DOI:
10.1039/C4RA03885A
(Paper)
RSC Adv., 2014,
4, 24874-24880
Trinitroethyl – a functionality leading to energetic compounds with high nitro content†
Received
28th April 2014
, Accepted 15th May 2014
First published on 15th May 2014
Abstract
Synthesis, characterization, and thermolysis studies of new polynitro compounds with good oxygen balance are reported. These compounds have been fully characterized by IR, NMR, elemental analysis, differential scanning calorimetry (DSC), density, and impact sensitivity measurements. Additionally, the structure of 2,2,2-trinitro-N-2,2,2-trinitroethylidene-ethanamine (9) was confirmed by single-crystal X-ray diffraction. Based on experimental and calculated values, the properties of the new polynitro compounds, such as decomposition temperatures (102.7–154.4 °C), oxygen balance (−26.7–30.5%), detonation pressures (21.4–36.1 GPa) and velocities (7368–8749 ms−1), and impact sensitivities (3–29 J), were obtained.
1. Introduction
High-energy-density materials (HEDMs) have been widely studied for civilian and military applications.1 Their performance is evaluated by detonation pressure (P) and velocity (vD), which are related to density, oxygen balance, and heat of formation.2 Work to improve the detonation properties of existing energetic materials has focused primarily on exploration of novel compounds with high chemical potential energy in hope of finding better performing forms.3
Superior performance of a high explosive material depends crucially on density, as well as other critical parameters responsible for effectiveness, such as the heat of formation (ΔfH), sensitivity (thermo, impact or friction), and the content of the gaseous products, in addition to others. In order to improve detonation properties, the introduction of more energy-rich functional groups including –NO2 (–CNO2, –NNO2, and –ONO2), –N3, –N
N–, –NF2, as substituents into energetic compounds is an effective and widely used method.4,5 Density is a very important property because it directly impacts detonation velocity and, even more importantly, the detonation pressure increases with the square of the density.2 Therefore, when looking for effective new energetic compounds, enhancing the density is one of the main goals. Other than the high density, for a compound to be a high-performing energetic material, a positive oxygen balance is required. Oxygen balance (Ω) is defined as the ratio of the oxygen content of a compound to the total oxygen required for the complete oxidation of all carbon, and hydrogen in a molecule to form CO, and H2O; it is used to indicate the degree to which an explosive can be oxidized and to classify energetic materials as either oxygen deficient or oxygen rich. Oxygen balance is easily calculated by the equation Ω (%) = −1600/M (x + 1/2y − w) (w: number of oxygen atoms, x: number of carbon atoms, y: number of hydrogen atoms).6
The nitro-group is powerful moiety in building such high-performance energetic compounds, and, although it tends to decrease the heat of formation, it contributes markedly to the overall energetic performance (detonation pressure and velocity).7 Poly-nitro compounds belong to one of the oldest classes of energetic materials which are easily synthesized, and exhibit high density, satisfactory oxygen content, and good combustion characteristics. These compounds are prepared or manufactured in relatively large volumes, most often as various intermediates. Their properties and parameters are interesting and important from the standpoint of technology and/or safety. Therefore, building poly-nitro compounds by introducing polynitro-containing groups has been developed to improve the properties of energetic materials.8,9 It is an effective method in improving the properties of energetic compounds, especially in the aspects of enhancing oxygen balance and increasing density.
Although the chemistry and applications of polynitro compounds as energetic materials have been studied in detail,1,2,8,10 there is a pressing need in the energetic materials field to be able to incorporate additional nitro groups into molecules. The corresponding chemistry of the syntheses of polynitro compounds continues as a currently interesting subject of systematic investigation.8b–d For the past several years as part of our continued efforts in the field of polynitro energetic compounds, our group has been examining the syntheses of highly dense energetic materials that contain a high percentage of oxygen.8a,f,11 The Mannich reaction is an excellent route to prepare polynitroaliphatic amines and their derivatives. 2,2,2-Trinitroethanol (TNE) is an example of such a molecule with three nitro groups fused onto one methylene group which can be easily reacted with different moieties through the Mannich reaction, such as ammonia,12 aliphatic amines,13 hydrazine,11b and even urea14 as the amine component in order to synthesize the corresponding trinitromethyl derivatives.
