Open Access Article
This Open Access Article is licensed under a
Creative Commons Attribution 3.0 Unported Licence

Sterically geared tris-thioureas; transmembrane chloride transporters with unusual activity and accessibility

Hennie Valkenier *a, Christopher M. Dias a, Kathryn L. Porter Goff a, Ondřej Jurček b, Rakesh Puttreddy b, Kari Rissanen b and Anthony P. Davis *a
aSchool of Chemistry, University of Bristol, Cantock's Close, Bristol BS8 1TS, UK. E-mail: Hennie.Valkenier@bristol.ac.uk; Anthony.Davis@bristol.ac.uk
bUniversity of Jyväskylä, Department of Chemistry, Nanoscience Center, P.O. Box 35, FI-40014, Finland

Received 10th July 2015 , Accepted 30th July 2015

First published on 4th August 2015


Abstract

Tris-N-arylthioureas derived in one step from 1,3,5-tris(aminomethyl)-2,4,6-triethylbenzene are remarkably effective anion carriers. With optimised aryl substituents their activities come close to the best currently known, suggesting that they might find use as readily available standards in anion transport research.


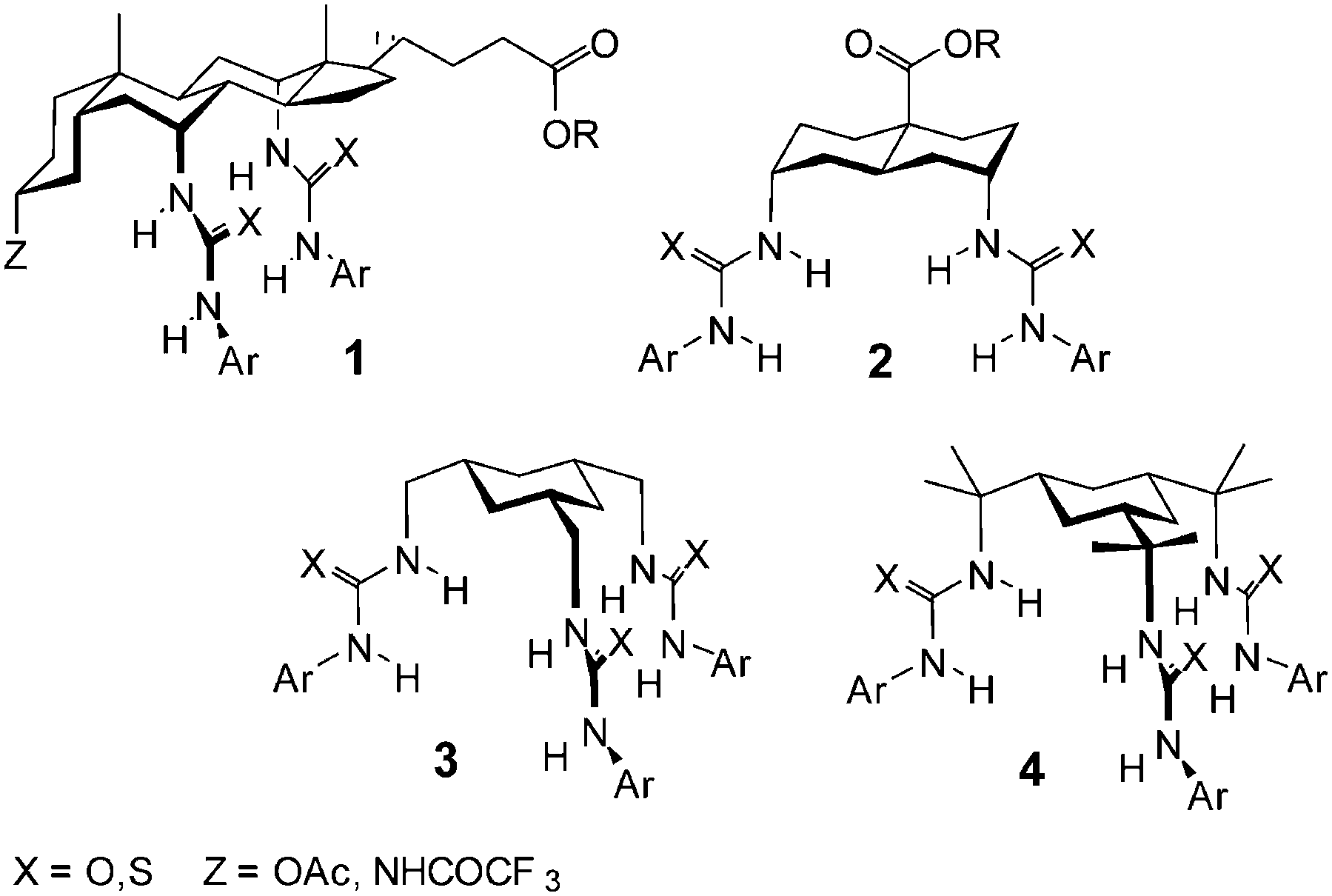
Transmembrane anion carriers1 have potential as tools for biomedical research, as anti-cancer agents,2 and as treatments for channelopathies caused by defective or absent chloride channels (e.g. cystic fibrosis).3 Recent work from this4,5 and other6,7 laboratories has shown that powerful anionophores can be developed, and that systems featuring preorganised ureas or thioureas are especially effective. However, preorganisation may be costly in preparative terms. Systems such as cholapods 15,8 and diureidodecalins 25,9 (Fig. 1) show outstanding performance but require fairly lengthy syntheses.
image file: c5cc05737j-f1.tif
Fig. 1 Structures of previously reported anion transporters. A range of groups Ar have been used, most typically those shown in Scheme 1.

