DOI:
10.1039/C4RA08664C
(Paper)
RSC Adv., 2014,
4, 52712-52726
Effects of alkyl or alkoxy side chains on the electrochromic properties of four ambipolar donor–acceptor type polymers†
Received
14th August 2014
, Accepted 3rd October 2014
First published on 3rd October 2014
Abstract
Four donor–acceptor type π-conjugated polymers, poly[2,3-di(2-furyl)-5,8-bis(2-(4-butoxythiophene))quinoxaline] (PFBOTQ), poly[2,3-di(5-methylfuran-2-yl)-5,8-bis(2-(4-butoxythiophene))quinoxaline] (PMFBOTQ), poly[2,3-di(2-furyl)-5,8-bis(2-(4-butylthiophene))quinoxaline] (PFBTQ) and poly[2,3-di(5-methylfuran-2-yl)-5,8-bis(2-(4-butylthiophene))quinoxaline] (PMFBTQ) containing 2,3-di(2-furyl)quinoxaline or 2,3-di(5-methylfuran-2-yl)quinoxaline moiety in the backbone as the acceptor unit and different thiophene derivatives as donor units are synthesized electrochemically. The four polymers are characterized by cyclic voltammetry (CV), UV-Vis-NIR spectroscopy, scanning electron microscopy (SEM) and step profiler. Both PFBOTQ and PMFBOTQ with strong electron-donating butoxy groups have lower oxidation potentials than PFBTQ and PMFBTQ, respectively. Electrochemical measurements and spectroelectrochemistry analyses demonstrate that all four polymers exhibit both p- and n-type doping processes. Both PFBOTQ and PMFBOTQ exhibit a green color in the neutral state, whereas PFBTQ with two absorption bands at 349 nm and 541 nm shows a light purplish red color and PMFBTQ with one obvious absorption band at 349 nm, as well as a shoulder peak located at around 500 nm shows a light brown-red color in the neutral state. Furthermore, as typical donor–acceptor polymers, all four polymers present robust stabilities, low optical band gaps, excellent optical contrasts in the NIR region, satisfactory coloration efficiencies and fast switching times, which make these four polymers outstanding candidates for electrochromic applications.
1. Introduction
A great deal of attention has been focused on conductive polymers since the discovery1 of the conductivity of polyacetylene upon doping; the conductive polymers were subsequently identified as key materials in a broad range of practical applications such as polymer light-emitting diodes,2,3 photovoltaic devices,4 sensors,5 field effect transistors,6,7 smart windows,8 camouflage materials9,10 and electrochromic devices.11–14 Among the conductive polymers, electrochromic (EC) polymers have raised interest due to the fact that the polymers can be made to reversibly change color in the same material by altering the redox state. Electrochromic conjugated polymers have also received enormous attention due to the huge advantages of high optical contrasts, fast switching times, superior coloration efficiencies, fine-tuning of the band gaps by structure modification, and lower costs and processibilities compared to many inorganic oxide materials such as tungsten, iridium and nickel oxides.15–19
However, one problem is that many electrochromic polymers have limited use in practical electrochromic device applications due to their relatively high band gaps. Therefore, most efforts in the electrochromic polymers have been toward the design and synthesis of macromolecule electrochromic conjugated polymers containing alternating electron rich (donor, D) and electron poor (acceptor, A) units,20 which can significantly decrease the band gaps related to the electrochemical and optical properties of the polymers due to resonances that enable a stronger double band character between donor and acceptor units.21 The donor–acceptor polymer systems with low band gaps can easily undergo multiple color changes by altering the different applied potentials corresponding to different redox states (p-type or n-type doping) because of the interchain charge transfer.22,23 Moreover, the optical band gaps and the redox potentials that control the coverage of the optical absorption are easily tuned by altering the donor–acceptor systems. Furthermore, it is well known that the third leg (green) of color space (red–green–blue, RGB) has remained elusive.24 The problem is that green polymeric electrochromics should have at least two absorption bands (blue and red) at their neutral state in the visible region and should also deplete simultaneously during oxidation.25 This problem was addressed by the combination of donor–acceptor units in the work of Wudl and Sonmez et al.26 A recently reported paper on naphthalenediimide bridged D–A polymers also revealed the excellent electrochromic properties of D–A polymers.27 Therefore, D–A systems have drawn considerable attention due to their superiorities in electrochromics. Aromatic compounds with electron-withdrawing imine nitrogen (C
N) as acceptor units identified as the representative acceptor-type building blocks28,29 and different thiophene derivatives as donor units have received significant attention for the design and synthesis of alternating systems, during the past few years.19,24 Recently, quinoxaline derivatives, which are a kind of organic acceptor unit present in donor–acceptor electrochromic conjugated polymers, have gained considerable attention due to the fact that the quinoxaline-fused ring has the significant advantages of a firm coplanar backbone and a highly extensive π-electron conjugated system with strong π-stacking,30 which is a must for polymeric electrochromic materials.
It should be noted that polymers of this system usually not only have low band gaps but also can reveal n-doped character. As is well-known, only a fraction of the conjugated polymers can exhibit n-doped properties due to poor stability at the reduction potential, leading to the n-doping state. The n-doped electrochromic conjugated polymers are expected to make a great contribution to organic electronics in the near future because it will be available for the fabrication of bipolar transistors and polymeric analogues of silicon field effective transistors.31 Thus, electrochromic conjugated polymers with stable negatively doped states have drawn significant attention in the electrochromism field.
Following this strategy, our group previously reported the synthesis of poly[2,3-di(5-methylfuran-2-yl)-5,8-bis(2-(3-methoxythiophene))quinoxaline] (PMFMQ) and poly[2,3-di(5-methylfuran-2-yl)-5,8-bis(2-thienyl)quinoxaline] (PMFTQ), containing strong electron-accepting 2,3-di(5-methylfuran-2-yl)quinoxaline as the acceptor unit. Both of them presented lower optical band gaps and significant n-type doping processes.32 In this study, we considered the contribution of the steric interaction between repeat units within the polymer backbone using a more planar system, which can result in better orbital overlap, thereby lowering the band gap.33 Therefore, 2,3-di(2-furyl)quinoxaline moiety with stronger electron-accepting ability and coplanarity was used as a substitute for the previous acceptor unit. In addition, butoxythiophene and butylthiophene were used as substitutes for the previous donor units in order to study the effect on the electrochromic properties made by increasing the alkyl chain length of the substituent on the thiophene moiety. As a result, four novel monomers, including 2,3-di(2-furyl)-5,8-bis(2-(4-butoxythiophene))quinoxaline (FBOTQ), 2,3-di(5-methylfuran-2-yl)-5,8-bis(2-(4-butoxythiophene))quinoxaline (MFBOTQ), 2,3-di(2-furyl)-5,8-bis(2-(4-butylthiophene))quinoxaline (FBTQ) and 2,3-di(5-methylfuran-2-yl)-5,8-bis(2-(4-butylthiophene))quinoxaline (MFBTQ), were synthesized beforehand. Subsequently, the corresponding polymers (PFBOTQ, PMFBOTQ, PFBTQ and PMFBTQ) were electrochemically synthesized. Herein, we wish to unveil our results concerning the design, synthesis, electrochemical and optical properties of the four novel D–A–D type compounds. It was noteworthy that the polymers with the different acceptor and different donor units presented significant differences in their electrochemical and optical properties due to the effects of the different donor and acceptor units. In particular, PFBOTQ and PMFBOTQ exhibited a green color in the neutral state and a highly transmissive oxidized state, which are of high value in fabricating smart electrochromics.
All four polymers showed low oxidation potentials, robust stabilities, high optical contrasts, satisfactory coloration efficiencies (CE) and extremely fast response times, although their onset oxidation potentials and optical contrasts were slightly lower than those of the reported polymers. Furthermore, the generation of redox waves in the CV curves at negative potentials and the variation of the spectral absorption curves upon reduction proved that all four polymers had stable n-doping properties. These characteristics indicate that the polymers have important application prospects in the field of smart electrochromism.
