A Langmuir-like desorption model for reflecting the inhomogeneous pore structure of coal and its experimental verification

Haina Jiangab, Yuanping Cheng*ab and Liang Yuanc
aNational Engineering Research Center of Coal Gas Control, China University of Mining & Technology, Xuzhou, Jiangsu 221116, China. E-mail: 632851078@qq.com; Fax: +86 516 83995097; Tel: +86 516 83885948
bFaculty of Safety Engineering, China University of Mining & Technology, Xuzhou, Jiangsu 221116, China
cNational Engineering Research Center of Coal Gas Control, Huainan, Anhui 232000, China

Received 13th August 2014 , Accepted 1st December 2014

First published on 1st December 2014


Abstract

A Langmuir-like model was established to describe the desorption kinetics of methane in coal with inhomogeneous pore structure. Two Chinese coal samples were selected to study the initial CH4 desorption rate in coals with the volumetric method under five equilibrium pressures. The results show that the pressure has a significant influence on desorption kinetics of methane in coal. At a constant temperature, the desorption volume increases with pressure. And at a given desorption time, the desorption volume appears to have a Langmuir-like relationship with pressure. Also, the relationship between the parameters in the Langmuir-like model and desorption time is a power function. Thus, we can obtain the changing law of desorption volume with the equilibrium pressure and the desorption time from a Langmuir-like model. This model is a valuable option to the prediction of lost gas content and identification of coal and gas outburst.


1 Introduction

Coal bed methane has always been a major problem in underground coal mining and can cause a variety of problems including mining hazards of explosions and outbursts, pollution of the environment, and climate change.1–3 Thus, in order to improve mining safety and to reduce greenhouse gas emission, the research of gas transportation of methane in coal is very important.4–7

Desorption kinetics of methane in coal has been studied since 1950 and the conventional approach for modeling matrix gas transport mainly focuses on the relative desorption volume rather than the absolute desorption volume.8–15 For example, the unipore diffusion model8–13 and the bidisperse pore diffusion model,14 these models play an important role in understanding details of the desorption law. However, the application of absolute desorption volume plays an important role in predicting the coal and gas outburst. And researchers have proposed many equations to describe the relationship between the absolute desorption volume and desorption time, such as the H.image file: c4ra08620a-t14.tif.BCTimage file: c4ra08620a-t15.tifHOB equation (Qt = v0((1 + t)1−n − 1)/(1 − n)), Barrier equation image file: c4ra08620a-t1.tif and Sun Chong-xu equation (Q = ati).16 In which, the Barrier equation was proposed on the basis of unipore diffusion model and has its own theoretical foundation, and the Barrier equation was verified to fit well with the experimental desorption data in a short time but not good for a longer time. The H.image file: c4ra08620a-t16.tif.BCTimage file: c4ra08620a-t17.tifHOB and Sun Chong-Xu equations were proposed by fitting the experimental data and belongs to empirical formula, and these equations were proved not to be suitable for all coal samples because of the complex coal characteristics.17

Coal is a complex polymeric material, its pore structure is inhomogeneous,18–20 and as a potential reservoir for coal bed methane (CBM), the pore structure has great effects on gas transport.21–23 Therefore, for seeking the best fit for the desorption kinetics of methane in coal, two Chinese coal samples were applied to do the desorption experiment and a desorption model for reflecting the inhomogeneous pore structure of coal was established. The desorption model can describe the relationship between the absolute desorption volume and desorption time at a given pressure, and this is important in predicting the coal and gas outburst.

2 Theory of the Langmuir-like equation

Coal is a porous media with macromolecule structure resulting in the inhomogeneous pore structure.18–20 Suppose there are N kinds of adsorption center at the coal surface. As total rate is the difference between desorption rate and adsorption rate, it can be expressed in eqn (1):
 
image file: c4ra08620a-t2.tif(1)
where t is the desorption time, n is the nth adsorption center number, θt is gas coverage on the coal surface at the desorption time of t based on assumption of monolayer adsorption type. fn is the fraction of the nth adsorption center. For the ideal gas, Rnd and Rna are separately the desorption and adsorption rate for the nth adsorption center. Rnd is proportional to θn defined as the gas coverage at the nth adsorption center, then Rna is proportional to 1 − θn defined as the empty adsorption sites at the nth adsorption center, also, Rna is proportional to α defined as the ratio of absorbed molecule number to total molecules hitting the coal surface, so the total rate can be given by eqn (2)
 
image file: c4ra08620a-t3.tif(2)
where knd and kna are separately the constants of desorption and adsorption rate, μ is the total number of molecules hitting 1 cm2 coal surface per second, and can be expressed in image file: c4ra08620a-t4.tif according to the kinetic theory of gas. T is the absolute temperature; P is the gas pressure; M is the molecule weight of the gas; R is the gas constant.