To complement these highly active anion carriers, there is a need for anionophores which are effective but also readily accessible. Such compounds can lower the barrier to exploitation, and can also serve as standards for optimisation studies. We have previously shown that extreme preorganisation and anion affinities are not necessarily required for high transport activity. The cyclohexane-based systems 3 and 4 (Fig. 1) are accessible in just 4–5 steps from commercial starting materials.10 Compared to 1 and 2 these carriers have much more conformational freedom. However, while this was reflected by lower affinities for chloride, some examples were found to be surprisingly effective as chloride transporters. Indeed the most powerful (4SF2)11 is among the most effective anionophores known, and just 8 times less active than the best available.5

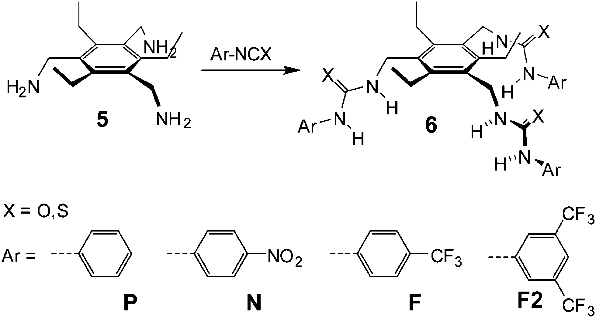
While 3 and 4 are easy to prepare, they still require several steps. For widespread use, a single-step synthesis is clearly preferable. We therefore turned to the tris(thio)ureas 6 (Scheme 1). These bear similarities to 3 and 4, but are accessible directly from the commercially available triamine 5 by reaction with iso(thio)cyanates. Scaffold 5 is widely used in supramolecular chemistry because of the preorganisation afforded by steric gearing (the tendency of substituents to alternate in direction, driven by steric bulk).12 Ureas and thioureas based on 5 have been applied in several areas of supramolecular chemistry,13 but the simple derivatives 6 have not previously been tested as anion carriers. Here we report that these compounds show remarkable transport activity, and are well suited to serve as powerful but accessible anionophores for anion transport research.


image file: c5cc05737j-s1.tif
Scheme 1 Synthesis and structures of tris(thio)ureas 6.