2. Experimental
2.1 Materials
3-Butoxythiophene (99%), 3-butylthiophene (99%), furfural, 5-methylfurfural, copper sulfate pentahydrate (CuSO4·5H2O), pyridine (98%), vitamin B1, sodium, sodium hydroxide (NaOH), 4,7-dibromo-2,1,3-benzothiadiazole (98%), p-toluene sulfonic acid (PTSA, 98%), sodium borohydride (NaBH4, 98%), bis(triphenylphosphine)dichloropalladium (Pd(PPh3)2Cl2), anhydrous ethyl alcohol (EtOH, 99.9%), acetone, n-butyllithium (2.5 M) and chlorotributyltin (97%) were all purchased from Aladdin Chemical Co., Ltd., China and used as received. Commercial high-performance liquid chromatography grade acetonitrile (ACN, Tedia Company, INC., USA) and dichloromethane (DCM, Sinopharm Chemical Reagent Co., Ltd., China) were used as received without further purification. Tetrabutylammonium hexafluorophosphate (TBAPF6, Alfa Aesar, 98%) was dried in vacuum at 60 °C for 24 hours before use. Tetrahydrofuran (THF, Tianjin Windship Chemistry Technological Co., Ltd., China) was distilled over Na in the presence of benzophenone prior to use. Indium-tin-oxide (ITO) coated glass (sheet resistance: < 10 Ω □−1, purchased from Shenzhen CSG Display Technologies, China) was washed with ethanol, acetone and deionized water, successively under ultrasonic conditions, then dried by a N2 flow.
2.2 Instrumentation
1H NMR and 13C NMR spectra of the monomers were recorded using a Varian AMX 400 spectrometer in CDCl3 at 400 MHz and chemical shifts (δ) are given relative to tetramethylsilane as the internal standard. The electrochemical behaviors were investigated by cyclic voltammetry (CV). Electrochemical syntheses and experiments were performed in a one-compartment cell with a CHI 760 C Electrochemical Analyzer under the control of a computer, employing a platinum wire with a diameter of 0.5 mm as working electrode, a platinum ring as counter electrode, and a Ag wire (0.02 V vs. SCE) as pseudo reference electrode. Scanning electron microscopy (SEM) measurements were performed using a Hitachi SU-70 thermionic field emission SEM. The thickness and surface roughness of the polymer films were recorded on a KLA-Tencor D-100 step profiler. UV-Vis-NIR spectra were recorded on a Varian Cary 5000 spectrophotometer, connected to a computer. A three-electrode cell assembly was used, in which the working electrode was an ITO glass, the counter electrode was a stainless steel wire, and an Ag wire (0.02 V vs. SCE) was used as the pseudo reference electrode. The polymer films for spectroelectrochemistry were prepared by potentiostatic deposition on an ITO electrode (active area: 0.9 cm × 3.0 cm). The thickness of the polymer films grown potentiotatically on ITO was controlled by the total charge passed through the cell. Digital images of the polymer films were taken with a Canon Power Shot A3000 IS digital camera.
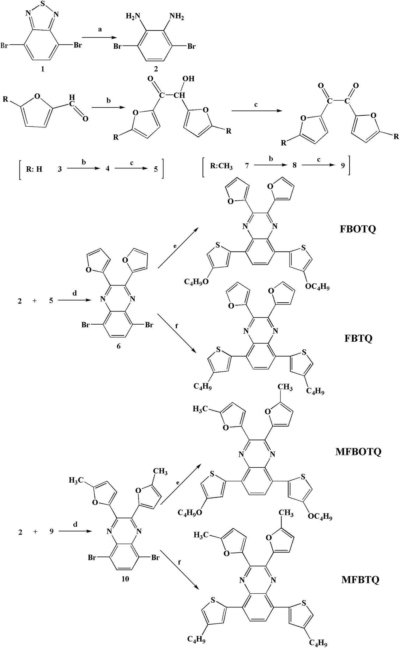
2.3 Synthesis of
2.3.1 2,3-Bis(2-furyl)-5,8-dibromoquinoxaline (6) and 2,3-bis(5-methylfuran-2-yl)-5,8-dibromoquinoxaline (10). 5.75 g (19.56 mM) of 4,7-dibromo-2,1,3-benzothiadiazole and 250 mL of anhydrous ethyl alcohol were added into a round-bottom flask; 16.5 g (436 mM) of NaBH4 was then added gradually in three installments. The solution was stirred in an ice bath at 0 °C for 48 h. After the reaction, the mixture was poured into distilled water, stirred and filtered to obtain 3,6-dibromo-1,2-phenylenediamine as a white solid.34 The condensation reaction of 3,6-dibromo-1,2-phenylenediamine (1.33 g, 5 mmol) and 1,2-di(2-furyl)ethanedione35 (0.95 g, 5 mmol) with 1
:
1 stoichiometric ratio afforded 2,3-bis(2-furyl)-5,8-dibromoquinoxaline with catalytic amounts of p-toluene sulfonic acid (PTSA) in EtOH (50 mL). The mixture was stirred magnetically overnight with refluxing. A cloudy mixture was acquired at the end of the reaction. The solution was cooled to 0 °C and filtered. The separated solid was washed with EtOH several times and dried in vacuum oven to give 2,3-bis(2-furyl)-5,8-dibromoquinoxaline (6) as a yellow-green powder (1.8 g, 85.7%). 1H NMR (400 MHz, CDCl3, Me4Si): δ 7.88 (2H, s, Ar H), 7.63 (2H, d), 6.97 (2H, d), 6.60 (2H, q). 13C NMR (101 MHz, CDCl3, Me4Si): δ 150.67, 145.14, 143.17, 139.10, 133.49, 123.59, 114.91, 112.45 (ESI Fig. S1†). 2,3-Bis(5-methylfuran-2-yl)-5,8-dibromoquinoxaline (10) was obtained as a yellow solid by the condensation reaction of 3,6-dibromo-1,2-phenylenediamine (1.33 g, 5 mmol) and 1,2-di(5-methylfuran-2-yl)ethanedione35 (1.09 g, 5 mmol), under the same conditions in good yield (1.86 g, 83%). 1H NMR (400 MHz, CDCl3, Me4Si): δ 7.82 (2H, s, Ar H), 6.93 (2H, d), 6.20 (2H, d), 2.41 (6H, s). 13C NMR (101 MHz, CDCl3, Me4Si): δ 155.55, 149.21, 143.16, 138.88, 132.98, 123.38, 116.33, 108.87, 14.16. (ESI Fig. S2†).
2.3.2 General procedure for the synthesis of FBOTQ, FBTQ, MFBOTQ, MFBTQ. As shown in Scheme 1, FBOTQ, FBTQ, MFBOTQ and MFBTQ were synthesized by Stille cross coupling reactions. Tributylstannane compounds were prepared following a previously reported method.36 2,3-Bis(2-furyl)-5,8-dibromoquinoxaline (1.68 g, 4 mmol) or 2,3-bis(5-methylfuran-2-yl)-5,8-dibromoquinoxaline (1.792 g, 4 mmol) with the excessive corresponding tributylstannane compounds (16 mmol) using Pd(PPh3)2Cl2 (0.28 g, 0.4 mmol) as the catalyst was dissolved in dry anhydrous THF (60 mL) at room temperature. The solution was stirred under a nitrogen atmosphere for 30 min. The temperature was immediately raised until the solution was refluxed. The mixture was stirred under the above mentioned conditions for 24 h, then cooled and concentrated on a rotary evaporator. Finally, the mixture was purified using column chromatography on silica gel with n-hexane–dichloromethane as the eluent.
 |
| Scheme 1 Synthetic route of the monomers. (a) NaBH4, EtOH, 0 °C, 24 h; (b) vitamin B1, NaOH, EtOH; (c) CuSO4·5H2O, pyridine, reflux, 2.5 h; (d) PTSA, EtOH, reflux, overnight; (e and f) Pd(PPh3)2Cl2, tributyl(2-(4-butoxythiophene))stannane (e), tributyl(2-(4-butylthiophene))stannane (f), dry THF, reflux, 24 h. | |
2,3-Di(2-furyl)-5,8-bis(2-(4-butoxythiophene))quinoxaline (FBOTQ). The crude mixture was chromatographed on silica gel by eluting with n-hexane–dichloromethane (3
:
1, by volume) to afford FBOTQ as a red solid (1.65 g, 72.4%). 1H NMR (400 MHz, CDCl3, Me4Si): δ 8.00 (2H, s, Ar H), 7.60 (2H, d), 7.57 (2H, d), 7.10 (2H, d), 6.61 (2H, dd), 6.45 (2H, d), 4.03 (4H, t), 1.81 (4H, m), 1.53 (4H, m),1.00 (6H, t). 13C NMR (101 MHz, CDCl3, Me4Si): δ 157.69, 151.69, 144.36, 140.50, 137.13, 130.82, 126.90, 119.00, 114.09, 112.18, 109.96, 101.64, 70.02, 31.52, 19.44, 14.00 (ESI Fig. S3†).
