,5 The reaction is interesting, as the intermediate bicyclic adduct undergoes rapid expulsion of carbon dioxide through a retro Diels–Alder reaction to form the carbocyclic product. There are a few reports in which the unstable bicyclic adduct has been isolated.6–8 An electron-donating group on the 2-pyrones ring favours a normal electron demand Diels–Alder reaction. The Diels–Alder reaction of 3-hydroxy-2-pyrones is accelerated in the presence of a base due to the formation of better electron-donating oxide anions.9,10 3,5-Dibromo-2-pyrone reacts with electron-deficient as well as electron-rich dienophiles and gives normal and inverse electron demand Diels–Alder reactions, thus showing an ambident diene characteristic.8 An electron-donating group such as methyl or methoxyl groups at the 6-position of the 2-pyrones ring is highly favorable, and the corresponding Diels–Alder reaction has been used to construct diverse skeletons.11,12

The Diels–Alder reactions of 2-pyrones reported thus far are mostly carbocyclic. There are only a few reports of normal electron demand hetero Diels–Alder reactions of 2-pyrones (1) with the nitrile group of toluene sulfonyl cyanide13 (2a) or benzonitrile (2b)14 as the heterodienophile to afford pyridine derivatives (3a–b). Interestingly, in an attempt to carry out the Diels–Alder reaction of 3-hydroxy-2-pyrone (4) with the carbonyl group of aromatic aldehydes (5), a vinylogous aldol reaction took place and 6-arylhydroxymethyl-3-hydroxy-2-pyrone (6) was formed instead of the hetero Diels–Alder adduct (7) (Scheme 1).15


image file: c4ra13374a-s1.tif
Scheme 1 Previous attempts of hetero Diels–Alder reaction 2-pyrones.

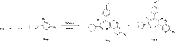
The normal electron demand Diels–Alder reaction of 2-pyrones is favored by an electron-donating group in the 2-pyrones ring, particularly at the 4- and 6-positions, and the use of an electron-deficient dienophile. The carbonyl group of benzaldehydes is known to function as a dienophile in the hetero Diels–Alder reaction.16,17 Hence, we thought that if a 2-pyrone is activated by an amino group at the 6-position, the pyrone would undergo a normal electron demand18 oxa Diels–Alder reaction with the carbonyl group of an aryl aldehyde; the reaction would provide 2-aminopyrans. With this objective, we attempted the Diels–Alder reaction of 6-amino-4-(4-methoxyphenyl)-2H-pyran-2-ones (11) with benzaldehydes (12). Unexpectedly, the Diels–Alder reaction gave 3,5-diaryl-1-aminopenta-2,4-dien-1-ones (15 and 16), through the expected Diels–Alder reaction followed by an oxa 6π-electrocyclic ring opening of the initial adduct. This unusual reaction is described herein.

Acetone dicarboxylic acid was prepared by treating citric acid with concentrated sulfuric acid and reacting it with anisole in situ to obtain 3-(4-methoxyphenyl)pent-2-enedioic acid (8).19 The conversion of 3-arylpent-2-enedioic acid directly to 6-chloro-4-aryl-2-pyrone is known to occur using PCl5 in chlorobenzene.20 We used a similar condition for the conversion of 8 to 9, but found that isolation of 9 from chlorobenzene solution was difficult, and hence we replaced chlorobenzene with DCM. We recorded the m.p. of 9 as 110–112 °C. Synthesis of 9 by another procedure is known, and interestingly, the m.p. reported earlier is 216–217 °C.21 Upon reaction with piperidine (10a) and pyrrolidine (10b), 9 gave 6-amino-4-(4-methoxyphenyl)-2-pyrones 11a and 11b, respectively (Scheme 2).


image file: c4ra13374a-s2.tif
Scheme 2 Synthesis of 6-amino-2-pyrones 11a and 11b.