A precondition for anionophore activity is the ability to bind the target substrate. For biologically relevant anion transport the major target is chloride, so the potential for 6 to act as a chloride receptor was studied computationally.14 Calculations on free receptor 6OP predicted a ground state with converging NH groups (Fig. 2a), free of counterproductive NH⋯O interactions. Although the NH groups are spread quite widely, addition of Cl resulted in contraction of the binding site to yield multiple NH⋯Cl hydrogen bonds. Two binding geometries were identified, a C3v structure with a centrally placed Cl and six NH⋯Cl H-bonds (Fig. 2b), and a second structure with four shorter NH⋯Cl H-bonds involving two of the urea groups (Fig. 2c). The two structures were close in energy, the C3v version being the more stable by 1.1 kJ mol−1.


image file: c5cc05737j-f2.tif
Fig. 2 Molecular models of tris-urea 6OP and potential chloride complexes, energy-minimised using ab initio calculations (Hartree–Fock, 6-31+G* basis set). (a) Free receptor in ground state conformation. (b) C3v structure of 6OP·Cl. Hydrogen bonds (green) are 3 × 2.7 Å and 3 × 3.1 Å. (c) Alternative structure of 6OP·Cl in which chloride is bound by two urea groups via four NH⋯Cl H-bonds (all 2.6 Å). The third urea group features an E CONH unit which permits a weak CH⋯Cl interaction. For further details of the calculations see ESI.

Tris(thio)ureas 6 were synthesised by treatment of 5 with 3.3–4 equivalents of the appropriate isothiocyanate or isocyanate overnight at room temperature in either THF or DMF. Thioureas 6SP, 6SN, 6SF, and 6SF2 were obtained in 54–88% yields, and urea 6OF2 in 32% yield. Detailed synthetic procedures and full characterisation data are given in the ESI.

The binding properties of 6 towards chloride in DMSO-d6/H2O (200[thin space (1/6-em)]:[thin space (1/6-em)]1) were studied by 1H NMR titrations, employing tetrabutylammonium chloride as substrate. Receptor NH signals shifted downfield as expected, and smaller movements were also observed for aromatic CH signals. The changes were consistent with 1[thin space (1/6-em)]:[thin space (1/6-em)]1 binding during the early part of the titrations but showed deviations towards the end, suggestive of weak binding of a second chloride ion. The data were therefore analysed using a 1[thin space (1/6-em)]:[thin space (1/6-em)]1 + 1[thin space (1/6-em)]:[thin space (1/6-em)]2 (host[thin space (1/6-em)]:[thin space (1/6-em)]guest) binding model,15 to give the binding constants Ka listed in Table 1. Affinities in CHCl3 were mostly too high for measurement by 1H NMR so, where solubility permitted, they were obtained by the extraction method described previously (see Table 1).16 In the case of the weakest receptor 6SP the 1H NMR titration method could be applied and gave Ka = 1.5 × 104 M−1, close to value obtained by extraction. For this titration the signal movements fitted well to a 1[thin space (1/6-em)]:[thin space (1/6-em)]1 binding model, suggesting that the stoichiometry may be solvent dependent.

