DOI:
10.1039/C4RA10081F
(Paper)
RSC Adv., 2014,
4, 63260-63267
Synthesis, characterization and photovoltaic properties of benzo[1,2-b:4,5-b′]dithiophene-bridged molecules†
Received
9th September 2014
, Accepted 6th November 2014
First published on 6th November 2014
Abstract
Four new acceptor–donor–acceptor based organic small molecules with the benzo[1,2-b:4,5-b′]dithiophene (BDT) unit as the central donor group, benzothiadiazole (BT) or fluoro-substituted benzothiadiazole as the acceptor, and different end-capping groups (BTBDT1–BTBDT4) have been synthesized and tested for solution-processed bulk-heterojunction organic solar cells. The absorption spectra, electronic energy levels, hole mobilities and solar cell performance of these compounds were investigated. All compounds show broad absorption in the visible range. The PCE of the solar cell device based on BTBDT3/PC71BM (1
:
2, w/w) reached 3.91% with a Jsc of 10.08 mA cm−2, a Voc of 0.90 V and a FF of 0.43, under illumination of AM 1.5G, 100 mW cm−2.
Introduction
For the rational exploitation of solar energy, organic solar cells (OSCs), with a number of advantages such as low-cost, light weight, and large-area fabrication on flexible substrates, have been developing at a quick pace in the past few years.1–9 Among various potential materials used in OSCs, an encouraging power conversion efficiency (PCE) of over 10% has been achieved by polymer materials in bulk heterojunction (BHJ) OSCs.10 On the other hand, organic small molecules have attracted considerable recent attention because of their advantages such as well-defined molecular structure, synthetically high reproducibility and no batch to batch variations, etc. as compared to the organic polymeric materials.11–13 A variety of organic small molecules containing oligothiophenes,14 diketopyrrolopyrroles,15 triphenylamine,16 benzothiadiazole (BT),17 thiazolothiazole,18 dithieno[3,2-b:2′3′-d]silole19 and organic dyes20 have been broadly researched as photovoltaic materials for OSCs. Up till now, a PCE over 8% has been achieved by using organic small molecule p-DTS(FBTTh2)2 with acceptor–donor–acceptor (A–D–A) structural motif as n-type material for OSCs.21 Noticeably, the PCEs of organic small molecules are still below their polymeric counterparts.22 On the other hand, organic small molecules with D–A architecture have been continually studied due to the easy tailoring of their electronic structures, and many efforts have been applied to the design and synthesis of new donor and acceptor building blocks. Among them, benzo[1,2-b:4,5-b′]dithiophene (BDT) unit is a good electron-donating group and it has been emerging recently as an attractive donor building block in organic polymer materials for high performance OSCs because of its rigid coplanar fused ring structure, which easily gives rise to high π-electron delocalization and strong intermolecular π–π stacking.14b,23 Also, BDT-based polymers show a more harmonious relationship between band gap and HOMO energy level than other widely used π-conjugated blocks for building polymeric OSC materials. Moreover, upon introducing a thiophene unit onto the BDT side position (BDT-T) for enlarging the molecular π-overlap, the performance of related donor materials may be further enhanced.24
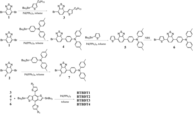
Here, we report a series of A–D–A organic small molecules consisting of alkylthiophene substituted BDT (BDT-T) unit as a central donor (D), benzothiadiazole (BT) or monofluoro-substituted BT (F-BT) unit as an acceptor (A) and alkylthiophene unit or N,N-di-p-tolylbenzenamine unit as an end-capping group. Fig. 1 shows the chemical structures of these new molecules. Except for BTBDT1 constructed with 3-hexylthiophene unit as the end-capping groups, BTBDT2, BTBDT3 and BTBDT4 were built by the N,N-di-p-tolylbenzenamine terminal unit to study the effects of such end group on the OSC performance and hole mobility property. Also, BTBDT3 was investigated by using fluorine-substituted BT unit to replace the original BT unit in BTBDT2 (Fig. 1) to investigate the fluorination effects on both OSC and OFET performance, as it is known that fluorine atom normally plays a crucial role in OSC materials because of its unique features including the high stability against oxidation, elevated resistance to degradation, higher hydrophobicity and larger effect on inter- and intra-molecular interaction via C–F⋯H, F⋯S and C–F⋯πF interactions.25 All the materials synthesized showed strong absorption between 300 and 650 nm in solid films, corresponding to the optical band-gap energy between 1.65 and 1.72 eV, which is suitable for OSC application. As a result a PCE of 3.91% was achieved for solution-processed OSCs based on a blend of BTBDT3/phenyl C71-butyric acid methyl ester (PC71BM) without the need of any post-treatment such as addition of additives and thermal annealing. Thus, alkylthiophene-substituted BDT is a promising donor building block for efficient small-molecule OSCs.
 |
| | Fig. 1 Molecular structures of BTBDT1, BTBDT2, BTBDT3 and BTBDT4. | |
Experimental section
Materials and methods
All reactions were carried out under a nitrogen atmosphere. All reagents and chemicals were purchased from commercial sources and used without further purification. Toluene was dried over Na/benzophenone ketyl and freshly distilled prior to use.