When the types of adsorption center is large enough, eqn (2) can be expressed in a simple style given in eqn (3):

 
image file: c4ra08620a-t5.tif(3)
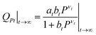
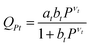
where image file: c4ra08620a-t6.tif; [k with combining macron]a and [k with combining macron]d are separately the average constants of adsorption and desorption rate for the whole inhomogeneous coal surface; αt is the ratio of absorbed molecule number to the total molecules hitting the coal surface at time t; νt is a parameter representing the inhomogeneous level of coal surface (0 < ν < 1) at time t. When the time t → ∞, the adsorption rate is equal to the desorption rate, then eqn (3) becomes:
 
image file: c4ra08620a-t7.tif(4)
where QPt is the volume of gas desorbed at time t, at is the limit desorption volume at time t under the equilibrium pressure P, representing the adsorption capacity of coal, the larger the value of at, the stronger the adsorption forces and the steeper the desorption curve.

Let image file: c4ra08620a-t8.tif, then eqn (4) becomes

 
image file: c4ra08620a-t9.tif(5)

From eqn (5) it can obtain that the relationship between the desorption volume with the pressure under the equilibrium pressure P at the time t → ∞. bt is the Langmuir desorption constant at the time t → ∞, and its reciprocal is the Langmuir pressure that is corresponding to the pressure at which half of the Langmuir volume at → ∞ is reached and from eqn (5) we can see that bt → ∞ reflects the ratio of adsorption and desorption rate and the larger the value of bt → ∞ the higher the desorption rate and the steeper the desorption curve.

As for a given pressure, the adsorption/desorption volume changes over time before equilibrium, thus from eqn (5), we can assume that: a limit desorption volume (at) and a Langmuir desorption constant (bt) always exists corresponding to a given time t during the adsorption/desorption process under a given pressure, and the inhomogeneous level of coal always changes over time because of the adsorption of methane to coal surface. Thus for a given time t, there always exists an index of vt, thus, the desorption rate for a given pressure P at a given time t would be given in the following form:

 
image file: c4ra08620a-t10.tif(6)

In order to verify the applicability of eqn (6) in the methane desorption from coal, we did some desorption experiments and the changing law of parameters over time in eqn (6) were also be confirmed.

3 Experimental verification of the Langmuir-like desorption model

3.1 Proximate and petrographic analysis of coal samples

Two coal samples were collected from TieFa (TF), TunLan (TL) coal mines. Upon collection, coal blocks were immediately wrapped tightly with plastic, indexed, and transported to the laboratory. The blocks were then ground and sieved to a size range of 0.2–0.25 mm. After crushing, the samples were kept in airtight packets and refrigerated to prevent oxidation. Table 1 summarizes the proximate and petrographic analysis results of the coal samples.
Table 1 Proximate and petrographic analysis of two Chinese coal samples
Coal VRr (%) Petrographic analysis (vol%) Proximate analysis (wt%)
Vitrinite Intertinite Mineral Mad Ad Vdaf
TF 0.60 91.60 5.50 2.90 6.77 19.75 38.77
TL 1.85 88.65 2.30 9.05 0.89 22.89 19.63


From Table 1 it can be seen that TL coal samples has the higher coal rank, mineral and ash contents, Vitrinite group macerals are the most abundant maceral group in this two coal samples, no liptinites were found in this two coal samples, the possibly reason is that Liptinite/Exinite often accumulated in a specific position in the coal bed, which means that the Liptinite/Exinite in coal seams are unevenly distributed, some positions may be rare in Liptinite/Exinite, while some coal positions may be rich in Liptinite/Exinite. The distribution of Liptinite/Exinite is mainly controlled by coal-forming materials. Another possibly reason is that the Liptinite/Exinite has fine grain size, occurs in other components, and it is always difficult to analyze accurately.24