Table 1 Binding and transport data for tris(thio)ureas 3, 4 and 6
Compound Binding to Bu4N+Cl in DMSO-d6/H2O (200[thin space (1/6-em)]:[thin space (1/6-em)]1)b Binding to Et4N+Cl in CHCl3e Chloride–nitrate exchange in LUVs
Scaffold X Ar K a,1[thin space (1/6-em)]:[thin space (1/6-em)]1 (M−1) K a,1[thin space (1/6-em)]:[thin space (1/6-em)]2 , (M−1) K a (M−1) (apparent) t 1/2 (s) Specific initial rate [I]g (s−1)
n.d. = not determined due to low solubility of the compound in chloroform.a Compounds reported previously.10b 1H NMR titrations at 298 K.c Obtained from fitting of all data points to a 1[thin space (1/6-em)]:[thin space (1/6-em)]1 + 1[thin space (1/6-em)]:[thin space (1/6-em)]2 binding model in HypNMR2008.d Ka for addition of second substrate to 1[thin space (1/6-em)]:[thin space (1/6-em)]1 complex.e Obtained by extraction from water into chloroform at 303 K, as described in ref. 16. These values are considered apparent due to uncertainties concerning receptor aggregation state, complex stoichiometry etc.f Obtained from fits (0–500 s) of F0/F for transporter[thin space (1/6-em)]:[thin space (1/6-em)]lipid = 1[thin space (1/6-em)]:[thin space (1/6-em)]2500 to a single exponential function.g Specific initial rate [I]: initial slope of F0/F vs. time t, divided by the transporter/lipid ratio in the vesicle bilayers and averaged over a range of experiments at different ratios; see ESI for details.
6 S P 130 7 1.9 × 104 510 <5
6 S N 380 12 n.d. 310 5
6 S F 300 10 1.5 × 107 81 56
6 S F2 450 10 6.8 × 108 19 350
6 O F2 390 25 n.d. 110 50
3 S F2 100 2.4 × 106 160 14
4 S F 400 2.9 × 105 36 89
4 S F2 670 3.0 × 107 13 460
4 O F2 390 n.d. 25 140


The affinities measured for 6 make interesting comparisons to those published earlier for 3 and 4 (see Table 1). In wet DMSO, new benzene-based 6 proved stronger than the desmethyl cyclohexane system 3, but slightly weaker than the hexamethyl analogues 4. This is unsurprising given the distortion predicted for 6 on binding chloride (Fig. 2), and the absence of similar strain for 4. However in chloroform the position is reversed, to the extent that 6SF2 binds Et4N+Cl ∼20 times more strongly than 4SF2. This is more difficult to explain, but one possibility involves intramolecular interactions in the free receptors. While the benzene-based scaffold holds the binding groups apart, the cyclohexane-based systems are more compact and might allow weak interactions between the (thio)urea groups (favouring non-binding conformations). This factor might be more important in chloroform than in DMSO, which solvates the binding groups more effectively. It is also notable that the affinities in chloroform are very sensitive to the nature of the aryl substituents; for example, 6SF2 was found to be 40× more powerful than 6SF. The cyclohexane-based receptors 4 behave similarly (compare 4SF2 and 4SF in Table 1), but the differences for the bis-(thio)ureido cholapods 1 and decalins 2 were much smaller (for example, a factor of 4 for 2SF2vs.2SF, with R = Et5). This could suggest that all three thiourea groups of 6 are involved in binding in chloroform.

The performance of the triethylbenzene-based tris[(thio)ureas] 6 as anion transporters was tested using the previously-reported lucigenin assay.17 Large unilamellar vesicles (LUVs, 200 nm) of POPC and cholesterol (7[thin space (1/6-em)]:[thin space (1/6-em)]3) were formed with the transporter preincorporated in the membrane (at transporter[thin space (1/6-em)]:[thin space (1/6-em)]lipid ratios of 1[thin space (1/6-em)]:[thin space (1/6-em)]2500 or 1[thin space (1/6-em)]:[thin space (1/6-em)]25000) and suspended in an aqueous solution of sodium nitrate (225 mM both interior and exterior). The aqueous solution inside the vesicles also contained the halide sensitive dye lucigenin, of which the fluorescence intensity was monitored over time in a fluorescence spectrometer. Upon addition of sodium chloride (25 mM) to the vesicles the anion transporter exchanged external chloride for internal nitrate. The resulting increase in internal chloride concentration in the vesicles was observed as a decrease in the fluorescence intensity (Fig. 3, see ESI for experimental details). The fluorescence decay data were analysed to give approximate half-lives (t1/2) for chloride–nitrate exchange, and specific initial rates ([I])5 as listed in Table 1. The quantity [I], defined in Table 1, is independent of receptor loading and provides a method for comparing transporters of widely different activities. The analysis methods are detailed in previous work5 and in the ESI.