Synthesis
4,7-Dibromo-5-fluorobenzo[c][1,2,5]thiadiazole (2), 4-bromo-7-(4-hexylthiophen-2-yl)benzo[c][1,2,5]thiadiazole (3), BDT-tributylstannane and N-(4-(tributylstannyl)phenyl)-4-methyl-N-p-tolylbenzenamine were synthesized following the literature methods.21,26
Synthesis of BTBDT1. To a 100 mL round-bottom flask was added Pd(PPh3)4 (25 mg, 0.02 mmol), 3 (0.41 g, 1.1 mmol) and BDT-based bis(tributylstannane) (0.57 g, 0.5 mmol) in toluene (30 mL). The mixture was heated to reflux for 48 h under a nitrogen atmosphere. After removal of the solvents, the crude product was purified by column chromatography on silica gel eluting with hexane–CH2Cl2 (4
:
1 to 2
:
1, v/v) solvent mixture to give a brown solid (0.2 g, 34%).1H NMR (400 MHz, CDCl3): δ = 8.72 (s, 2H, Ar), 7.79 (s, 2H, Ar), 7.69 (d, 2H, J = 7.6 Hz, Ar), 7.65 (d, 2H, J = 7.6 Hz, Ar), 7.38 (d, 2H, J = 3.4 Hz, Ar), 6.93 (d, 2H, J = 3.4 Hz, Ar), 6.89 (s, 2H, Ar), 2.90 (d, 4H, J = 6.8 Hz, alkyl), 2.55 (t, 4H, J = 7.8 Hz, alkyl), 1.76–1.70 (m, 4H, alkyl), 1.58–1.54 (m, 8H, alkyl), 1.44–1.24 (m, 28H, alkyl), 0.97 (t, 6H, J = 7.2 Hz, alkyl), 0.89 (t, 6H, J = 7.0 Hz, alkyl), 0.83 (t, 6H, J = 6.8 Hz, alkyl); 13C NMR (100 MHz, CDCl3): 151.1, 144.1, 142.7, 137.9, 137.5, 136.7, 136.3, 136.2, 127.2, 127.1, 125.3, 124.8, 124.2, 123.6, 123.5, 123.0, 122.2, 120.0 (Ar), 40.5, 33.3, 31.6, 30.7, 29.4, 29.0, 28.2, 28.0, 24.7, 22.2, 21.6, 13.3, 13.1, 10.1 (alkyl) ppm. MALDI-TOF [M + 1]+: found: 1179.4, calcd: 1179.37. Anal. calcd for C66H74N4S8: C, 67.21; H, 6.33; N, 4.75. Found: C, 67.34; H, 6.45; N, 4.98%.
Synthesis of 4. To a 100 mL round-bottom flask was added Pd(PPh3)4 (60 mg, 0.05 mmol) N-(4-(tributylstannyl)phenyl)-4-methyl-N-p-tolylbenzenamine (1.7 g, 3.0 mmol) and 4,7-dibromobenzothiadiazole (0.88 g, 3.0 mmol) in toluene (50 mL). The mixture was heated to reflux for 24 h under a nitrogen atmosphere. After removal of the solvents, the crude product was purified by column chromatography on silica gel eluting with hexane–CH2Cl2 (5
:
1, v/v) solvent mixture and the desired product was isolated as a yellow solid (1.2 g, 82%).1H NMR (400 MHz, CDCl3): δ = 7.28 (d, 1H, J = 3.8 Hz, Ar), 7.70 (d, 2H, J = 8.6 Hz, Ar), 7.45 (d, 1H, J = 3.4 Hz, Ar), 7.06–6.99 (m, 10H, Ar), 2.26 (s, 6H, Me); 13C NMR (100 MHz, CDCl3): 153.1, 148.4, 147.5, 147.3, 133.5, 132.4, 129.9, 129.8, 129.4, 129.3, 127.3, 125.1, 124.9, 123.3, 122.9, 122.6, 112.2 (Ar), 24.1 (Me) ppm. MALDI-TOF [M + 1]+: found: 486.1, calcd: 486.06.
Synthesis of BTBDT2. To a 100 mL round-bottom flask was added Pd(PPh3)4 (10 mg, 8 μmol), 4 (0.15 g, 0.31 mmol) and BDT-based bis(tributylstannane) (0.17 g, 0.15 mmol) in toluene (30 mL). The mixture was heated to reflux for 48 h under a nitrogen atmosphere. After removal of the solvents, the crude product was purified by column chromatography on silica gel eluting with hexane–CHCl3 (4
:
1 to 2
:
1, v/v) solvent mixture to afford a brown solid (75 mg, 36%).1H NMR (400 MHz, CDCl3): δ = 8.83 (s, 2H, Ar), 7.88 (d, 2H, J = 3.8 Hz, Ar), 7.77 (d, 4H, J = 8.6 Hz, Ar), 7.61 (d, 2H, J = 3.4 Hz, Ar), 7.06–6.92 (m, 20H, Ar), 2.88, (d, 4H, J = 6.8 Hz, alkyl), 2.27 (s, 12H, Me), 1.70 (br, 2H, alkyl), 1.57–1.36 (m, 18H, alkyl), 0.94 (t, 6H, J = 7.2 Hz, alkyl), 0.86 (t, 6H, J = 6.8 Hz, alkyl); 13C NMR (100 MHz, CDCl3): 152.7, 151.7, 147.3, 144.5, 143.8, 138.8, 137.3, 136.7, 136.3, 131.9, 131.8, 128.8, 128.5, 128.3, 126.9, 126.2, 125.5, 124.4, 124.1, 123.9, 123.3, 122.7, 120.3 (Ar), 40.5, 33.3, 31.6, 27.9, 24.7 (Me), 22.1, 19.8, 13.2, 10.1 (alkyl) ppm. MALDI-TOF [M + 1]+: found: 1389.5, calcd: 1389.48. Anal. calcd for C86H80N6S6: C, 74.33; H, 5.81; N, 6.05. Found: C, 74.40; H, 5.99; N, 5.95%.
Synthesis of 7. To a 100 mL round-bottom flask was added Pd(PPh3)4 (100 mg, 0.08 mmol), N-(4-(tributylstannyl)phenyl)-4-methyl-N-p-tolylbenzenamine (2.2 g, 3.9 mmol) and 4,7-dibromo-5-fluorobenzothiadiazole (1.2 g, 3.9 mmol) in toluene (50 mL). The mixture was heated to reflux for 24 h under a nitrogen atmosphere. After removal of the solvents, the crude product was purified by column chromatography on silica gel eluting with hexane–CH2Cl2 (5
:
1, v/v) solvent mixture and a yellow solid was obtained (1.1 g, 56%).1H NMR (400 MHz, CDCl3): δ = 7.78 (d, 2H, J = 8.9 Hz, Ar), 7.50 (d, 2H, J = 10.1 Hz, Ar), 7.11–7.06 (m, 10H, Ar), 2.33 (s, 6H, Me); 13C NMR (100 MHz, CDCl3): 162.2, 159.6, 154.5, 154.4, 150.3, 149.4, 144.6, 134.3, 134.2, 133.5, 130.1, 127.3, 127.2, 125.5, 120.9, 95.7, 95.5 (Ar), 19.8 (Me) ppm. MALDI-TOF [M + 1]+: found: 504.0, calcd: 504.02.