3.2 Pore structure by nitrogen adsorption

Liquid nitrogen adsorption method was used to study the inhomogeneous pore surface structure of coal, the specific surface area was calculated with BET method, the pore volume was calculated with the BJH equation. To better understand the effects of pore structure on the gas desorption kinetics, a combined classification from IUPAC25 and Hodot26 for coal pore size was used in this work: ultra-micropores (<10 nm), mesopores (10–100 nm), macropores (>100 nm). The results are shown in Table 2:
Table 2 Pore structure parameters obtained from the liquid nitrogen adsorption method
Coal sample Average pore diameter/nm The total specific surface area/(m2 g−1) Percentage of the specific surface area of the pore-size spectrum/% Total pore volume/(mL g−1) The specific pore volume of the pore-size spectrum/%
<10 nm 10–100 nm >100 nm <10 nm 10–100 nm >100 nm
TF 7.525 5.84 72.964 24.387 2.649 9.02 × 10−3 65.9 5.9 28.2
TL 22.02 0.998 37.201 54.656 8.143 2.96 × 10−3 4.38 74.2 21.42


From Table 2 we can see that the TF coal sample has the smaller average pore diameter, the higher total and segmented specific surface area, the larger percentage of the micropore specific surface area, the lower percentage of mesopore and macropore specific surface area, the larger total pore volume and the percentage of the micropore and macropore pore volume, the lower percentage of mesopore pore volume comparing with the TL coal sample. The changing law of pore structure parameters with coal rank are consistent with the results reported by Levy et al., (1997);27 Gürdal and Yalçın (2001);28 Bustin and Clarkson (1998)29 that a changing trend of pore structure parameters with coal rank runs through a minimum.

Based on the nitrogen adsorption method, two types of N2 adsorption/desorption isotherms were illustrated in Fig. 1.


image file: c4ra08620a-f1.tif
Fig. 1 N2 adsorption/desorption isotherms at low temperature (77 K) of TF and TL coal samples.

From Fig. 1 we can see that the adsorption capacity of the liquid nitrogen in TF coal sample is larger than in TL coal sample. No hysteresis loops between the adsorption/desorption isotherms exist in both of the two coal samples, the possibly reason is that proportion of the micro-pore is too large, and hysteresis characteristic exists in the desorption process. Another possible reason may be the variation of pore structure in coal, such as the swelling of coal during adsorption.30 The differences between the two coal samples are as follow:

The N2 adsorption/desorption isotherms of TF coal sample increases slowly at the lower relative pressure and rapidly at the relative pressure near 1. When the relative pressure is less than 0.42, the adsorption isotherm is essentially coincident with the desorption branch, indicating that small pores are accessible via a single pore throat. As the relative pressure rises, the resulting inflection point occurs can be attributed to the difference between the adsorption and desorption mechanisms, corresponding to condensation and evaporation, respectively, and a steep fall exists in the desorption isotherm at the 0.42–0.6 MPa interval. According to the kelvin equation, the pore size corresponding to the relative pressure of 0.42 MPa is 3.3 nm. The pores with the size lower than 3.3 nm is mainly cylinder-shaped pores with one open end and the pores with the size upper 3.3 nm are mainly inkbottle-shaped and slit-shaped. The pore structure in TF coal sample has good condition in coal bed methane storage resulting in high methane volume and rapid desorption rate.

The N2 adsorption/desorption isotherms of the TL coal sample increases slowly within the 0.1–0.9 relative pressure and rapidly with the relative pressure near 0.9 and does not show any adsorption limitation. According to the previous research results, these linear indicates that pores in the TL coal samples are mainly slit-shaped pores and few cylinder-shaped pores with two open end, few inkbottle-shaped pores and wedges-shaped pores. And these pore shape structure is disadvantage in coal bed methane storage resulting in low methane volume and slow desorption rate.