image file: c5cc05737j-f3.tif
Fig. 3 Chloride/nitrate exchange by anionophores 6 in 200 nm POPC/cholesterol (7[thin space (1/6-em)]:[thin space (1/6-em)]3) vesicles, as followed by the lucigenin method. (a) Fluorescence decay traces at transporter[thin space (1/6-em)]:[thin space (1/6-em)]lipid = 1[thin space (1/6-em)]:[thin space (1/6-em)]2500. (b) Fluorescence decay traces at transporter[thin space (1/6-em)]:[thin space (1/6-em)]lipid = 1[thin space (1/6-em)]:[thin space (1/6-em)]25000.

The results in Table 1 show that receptors 6 can indeed serve as powerful anion carriers.18 In line with previous work,4–9 the rates are strongly dependent on the nature of the binding groups (thiourea > urea) and the aryl substituent (electron-withdrawing groups being more effective). The most powerful variant, 6SF2, which was also found to have the strongest affinity for chloride, induced chloride–nitrate exchange with a half-life of only 19 s when preincorporated at 1[thin space (1/6-em)]:[thin space (1/6-em)]2500 transporter[thin space (1/6-em)]:[thin space (1/6-em)]lipid ratio (see also Fig. 3a), and a specific initial rate of 350 s−1. Urea analogue 6OF2 and (trifluoromethyl)phenyl-substituted 6SF are 6–7 times less active than 6SF2. The p-nitrophenyl compound 6SN is less effective than might have been expected based on previous work and its high chloride affinity, but this may be due to poor solubility in membranes (chloroform solubility is very low). The low activity of 6SP presumably results from its weak affinity for chloride.

The key comparisons in Table 1 are between transport activities for 6 and cyclohexane-based analogues 4. Although transporters 4 are generally more powerful than 6, the differences are small. Thus, 6SF2 possesses roughly 70% the activity of 4SF2, as measured by both t1/2 and [I]. Given that 4SF2 was the most powerful transporter reported from our laboratory at the time of publication (early 2014), the performance of 6SF2 is quite impressive. Further advances have since been made,5 but 6SF2 is still within ∼1 order of magnitude of the most active anionophore available (see Fig. 4).


image file: c5cc05737j-f4.tif
Fig. 4 A comparison of powerful anionophores reported from our laboratory. Bis-thioureidodecalin 75 is currently the most active known. [I] is a measure of chloride transport rates in 200 nm LUVs (see text).

The combination of high activity and outstanding accessibility suggests that 6SF2 could find widespread use in studies of anion transport. For example, it is well suited to serve as a standard anionophore for groups who wish to implement vesicle-based measurements, and as a comparison for new designs. Alternatives might be found among the tripodal tris-thioureas derived from tris(2-aminoethyl)amine (tren), which are also highly active.6 However, the tren-based systems are complementary in that they are less lipophilic and can transport protons as well as anions under some conditions.

Finally, the interaction of 6SF2 with chloride in the solid state was characterised by X-ray crystallography. A single crystal of 6SF2 + Me4N+Cl was obtained by vapour diffusion of diethyl ether into a dichloromethane solution. Interestingly, two molecules of receptor were found to form a cage surrounding a cyclic (Cl⋯H2O)2 dianionic cluster (Fig. 5). This result raised the possibility that a dimeric species might also be responsible for transport. To clarify the issue, we measured the initial transport rates due to 6SF2 at five carrier loadings. The resulting dose–response relationship was almost linear, consistent with transport by a monomeric carrier (see ESI for details). The experiments also allowed us to estimate an EC50,270s for 6SF2. This measure of effectiveness, defined as the transporter loading required to achieve 50% of maximum chloride influx at t = 270 s, is widely used in anion transport research.2a The value obtained for 6SF2, at 0.0019 mol% carrier:lipid, is among the lowest reported in the literature (for further discussion, see ESI).