Thus, based on the fact that polynitro compounds usually possess higher density, and good oxygen balance, a series of new polynitro compounds were prepared via Mannich reactions of TNE with a variety of starting materials. These new energetic compounds are characterized and the standard enthalpies of formation obtained by theoretical calculations. The assessment of their physiochemical properties along with their energetic performance characteristics were also carried out. Their thermal stabilities were obtained using DSC. Furthermore, to assess the energetic properties, the impact sensitivity was also determined by the BAM fall hammer method. A single crystal structure for 2,2,2-trinitro-N-2,2,2-trinitroethylidene-ethanamine is reported. The resulting polynitro compounds exhibit acceptable thermal stabilities, detonation performances, and impact sensitivities.
2. Experimental section
Caution: although none of the compounds described here has exploded or detonated in the course of this research, these materials should be handled with care using proper safety practices. Manipulations must be carried out in a hood behind a safety shield. Eye protection and leather gloves must be worn. Caution should be exercised at all times during the synthesis, characterization, and handling of any of these materials, and mechanical actions involving scratching or scraping must be avoided.
2.1. General methods
1H, 13C, 19F and 14N NMR spectra were recorded on a 300 (Bruker AVANCE 300) or a 500 MHz (Bruker AVANCE 500) nuclear magnetic resonance spectrometer operating at 300.13, 75.48, 282 and 50.69 MHz, respectively. Chemical shifts were reported relative to Me4Si. High-resolution mass spectra were recorded on a Waters Q-TOF mass spectrometer using polyethylene glycol (PEG) as internal standard. The melting and decomposition points were obtained on a differential scanning calorimeter (TA Instruments Company, Model Q10) at a scan rate of 5 °C min−1. IR spectra were recorded using KBr pellets for solids on a BIORAD model 3000 FTS spectrometer. Densities were determined at 25 °C by employing a Micromeritics AccuPyc 1330 gas pycnometer. Elemental analyses were carried out using an Exeter CE-440 elemental analyzer.
2.2. X-ray crystallography
A colourless needle (9) of dimensions 0.22 × 0.10 × 0.02 mm3, was mounted on a MiteGen MicroMesh using a small amount of Cargille Immersion Oil. Data were collected on a Bruker three-circle platform diffractometer equipped with a SMART APEX II CCD detector. The crystals were irradiated using graphite monochromated MoKα radiation (λ = 0.71073). An Oxford Cobra low temperature device was used to maintain the crystals at a constant 100(2) K during data collection.