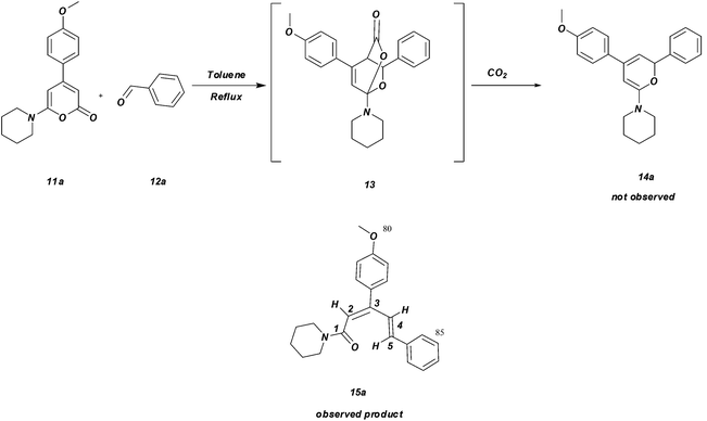
The Diels–Alder reaction of 11a with benzaldehyde (12a) was attempted in refluxing toluene. The reaction was very slow; after 50 h, the diene was almost consumed and product 15a was obtained. The expected product of the hetero Diels–Alder reaction of 11a with benzaldehyde (12a) under thermal conditions would be 2-aminopyran (14a), after the expulsion of CO2 from the initial adduct 13 (Scheme 3). However, product 15a was found to be different than 14a.


image file: c4ra13374a-s3.tif
Scheme 3 Hetero Diels–Alder reaction of 11a with benzaldehyde.

In the IR spectrum of 15a, there was a strong amide carbonyl peak at 1619 cm−1. The lower frequency was due to conjugated carbonyl groups. In the 1H NMR spectrum of 15a, the piperidine ring protons were intact along with the aromatic protons of both the phenyl rings – one of the diene and the other of the dienophile. Interestingly, a pair of doublets with trans coupling, J2 = 16 Hz, due to olefinic protons was obtained at δ 6.54 and δ 7.69.

A third olefinic proton was observed at δ 6.01 as a singlet. The magnetically non-equivalent protons at δ 3.52(2H) and δ 3.68(2H) as two triplets hinted that there could be a piperidine amide moiety in the product. The structure was further confirmed by 1H–1H COSY spectrum, with two trans coupling protons being seen at 6.54 and 7.69 δ.

On the basis of the spectral analysis structure, 14a was ruled out and structure 15a was assigned to the product. Thus, it appeared that the course of the reaction involved the formation of the initial Diels–Alder adduct 13, which underwent decarboxylation to form 6-aminopyran 14a, which in turn underwent a 6π-electrocyclic ring opening to form the product (2E,4E)-3-(4-methoxyphenyl)-5-phenyl-1-(piperidin-1-yl)penta-2,4-dien-1-one (15a).

This is in accord with the fact that the 2H-pyran ring is unstable and undergoes a reversible ring opening to form open chain 1-oxodienes, even at ambient temperature.22–31 Such 1-oxodienes find many synthetic applications.32–34

image file: c4ra13374a-u1.tif

The dienamides 15 and 16 are interesting dienoic acid amides that are otherwise difficult to synthesize, as the respective dienoic acids are not available.

Furthermore, such compounds are present in natural products. For example, piperine (17) and piperyline (18) are pentadienoic acid amides, which are biologically active and are present in black pepper, Piper nigrum.37–39 Synthesis of these compounds often requires multistep and cumbersome processes.35,36

11a and 11b were reacted with a series of substituted benzaldehydes (12a–g) in refluxing toluene to obtain a series of dienamides (15a–g and 16a–c) (Table 1).

Table 1 Hetero Diels–Alder reaction of 6-amino-2H-pyrones (11) with benzaldehydes (12)a

image file: c4ra13374a-u2.tif

Entry Pyrone Benzaldehydes Product Timeb (h) Yield (%) m.p. (°C)
12 X R1 R2
a Reaction conditions: 11a/b: 0.5 mmol; 12[thin space (1/6-em)]:[thin space (1/6-em)]1 mmol; solvent: toluene (5 mL), reflux.b Complete consumption of 11a/b.c No reaction.
1 11a 12a C H H 15a 50 81 94–96
2 11a 12b C H CN 15b 48 86 124–126
3 11a 12c C H CF3 15c 32 84 112–114
4 11a 12d N H H 15d 60 49 90–92
5 11a 12e C NO2 H 15e 38 56 100–102
6 11a 12f C CH3 H 15f 80 33 Gum
7 11a 12g C H NO2 15g 40 73 128–130
8 11b 12a C H H 16a 46 61 114–116
9 11b 12b C H CN 16b 42 78 146–148
10 11b 12c C H CF3 16c 42 79 122–124
11c 11a Piperonal 80