3.3 Desorption kinetics

Core sampling method was used to prepare the coal samples for the standard desorption tests. The collected coal samples were crushed into particles of 0.2–0.25 mm using a sampling machine. The gas used for the desorption tests were CH4 with a purity of about 99.99% and the experiments were conducted with the bath temperature of 303.15 K.

For the analysis of different gas desorption characteristics of coal samples, we corrected the desorption volume to standard atmospheric condition with the dry ash-free basis according to the eqn (7) to comparatively study the desorption characteristics of the two Chinese coal samples.

 
image file: c4ra08620a-t11.tif(7)
where Qt is the total desorption volume corrected to standard atmospheric condition, mL; Qt is the desorption volume obtained during the experimental process, mL; tw is the ambient temperature, °C; Patm is the atmospheric pressure, MPa; hw is the height of liquid column in the desorption cylinder, mm; P0 is the saturated vapor pressure at the temperature of tw, MPa. The corrected data on the basis of the experimental data and the eqn (7) for the desorption kinetics of CH4 at the equilibrium pressure are shown in Fig. 2.

We can see from Fig. 2 that the shapes of the desorption kinetics are similar and have strong regular. The desorption rate of CH4 depends strongly on pressure, and the cumulative amount of desorption volume presents the positive interrelated relationship to the pressure, the reason is the increasing of initial gas concentration with adsorption content at higher equilibrium pressure, thus, when gas diffusion begins, greater gas concentration gradient exists at higher equilibrium pressure and finally resulting in the faster gas diffusion speeds.26 The slope of desorption curve is higher at the later point of time than the former point, and the slope in the first 10 min is very high. This phenomenon indicates that at the higher equilibrium pressure, the adsorption of the coal to methane is stronger and the desorption volume is larger, also, we can obtain the result that the desorption rate becomes smaller along with the time. According to the molecular diffusion theory, the reason for this phenomenon is the dependency of desorption rate on concentration difference exists between the external and internal surface of pore because of the highly enriched methane on the inner surface of pore. This concentration difference forces the methane to diffuse, and as time goes on, the concentration difference reduces gradually resulting in the gradually reduced desorption rate. It is observed from Fig. 2 that for CH4, the lower-ranked TF coal sample generally exhibited higher desorption rate compared to the higher-ranked TL coal sample. This difference may be related to the evolution of coal pore structure with changing rank.17 And also this difference may caused by the surface area of coal that is higher in low rank TF coal sample.


image file: c4ra08620a-f2.tif
Fig. 2 CH4 desorption data under different pressures of two Chinese coal samples.

To verify the eqn (6), six vertical lines at the time of 5 min, 10 min, 15 min, 20 min, 25 min, 30 min were marked on each sub-graph in Fig. 2, and these vertical lines will intersect the desorption lines, then the vertical coordinates of this intersections were defined as QPt, which means the desorption volume at the time t with the equilibrium pressure P. By applying the eqn (6), the points of (P, QPt) were marked on Fig. 3.


image file: c4ra08620a-f3.tif
Fig. 3 Diagram of PQPt on the two Chinese coal samples with CH4.

From Fig. 3, we can see that correlation coefficients are all above 0.95, which means that the relationship between QPt and P can be well described by eqn (6). The parameters of at, bt in eqn (6) are shown in Table 3.

It can be seen from Table 3 that the ultimate desorption volume at in TF coal sample are larger than that in TL coal sample, consisting with pore structures of the two coal samples. And the trend of at increasing with the desorption time is consistent with the desorption curve. And the decreasing of bt with the desorption time shows that the desorption rate decreases with the desorption time, consisting with the desorption curve. And the increasing of νt in TF coal sample and decreasing of νt in TL coal sample with t may due to the different pore structures of the two samples. The changing law of the parameters can be seen intuitively from Fig. 4.

Table 3 Parameters of the Langmuir-like model on the two Chinese coal samples with CH4 absorbed
t/min TF TL
at bt νt [R with combining circumflex]2 at bt νt [R with combining circumflex]2
5 21.8153 0.2266 0.1993 0.99659 8.5246 0.4286 0.0459 0.9970
10 25.7842 0.2376 0.2107 0.9991 10.6904 0.4204 0.0320 0.9984
15 29.7602 0.2253 0.2365 0.9987 12.3416 0.4065 0.0308 0.9984
20 35.5151 0.1964 0.2749 0.9976 13.3787 0.4139 0.0179 0.9995
25 39.8553 0.1802 0.2918 0.9956 14.6383 0.3975 0.0237 0.9990
30 40.9812 0.1816 0.2950 0.9946 15.6035 0.3922 0.0230 0.9990



image file: c4ra08620a-f4.tif
Fig. 4 Changing law of the Langmuir-like model parameters on the two Chinese coal samples for CH4.