2,3-Di(2-furyl)-5,8-bis(2-(4-butylthiophene))quinoxaline (FBTQ). The crude mixture was chromatographed on silica gel by eluting with n-hexane–dichloromethane (8
:
1, by volume) to obtain FBTQ as a bright red-orange solid (1.68 g, 78.1%). 1H NMR (400 MHz, CDCl3, Me4Si): δ 8.05 (2H, s, Ar H), 7.77 (2H, s), 7.60 (2H, s), 7.11 (4H, d), 6.61 (2H, m), 2.70 (4H, t), 1.71 (4H, m), 1.44 (4H, m), 0.97 (6H, t). 13C NMR (101 MHz, CDCl3, Me4Si): δ 151.84, 144.27, 143.10, 140.37, 138.47, 136.97, 131.16, 128.56, 127.22, 123.80, 113.92, 112.16, 32.91, 30.42, 22.58, 14.12 (ESI Fig. S4†).
2,3-Di(5-methylfuran-2-yl)-5,8-bis(2-(4-butoxythiophene))quinoxaline (MFBOTQ). The crude mixture was chromatographed on silica gel by eluting with n-hexane–dichloromethane (3
:
1, by volume) to give MFBOTQ as a dark red solid (1.76 g, 73.6%). 1H NMR (400 MHz, CDCl3, Me4Si): δ 7.96 (2H, s, Ar H), 7.62 (2H, d), 7.04 (2H, d), 6.43 (2H, d), 6.21 (2H, dd), 4.03 (4H, t), 2.41 (6H, s), 1.80 (4H, m), 1.53 (4H, m),1.00 (6H, t). 13C NMR (101 MHz, CDCl3, Me4Si): δ 157.74, 154.63, 150.15, 140.49, 137.51, 136.88, 130.63, 126.48, 119.06, 115.55, 108.61, 101.34, 69.99, 31.60, 19.51, 14.10, 13.81 (see ESI Fig. S5†).
2,3-Di(5-methylfuran-2-yl)-5,8-bis(2-(4-butylthiophene))quinoxaline (MFBTQ). The crude mixture was chromatographed on silica gel by eluting with n-hexane–dichloromethane (8
:
1, by volume) to give MFBTQ as a bright red solid (1.8 g, 79.5%).1H NMR (400 MHz, CDCl3, Me4Si): δ 7.99 (2H, s, Ar H), 7.82 (2H, d), 7.08 (2H, s), 7.03 (2H, d), 6.20 (2H, dd), 2.69 (4H, m), 2.40 (6H, s), 1.70 (4H, m), 1.43 (4H, m), 0.96 (6H, t). 13C NMR (101 MHz, CDCl3, Me4Si): δ 154.50, 150.30, 143.19, 140.36, 138.85, 136.82, 130.97, 128.70, 126.85, 123.48, 115.37, 108.59, 33.00, 30.56, 22.70, 14.16 (ESI Fig. S6†).
3. Results and discussion
3.1 Synthesis of monomers
The synthetic route to the monomers is shown in Scheme 1. To begin, 4,7-dibromo-2,1,3-benzothiadiazole (1) was reduced by NaBH4 as presented in previously reported procedures, which gave the expected 3,6-dibromo-1,2-phenylenediamine (2).34 The benzoin condensation of furfural (3) gave the desired 2-hydroxy-1,2-di(2-furyl)ethanone (4).37 The synthetic route of 2-hydroxy-1,2-di(5-methylfuran-2-yl)ethanone (8)37 was the same as that of 4. 2-Hydroxy-1,2-di(2-furyl)ethanone (4) and CuSO4·5H2O was added to a solution of distilled water and pyridine, and then oxidation of 4 afforded the desired yellow acicular crystal 1,2-di(2-furyl)ethanedione (5).35 Using identical methods, 1,2-di(5-methylfuran-2-yl)ethanedione (9)35 was achieved. Next, typical condensation reactions of 2 with 1,2-dione (5 and 9) afforded the corresponding 2,3-bis(2-furyl)-5,8-dibromoquinoxaline (6) and 2,3-bis(5-methylfuran-2-yl)-5,8-dibromoquinoxaline (10). Ultimately, the Stille coupling reactions of condensation product 6 with the corresponding tributylstannane compounds in the presence of Pd(PPh3)2Cl2 as catalyst in dry THF gave the target monomers FBOTQ and FBTQ in satisfactory yields (72–80%). Similarly, the target monomers MFBOTQ and MFBTQ were obtained using Stille coupling reactions in moderate yields (73–80%).
3.2 Electrochemistry
3.2.1 Electrochemical polymerization. The electrochemical properties of monomers and their polymers were investigated using cyclic voltammetry (CV). All four polymers were deposited on Pt wire by cyclic voltammetry (CV) with the same potential scan rate (100 mV s−1) in acetonitrile (ACN)–dichloromethane (DCM) (1
:
1, by volume) solvent mixture, containing 0.2 M tetrabutylammonium hexafluorophosphate (TBAPF6) as the supporting electrolyte and 0.005 M monomers. The successive CV curves of FBOTQ, MFBOTQ, FBTQ and MFBTQ are illustrated in Fig. 1. The first cycle of the CV experiment depicted irreversible oxidation of the monomer. The onset oxidation potential (Eonset) of FBOTQ is 0.78 V and of MFBOTQ, FBTQ and MFBTQ are 0.86 V, 0.98 V and 0.96 V, respectively. In contrast, the Eonset of FBOTQ is far lower than that of FBTQ and similarly the Eonset of MFBOTQ is also lower than that of MFBTQ due to the effect of the strong electron-rich butoxythiophene group on the donor moieties. Moreover, by comparing the Eonset of FBOTQ with that of MFBOTQ, it was clearly found that the onset oxidation potentials of the monomers with identical donors were slightly different owing to the effect of methyl substituent on the acceptor moiety. Similarly, the phenomenon also can be observed from a comparison between FBTQ and MFBTQ. There are usually two onset oxidation potentials for the CV curves of the monomers. The first oxidation peak of the monomers may be related to the formation of the radical cation transition state, and the second onset potential can be related to the formation of the radical cation, which leads to the coupling reactions and the formation of polymers. In contrast to the three other monomers, a positive shift was observed on the first potentials in the potentiodynamic electrochemical polymerization of FBTQ (Fig. 1c) after several scans; the reason may be that the Pt electrode may have a catalytic effect on the formation of the radical cation transition state, and the covering of the electrode by the as-formed polymer impaired the catalytic effect, which could be compensated by the positive shift of the onset potentials. During the repetitive anodic potential scan of the monomers, the new redox couples as well as a concomitant increase in the current intensities implied that the corresponding electroactive polymer films were formed on the surface of working electrodes.38
 |
| Fig. 1 Cyclic voltammogram curves of FBOTQ (a), MFBOTQ (b), FBTQ (c) and MFBTQ (d) in ACN–DCM (1 : 1) containing 0.2 M TBAPF6 solutions at a scan rate of 100 mV s−1. | |
3.2.2 Electrochemistry behaviors of the polymer films. Four polymer films were prepared on Pt wires by sweeping the potentials over three cycles to investigate the electrochemical behaviors at different scan rates between 25 and 300 mV s−1 in monomer free electrolyte solution. The left column of Fig. 2a demonstrated the electrochemical behavior of the PFBOTQ film at different scan rates from 25 to 300 mV s−1 in acetonitrile (ACN)–dichloromethane (DCM) (1
:
1, by volume) solvent mixture containing 0.2 M tetrabutylammonium hexafluorophosphate (TBAPF6). It was clearly observed that there were a couple of redox peaks with an oxidation potential of 0.71 V and a reduction potential of 0.51 V in the p-doping process. Sharp quasi-reversible redox peaks with an oxidation potential of −1.19 V and a reduction potential of −1.46 V were also observed in the reduction region, which demonstrated that the conducting polymer had the character of n-doping. Furthermore, it was noteworthy that the redox peaks of the n-doping/de-doping were much stronger than those of the p-doping/de-doping process. The results indicated that 2,3-bis(2-furyl)-5,8-dibromoquinoxaline (6) was a strong electron acceptor and PFBOTQ was a good n-type conjugated polymer.39 A similar phenomenon of the n-doping/de-doping process was observed from the other polymers, including PMFBOTQ, PFBTQ and PMFBTQ, as shown in Fig. 2. However, both PFBOTQ and PMFBOTQ polymers presented a couple of redox peaks, whereas other polymers, including PFBTQ and PMFBTQ, exhibited two oxidation peaks and one reduction peak in the p-doping process. The different appearances and different locations of the oxidation and reduction peaks of the polymers implied the influences of the different electron-rich groups as well as the different acceptor units.
 |
| Fig. 2 Left: CV curves of the PFBOTQ (a), PMFBOTQ (b), PFBTQ (c) and PMFBTQ (d) films at different scan rates between 25 and 300 mV s−1 in the monomer-free 0.2 M TBAPF6–ACN–DCM solution. Right: scan rate dependence of the anodic and cathodic peak current densities graph of the p-doping/de-doping process and n-doping/de-doping process for the four polymer films. | |
In addition, the Eonset parameters of PFBOTQ, PMFBOTQ, PFBTQ and PMFBTQ are listed in Table 1. The parameters of PMFMQ and PMFTQ32 are also listed in Table 1 for comparison with the new synthetic polymers. It can be easily seen that the onset oxidation potentials of PFBOTQ and PMFBOTQ were slightly higher than that of PMFMQ, which indicated that the increase of the alkyl chain length of the alkoxy substituent on the thiophene moiety slightly enhanced the electron-donating ability of the donor unit but evidently increased the repulsive steric effect on neighboring repeat units, which then led to slightly higher onset potentials. Analogically, compared with PMFTQ, PFBTQ and PMFBTQ presented slightly higher onset potentials due to the fact that the weak electron-donating effect of the butyl group on the thiophene ring cannot compensate for its repulsive steric effect on neighboring repeat units.