Synthesis of BTBDT3. To a 100 mL round-bottom flask was added Pd(PPh3)4 (10 mg, 8 μmol), 7 (0.25 g, 0.49 mmol) and BDT-based bis(tributylstannane) (0.26 g, 0.23 mmol) in toluene (30 mL). The mixture was heated to reflux for 48 h under a nitrogen atmosphere. After removal of the solvents, the crude product was purified by column chromatography on silica gel eluting with hexane–CHCl3 (4
:
1 to 2
:
1, v/v) solvent mixture to yield a brown solid (75 mg, 36%).1H NMR (400 MHz, CDCl3): δ = 8.67 (s, 2H, Ar), 7.60 (d, 2H, J = 8.4 Hz, Ar), 7.39 (br, 4H, Ar), 6.96–6.89 (m, 22H, Ar), 2.88, (d, 4H, J = 6.8 Hz, alkyl), 2.24 (s, 12H, Me), 1.69 (br, 2H, alkyl), 1.49–1.32 (m, 18H, alkyl), 1.17 (s, 4H, alkyl), 0.99–0.87 (m, 12H, alkyl); 13C NMR (100 MHz, CDCl3): 160.3, 157.7, 152.8, 152.7, 149.9, 147.9, 144.6, 143.5, 138.3, 138.2, 136.2, 135.6, 132.7, 132.6, 132.3, 132.1, 131.9, 128.9, 128.6, 127.1, 126.7, 125.4, 125.3, 124.5, 124.3, 122.6, 119.9, 116.9, 116.7, 109.5, 109.3 (Ar), 40.5, 33.3, 31.6, 28.7, 28.0, 24.7 (Me), 22.1, 19.8, 13.2, 10.0 (alkyl) ppm. MALDI-TOF [M + 1]+: found: 1425.5, calcd: 1425.46. Anal. calcd for C86H78N6F2S6: C, 72.45; H, 5.52; N, 5.90. Found: C, 72.58; H, 5.69; N, 6.03%.
Synthesis of 6. To 5 (0.1 g, 0.2 mmol) in 50 mL of CHCl3–AcOH mixture solution was added NBS (36 mg, 0.2 mmol) at 0 °C. The mixture was stirred overnight and washed with water. After drying over Na2SO4, the residue was purified by silica gel chromatography using CH2Cl2–hexane (1
:
2, v/v) as eluent to give a red solid (90 mg, 79%).1H NMR (400 MHz, CDCl3): δ = 7.84 (m, 3H, Ar), 7.80 (d, 1H, J = 3.4 Hz, Ar), 7.68 (d, 1H, J = 7.4 Hz, Ar), 7.15 (br, 3H, Ar), 7.12–7.09 (m, 8H, Ar), 2.33 (s, 6H, Me); 13C NMR (100 MHz, CDCl3): 153.8, 152.5, 148.6, 144.8, 140.9, 133.2, 132.9, 130.6, 130.0, 129.8, 129.4, 126.8, 125.5, 125.2, 124.6, 123.5, 121.4, 119.5, 114.1 (Ar), 20.8 (Me) ppm. MALDI-TOF [M + 1]+: found: 568.0, calcd: 568.04.
Synthesis of BTBDT4. To a 100 mL round-bottom flask was added Pd(PPh3)4 (15 mg, 13 μmol), 6 (0.25 g, 0.44 mmol) and BDT-based bis(tributylstannane) (0.24 g, 0.21 mmol) in toluene (30 mL). The mixture was heated to reflux for 48 h under nitrogen. After evaporation of the solvents, the crude product was purified by column chromatography on silica gel eluting with hexane–CHCl3 (4
:
1 to 2
:
1, v/v) solvent mixture to furnish a brown solid (65 mg, 29%).1H NMR (400 MHz, CDCl3): δ = 8.05 (d, 2H, J = 4.0 Hz, Ar), 7.91 (d, 2H, J = 7.4 Hz, Ar), 7.85 (d, 4H, J = 8.6 Hz, Ar), 7.77 (s, 2H, Ar), 7.69 (d, 2H, J = 7.6 Hz, Ar), 7.15–7.09 (m, 20H, Ar), 6.97 (d, 2H, J = 3.5 Hz, Ar), 2.94 (d, 4H, J = 6.8 Hz, alkyl), 2.33 (s, 12H, Me), 1.70 (br, 2H, alkyl), 1.57–1.36 (m, 16H, alkyl), 1.01–0.86 (m, 12H, alkyl); 13C NMR (100 MHz, CDCl3): 153.9, 152.7, 148.5, 146.0, 144.9, 138.4, 137.8, 137.4, 133.1, 129.9, 129.7, 129.5, 127.9, 126.9, 126.0, 125.5, 125.2, 124.9, 121.5, 119.3 (Ar), 41.5, 34.4, 32.6, 31.6, 29.0, 25.9, 23.1, 22.7 (Me), 20.9, 14.3, 14.2, 11.1 (alkyl) ppm. MALDI-TOF [M + 1]+: found: 1553.5, calcd: 1553.46. Anal. calcd for C86H78N6F2S6: C, 72.66; H, 5.45; N, 5.41. Found: C, 72.50; H, 5.62; N, 5.60%.
Characterization
The high resolution matrix-assisted laser desorption/ionization time-of-flight (MALDI-TOF) spectra were obtained by an Autoflex Bruker MALDI-TOF mass spectrometer. NMR spectra were measured in deuterated solvents as the lock and reference on a Bruker AV 400 MHz FT-NMR spectrometer, with 1H and 13C NMR chemical shifts quoted relative to Me4Si standard. Electronic absorption spectra were obtained with a Hewlett Packard 8453 spectrometer. Cyclic voltammetry measurements were performed with a conventional three-electrode configuration consisting of a glassy carbon working electrode, Pt-wires auxiliary electrode and Ag/AgCl as reference electrode. All the CV measurements were performed in deoxygenated MeCN, with 0.1 M [nBu4N][PF6] as the supporting electrolyte. Elemental analyses were performed with a Vario EL elemental analyzer.
Theoretical calculations
All of the calculations were performed using the Gaussian 03 program package. The DFT method at the B3LYP/6-31G(d) level was used to optimize the ground-state geometries of BTBDT1–BTBDT4.