Through the fitting results of the data (t, at) and (t, bt) in Fig. 4, we can conclude that the relationship between at, bt and t are all in the form of power function:

 
at = catda (8)
 
bt = cbtdb (9)
 
vt = cvtdv (10)
where parameters of ca, cb, cν, da, db, dν are the coefficient of the power functions and are listed in Table 4.

Table 4 Parameters of ca, cb, cν, da, db, dν in TF and TL coal samples
Coal sample ca da cb db cν dν
TF 10.80988 0.39422 0.4644 −0.0463 0.12353 0.25809
TL 4.92097 0.338 0.4649 −0.047 0.0932 −0.44754


After taking the eqn (8)–(10) into the eqn (6), the eqn (11) that can describe the relationship between QPt and P at random time t was obtained:

 
image file: c4ra08620a-t12.tif(11)
where A = ca·cb, B = da + db, C = cb, D = db, E = cν, F = dν.

Eqn (11) is called as Langmuir-like desorption model and the desorption curve it presents is as follow: the desorption volume increases with pressure, the slope of the curve at the low pressure is larger, and the slope of the curve decreases gradually with pressure. This is because the desorption volume is proportion to the surface coverage fraction of methane. The coverage rate of methane on coal gradually decreases with the increasing pressure because of the gradually saturated adsorption coal surface. Under a certain pressure, the desorption pressure at the initial period is large, then as time goes on, the desorption rate gradually decreases.

Through eqn (11), we can predict the desorption rate at any given pressure and time for coal samples obtained from the working face by doing several desorption kinetics experiments for corresponding given pressure P to confirm values of parameters in Langmuir-like model, which plays an important role in lost gas estimation and the prediction of mine outburst.

4 Conclusions

Pressure has a significant influence on the desorption kinetics of gases in coal. At a constant temperature, the desorption volume increases with the pressure regardless of the coal rank and gas type. And at a given desorption time, the desorption volume appears to have a Langmuir-like relationship with pressure. Also, the relationship between at, bt, νt in the Langmuir-like model and the desorption time t are in the form of power function. Thus, a Langmuir-like desorption model expressed in the form of image file: c4ra08620a-t13.tif was established, which plays an important role in lost gas estimation and the prediction of mine outburst.

Acknowledgements

The authors are grateful to the National Science Foundation of China (nos 51374204, 51004106 and 41202118), the National Science Foundation for the Youth of China (no 51204173), the China Postdoctoral Science Foundation (no 2014T70561), the Fundamental Research Funds for the Central Universities (no 2014ZDP08) and the National Basic Research Program of China (973 Program, no 2011CB201204). The support of the Doctoral Scientific Fund (1Y136427) and the Open Fund of State Key Laboratory Cultivation Base for Gas Geology and Gas Control (WS2012A02) are also acknowledged.