Table 1 The experimental parameters (onset oxidation potential (Eonset), maximum absorption wavelength (λmax), onset of the optical absorption spectra (λonset), optical band gap (Eg), HOMO/LUMO energy levels of the monomers and corresponding polymers) and the calculated data of the monomers from the Gaussian 03 program
Compounds |
Eonset, vs. (Ag-wire) (V) |
λmax (nm)/λonset (nm) |
Ega (eV) |
HOMOb (eV) |
LUMOc (eV) |
ΔEd |
HOMOd (eV) |
LUMOd (eV) |
Calculated from the low energy absorption edges (λonset), Eg = 1241/λonset. HOMO = −e(Eonset + 0.02 + 4.4). Calculated by the addition of the optical band gap to the HOMO level. Calculated by employing the Gaussian 03 program. Data were taken from ref. 32. |
FBOTQ |
0.78 |
316, 424/546 |
2.27 |
−5.2 |
−2.93 |
2.7 |
−5.30 |
−2.60 |
MFBOTQ |
0.86 |
320, 436/535 |
2.32 |
−5.28 |
−2.96 |
2.77 |
−5.26 |
−2.49 |
FBTQ |
0.98 |
316, 420/537 |
2.31 |
−5.4 |
−3.09 |
2.75 |
−5.27 |
−2.52 |
MFBTQ |
0.96 |
321, 432/518 |
2.40 |
−5.38 |
−2.98 |
2.81 |
−5.24 |
−2.43 |
PFBOTQ |
−0.18 |
402, 758/939 |
1.32 |
−4.24 |
−2.92 |
— |
— |
— |
PMFBOTQ |
−0.21 |
416, 746/905 |
1.37 |
−4.21 |
−2.84 |
— |
— |
— |
PFBTQ |
0.66 |
349, 541/670 |
1.85 |
−5.08 |
−3.23 |
— |
— |
— |
PMFBTQ |
0.62 |
349, 500/638 |
1.95 |
−5.04 |
−3.09 |
— |
— |
— |
PMFMQe |
−0.18 |
— |
1.22 |
— |
— |
— |
— |
— |
PMFTQe |
0.48 |
— |
1.65 |
— |
— |
— |
— |
— |
During the p-doping/de-doping process and the n-doping/de-doping process, a good linear relationship between the peak current density and scan rate of the PFBOTQ polymer was found and is shown in the right column of Fig. 2a, which directly demonstrated that a good electroactive polymer film was well adhered on ITO and the electrochemical process was non-diffusion-limited even at very low and high scan rates.40 As expected, a similar linear relationship between the peak current density and scan rate of the other three polymers (PMFBOTQ, PFBTQ and PMFBTQ) was found (Fig. 2).
3.2.3 Stabilities of the polymer films. Long-term switching stability between oxidized and neutral states is an important requirement for electrochromic polymers, because these materials have potential use in commercial devices.41 In order to investigate the stabilities of the polymer films, four polymer films were prepared on Pt wires by sweeping the potentials over five cycles at 100 mV s−1 in the monomer-saturated solution (ACN and DCM as solvent mixture, 1
:
1, by volume) containing 0.2 M TBAPF6. The four as-prepared polymers were cycled 1000 times at 200 mV s−1 in 0.2 M TBAPF6–ACN–DCM solution. The charge involved during the electrochemical process was calculated for each voltammogram from the integration of current. Fig. 3 shows the changes in the CV curves for PFBOTQ, PMFBOTQ, PFBTQ and PMFBTQ films between the 1st and 1000th cycles. As shown in Fig. 3a, the total charge loss during the electrochemical process was less than 5.3% between the initial and 1000th cycles for PFBOTQ films. It is noteworthy that most of this decrease happened during the first 500 cycles of the CV curves, but the PFBOTQ film presented an immense stability with rarely any charge loss (less than 1%) between the 500th and 1000th cycles. We did not proceed with further cycling because about 95% of the charge remained intact after 1000 cycles. The above mentioned result demonstrated that PFBOTQ film had an excellent stability in switching between doped and neutral states, which makes it a good candidate for electrochromic device applications. Moreover, the overall charge losses for PMFBOTQ, PFBTQ and PMFBTQ films during this experiment were less than 8.7%, 11.7% and 12.1% between the original and 1000th cycles, respectively. From the stability measurements of PMFBOTQ, PFBTQ and PMFBTQ films, it can easily be seen that similar phenomena were observed, with the main loss occurring during the first 500 cycles and no significant charge reduction (less than 1%) found between the 500th and 1000th cycles. Another phenomenon can also be observed, in which the PFBOTQ and PMFBOTQ polymer films containing butoxy groups in the thiophene derivative moiety were considerably more stable than the PFBTQ and PMFBTQ polymer films containing butyl groups in the thiophene derivative moiety. Furthermore, the total charge loss of each polymer film was less than 12.1% between the 1st and 1000th cycles; therefore, we concluded that the four polymer films presented superb stabilities, which gives them potential applications in various fields such as displays.42
 |
| Fig. 3 Stabilities of the PFBOTQ (a), PMFBOTQ (b), PFBTQ (c) and PMFBTQ (d) films, cycled 1000 times with a scan rate of 200 mV s−1 in the monomer-free 0.2 M TBAPF6–ACN–DCM solution. | |
3.3 Morphology
Scanning electron micrographs (SEM) of polymers provide their clear surface and bulk morphologies, which are closely related to their optical and electrical properties. Fig. 4 shows the SEM images of PFBOTQ, PMFBOTQ, PFBTQ and PMFBTQ, which were prepared potentiostatically in ACN–DCM (1
:
1, by volume) solution containing 0.2 M TBAPF6 and 0.005 M relevant monomers on an ITO electrode. All the polymers were de-doped before characterization. As shown in Fig. 4a, there are many globules evenly distributed and the globules have similar sizes with an average diameter of around 1 μm. Moreover, some pores and gaps are easily observed between the globules. PMFBOTQ film (Fig. 4b) presents an accumulation state of small globular granules with interlinked holes among the clusters on the surface. With regard to PFBTQ film (Fig. 4c), it shows a laminated structure with significant gibbosities and potholes pervading on the surface, and some scattered holes are also found on the film. The PMFBTQ film reveals an accumulation state of snowflake lamellar structures with numerous holes between the snowflake clusters. These morphologies facilitate the movement of doping anions into and out of the polymer film during the doping and de-doping process, which has a great influence on the optical and electrical properties of polymer films.
 |
| Fig. 4 SEM images of PFBOTQ (a), PMFBOTQ (b), PFBTQ (c) and PMFBTQ (d) films deposited potentiostatically onto an ITO electrode. Measurements of all SEM images were carried out under the same conditions and the magnification time of all pictures is ×20.0 k. | |
In addition, step profiler measurements were carried out in order to study the thickness and surface roughness of the polymer films. The thicknesses of the PFBOTQ, PMFBOTQ, PFBTQ and PMFBTQ films are about 1100 nm, 800 nm, 1300 nm and 1400 nm, respectively (ESI Fig. S7†). The images of step profiler measurements reveal that the polymer films have extremely rough surfaces with apparent pits, which is in good agreement with morphologies of SEM images.