Fabrication of bulk heterojunction solar cells
The devices with the structure of ITO/PEDOT-PSS/active layer/Ca/Al, in which the active layer is a blend film of BTBDT1–BTBDT4 as the electron donor and PC61BM or PC71BM as the electron acceptor in different weight ratio were adopted. The patterned indium tin oxide (ITO) glass was pre-cleaned in an ultrasonic bath of acetone and isopropanol, and treated in an ultraviolet-ozone chamber (Jelight Company, USA) for 30 min. A thin layer (30 nm) of poly(3,4-ethylenedioxythiophene):poly(styrene sulfonate) (PEDOT:PSS, Baytron P VP AI 4083, Germany) was spin-coated onto the ITO glass and baked at 150 °C for 30 min. A chloroform solution of a blend of BTBDT1–BTBDT4:PCBM was subsequently spin-coated on the PEDOT:PSS layer to form a photosensitive layer (ca. 80 nm). The thickness of photosensitive layer was measured using an Ambios Technology XP-2 profilometer. Calcium (ca. 25 nm) and aluminum (ca. 60 nm) layers were subsequently evaporated onto the surface of photosensitive layer under vacuum to form the negative electrode. The active area of the device was 4 mm2. The current–voltage characteristics were measured using a computer controlled Keithley 236 Source Measure Unit. The photocurrent was measured under AM 1.5G illumination at 100 mW cm−2 from a xenon lamp coupled with AM 1.5G solar spectrum filters. The EQE was measured at a chopping frequency of 275 Hz with a lock-in amplifier (Stanford, SR830) during illumination with the monochromatic light from a xenon lamp.
Fabrication and characterization of organic field-effect transistors
Organic field effect transistors (OFETs) were prepared on n − Si/SiO2 substrates by spin-coating process. Au source and drain electrodes were deposited on organic semiconductor films by thermal evaporation through a shadow mask with the channel length and width of 100 μm and 2 mm, respectively.27 The thickness of the gate oxide (SiO2) is 300 nm. The OFETs were characterized in the glovebox with a semiconductor parameter analyzer (Agilent 4156C). For transfer characteristics (ID ≈ VG), the channel current (ID) between the source and drain was measured as a function of gate voltage (VG) under a constant drain voltage. For output characteristics (ID ∼ VDS), the channel current (ID) was measured as a function of drain voltage (VDS) under a constant gate voltage (VG) and different VG values resulted in different curves for ID versus VDS. The field effect mobility of each transistor was calculated in the saturation regime (VDS = −80 V) by plotting the square root of channel current (ID) versus the gate voltage (VG) and fitting the curve by eqn (1), in which Ci is the capacitance of the gate oxide with a unit area.27| |
 | (1) |
Result and discussion
Synthesis and characterization
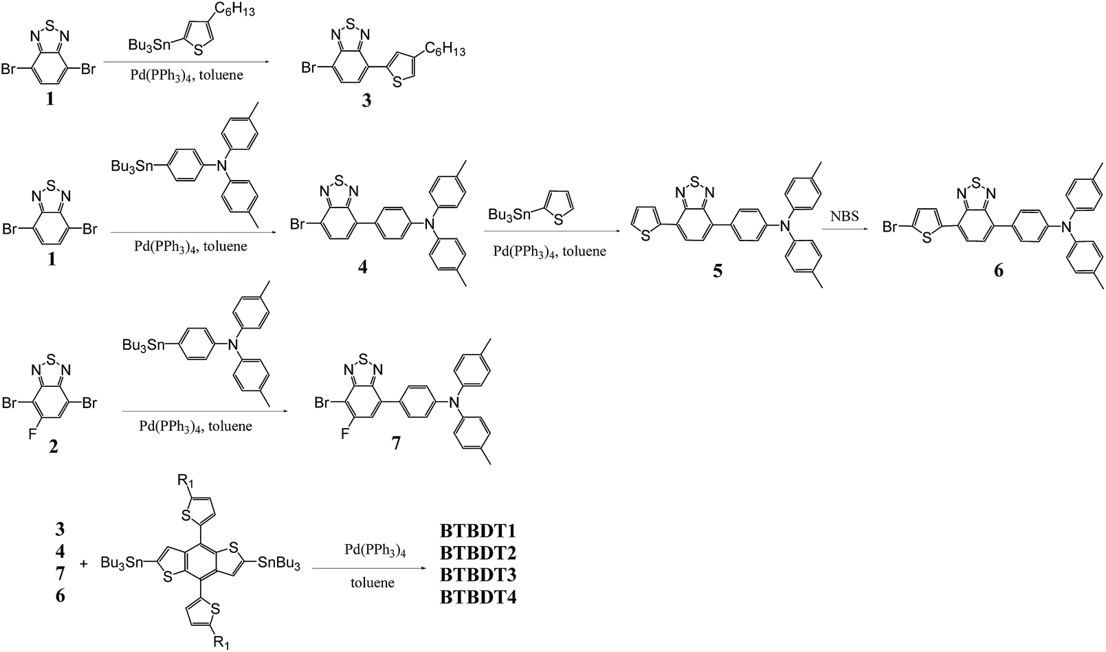
Scheme 1 depicts the synthetic routes for BTBDT1–BTBDT4. All of these compounds were synthesized via Stille coupling reaction of compounds 3, 4, 7 and 6 with BDT-based bis(tributylstannane) reagent, respectively. Also, compounds 3, 4 and 7 were synthesized via Stille coupling reaction of 4,7-dibromobenzothiadiazole or 4,7-dibromo-5-fluorobenzothiadiazole with the corresponding tributylstannane reagent. Through Stille coupling of 4 with thiophene-derived tributylstannane and subsequent bromination reaction with NBS, 6 was obtained. All the target compounds were purified by column chromatography on silica gel and fully characterized by mass spectrometry as well as 1H and 13C NMR spectroscopy.
 |
| | Scheme 1 Synthetic routes for BTBDT1–BTBDT4. | |
Photophysical properties
To study the potential of BTBDT1–BTBDT4 in organic solar cells, optical properties of the newly synthesized compounds are presented. As shown in Fig. 2 and Table 1, CH2Cl2 solutions of all compounds exhibited broad optical absorption profile with distinct high energy bands and low energy bands. The higher energy absorption bands are attributed to the localized π–π* transitions and the lower energy absorption bands can be assigned to the intramolecular charge transfer (ICT). Such absorption profiles are typical of D–A architectural molecules. As shown in Fig. 2(a), BTBDT2 and BTBDT3 exhibited similar absorption curves in CH2Cl2 solutions due to their analogous molecular structures. Replacing the 3-hexylthiophene groups in BTBDT1 by N,N-di-p-tolylbenzenamine unit resulted in a slight red shift (<10 nm) of the absorption maximum (λmax) and the onset of absorption (λonset). BTBDT4 with additional thiophene units in the middle of D–A segment of BTBDT2 showed the highest molar absorption coefficient of 14.3 × 104 M−1 cm−1 and its absorption maximum (λmax) and λonset in thin film are slightly red-shifted as compared to BTBDT2, together with the emergence of one more band in the high energy region. All of the compounds showed significantly red-shifted absorption spectra in thin films as compared with those in solution. More importantly, for BTBDT1 and BTBDT3, the absorption spectra of their thin films exhibited a strong shoulder peak at 598 nm and 585 nm, respectively, which are due to the strong intermolecular π–π stacking in their solid state.