An electron-donating group on benzaldehyde retarded the reaction; even a methyl group gave poor yield (10f), and piperonal failed to furnish the product. However, electron-withdrawing groups such as –CN, –CF3, and –NO2 gave excellent product yield.

Conclusions

In conclusion, we have discovered, for the first time, an unusual reaction of 6-amino-4-(4-methoxyphenyl)-2H-pyran-2-ones with aromatic aldehydes involving a tandem sequence of a normal electron demand Diels–Alder reaction, elimination of carbon dioxide from the adduct, and oxa 6π-electrocyclic ring opening of the pyran to form 3,5-diaryl-1-alkylamino-penta-2,4-diene-1-ones. The pentadienoic acid amide products are not common and are difficult to prepare, and hence, in addition to the theoretical interest, the reaction has the potential to furnish such unusual compounds.

Acknowledgements

AIK is grateful to CSIR, Delhi (India), for a fellowship. The authors are thankful to the Institute for Intensive Research in Basic Sciences (IIRBS), M. G. University, Kottayam, Kerala (India) and Guru Jambheshwar University of Science and Technology (GJUST), Haryana, (India) for providing the NMR facility.

Notes and references

  1. O. Diels and K. Alder, Justus Liebigs Ann. Chem., 1931, 490, 257–266 CrossRef.
  2. K. Afarinkia and J. Berna-Canovas, Tetrahedron Lett., 2000, 41, 4955–4958 CrossRef CAS.
  3. R. D. Slack, M. A. Siegler and G. H. Posner, Tetrahedron Lett., 2013, 54, 6267–6270 CrossRef CAS PubMed.
  4. A. Goel and V. J. Ram, Tetrahedron, 2009, 65, 7865–7913 CrossRef CAS PubMed.
  5. K. Kranjc and M. Kočevar, ARKIVOC, 2013,(I), 333–363 CrossRef CAS.
  6. G. H. Posner, T. D. Nelson, C. M. Kinter and N. Johnson, J. Org. Chem., 1992, 57, 4083–4088 CrossRef CAS.
  7. K. Afarinkia, M. J. Bearpark and A. Ndibwami, J. Org. Chem., 2003, 68, 7158–7166 CrossRef CAS PubMed.
  8. C.-G. Cho, Y.-W. Kim, Y.-K. Lim, J.-S. Park, H. Lee and S. Koo, J. Org. Chem., 2002, 67, 290–293 CrossRef CAS PubMed.
  9. H. Okamura, T. Iwagawa and M. Nakatani, Tetrahedron Lett., 1995, 36, 5939–5942 CrossRef CAS.
  10. T. Komiyama, Y. Takaguchi and S. Tsuboi, Synthesis, 2006, 1405–1407 CAS.
  11. M. E. Jung, J. A. Lowe III, M. A. Lyster, M. Node, R. W. Pfluger and R. W. Brown, Tetrahedron, 1984, 40, 4751–4766 CrossRef CAS.
  12. S. A. Ahmed, E. Bardshiri and T. J. Simpson, Tetrahedron Lett., 1988, 29, 1595–1596 CrossRef CAS.
  13. J. B. Hendrickson and J. Wang, Org. Prep. Proced. Int., 2003, 35, 623–626 CrossRef CAS.
  14. T. Jaworski and S. Kwiatkowski, Rocz. Chem., 1970, 44, 555–559 CAS.
  15. S. Y. Teck, PhD thesis, National University of Singapore, 2009.
  16. X. Zhang, H. Du, Z. Wang, Y. Wu and K. Ding, J. Org. Chem., 2006, 8, 2862–2869 CrossRef PubMed.