3.4 Optical properties of the monomers and films
The UV-Vis absorption spectra of four monomers (FBOTQ, MFBOTQ, FBTQ and MFBTQ) dissolved in CH2Cl2 and the corresponding de-doped polymer films, which were deposited on the ITO electrode, were examined, and the optical properties of these novel monomers and films were analyzed. As shown in Fig. 5, all four monomers exhibited two characteristic absorption bands as the typical feature of donor–acceptor conjugated compounds, which were assigned to the π–π* transition as well as intramolecular charge transfer. As can be seen from Fig. 5, two evident absorption peaks were observed at 316 and 424 nm for FBOTQ, 320 and 436 nm for MFBOTQ, around 316 and 420 nm for FBTQ as well as 321 and 432 nm for MFBTQ, respectively. Moreover, the optical band gaps (Eg) of the four monomers were calculated precisely from its low energy absorption edges (λonset) (Eg = 1241/λonset). The Eg of FBOTQ, MFBOTQ, FBTQ and MFBTQ monomers were calculated as 2.27 eV, 2.32 eV, 2.31 eV and 2.40 eV, respectively. Compared with FBTQ, FBOTQ had a little red shift of the low-energy absorption band and a lower band gap due to the strong electron-donating butoxy group on thiophene moiety, which effectively increased the conjugation effect of the D–A–D compound. From the comparison between MFBTQ and MFBOTQ, a similar phenomenon can also easily be seen. In addition, the Eg of MFBOTQ was slightly larger than that of FBOTQ on account of the influence of the methyl group on the acceptor moiety, which decreased the electron-accepting ability of the acceptor unit. Similarly, the above mentioned phenomenon also can be observed from the comparison between FBTQ and MFBTQ.
 |
| Fig. 5 UV-Vis absorption spectra of FBOTQ, MFBOTQ, FBTQ and MFBTQ. Inset: absorption of the corresponding polymers in the neutral state. | |
Furthermore, the density functional theory (DFT) calculations were carried out on the DFT level employing the Gaussian 03 program. The ground-state electron density distribution of the highest occupied molecular orbital (HOMO) and lowest unoccupied molecular orbital (LUMO) are illustrated in Fig. 6. In all four monomers, the HOMO and LUMO of the orbital largely delocalized on the aromatic rings, which fully revealed that the newly-obtained compounds had planar π-conjugated systems. Moreover, the D–A type system can effectively lower the HOMO–LUMO gaps of corresponding polymers with enhanced planarity and higher electrical conductivity. The calculated HOMO–LUMO gap was found to be in the range of 2.7–2.81 eV and the data are summarized in Table 1. The highest band gap was observed for MFBTQ and the lowest was for FBOTQ. These values were found to be nearly 0.41–0.45 V higher than the values from experimental data. This is mainly due to various effects such as solvent effects and variation in the solid state to the gaseous state. Even so, the relative energy order of the calculated HOMO–LUMO gaps for all four polymers is in a good accordance with that of the experimental data.
 |
| Fig. 6 The optimized geometries and the molecular orbital surfaces of the HOMOs and LUMOs for the monomers obtained at the B3LYP/6-31G level. | |
The UV-Vis absorption spectra of the four neutral state films (PFBOTQ, PMFBOTQ, PFBTQ and PMFBTQ) prepared on an ITO electrode are shown in the inset of Fig. 5. Both PFBOTQ and PMFBOTQ presented two obvious absorption peaks in the visible region, which were assigned to the strong π–π* transition and intramolecular charge transfer in the neutral state, with the absorption peaks located at 402 nm and 758 nm for PFBOTQ and situated at 416 nm and 746 nm for PMFBOTQ. Moreover, a well-defined valley was observed at around 500 nm for both polymers, which gave rise to a valuable neutral green color. In contrast to PFBOTQ and PMFBOTQ, PFBTQ and PMFBTQ films showed two absorption peaks, with one maximum absorption peak at 349 nm in the UV region and another shoulder peak at 541 nm in the visible region for PFBTQ film and the two absorption peaks centered at 349 nm as well as around 500 nm for PMFBTQ film. Furthermore, the Eg of four polymers (PFBOTQ, PMFBOTQ, PFBTQ and PMFBTQ) were calculated to be 1.32 eV, 1.37 eV, 1.85 eV and 1.95 eV, respectively. The band-gap is the difference in energy Eg between the valence band and conduction band. In general, the HOMO of the donor contributes to the valence band of the polymer, and the LUMO of the acceptor contributes to the conduction band of the polymer in D–A–D systems. As shown in Table 1, the introduction of the butoxy group on the thiophene moiety (donor unit) increased the HOMO levels of PFBOTQ and PMFBOTQ compared with their butyl-substituted homologue polymers, which then led to the lower band-gaps of the two polymers. The electron-donating abilities of alkoxy substituents are stronger than those of the alkyl substituents. In this case, the stronger the electron-donating abilities of the substituent on the donor unit, the more profound the conjugation effects present in the polymers.
Compared with PFBTQ, PFBOTQ has an apparent red shift of the low-energy absorption wavelengths, which is in accordance with the decrease of its optical band gap. A similar phenomenon can be observed from the comparison of PMFBTQ and PMFBOTQ. The introduction of the methyl group on the acceptor unit decreased the electron-accepting ability of the acceptor unit and increased the repulsive steric effect on neighboring repeat units as well as slightly increasing the LUMO levels of PMFBTQ and PMFBOTQ compared with their non-methyl substituted homologue polymers, which finally brought about the decrease of effective conjugation length in the homopolymers43 and slightly higher band-gaps of the two polymers. Moreover, all four polymers exhibit a bathochromic shift compared to the corresponding monomers as depicted in the inset of Fig. 5, which clearly demonstrates the formation of the long conjugated polymer chains due to the fact that the longer the absorption wavelength, the higher the conjugation length of the polymer.44
In contrast, the optical band gaps of PFBOTQ and PMFBOTQ was somewhat higher than that of PMFMQ32 film owing to the fact that the dominant stereo-hindrance effect of the butoxy substituent on the donor unit decreased the conjugation length of the homopolymers. Similarly, this can also explain the fact that PFBTQ and PMFBTQ had slightly larger band gaps than PMFTQ.32
Table 1 clearly summarizes the experimental parameters (the onset oxidation potential (Eonset), maximum absorption wavelength (λmax), onset of the optical absorption spectra (λonset), optical band gap (Eg), HOMO and LUMO energy levels) of the monomers and the corresponding polymers for p-type doping. The HOMO energy levels of the monomers and polymer films were calculated using the formula HOMO = −e(Eonset + 0.02 + 4.4). Herein, the number 0.02 in the formula is a correction parameter due to the fact that the reference electrode used in the experiments was not a standard electrode. Therefore, before and after each experiment, the silver pseudo reference was calibrated versus the ferrocene47 redox couple and then adjusted to match the SCE reference potential. For ACN–DCM = 1
:
1 (v/v), the adjusted value is 0.02. The LUMO energy levels can also be calculated using the formula LUMO = HOMO + Eg.45,46 The calculated data of the monomers from the Gaussian 03 program are also shown in Table 1.
3.5 Spectroelectrochemical properties of the polymer films
Spectroelectrochemistry is an available research method for obtaining the changes in the absorption spectra and information about the electronic structures of conjugated polymers as a function of the applied potential difference.48 In order to obtain the in situ UV-Vis-NIR spectra, the PFBOTQ, PMFBOTQ, PFBTQ and PMFBTQ films were electrodeposited onto an ITO electrode with the same polymerization charge of 2.0 × 10−2 C under constant potentials of 1.1 V, 1.15 V, 1.25 V and 1.3 V, respectively. In situ electronic absorption spectra of the four polymer films were acquired upon stepwise oxidation in a monomer free 0.2 M TBAPF6–ACN–DCM solution. As can be seen from Fig. 7, all four polymers exhibited two transitions due to their donor–acceptor nature in the neutral state. The two transitions in D–A–D type polymers were attributed to the transitions from the thiophene-based valence band to its anti-bonding counterpart (high-energy transition) and to the substituent-localized conduction band (low-energy transition). Hence, interactions between donor and acceptor units (their match) determined the energy and intensity of these transitions.49 For PFBOTQ and PMFBOTQ, the intensities for high-energy transitions and low-energy transitions are comparable with each other, which indicates the ideal match between the donor and acceptor units and the strong interactions between them. Different from those of PFBOTQ and PMFBOTQ, the intensities of low-energy transitions for PFBTQ and PMFBTQ were substantially lower than those of the corresponding high-energy transitions, as observed from the shoulder-like absorption bands in the visible region.