 |
| | Fig. 2 Normalized absorption spectra of BTBDT1–BTBDT4 in (a) dilute CH2Cl2 solution and (b) thin films on quartz substrate. | |
Table 1 Absorption and CV data, energy levels and hole mobilities of BTBDT1–BTBDT4
| |
λabsmax (nm) |
Ega |
εb |
Eox/Eredc |
HOMO |
LUMO |
μh |
| Solution |
Film |
(eV) |
(M−1 cm−1) |
(V) |
(eV) |
(eV) |
(cm2 V−1 s−1) |
| Estimated from the absorption edge in the thin film. Extinction coefficient at λmax in solution. The onset oxidation (Eox) and reduction potentials (Ered). |
| BTBDT1 |
519 |
489, 551, 598 |
1.67 |
5.4 × 104 |
0.49/−1.17 |
−5.22 |
−3.56 |
3.83 × 10−6 |
| BTBDT2 |
532 |
550 |
1.72 |
10.4 × 104 |
0.52/−1.26 |
−5.25 |
−3.47 |
2.45 × 10−5 |
| BTBDT3 |
528 |
547, 585 |
1.69 |
11.5 × 104 |
0.50/−1.15 |
−5.23 |
−3.58 |
1.85 × 10−5 |
| BTBDT4 |
525 |
564 |
1.64 |
14.3 × 104 |
0.39/−1.19 |
−5.11 |
−3.54 |
8.37 × 10−6 |
Electrochemical properties
To evaluate the oxidation (Eox) and reduction potentials (Ered) of these conjugated molecules, cyclic voltammetry (CV) was performed on their thin films on glassy carbon electrode. The highest occupied molecular orbital (HOMO) and lowest unoccupied molecular orbital (LUMO) energy levels were estimated from the onset oxidation (Eox) and reduction (Ered) potentials by assuming the energy level of ferrocene/ferrocenium (Fc/Fc+) to be −4.80 eV below the vacuum level (the formal potential of Fc/Fc+ was measured as 0.07 V against Ag/Ag+).28 The similar LUMO energy levels of BTBDT1–BTBDT4 (except for BTBDT3) are reasonably attributed to the same BT acceptor unit for them (Fig. 3). Also, the parallel molecular backbones of BTBDT2 and BTBDT3 result in their similar HOMO energy levels. However, the corresponding LUMO energy level of BTBDT3 is lower by about 0.11 eV than that of BTBDT2, which is reasonably attributed to the presence of the F-BT fragments in which the electron-withdrawing F group will cause BTBDT3 reduced more easily. This is also consistent with the TDDFT data (Table S2†). BTBDT4, which contains two more thiophene units than BTBDT2 and BTBDT3, shows a little higher HOMO energy level. As the Voc is proportional to the energy difference between the LUMO of the acceptor and the HOMO of the donor, the Voc of BTBDT4 is lower than those of other compounds under the same device conditions.
 |
| | Fig. 3 Cyclic voltammograms of BTBDT1–BTBDT4 in 0.10 M Bu4NPF6–CH3CN with a scan rate 100 mV s−1. | |
Theoretical studies
To understand the optical and electrochemical properties of our compounds, we have modeled the electronic structure by density functional theory (DFT) calculations using the hybrid B3LYP exchange–correlation functional and the split-valence 6-31G(d,p) basis set.29 Contributed by the fully planar backbone structures (considered as A–D–A or A–π–D–π–A) of all these four compounds, the electronic distributions in the frontier molecular orbitals of each molecule are spread throughout the whole π-conjugated backbone in the HOMO energy levels (Fig. 4). Moreover, the fully coplanar configuration of these backbones will facilitate the π-electron delocalization along the conjugated backbone, leading to a smaller band gap. On the contrary, in the molecular LUMO energy levels, the electron distributions of all these compounds are mostly located on the BT (or F-BT) moiety.
 |
| | Fig. 4 DFT/B3LYP/6-31G gap orbital energy and topologies of BTBDT1–BTBDT4. | |
BHJ solar cell performance
BHJ solar cells based on BTBDT1–BTBDT4 were fabricated in a typical configuration of ITO/PEDOT-PSS/active layer/Ca/Al and their performance was tested. OSCs were optimized empirically by scrutinizing variation in the blend ratios of the compounds to PC61BM or PC71BM, respectively. The resulting open-circuit voltage (Voc), short-circuit current density (Jsc), fill factor (FF), and power conversion efficiency (PCE) values were determined from the J–V curves (Fig. 5), and all of the relevant solar cell performance parameters are summarized in Table 2.
 |
| | Fig. 5 (a) Current–density (J–V) curves and (b) EQE spectra of the devices with a ratio of BTBDT1–BTBDT4/PC71BM = 1 : 2 (w/w) under the illumination of AM 1.5G, 100 mW cm−2. | |
Table 2 Photovoltaic properties of the OSCs based on donor/PC71BM (different ratio, w/w) under illumination of AM 1.5G, 100 mW cm−2
| Donor |
Donor: PC71BM (w/w) |
Voc (V) |
Jsc (mA cm−2) |
FF |
PCE (%) |
| BTBDT1 |
1 : 1 |
0.92 |
7.12 |
33.2 |
2.18 |
1 : 2 |
0.90 |
6.87 |
36.2 |
2.24 |
1 : 3 |
0.87 |
6.43 |
35.4 |
1.98 |
| BTBDT2 |
1 : 1 |
0.95 |
5.62 |
33.7 |
1.80 |
1 : 2 |
0.93 |
8.19 |
46.1 |
3.51 |
1 : 3 |
0.89 |
8.66 |
42.9 |
3.31 |
| BTBDT3 |
1 : 1 |
0.85 |
8.55 |
34.1 |
2.47 |
1 : 2 |
0.90 |
10.08 |
43.1 |
3.91 |
1 : 3 |
0.89 |
9.68 |
42.2 |
3.64 |
| BTBDT4 |
1 : 1 |
0.83 |
8.55 |
41.1 |
2.94 |
1 : 2 |
0.82 |
8.89 |
42.6 |
3.10 |
1 : 3 |
0.85 |
8.65 |
38.2 |
2.81 |
The current density versus voltage (J–V) curves of BTBDT1–BTBDT4/PC71BM with different weight blend ratios are illustrated in Fig. 5(a) and the related EQE curves are shown in Fig. 5(b), respectively. As the donor/PC71BM blend ratio was increased from 1
:
1 to 1
:
2, the optimized device gave the best PCE for each compound. Among them, BTBDT3 showed the highest PCE of 3.91%, accompanied by a Voc of 0.90 V, a Jsc of 10.08 mA cm−2, and a FF of 43.1%. With a further increase in the content of PC71BM, the corresponding Jsc and FF values together with the PCE value in each compound were decreased (except for the Jsc in BTBDT2).