  17. X. Cao, S. Qin, Z. Su, H. Yang, C. Hu and X. Feng, Eur. J. Org. Chem., 2010, 3867–3875 CrossRef CAS.
  18. J. Sauer and R. Sustmann, Angew. Chem., Int. Ed. Engl., 1980, 19, 779–807 CrossRef.
  19. D. B. Limaya and V. M. Bhave, Indian J. Chem., 1931, 8, 137–141 Search PubMed.
  20. L. Balázs, I. Kádas and L. Tõke, Tetrahedron Lett., 2000, 41, 7583–7587 CrossRef.
  21. D. V. Sule, N. P. Karambelkar, K. D. Deodhar and R. A. Kulkarni, Indian J. Chem., Sect. B: Org. Chem. Incl. Med. Chem., 1980, 19, 648–652 Search PubMed.
  22. P. N. Day, Z. Wang and R. Pachter, J. Phys. Chem., 1995, 99, 9730–9738 CrossRef CAS.
  23. Y. Zhu, S. Ganapathy and R. S. H. Liu, J. Org. Chem., 1992, 57, 1110–1113 CrossRef CAS.
  24. C. P. Lillya and A. F. Kluge, J. Org. Chem., 1971, 36, 1977–1988 CrossRef CAS.
  25. T. A. Gosink, J. Org. Chem., 1974, 39, 1942–1944 CrossRef CAS.
  26. E. N. Marvell, T. Gosink, P. Churchley and T. Li, J. Org. Chem., 1972, 37, 2989–2992 CrossRef CAS.
  27. R. S. Paton, S. E. Steinhardt, C. D. Vanderwal and K. N. Houk, J. Am. Chem. Soc., 2011, 133, 3895–3905 CrossRef CAS PubMed.
  28. E. N. Marvell, T. Chadwick, G. Caple, T. Gosink and G. Zimmer, J. Org. Chem., 1972, 37, 2992–2997 CrossRef CAS.
  29. J. M. Um, H. Xu, K. N. Houk and W. Tang, J. Am. Chem. Soc., 2009, 131, 6664–6665 CrossRef CAS PubMed.
  30. K. Hemming and R. J. K. Taylor, J. Chem. Soc., Chem. Commun., 1993, 1409–1410 RSC.
  31. M. Furber, J. M. Herbert and R. J. K. Taylor, J. Chem. Soc., Perkin Trans. 1, 1989, 683–690 RSC.
  32. A. V. Kurdyumov, R. P. Hsung, K. Ihlen and J. Wang, Org. Lett., 2003, 5, 3935–3938 CrossRef CAS PubMed.
  33. R. P. Hsung, A. V. Kurdyumov and N. Sydorenko, Eur. J. Org. Chem., 2005, 23–44 CrossRef CAS.
  34. B. G. Pujanauski, B. A. Bhanu Prasad and R. Sarpong, J. Am. Chem. Soc., 2006, 128, 6786–6787 CrossRef CAS PubMed.
  35. Y. Z. Huang, L. Shi, J. Yang and J. Zhang, Tetrahedron Lett., 1987, 28, 2159–2162 CrossRef CAS.
  36. S. Chandrasekhar, M. V. Reddy, K. S. Reddy and C. Ramarao, Tetrahedron Lett., 2000, 41, 2667–2670 CrossRef CAS.
  37. B. Labruyère, J. Agric. Food Chem., 1966, 14, 469–472 CrossRef.
  38. M. Friedman, C. E. Levin, S.-U. Lee, J.-S. Lee, M. Ohnisi-Kameyama and N. Kozukue, J. Agric. Food Chem., 2008, 56, 3028–3036 CrossRef CAS PubMed.
  39. K. Kulka, J. Agric. Food Chem., 1967, 15, 48–57 CrossRef CAS.

Footnote

Electronic supplementary information (ESI) available: Experimental procedures, characterisation data of compounds, and copies of NMR and HRMS spectra. See DOI: 10.1039/c4ra13374a

This journal is © The Royal Society of Chemistry 2015
Click here to see how this site uses Cookies. View our privacy policy here.