 |
| Fig. 7 [a] p-doping: spectroelectrochemistry of PFBOTQ film on ITO electrode in monomer-free 0.2 M TBAPF6–ACN–DCM solution at applied potentials: (a) −0.5, (b) −0.1, (c) 0.0, (d) 0.05, (e) 0.1, (f) 0.15, (g) 0.2, (h) 0.3, (i) 0.4, (j) 0.5, (k) 0.6, (l) 0.7, (m) 0.8, (n) 0.9, (o) 1.0, (p) 1.1 V. n-doping: bold black line marked by ‘x’ indicates the reduction spectrum of PFBOTQ film at −1.7 V and the other two bold lines are the spectra of PFBOTQ film at −0.5 V (a) and 1.1 V (p), respectively. [b] p-doping: spectroelectrochemistry of PMFBOTQ film on ITO electrode in monomer-free 0.2 M TBAPF6–ACN–DCM solution at applied potentials: (a) −0.5, (b) −0.1, (c) 0.0, (d) 0.1, (e) 0.2, (f) 0.3, (g) 0.4, (h) 0.5, (i) 0.6, (j) 0.7, (k) 0.8, (l) 0.9, (m) 1.0, (n) 1.1, (o) 1.15 V. n-doping: bold black line marked by ‘x’ indicates the reduction spectrum of PMFBOTQ film at −1.7 V and the other two bold lines are the spectra of PMFBOTQ film at −0.5 V (a) and 1.15 V (o), respectively. [c] p-doping: spectroelectrochemistry of PFBTQ film on ITO electrode in monomer-free 0.2 M TBAPF6–ACN–DCM solution at applied potentials: (a) 0, (b) 0.5, (c) 0.55, (d) 0.6, (e) 0.65, (f) 0.7, (g) 0.75, (h) 0.8, (i) 0.85, (j) 0.9, (k) 0.95, (l) 1.0, (m) 1.05, (n) 1.1, (o) 1.15, (p) 1.20 and (q) 1.25 V. n-doping: bold black line marked by ‘x’ indicates the reduction spectrum of PFBTQ film at −1.5 V and the other two bold lines are the spectra of PFBTQ film at 0 V (a) and 1.25 V (q), respectively. [d] p-doping: spectroelectrochemistry of PMFBTQ films on ITO electrode in monomer-free 0.2 M TBAPF6–ACN–DCM solution at applied potentials: (a) 0, (b) 0.6, (c) 0.7, (d) 0.8, (e) 0.9, (f) 0.95, (g) 1.0, (h) 1.1, (i) 1.2, (j) 1.3 V. n-doping: bold black line marked by ‘x’ indicates the reduction spectrum of PFBTQ film at −1.5 V and the other two bold lines are the spectra of PMFBTQ film at 0 V (a) and 1.3 V (j), respectively. | |
Upon oxidation of the four polymers (PFBOTQ, PMFBOTQ, PFBTQ and PMFBTQ), formation of charge carriers, such as polarons and bipolarons, led to new absorption bands in the NIR whereas absorptions for the neutral states decreased. In situ spectroelectrochemical studies for the polymer films showed that the color of the film changed from green to a highly transmissive, near colorless hue for PFBOTQ and PMFBOTQ. Although there was a minor difference between the optical band gaps of PFBOTQ and PMFBOTQ, two polymer films revealed no apparent difference in color changes from neutral to oxidized states. The UV-Vis spectra for PFBOTQ and PMFBOTQ, which are shown in Fig. 7(a) and (b), displayed well-defined isosbestic points at approximately 870 nm and 860 nm, respectively, indicating that PFBOTQ and PMFBOTQ polymers were being interconverted between two distinct forms on both occasions: the neutral form and the radical cation. Spectroelectrochemical studies for PFBTQ film showed that the color of the film changed from light purplish red to a transmissive slight gray color during oxidation. On the other hand, its 2,3-di(5-methylfuran-2-yl) substituted homologue PMFBTQ switched from light brown-red to a slight brownish-gray color, and revealed less transmissive color than PFBTQ in the oxidized state, because the polaronic absorption bands tailed more into the visible region. The colors of four polymer films between the neutral state and the oxidation state changed from green or red to a transmissive hue, which gives them superior advantages in a myriad of potential applications such as photovoltaic devices,4 sensors5 and smart windows.8
It is well known that only a fraction of conjugated polymers can exhibit the property of n-doping on account of the easy degradation reaction associated with water and air.50 For this reason, the conjugated polymers with stable negatively doped states are of high interest for wide applications such as LEDs and ambipolar field effect transistors. From the measurements of CV curves for the four polymer films, we preliminarily draw the conclusion that the four polymers have n-doping properties due to the reversible redox peaks in the reduction region. To further ascertain this, the reductive UV-Vis absorption spectra of the four polymers (PFBOTQ, PMFBOTQ, PFBTQ and PMFBTQ) were acquired at −1.7, −1.7, −1.5 and −1.5 V, respectively, in order to characterize the optical changes that occurred during the n-doped process and prove the introduction of charge carriers to the conjugated systems at the n-doped state of the four polymers. As shown in Fig. 7a, as the potential switched from the neutral state to the reduced state, several apparent changes were observed for PFBOTQ, including a moderate absorption increase in the NIR region, the vanishment of the absorption band at around 758 nm, and the accompanying decrease of the red-shift of the π–π* transition band. Moreover, the color of the PFBOTQ film changed from green to taupe, which confirmed a true n-type doping process. A similar change was observed for the reduced state of PMFBOTQ, the absorption peak at 422 nm, and the less intense broad shoulder band between 542 nm and 845 nm, which resulted in a dark brown color at −1.7 V. As for PFBTQ, when the potential stepped from neutral state (0 V) to the reduced state (−1.5 V), there was a uniform increase in the absorption of the polymer throughout the entire wavelength range with only a tiny peak centered at 548 nm in the visible region, which brought about a slight purple color for the reduced PFBTQ. There is also an apparent difference between the absorption wavelengths of the neutral and reduced states of the PMFBTQ films. Upon reduction from the neutral state, the color of the PMFBTQ film was changed from light brown-red to light gray, which was characterized by the separated absorption waves, including a well-defined band centered at 340 nm and a less intense shoulder absorption band centered at 418 nm. Hence, with strong absorption changes in the NIR region and the CV waves observed at negative potentials, it is clear that all four polymers are showing true n-type doping processes.
3.6 Switching properties of the polymer films
It is important that polymers can switch rapidly and present a prominent color change for electrochromic applications. Double potential step chronoamperometry technique coupled with optical spectroscopy was applied in order to investigate the switching ability of polymer film between its neutral and full oxidized state at definite wavelengths. The electrochromic switching behaviors of the four polymer films were performed at regular intervals of 4 s in a monomer free ACN–DCM (1
:
1, by volume) solution containing 0.2 M TBAPF6 as a supporting electrolyte. The stabilities, optical contrasts and response times based on electrochromic switching of the four polymer films at different given wavelengths are shown in Fig. 8. One of the crucial factors in appraising an electrochromic material is the optical contrast (ΔT%), which can be defined as a percent transmittance change at a specified wavelength between the redox states. Moreover, another important characteristic parameter of electrochromic materials is the response time, which can be defined as the time required for reaching 95% of the full optical switch (after which the naked eye cannot sense the color change).51 Fig. 8(a) and (b) show the switching properties of PFBOTQ and PMFBOTQ polymer films between −0.5 and 1.1 V for PFBOTQ as well as between −0.5 and 1.15 V for PMFBOTQ at two different wavelengths both in the visible and NIR regions. The optical contrast for PFBOTQ was calculated as 34.2% at 750 nm and 63.6% at 1810 nm, and the switching times were 0.7 s at 750 nm and 1.1 s at 1810 nm from the reduced to the oxidized state. The percentage transmittance changes between the neutral (at −0.5 V) and oxidized states (at 1.15 V) were found to be 33% at 745 nm in the visible region and 66% at 1810 nm in the near-infrared region for PMFBOTQ polymer film. The response times of PMFBOTQ polymer film were 0.5 s at 745 nm and 0.9 s at 1810 nm from the neutral state to the oxidized state. As presented in Fig. 8c, the dynamic electrochromic experiment for PFBTQ film was carried out at 545 nm, 900 nm and 2000 nm with potentials switched from 0 V to 1.25 V at regular intervals of 4 s. The optical contrasts for PFBTQ were calculated to be 21% at 545 nm, 33% at 900 nm and 48.5% at 2000 nm. The response times of PFBTQ obtained by precise calculation were 0.7 s at 545 nm, 0.7 s at 900 nm and 1.3 s at 2000 nm from the reduced to the oxidized state.