For efficient photovoltaic devices, the charge-carrier mobility, as an essential property for OSCs, is one of the important factors that affect the Jsc in the devices. In order to enhance charge carrier transport in the active layer as well as to reduce the recombination of photocurrent in solar cells, a high hole mobility is required for the electron donor. The hole mobilities of these BDT-based compounds were studied using organic field-effect transistors (OFETs). The mobilities calculated at VDS =−80 V of BTBDT1–BTBDT4 are given in Table 1 and typical p-type characteristics were observed for all compounds (Fig. S2†). The field-effect hole mobilities of 3.83 × 10−6 cm2 V−1 s−1, 2.45 × 10−5 cm2 V−1 s−1, 1.85 × 10−5 cm2 V−1 s−1 and 8.37 × 10−6 cm2 V−1 s−1 were observed in OFETs based on BTBDT1–BTBDT4, respectively. In general, addition of the strongly electron-donating arylamino group tends to increase the hole mobility in the series. Also, the hole mobilities of BTBDT2 and BTBDT3 are comparatively higher than the others, and this is consistent with the relatively higher Jsc of 8.19 mA cm−2 and 10.08 mA cm−2 in their photovoltaic devices, as compared with those from BTBDT1 and BTBDT4. In addition, the FF values of the OSCs based on BTBDT2 and BTBDT3 (at 1
:
2 ratio, w/w) were notably higher than the other two, which could be attributed to their higher hole mobilities.30 While extension of the conjugation length of BTBDT4 is expected to lead to a red-shifted and stronger absorption which is favorable for improving the solar cells, the lower Voc of BTBDT4 due to its higher HOMO level is actually the main reason for its lower PCE than those of BTBDT2 and BTBDT3.
Since the photoconversion efficiencies are also greatly influenced by the morphologies of active layer in thin films, we also investigated the morphology of the BTBDT1–BTBDT4/PC71BM (1
:
2, w/w) blend films by atomic force microscopy (AFM) techniques (see Fig. S3, ESI†). The surfaces of these four blend films are quite smooth with similar root-mean-square (rms) values of 0.366, 0.283, 0.307 and 0.296 nm for BTBDT1/PC71BM, BTBDT2/PC71BM, BTBDT3/PC71BM and BTBDT4/PC71BM, respectively. Thus, the film morphology is not the key factor in governing the overall PCE of the OSCs.
The EQE value refers to the percentage of incident photons in a given wavelength divided by the charges that are finally carried to an external circuit. All the EQE curves based on BTBDT1–BTBDT4/PC71BM were broad in response covering 300–700 nm, consistent with the corresponding optical absorption bands. Among them, the peak EQE of 73% at 480 nm was achieved by using BTBDT3/PC71BM blend at 1
:
2 blend ratio. The calculated photocurrent densities from EQE spectra are consistent with those obtained from J–V measurements.
Conclusions
A series of new organic small molecules based on the BDT-T unit as the central donor group and BT unit or F-BT as the acceptor were synthesized and characterized and, their structure–property relationships have been investigated. Among them, BTBDT1 was constructed by 3-hexylthiophene unit as the end-capping group. BTBDT2–BTBDT4 contain N,N-di-p-tolylbenzenamine unit as the end-capping group which can enhance the hole mobility of the blend film. The similar LUMO energy levels of BTBDT1, BTBDT2 and BTBDT4 are reasonably attributed to the similar BT acceptor unit in them. For BTBDT3, the fluoro-containing BT (F-BT) unit relative to BT unit will influence its LUMO energy level. As shown in the representative orbital energy diagrams done by the DFT calculations, these molecules possess fully planar backbone structures (considered as A–D–A or A–π–D–π–A). More importantly, the electronic distributions in their HOMO energy levels of each molecule are spread throughout the whole π-conjugated backbone. For BHJ solar cells fabricated by BTBDT1–BTBDT4, dye BTBDT3 shows the best performance with a high PCE of 3.91%. This work demonstrates that alkylthiophene-substituted organic small molecules derived from BDT are promising donor materials for solution-processed organic solar cells.
Acknowledgements
We thank Hong Kong Baptist University (FRG2/12-13/083), Hong Kong Research Grants Council (HKBU202410), The Science, Technology and Innovation Committee of Shenzhen Municipality (JCYJ20120829154440583) for financial support. The work described in this paper was also partially supported by a grant from the Research Grants Council of the Hong Kong Special Administrative Region, China (Project no. T23-713/11). H. Li thanks the 111 Project and Beijing Engineering Research Center of Food Environment and Public Health from Minzu University of China (no. B08044 and no. 10301-01404026) for financial support. We gratefully acknowledge the financial support from the National Science Council of Taiwan (NSC 102-2113-M-845-001) and the project of the specific research fields in the University of Taipei, Taiwan. The work was also supported by Partner State Key Laboratory of Environmental and Biological Analysis (SKLP-14-15-P011) and Strategic Development Fund of HKBU.
