Issue 89, 2014

Fluorescent chemodosimeter based on NHC complex for selective recognition of cyanide ions in aqueous medium

Abstract

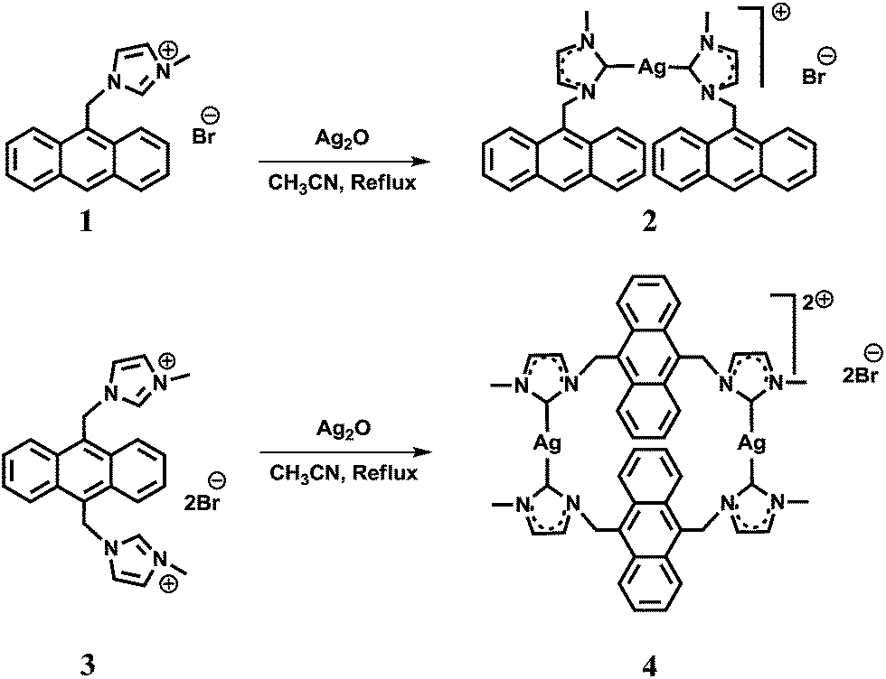
Novel N-heterocyclic carbene based mono and di-nuclear silver probes having the anthracene chromophore act as chemodosimeters for selective and sensitive detection of cyanide ions in the aqueous medium and signal the event through visible enhancement in fluorescence intensity.

Graphical abstract: Fluorescent chemodosimeter based on NHC complex for selective recognition of cyanide ions in aqueous medium

Supplementary files

Article information

Article type
Communication
Submitted
07 Sep 2014
Accepted
24 Sep 2014
First published
24 Sep 2014

RSC Adv., 2014,4, 47982-47986

Fluorescent chemodosimeter based on NHC complex for selective recognition of cyanide ions in aqueous medium

M. Viji, A. K. Nair, P. C. Nandajan and D. Ramaiah, RSC Adv., 2014, 4, 47982 DOI: 10.1039/C4RA09969A

To request permission to reproduce material from this article, please go to the Copyright Clearance Center request page.

If you are an author contributing to an RSC publication, you do not need to request permission provided correct acknowledgement is given.

If you are the author of this article, you do not need to request permission to reproduce figures and diagrams provided correct acknowledgement is given. If you want to reproduce the whole article in a third-party publication (excluding your thesis/dissertation for which permission is not required) please go to the Copyright Clearance Center request page.

Read more about how to correctly acknowledge RSC content.

Social activity

Spotlight

Advertisements