 |
| Fig. 8 Transmittance-time profiles of the polymer films recorded during double-step spectrochronoamperometry for a switching time of 4 s under the indicated wavelength. (a) PFBOTQ between −0.5 and 1.1 V; (b) PMFBOTQ between −0.5 and 1.15 V; (c) PFBTQ between 0 V and 1.25 V; and (d) PMFBTQ between 0 V and 1.3 V. | |
With regard to PMFBTQ, it exhibited 24% transmittance change at 345 nm and 63% at 1970 nm between redox states as shown in Fig. 8d. Furthermore, switch times acquired were 0.9 s at 345 nm and 1.2 s at 1970 nm from the neutral to the oxidized state. In contrast, it can be easily seen that PFBOTQ had better stability and higher percent transmittance contrast as well as a faster switch time than PFBTQ. A similar conclusion can be drawn from the comparison between PMFBOTQ and PMFBTQ. PFBOTQ and PMFBOTQ, which have the same butoxythiophene donor unit but different acceptors, presented similar optical contrast, whereas PMFBOTQ polymer film had a very slightly faster switch time than PFBOTQ. Moreover, PFBOTQ and PMFBOTQ, having excellent optical contrast in the NIR region, could be better candidates for electrochromic display applications. In contrast, PMFBTQ showed higher optical contrast than PFBTQ, although the switch times of the two polymers were different. As shown in Fig. 8, the electrochromic stabilities of the polymer films were investigated using spectroelectrochemically kinetic studies (differentiated the transmittance changes after 1000 cycles). After 1000 cycles of switching, the four polymer films continued to function without significant loss in their performance. The optical contrasts of PFBOTQ were retained by 98.5% of its origination at 750 nm and 99.0% at 1810 nm, after 1000 cycles of operation, which demonstrated that the PFBOTQ had excellent electrochromic stability in switching between the doped and neutral states. Moreover, the retained optical contrasts of PMFBOTQ, PFBTQ and PMFBTQ are shown in Table 2. From the data, it can be readily observed that PFBOTQ and PMFBOTQ were much more stable than PFBTQ and PMFBTQ due to the effect of the strongly electron-rich butoxy group, which was in a good agreement with the result of the CV stabilities. In addition, the total loss of the optical contrast for each polymer film was less than 6.5% after 1000 cycles of operation; the conclusion can be drawn that the four polymers present superb kinetic and redox stabilities.
Table 2 The optical contrast (ΔT%), response time, coloration efficiency (CE) and retained optical activity (after 1000 cycles, ΔY%) of the PFBOTQ, PMFBOTQ, PFBTQ and PMFBTQ
Compounds |
λ (nm) |
Optical contrast (ΔT%) |
Response time (s) |
Coloration efficiency (CE, cm2 C−1) |
Retained optical activity (after 1000 cycles, ΔY%) |
Data were taken from ref. 32. |
PFBOTQ |
750 |
34.2 |
0.7 |
194.2 |
98.5 |
1810 |
63.6 |
1.1 |
259.5 |
99.0 |
PMFBOTQ |
745 |
33.0 |
0.5 |
220.9 |
97.8 |
1810 |
66.0 |
0.9 |
227.7 |
98.0 |
PFBTQ |
545 |
21.0 |
0.7 |
99.3 |
95.0 |
900 |
33.0 |
0.7 |
378.4 |
94.3 |
2000 |
48.5 |
1.3 |
360.3 |
96.5 |
PMFBTQ |
345 |
24.0 |
0.9 |
215.7 |
94.6 |
1970 |
63.0 |
1.2 |
353.2 |
93.5 |
PMFMQa |
428 |
22.0 |
0.9 |
— |
— |
760 |
24.0 |
0.7 |
— |
— |
1600 |
86.0 |
1.1 |
— |
— |
PMFTQa |
560 |
18.0 |
1.6 |
— |
— |
790 |
60.0 |
1.4 |
— |
— |
1300 |
80.0 |
1.6 |
— |
— |
Coloration efficiency (CE) is another key parameter for electrochromic polymer films as it describes the change in optical absorbance at the wavelength of interest to the density of injected/ejected charge.52 CE at a given wavelength (λ) can be calculated using the equations given below:53
where
Tb and
Tc are the transmittances before and after coloration at
λ, respectively. ΔOD is the change of the optical density at
λ, which is proportional to the amount of produced color centers. Δ
Q is the amount of injected/ejected charge per unit sample area.
η denotes the coloration efficiency (CE) at a given wavelength (
λ). The CE of PFBOTQ film was calculated to be 194.2 cm
2 C
−1 at 750 nm and 259.5 cm
2 C
−1 at 1810 nm. As for PMFBOTQ, the CEs calculated by the above mentioned equations were 220.9 cm
2 C
−1 at 745 nm and 227.7 cm
2 C
−1 at 1810 nm. With regard to PFBTQ, the values of CE were measured as 99.3 cm
2 C
−1 at 545 nm, 378.4 cm
2 C
−1 at 900 nm and 360.3 cm
2 C
−1 at 2000 nm by the same method. We also easily obtained the values of CE for PMFBTQ. The CE of PMFBTQ polymer was 215.7 cm
2 C
−1 at 345 nm and 353.2 cm
2 C
−1 at 1970 nm. It was clearly found that all CE values for the four polymer films were greater than or about 200 cm
2 C
−1 except the CE value of PFBTQ at 545 nm. The four newly synthesized polymers exhibited excellent CE properties in comparison with the CE (in the range of 80–100 cm
2 C
−1) of naphthalenediimide bridged D–A polymers
27 reported recently, which is due to the favorable matches (D–A interactions) of the four polymers. The results clearly showed that the four polymer films had very satisfactory coloration efficiencies. From the analyses of the switching properties for the four polymer films, we can conclude that the high optical contrast, fast switching times and excellent CE values make these four polymer films good candidates for promising applications such as smart windows, electrochromic mirrors, and optical displays.
The parameters (optical contrasts, response times and coloration efficiencies) of PFBOTQ, PMFBOTQ, PFBTQ and PMFBTQ are presented in Table 2. In addition, the parameters for PMFMQ and PMFTQ32 are also listed for comparison. The previous experience was that long chain alkyl groups in the polymers can improve the optical contrasts and response times of the polymers to some extent due to the increase of the distance between chain segments, which can enhance the charge and discharge capacity of anions in the doping process. In this case, it is speculated that all of the four polymers in this study should present higher optical contrasts and faster response times than PMFMQ and PMFTQ. All four polymers present outstanding response times by contrast with those of PMFMQ and PMFTQ, which is in agreement with the previous experience. Unexpectedly, the four newly synthetic polymers exhibit slightly lower optical contrasts in comparison with PMFMQ and PMFTQ, which is inconsistent with the previous experience; the reason for this phenomenon will require further study.
4. Conclusions
In summary, four novel donor–acceptor–donor type monomers based on 2,3-di(2-furyl)quinoxaline or 2,3-di(5-methylfuran-2-yl)quinoxaline as the acceptor units were successfully synthesized in order to study the effects of the different donor and different acceptor strengths on the electrochemical and spectroelectrochemical properties of the resulting electropolymerized materials. Electrochemical studies and spectroelectrochemical characterizations indicated that both PFBOTQ and PMFBOTQ with the stronger electron-donor butoxythiophene unit had lower oxidation potentials and band gaps relative to the polymers containing butylthiophene units, and PFBOTQ exhibited a lower oxidation potential and band gap compared to the polymer PMFBOTQ due to the effect of methyl groups on the quinoxaline moiety. In addition, both PFBOTQ and PMFBOTQ were shown to be neutral-state green polymeric materials.
As the D–A–D type of π-conjugated polymers, all four polymers showed excellent cyclic voltammetry stabilities, satisfactory coloration efficiencies (CE), high optical contrasts (ΔT%) and extremely fast response times. Furthermore, the generation of redox waves in CV curves at negative potentials and the variation of the spectral absorption curves upon reduction proved that all four polymers had stable n-doping properties. The polymer films, with their excellent electrochemical and optical properties, are expected to be useful for practical use in electrochromic display applications.
Acknowledgements
The work was financially supported by the National Natural Science Foundation of China (51473074, 31400044), the General and Special Program of the postdoctoral science foundation of China (2013M530397, 2014T70861).
Notes and references
- H. Shirakawa, E. J. Louis, A. G. Macdiarmid, C. K. Chinag and A. J. Heeger, Chem. Commun., 1977, 16, 578 RSC.
- J. H. Burroughes, D. D. C. Bradley, A. R. Brown, R. N. Marks, K. Mackay, R. H. Friend, P. L. Burns and A. B. Holmes, Nature, 1990, 347, 539 CrossRef CAS.
- A. Bessiere, C. Duhamel, J. C. Badot, V. Lucas and M. C. Certiat, Electrochim. Acta, 2004, 49, 2051 CrossRef CAS PubMed.