image file: c5cc05737j-f5.tif
Fig. 5 Structure of (6SF2·Cl·H2O)2 as obtained by crystallisation of 6SF2 + Me4N+Cl. One molecule of 6SF2 is coloured pale cyan, and the two Me4N+ cations outside the cavity are omitted for clarity.

In conclusion, we have shown that sterically geared tris(thio)ureas 6 are readily synthesised in one step, and bind chloride anions with substantial affinities. The strongest receptor 6SF2 is a remarkably effective anionophore, given its accessibility. We believe this compound can play a useful role in anion transport research, as a powerful but readily available transmembrane anion carrier.

This work was supported by the EPSRC through the Bristol Chemical Synthesis Centre for Doctoral Training (EP/G036764/1) and research grant number EP/J00961X/1. The authors thank Pablo Ríos Moreno and Tiddo Mooibroek for a sample of triamine 5.

Notes and references

  1. J. T. Davis, O. Okunola and R. Quesada, Chem. Soc. Rev., 2010, 39, 3843–3862 RSC; S. Matile, A. V. Jentzsch, J. Montenegro and A. Fin, Chem. Soc. Rev., 2011, 40, 2453–2474 RSC; N. Busschaert, C. Caltagirone, W. Van Rossom and P. A. Gale, Chem. Rev., 2015 DOI:10.1021/acs.chemrev.5b00099.
  2. (a) P. A. Gale, R. Pérez-Tomás and R. Quesada, Acc. Chem. Res., 2013, 46, 2801–2813 CrossRef CAS PubMed; (b) S.-K. Ko, S. K. Kim, A. Share, V. M. Lynch, J. Park, W. Namkung, W. Van Rossom, N. Busschaert, P. A. Gale, J. L. Sessler and I. Shin, Nat. Chem., 2014, 6, 885–892 CrossRef CAS PubMed.
  3. A. P. Davis, D. N. Sheppard and B. D. Smith, Chem. Soc. Rev., 2007, 36, 348–357 RSC.
  4. H. Valkenier and A. P. Davis, Acc. Chem. Res., 2013, 46, 2898–2909 CrossRef CAS PubMed.
  5. H. Valkenier, L. W. Judd, H. Li, S. Hussain, D. N. Sheppard and A. P. Davis, J. Am. Chem. Soc., 2014, 136, 12507–12512 CrossRef CAS PubMed.
  6. N. Busschaert, P. A. Gale, C. J. E. Haynes, M. E. Light, S. J. Moore, C. C. Tong, J. T. Davis, J. William and A. Harrell, Chem. Commun., 2010, 46, 6252–6254 RSC; N. Busschaert, M. Wenzel, M. E. Light, P. Iglesias-Hernández, R. Pérez-Tomás and P. A. Gale, J. Am. Chem. Soc., 2011, 133, 14136–14148 CrossRef CAS PubMed.
  7. L. E. Karagiannidis, C. J. E. Haynes, K. J. Holder, I. L. Kirby, S. J. Moore, N. J. Wells and P. A. Gale, Chem. Commun., 2014, 50, 12050–12053 RSC.
  8. B. A. McNally, A. V. Koulov, T. N. Lambert, B. D. Smith, J.-B. Joos, A. L. Sisson, J. P. Clare, V. Sgarlata, L. W. Judd, G. Magro and A. P. Davis, Chem. – Eur. J., 2008, 14, 9599–9606 CrossRef CAS PubMed.
  9. S. Hussain, P. R. Brotherhood, L. W. Judd and A. P. Davis, J. Am. Chem. Soc., 2011, 133, 1614–1617 CrossRef CAS PubMed.
  10. J. A. Cooper, S. T. G. Street and A. P. Davis, Angew. Chem., Int. Ed., 2014, 53, 5609–5613 CrossRef CAS PubMed.