Data collection was performed and the unit cell was initially refined using APEX2 v2010.3-0.15 Data reduction was carried out using SAINT v7.60A (ref. 16) and XPREP v2008/2.17 Corrections were applied for Lorentz, polarization, and absorption effects using SADABS v2008/1.18 The structure was solved and refined with the aid of the programs in the SHELXTL-plus v2008/4 system of programs.19 The full-matrix least-squares refinement on F2 included atomic coordinates and anisotropic thermal parameters for all non-H atoms. The H atoms were included using a riding model.
2.3. Theoretical study
Calculations were performed with the Gaussian 09 (Revision A.02) suite of programs.20 The geometric optimization of the structures based on single-crystal structures, where available, and frequency analyses were carried out using the B3LYP functional with 6-31+G** basis set,21 and single energy points were calculated at the MP2/6-311++G** level. All of the optimized structures were characterized to be true local energy minima on the potential energy surface without imaginary frequencies. The heats of formation of the TNE derivatives are computed using the method of isodesmic reactions (Scheme 1). The enthalpy of reaction (ΔrH° 298) is obtained by combining the MP2/6-311++G** energy difference for the reaction, the scaled zero point energies, and other thermal factors. Thus, the heats of formation in the gas phase of the species being investigated can be readily extracted. For those TNE derivatives, using 84 kJ mol−1 (ref. 22) as their heat of sublimation, the heat of formation for the solid state was estimated (Table 1). With the value of the heats of formation and density of the energetic salts, the detonation pressures (P) and detonation velocities (vD) were calculated based on the traditional Chapman–Jouguet thermodynamic detonation theory using EXPLO 5.05.23
 |
| | Scheme 1 Isodesmic reactions for TNE derivatives. | |
Table 1 Physical properties of TNE derivatives compared with TNT, RDX, and HMX
| Compd |
Tma (°C) |
Tda (°C) |
ρb (g cm−3) |
ΔHf(s)c (kJ mol−1/kJ g−1) |
Pd (Gpa) |
νDe (ms−1) |
ISf (J) |
OC (%)g |
OB (CO)h % |
| Thermal melting (Tm) point and thermal decomposition (Td) temperature under nitrogen gas (DSC, 5 °C min−1); no melting points are observed except 9. Gas pycnometer (25 °C). Heat of formation in solid state (calculated with Gaussian 09). Calculated detonation pressure (EXPLO 5.05). Calculated detonation velocity (EXPLO 5.05). Impact sensitivity (BAM drop hammer). Oxygen content (M/M%). OB (CO) = oxygen balance (%) for CaHbOcNd: 1600 (c − 2a − b/2)/Mw (Mw = molecular weight of TNE derivatives). Ref. 11b. Crystal density (150(2) K). Calculated density, ref. 24. Ref. 25. |
| 1 |
— |
133.6 |
1.77 |
190.2/0.43 |
30.7 |
8315 |
8 |
38.8 |
−3.2 |
| 2 |
— |
112.7 |
1.62 |
64.2/−0.07 |
21.4 |
7368 |
29 |
37.3 |
−26.7 |
| 3 |
— |
154.4 |
1.68 |
22.0/−0.15 |
28.6 |
8087 |
6 |
48.8 |
15.0 |
| 4 |
— |
118.9 |
1.76 |
−49.5/−0.32 |
32.7 |
8502 |
4 |
50.0 |
15.4 |
| 5 |
— |
148.6 |
1.74 |
−211.7/−0.67 |
30.3 |
8246 |
12 |
50.4 |
14.4 |
| 6 |
|
126.5 |
1.65 |
285.2/0.81 |
27.5 |
8065 |
9 |
38.8 |
−3.2 |
| 7 |
— |