- N. S. Sariciftci, D. Braun, C. Zhang, V. Srdanov, A. J. Heeger, G. Stucky and F. Wudl, Appl. Phys. Lett., 1993, 62, 585 CrossRef CAS PubMed.
- D. T. McQuade, A. E. Pullen and T. M. Swager, Chem. Rev., 2000, 100, 2537 CrossRef CAS PubMed.
- N. Stutzmann, R. H. Friend and H. Sirringhaus, Science, 2003, 299, 1881 CrossRef CAS PubMed.
- C. Yang, J. Y. Kim, S. Cho, J. K. Lee, A. J. Heeger and F. Wudl, J. Am. Chem. Soc., 2008, 130, 6444–6450 CrossRef CAS PubMed.
- C. G. Granqvist, A. Azens, A. Hjelm, L. Kullman, G. A. Niklasson, D. Ronnow, M. S. Mattsson, M. Veszelei and G. Vaivars, Sol. Energy, 1998, 63, 199 CrossRef CAS.
- P. Chandrasekhar, B. J. Zay, G. C. Birur, S. Rawal, E. A. Pierson, L. Kauder and T. Swanson, Adv. Funct. Mater., 2002, 12, 95–103 CrossRef CAS.
- S. Beaupré, A.-C. Breton, J. Dumas and M. Leclerc, Chem. Mater., 2009, 21, 1504–1513 CrossRef.
- M. E. Nicho, H. Hu, C. López-Mata and J. Escalante, Sol. Energy Mater. Sol. Cells, 2004, 82, 105–118 CrossRef CAS PubMed.
- E. Sefer, F. B. Koyuncu, E. Oguzhan and S. Koyuncu, J. Polym. Sci., Part A: Polym. Chem., 2010, 48, 4419–4427 CrossRef CAS.
- A. A. Argun, A. Cirpan and J. R. Reynolds, Adv. Mater., 2003, 15, 1338 CrossRef CAS.
- R. J. Mortimer, Electrochim. Acta, 1999, 44, 2971 CrossRef CAS.
- P. R. Somani and S. Radhakrishnan, Mater. Chem. Phys., 2002, 77, 117 CrossRef.
- G. Sonmez, H. B. Sonmez, C. K. F. Shen, R. W. Jost, Y. Rubin and F. Wudl, Macromolecules, 2005, 38, 669 CrossRef CAS.
- E. K. Unver, S. Tarkuc, Y. A. Udum, C. Tanyeli and L. Toppare, org. Electron., 2011, 12, 1625 CrossRef CAS PubMed.
- Y. J. Cheng, S. H. Yang and C. S. Hsu, Chem. Rev., 2009, 109, 5868 CrossRef CAS PubMed.
- G. E. Gunbas, A. Durmus and L. Toppare, Adv. Mater., 2008, 20, 691 CrossRef CAS.
- E. E. Havinga, W. Hoeve and H. Wynberg, Synth. Met., 1993, 55, 299–306 CrossRef CAS.
- P. Nils-Krister, S. Mengtao, K. Par, P. Tonu and I. Olle, J. Chem. Phys., 2005, 123, 204718–204726 CrossRef PubMed.
- J. Pranata, R. H. Grubbs and D. A. Dougherty, J. Am. Chem. Soc., 1988, 110, 3430 CrossRef CAS.
- E. E. Havinga, W. Ten Hoeve and H. Wynberg, Synth. Met., 1993, 299, 55–57 Search PubMed.
- A. Cihaner and F. Algı, Adv. Funct. Mater., 2008, 18, 3583 CrossRef CAS.
- G. Sonmez, C. K. F. Shen, Y. Rubin and F. Wudl, Angew. Chem., Int. Ed., 2004, 43, 1498 CrossRef CAS PubMed.
- G. Sonmez, H. B. Sonmez, C. K. F. Shen, R. W. Jost, Y. Rubin and F. Wudl, Macromolecules, 2005, 38, 669 CrossRef CAS.
- E. Sefer and F. B. Koyuncu, Electrochim. Acta, 2014, 143, 106–113 CrossRef CAS PubMed.
- P. M. Beaujuge, S. Ellinger and J. R. Reynolds, Nat. Mater., 2008, 7, 795–799 CrossRef CAS PubMed.
- R. C. Coffin, J. Peet, J. Rogers and G. C. Bazan, Nat. Chem., 2009, 1, 657–661 CrossRef CAS PubMed.
- S. Hayashi and T. Koizumi, Polym. Chem., 2012, 3, 613–616 RSC.
- D. M. Leeuw, M. M. Simenon, A. R. Brown and R. E. F. Einerhand, Synth. Met., 1997, 87, 53 CrossRef.
- Z. Xu, J. H. Zhao, C. S. Cui, W. Y. Fan and J. f. Liu, Electrochim. Acta, 2014, 125, 241–249 CrossRef CAS PubMed.
- E. K. Unver, S. Tarkuc, Y. A. Udum, C. Tanyeli and L. Toppare, Org. Electron., 2011, 10, 1625–1631 CrossRef PubMed.
- Y. Tsubata, T. Suzuki, T. Miyashi and Y. Yamashita, J. Org. Chem., 1992, 57, 6749–6755 CrossRef CAS.
- Y. Zhang, W. Cui and Q. H. Cheng, Huagong Keji, 2012, 20, 38–41 CAS.
- S. S. Zhu and T. M. Swager, J. Am. Chem. Soc., 1997, 119, 12568–12577 CrossRef CAS.
- L. E. Harrington, J. F. Britten and M. J. McGlinchey, Can. J. Chem., 2003, 81, 1180–1186 CrossRef CAS.
- L. H. Xu, C. Su, C. Zhang and C. A. Ma, Synth. Met., 2011, 161, 1856–1860 CrossRef CAS PubMed.
- S. Tarkuc, Y. A. Udum and L. Toppare, Polymer, 2009, 50, 3458–3464 CrossRef CAS PubMed.
- G. Sonmez, H. Meng, Q. Zhang and F. Wudl, Adv. Funct. Mater., 2003, 13, 726 CrossRef CAS.
- H. W. Heuer, R. Wehrmann and S. Kirchmeyer, Adv. Funct. Mater., 2002, 12, 89 CrossRef CAS.
- O. Bohnke, C. Bohnke and S. Amal, Mater. Sci. Eng., B, 1989, 197, 1–2 Search PubMed.
- C. M. Amb, A. L. Dyer and J. R. Reynolds, Chem. Mater., 2011, 23, 397–415 CrossRef CAS.
- J. K. Xu, J. Hou, S. S. Zhang, Q. Xiao, R. Zhang, S. Z. Pu and Q. L. Wei, J. Phys. Chem. B, 2006, 110, 2643–2648 CrossRef CAS PubMed.
- Y. Li, Y. Cao, J. Gao, D. Wang, G. Yu and A. Heeger, Synth. Met., 1999, 99, 243 CrossRef CAS.
- J. Xu, H. Liu, S. Pu, F. Li and M. Luo, Macromolecules, 2006, 39, 5611 CrossRef CAS.
- E. Sefer, H. Bilgili, B. Gultekin, M. Tonga and S. Koyuncu, Dyes Pigm., 2015, 113, 121–128 CrossRef CAS PubMed.
- J. Hwang, J. I. Son and Y.-B. Shim, Sol. Energy Mater. Sol. Cells, 2010, 94, 1286–1292 CrossRef CAS PubMed.
- H. Akpınar, A. Balan, D. Baran, E. K. Ünver and L. Toppare, Polymer, 2010, 51, 6123–6131 CrossRef PubMed.
- C. J. DuBois, K. A. Abboud and J. R. Reynolds, J. Chem. Phys., 2004, 108, 8550–8557 CrossRef CAS.
- B. Yigitsoy, S. Varis, C. Tanyeli, I. M. Akhmedov and L. Toppare, Electrochim. Acta, 2007, 52, 6561–6568 CrossRef CAS PubMed.
- P. M. Beaujuge and J. R. Reynolds, Chem. Rev., 2010, 110, 268–320 CrossRef CAS PubMed.
- C. Bechinger, M. S. Burdis and J. G. Zhang, Solid State Commun., 1997, 101, 753 CrossRef CAS.
Footnote |
† Electronic supplementary information (ESI) available: 1H NMR and 13C NMR spectra of the intermediates and target compounds; the thickness tests of the polymers. See DOI: 10.1039/c4ra08664c |
|
This journal is © The Royal Society of Chemistry 2014 |
Click here to see how this site uses Cookies. View our privacy policy here.