  11. The 3-element numbering system employed herein is continued from ref. 10. The elements are scaffold (e.g.4), atom X (e.g.S), and aryl group Ar (e.g.F2). The aryl groups are shown in Scheme 1.
  12. G. Hennrich and E. V. Anslyn, Chem. – Eur. J., 2002, 8, 2218–2224 CrossRef CAS; K. J. Wallace, R. Hanes, E. Anslyn, J. Morey, K. V. Kilway and J. Siegel, Synthesis, 2005, 2080–2083 Search PubMed.
  13. M. E. Moragues, L. E. Santos-Figueroa, T. Ábalos, F. Sancenón and R. Martínez-Máñez, Tetrahedron Lett., 2012, 53, 5110–5113 CrossRef CAS PubMed; G. V. Zyryanov, M. A. Palacios and P. Anzenbacher, Angew. Chem., Int. Ed., 2007, 46, 7849–7852 CrossRef PubMed; G. Sánchez, D. Curiel, I. Ratera, A. Tárraga, J. Veciana and P. Molina, Dalton Trans., 2013, 42, 6318–6326 RSC; A. Vacca, C. Nativi, M. Cacciarini, R. Pergoli and S. Roelens, J. Am. Chem. Soc., 2004, 126, 16456–16465 CrossRef PubMed; S. Roelens, A. Vacca and C. Venturi, Chem. – Eur. J., 2009, 15, 2635–2644 CrossRef PubMed; P. G. Young, J. K. Clegg, M. Bhadbhade and K. A. Jolliffe, Chem. Commun., 2010, 47, 463–465 RSC; N. Busschaert, L. E. Karagiannidis, M. Wenzel, C. J. E. Haynes, N. J. Wells, P. G. Young, D. Makuc, J. Plavec, K. A. Jolliffe and P. A. Gale, Chem. Sci., 2014, 5, 1118–1127 RSC.
  14. For a related investigation see: W. Rakrai, N. Morakot, S. Keawwangchai, C. Kaewtong, B. Wanno and V. Ruangpornvisuti, Struct. Chem., 2011, 22, 839–847 CrossRef CAS.
  15. HypNMR 2008 from Hyperquad, http://www.hyperquad.co.uk/.
  16. A. J. Ayling, S. Broderick, J. P. Clare, A. P. Davis, M. N. Pérez-Payán, M. Lahtinen, M. J. Nissinen and K. Rissanen, Chem. – Eur. J., 2002, 8, 2197–2203 CrossRef CAS; J. P. Clare, A. J. Ayling, J. B. Joos, A. L. Sisson, G. Magro, M. N. Pérez-Payán, T. N. Lambert, R. Shukla, B. D. Smith and A. P. Davis, J. Am. Chem. Soc., 2005, 127, 10739–10746 CrossRef PubMed.
  17. B. A. McNally, A. V. Koulov, B. D. Smith, J.-B. Joos and A. P. Davis, Chem. Commun., 2005, 1087–1089 RSC.
  18. Cl/NO3 transport by 6SF2 was also tested in vesicles prepared from dipalmitoylphosphatidylcholine (DPPC), which undergoes a phase transition at 41 °C. No transport was observed at 25 °C (gel phase), whereas the transporter was active at 45 °C (liquid crystalline phase), indicating a mobile carrier mechanism. See ESI for details.

Footnote

Electronic supplementary information (ESI) available: Experimental details of the synthesis, binding and transport studies, modelling, and crystal structure. CCDC 1411525. For ESI and crystallographic data in CIF or other electronic format see DOI: 10.1039/c5cc05737j

This journal is © The Royal Society of Chemistry 2015
Click here to see how this site uses Cookies. View our privacy policy here.