Notes and references
- G. Yu, J. Gao, J. C. Hummelen, F. Wudl and A. J. Heeger, Science, 1995, 270, 1789 CAS
. - Y. J. Cheng, S. H. Yang and C. S. Hsu, Chem. Rev., 2009, 109, 5868 CrossRef CAS PubMed
. - G. Dennler, M. C. Scharber and C. J. Brabec, Adv. Mater., 2009, 21, 1323 CrossRef CAS
. - J. W. Chen and Y. Cao, Acc. Chem. Res., 2009, 42, 1709 CrossRef CAS PubMed
. - R. Fitzner, E. Mena-Osteritz, A. Mishra, G. Schulz, E. Reinold, M. Weil, C. Koerner, H. Ziehlke, C. Elschner, K. Leo, M. Riede, M. Pfeiffer, C. Uhrich and P. Baeuerle, J. Am. Chem. Soc., 2012, 134, 11064 CrossRef CAS PubMed
. - H. X. Zhou, L. Q. Yang and W. You, Macromolecules, 2012, 45, 607 CrossRef CAS
. - Y. F. Li, Acc. Chem. Res., 2012, 45, 723 CrossRef CAS PubMed
. - A. Facchetti, Chem. Mater., 2011, 23, 733 CrossRef CAS
. - P. M. Beaujuge and J. M. J. Frechet, J. Am. Chem. Soc., 2011, 133, 20009 CrossRef CAS PubMed
. -
(a) Z. C. He, C. M. Zhong, S. J. Su, M. Xu, H. B. Wu and Y. Cao, Nat. Photonics, 2012, 6, 591 Search PubMed
;
(b) W.-Y. Wong and C.-L. Ho, Acc. Chem. Res., 2010, 43, 1246 CrossRef CAS PubMed
;
(c) Z. C. He, C. M. Zhong, X. Huang, W.-Y. Wong, H. B. Wu, L. W. Chen, S. J. Su and Y. Cao, Adv. Mater., 2011, 23, 4636 CrossRef CAS PubMed
. - B. Walker, C. Kim and T.-Q. Nguyen, Chem. Mater., 2011, 23, 470 CrossRef CAS
. - Y. Lin, Y. Li and X. Zhan, Chem. Soc. Rev., 2012, 41, 4245 RSC
. - A. Mishra and P. Baeuerle, Angew. Chem., Int. Ed., 2012, 51, 2020 CrossRef CAS PubMed
. -
(a) Y. S. Liu, X. J. Wan, B. Yin, J. Y. Zhou, G. K. Long, J. G. Tian, J. B. You, Y. Yang and Y. S. Chen, Adv. Energy Mater., 2011, 1, 771 CrossRef CAS
;
(b) J. Y. Zhou, X. J. Wan, Y. S. Liu, Y. Zuo, Z. Li, G. R. He, G. K. Long, W. Ni, C. X. Li, X. C. Su and Y. S. Chen, J. Am. Chem. Soc., 2012, 134, 16345 CrossRef CAS PubMed
;
(c) C. H. Cui, J. Min, C.-L. Ho, T. Ameri, P. Yang, J. Z. Zhao, C. J. Brabec and W.-Y. Wong, Chem. Commun., 2013, 49, 4409 RSC
. -
(a) O. P. Lee, A. T. Yiu, P. M. Beaujuge, C. H. Woo, T. W. Holcombe, J. E. Millstone, J. D. Douglas, M. S. Chen and J. M. J. Frechet, Adv. Mater., 2011, 23, 5359 CrossRef CAS PubMed
;
(b) B. Walker, A. B. Tomayo, X. D. Dang, P. Zalar, J. H. Seo, A. Garcia, M. Tantiwiwat and T.-Q. Nguyen, Adv. Funct. Mater., 2009, 19, 3063 CrossRef CAS
;
(c) S. Loser, C. J. Bruns, H. Miyauchi, R. P. Ortiz, A. Facchetti, S. I. Stupp and T. J. Marks, J. Am. Chem. Soc., 2011, 133, 8142 CrossRef CAS PubMed
;
(d) D. Sahu, C.-H. Tsai, H.-Y. Wei, K.-C. Ho, F.-C. Chang and C.-W. Chu, J. Mater. Chem., 2012, 22, 7945 RSC
. -
(a) H. X. Shang, H. J. Fan, Y. Liu, W. P. Hu, Y. F. Li and X. W. Zhan, Adv. Mater., 2011, 23, 1554 CrossRef CAS PubMed
;
(b) Y. Z. Lin, Z. G. Zhang, H. T. Bai, Y. F. Li and X. W. Zhan, Chem. Commun., 2012, 48, 9655 RSC
;
(c) Y. Z. Lin, Z. G. Zhang, Y. F. Li, D. B. Zhu and X. W. Zhan, J. Mater. Chem. A, 2013, 1, 5128 RSC
. -
(a) J. Peet, J. Y. Kim, N. E. Coates, W. L. Ma, D. Moses, A. J. Heeger and G. C. Bazan, Nat. Mater., 2007, 6, 497 CrossRef CAS PubMed
;
(b) R. C. Coffin, J. Peet, J. Rogers and G. C. Bazan, Nat. Chem., 2009, 1, 657 CrossRef CAS PubMed
;
(c) D. Muhlbacher, M. Scharber, M. Morana, Z. Zhu, D. Waller, R. Gaudiana and C. Brabec, Adv. Mater., 2006, 18, 2884 CrossRef
. - Q. Q. Shi, P. Cheng, Y. F. Li and X. W. Zhan, Adv. Energy Mater., 2012, 2, 63 CrossRef CAS
. -
(a) J. H. Hou, H.-Y. Chen, S. Q. Zhang, G. Li and Y. Yang, J. Am. Chem. Soc., 2008, 130, 16144 CrossRef CAS PubMed
;
(b) Y. M. Sun, G. C. Welch, W. L. Leong, C. J. Takacs, G. C. Bazan and A. J. Heeger, Nat. Mater., 2012, 11, 44 CrossRef CAS PubMed
;
(c) J. Y. Zhou, X. J. Wan, Y. S. Liu, G. K. Long, F. Wang, Z. Li, Y. Zuo, C. X. Li and Y. S. Chen, Chem. Mater., 2011, 23, 4666 CrossRef CAS
. - T. Bura, N. Leclerc, S. Fall, P. Leveque, T. Heiser, P. Retailleau, S. Rihn, A. Mirloup and R. Ziessel, J. Am. Chem. Soc., 2012, 134, 17404 CrossRef CAS PubMed
. - A. K. K. Kyaw, D. H. Wang, V. Gupta, W. L. Leong, L. Ke, G. C. Bazan and A. J. Heeger, ACS Nano, 2013, 7, 4569 CrossRef CAS PubMed
. -
(a) L. Huo, S. Zhang, X. Guo, F. Xu, Y. Li and J. Hou, Angew. Chem., Int. Ed., 2011, 50, 9697 CrossRef CAS PubMed
;