References

  1. J. Sobczyk, Fuel, 2011, 90(3), 1018–1023 CrossRef CAS PubMed.
  2. G. R. Barker-Read and S. A. Radchenko, Int. J. Min. Geol. Eng., 1989, 7(2), 101–126 CrossRef.
  3. J. Bae and S. K. Bhatia, Energy Fuels, 2006, 20(6), 2599–2607 CrossRef CAS.
  4. A. Kronimus, A. Busch, S. Alles, D. Juch, A. Jurisch and R. Littke, Int. J. Greenhouse Gas Control, 2008, 2(3), 329–341 CrossRef CAS PubMed.
  5. S. Day, R. Fry and R. Sakurovs, Int. J. Coal Geol., 2011, 86(2–3), 197–203 CrossRef CAS PubMed.
  6. S. Wong, D. Law, X. Deng, J. Robinson, B. Kadatz, W. D. Gunter, Y. Jianping, F. Sanli and F. Zhiqiang, Int. J. Greenhouse Gas Control, 2007, 1(2), 215–222 CrossRef CAS.
  7. A. Busch and Y. Gensterblum, Int. J. Coal Geol., 2011, 87(2), 49–71 CrossRef CAS PubMed.
  8. D. Charrière, Z. Pokryszka and P. Behra, Int. J. Coal Geol., 2010, 81(4), 373–380 CrossRef PubMed.
  9. S. P. Nandi and P. L. Walker Jr, Fuel, 1970, 49(3), 309–323 CrossRef CAS.
  10. D. M. Smith and F. L. Williams, Fuel, 1984, 63(2), 251–255 CrossRef CAS.
  11. F. Han, A. Busch, B. M. Krooss, Z. Liu and J. Yang, Fuel, 2013, 108, 137–142 CrossRef CAS PubMed.
  12. S. Bhowmik and P. Dutta, Int. J. Coal Geol., 2013, 113(1), 50–59 CrossRef CAS PubMed.
  13. C. R. Clarkson and R. M. Bustin, Fuel, 1999, 78(11), 1345–1362 CrossRef CAS.
  14. J. Q. Shi and S. Durucan, Fuel, 2003, 82(10), 1219–1229 CrossRef CAS.
  15. A. Ciembroniewicz and A. Marecka, Fuel, 1993, 72(3), 405–408 CrossRef CAS.
  16. Z. Shu-tong, Procedia Eng., 2011, 26, 243–251 CrossRef PubMed.
  17. A. Feng-Hua, C. Yuan-Ping, W. Dong-Mei and L. Wei, Int. J. Min. Miner. Eng., 2011, 28(01), 81–85 Search PubMed.
  18. R. Sakurovs, L. He, Y. B. Melnichenko, A. P. Radlinski, T. Blach, H. Lemmel and D. F. R. Mildner, Int. J. Coal Geol., 2012, 100, 51–64 CrossRef CAS PubMed.
  19. P. J. McMahon, I. K. Snook and W. Treimer, J. Colloid Interface Sci., 2002, 252(1), 177–183 CrossRef CAS PubMed.
  20. H. Song, L. Min, X. Jun, S. Lushi, L. Peisheng, S. Sheng and S. Xuexin, Fuel, 2004, 83(10), 1307–1313 CrossRef CAS PubMed.
  21. Y. Yao, D. Liu, D. Tang, S. Tang and W. Huang, Int. J. Coal Geol., 2008, 73(1), 27–42 CrossRef CAS PubMed.
  22. C. Ö. Karacan and E. Okandan, Fuel, 2001, 80(4), 509–520 CrossRef CAS.
  23. Y. Cai, D. Liu, Z. Pan, Y. Yao, J. Li and Y. Qiu, Fuel, 2013, 103, 258–268 CrossRef CAS PubMed.
  24. W. Ao, W. Huang, C. Weng, X. Xiao, D. Liu, X. Tang, P. Chen, Z. Zhao, H. Wan and R. B. Finkelman, Geosci. Front., 2012, 3(1), 85–95 CrossRef CAS PubMed.
  25. IUPAC, Reporting physisorption data for gas/solid systems with special reference to the determination of surface area and porosity, Pure Appl. Chem., 1982, 54(11), 2201–2218 Search PubMed.
  26. B. B. Hodot, Outburst of coal and coalbed gas (Chinese Translation), China Industry Press, Beijing, 1966, p. 318 Search PubMed.
  27. J. H. Levy, S. J. Day and J. S. Killingley, Fuel, 1997, 76(9), 813–819 CrossRef CAS.
  28. G. Gürdal and M. N. Yalçın, Int. J. Coal Geol., 2001, 48(1–2), 133–144 CrossRef.
  29. R. M. Bustin and C. R. Clarkson, Int. J. Coal Geol., 1998, 38(1–2), 3–26 CrossRef CAS.
  30. Y. Cai, D. Liu, Z. Pan, Y. Yao, J. Li and Y. Qiu, Fuel, 2013, 103, 258–268 CrossRef CAS PubMed.

This journal is © The Royal Society of Chemistry 2015
Click here to see how this site uses Cookies. View our privacy policy here.