(b) H.-Y. Chen, J. Hou, S. Zhang, Y. Liang, G. Yang, Y. Yang, L. Yu, Y. Wu and G. Li, Nat. Photonics, 2009, 3, 649 CrossRef CAS
;
(c) H. Zhou, L. Yang, A. C. Stuart, S. C. Price, S. Liu and W. You, Angew. Chem., Int. Ed., 2011, 50, 2995 CrossRef CAS PubMed
;
(d) S. C. Price, A. C. Stuart, L. Yang, H. Zhou and W. You, J. Am. Chem. Soc., 2011, 133, 4625 CrossRef CAS PubMed
;
(e) T.-Y. Chu, J. Lu, S. Beaupre, Y. Zhang, J.-R. Pouliot, S. Wakim, J. Zhou, M. Leclerc, Z. Li, J. Ding and Y. Tao, J. Am. Chem. Soc., 2011, 133, 4250 CrossRef CAS PubMed
;
(f) L. Dou, J. You, J. Yang, C.-C. Chen, Y. He, S. Murase, T. Moriarty, K. Emery, G. Li and Y. Yang, Nat. Photonics, 2012, 6, 180 CrossRef CAS
. -
(a) Y. S. Liu, X. J. Wan, F. Wang, J. Y. Zhou, G. K. Long, J. G. Tian and Y. S. Chen, Adv. Mater., 2011, 23, 5387 CrossRef CAS PubMed
;
(b) P. Dutta, J. Kim, S. H. Eom, W.-H. Lee, I. N. Kang and S.-H. Lee, ACS Appl. Mater. Interfaces, 2012, 4, 6669 CrossRef CAS PubMed
. -
(a) H. C. Chen, Y. H. Chen, C. C. Liu, Y. C. Chien, S. W. Chou and P. T. Chou, Chem. Mater., 2012, 24, 4766 CrossRef CAS
;
(b) L. J. Huo and J. H. Hou, Polym. Chem., 2011, 2, 2453 RSC
;
(c) J. Huang, C. Zhan, X. Zhang, Y. Zhao, Z. Lu, H. Jia, B. Jiang, J. Ye, S. Zhang, A. Tang, Y. Liu, Q. Pei and J. Yao, ACS Appl. Mater. Interfaces, 2013, 5, 2033 CrossRef CAS PubMed
;
(d) S. Shen, P. Jiang, C. He, J. Zhang, P. Shen, Y. Zhang, Y. Yi, Z. Zhang, Z. Li and Y. Li, Chem. Mater., 2013, 25, 2274 CrossRef CAS
;
(e) Y. Lin, L. Ma, Y. Li, Y. Liu, D. Zhu and X. Zhan, Adv. Energy Mater., 2013, 3, 1166 CrossRef CAS
;
(f) J. Zhou, Y. Zuo, X. Wan, G. Long, Q. Zhang, W. Ni, Y. Liu, Z. Li, G. He, C. Li, B. Kan, M. Li and Y. Chen, J. Am. Chem. Soc., 2013, 135, 8484 CrossRef CAS PubMed
;
(g) J. Zhou, X. Wan, Y. Liu, Y. Zuo, Z. Li, G. He, G. Long, W. Ni, C. Li, X. Su and Y. Chen, J. Am. Chem. Soc., 2012, 134, 16345 CrossRef CAS PubMed
;
(h) Y. Liu, C.-C. Chen, Z. Hong, J. Gao, Y. Yang, H. Zhou, L. Dou, G. Li and Y. Yang, Sci. Rep., 2013, 3, 3356 Search PubMed
;
(i) Z. Du, Y. Chen, W. Chen, S. Qiao, S. Wen, Q. Liu, D. Zhu, M. Sun and R. Yang, Chem.–Asian J., 2014, 9, 2621, DOI:10.1002/asia.201402467
. -
(a) S. Wong, H. Ma, A. K. Y. Jen, R. Barto and C. W. Frank, Macromolecules, 2003, 36, 8001 CrossRef CAS
;
(b) K. Reichenbacher, H. I. Suss and J. Hulliger, Chem. Soc. Rev., 2005, 34, 22 RSC
. - F. R. Dai, H. M. Zhan, Q. Liu, Y. Y. Fu, J. H. Liu, Q. W. Wang, Z. Y. Xie, L. X. Wang, F. Yan and W.-Y. Wong, Chem.–Eur.
J., 2012, 18, 1502 CrossRef CAS PubMed
. - Z. H. Sun, J. H. Li, C. M. Liu, S. H. Yang and F. Yan, Adv. Mater., 2011, 23, 3648 CrossRef CAS PubMed
. - B. C. Thompson, Y. G. Kim and J. R. Reynolds, Macromolecules, 2005, 38, 5359 CrossRef CAS
. - M. J. Frisch, G. W. Trucks, H. B. Schlegel, G. E. Scuseria, M. A. Robb, J. R. Cheeseman, J. A. Montgomery Jr, T. Vreven, K. N. Kudin, J. C. Burant, J. M. Millam, S. S. Iyengar, J. Tomasi, V. Barone, B. Mennucci, M. Cossi, G. Scalmani, N. Rega, G. A. Petersson, H. Nakatsuji, M. Hada, M. Ehara, K. Toyota, R. Fukuda, J. Hasegawa, M. Ishida, T. Nakajima, Y. Honda, O. Kitao, H. Nakai, M. Klene, X. Li, J. E. Knox, H. P. Hratchian, J. B. Cross, C. Adamo, J. Jaramillo, R. Gomperts, R. E. Stratmann, O. Yazyev, A. J. Austin, R. Cammi, C. Pomelli, J. W. Ochterski, P. Y. Ayala, K. Morokuma, G. A. Voth, P. Salvador, J. J. Dannenberg, V. G. Zakrzewski, S. Dapprich, A. D. Daniels, M. C. Strain, O. Farkas, D. K. Malick, A. D. Rabuck, K. Raghavachari, J. B. Foresman, J. V. Ortiz, Q. Cui, A. G. Baboul, S. Clifford, J. Cioslowski, B. B. Stefanov, G. Liu, A. Liashenko, P. Piskorz, I. Komaromi, R. L. Martin, D. J. Fox, T. Keith, M. A. Al-Laham, C. Y. Peng, A. Nanayakkara, M. Challacombe, P. M. W. Gill, B. Johnson, W. Chen, M. W. Wong, C. Gonzalez, and J. A. Pople, Gaussian 03, Revision B.03, Gaussian, Inc., Pittsburgh PA, 2003 Search PubMed
. - C. Cui, W.-Y. Wong and Y. Li, Energy Environ. Sci., 2014, 7, 2276 CAS
.
Footnote |
| † Electronic supplementary information (ESI) available. See DOI: 10.1039/c4ra10081f |
|
| This journal is © The Royal Society of Chemistry 2014 |
Click here to see how this site uses Cookies. View our privacy policy here.