102.7 |
1.84 |
336.1/0.86 |
36.1 |
8749 |
3 |
43.8 |
11.0 |
| 8 |
|
123.4 |
1.86i |
−77.8/−0.47 |
34.2 |
8558 |
15 |
56.0 |
25.6 |
| 9 |
75.0 |
135.3 |
1.85 (1.92)j |
65.3/−0.05 |
32.3 |
8350 |
5 |
56.3 |
30.5 |
| 10 |
— |
— |
1.91k |
−58.0/−0.42 |
35.0 |
8553 |
— |
56.1 |
28.1 |
| TNTl |
80.4 |
295 |
1.65 |
−67.0/−0.30 |
19.5 |
6881 |
15 |
42.3 |
−24.7 |
| RDXl |
— |
230 |
1.82 |
92.6/0.42 |
35.2 |
8977 |
7.4 |
43.2 |
0 |
| HMXl |
282 |
287 |
1.94 |
116.1/0.39 |
41.5 |
9221 |
7.0 |
43.2 |
0 |
2.4. Synthesis and characterization
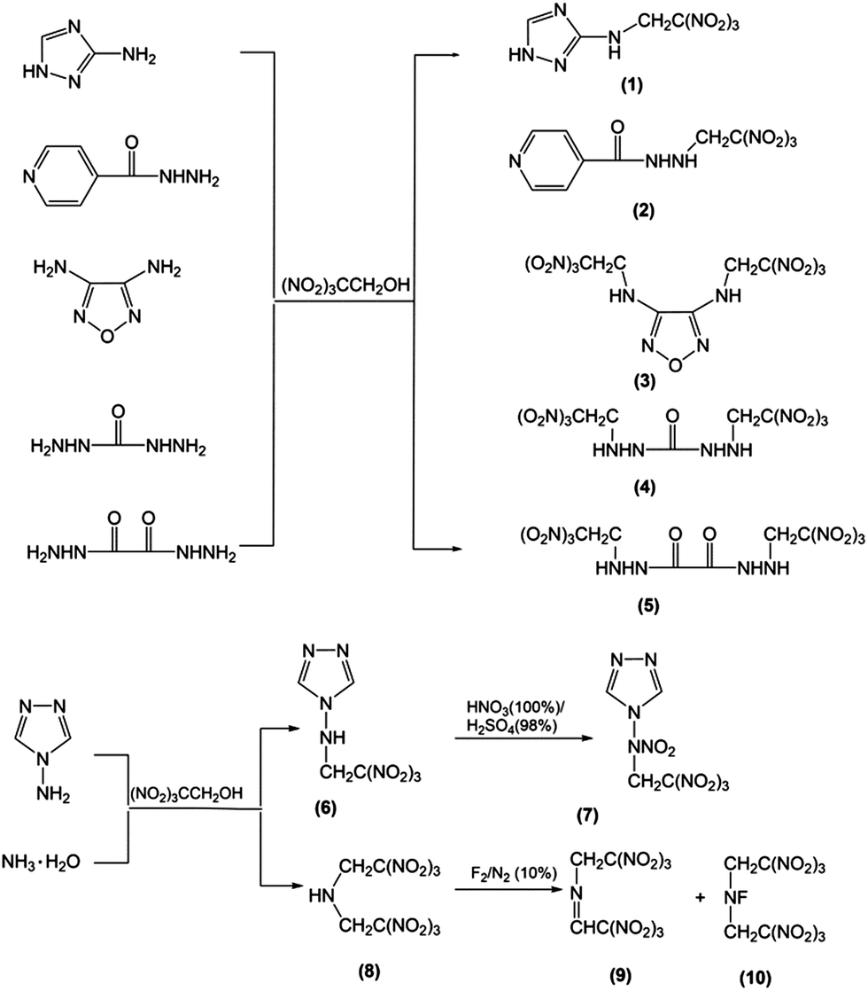
3-(N-2,2,2-Trinitroethyl)amino-1,2,4-triazol (1). TNE was synthesized by literature method.26 TNE (1.00 g, 5.5 mmol) was dissolved in 3 mL methanol with stirring and cooling at room temperature. To this solution, was added 0.42 g (5 mmol) 3-aminotriazole in 10 mL methanol in one portion. The mixture was stirred for 2 h, 50 mL water was added to the reaction mixture; the solvent was evaporated slowly at room temperature and ambient pressure under a stream of air to leave a light yellow solid. This was washed with water and dried to leave a light yellow powder (457 mg, 37%); 1H NMR (CD3CN): δ 7.90 ppm (s, 1H, CH in ring of triazole), 5.74 ppm (b, 1H, NH), 5.13 ppm (d, J = 6.1 Hz, 2H, CH2); 13C NMR (CD3CN): δ 161.4, 144.8, 49.0 ppm; IR (KBr pellet): ν 3290, 3099, 3046, 2958, 2895, 2759, 1602, 1511, 1415, 1382, 1307, 1247, 1145, 1068, 1008, 974, 888, 852, 833, 808, 782, 747, 703, 573, 532, 413 cm−1; elemental analysis (%) calcd for C4H5N7O6 (247.13): C 19.44, H 2.04, N 39.67; found: C 19.54, H 1.98, N 39.07.
Isonicotinic 2-(2,2,2-trinitroethyl)hydrazide (2). TNE (1.00 g, 5.5 mmol) reacted with isonicotinic hydrazide (0.68 g, 5.0 mmol) under the same conditions as for 1 leaving a colourless powder (1.17 g, 78%); IR (KBr pellet): ν 3235, 3196, 2976, 2611, 1960, 1653, 1612, 1590, 1527, 1490, 1411, 1329, 1307, 1220, 1189, 1136, 1101, 1066, 1000, 908, 871, 848, 798, 771, 729, 682, 545, 518, 419 cm−1; elemental analysis (%) calcd for C8H8N6O7 (300.19): C 32.01, H 2.69, N 28.00; found: C 32.10, H 2.65, N 28.00. 1H and 13C NMR spectra were not obtained because 2 is only soluble in DMSO-d6 in which it decomposes immediately.
1,2,5-Oxadiazole-3,4-di-(2,2,2-trinitroethyl)amine (3). TNE (1.00 g, 5.5 mmol) reacted with 3,4-diaminofurazan27 (0.25 g, 2.5 mmol) under the same conditions as for 1. Colourless needles (533 mg, 25%); 1H NMR (CD3CN): δ 5.52 ppm (t, J = 7.0 Hz, 2H, NH), 5.10 ppm (d, J = 7.0 Hz, 4H, CH2); 13C NMR (CD3CN): δ 150.1, 48.9 ppm; IR (KBr pellet): ν 3389, 3001, 2959, 2360, 1591, 1499, 1427, 1303, 1253, 1113, 1016, 857, 811, 782, 663, 630, 547, 424 cm−1; elemental analysis (%) calcd for C6H6N10O13 (426.17): C 16.91, H 1.42, N 32.87; found: C 17.34, H 1.44, N 33.36.
Carbonic 2,2′-di-(2,2,2-trinitroethyl)hydrazide (4). TNE (1.00 g, 5.5 mmol) reacted with (0.23 g, 2.5 mmol) under the same conditions as for 1. Colourless powder (468 mg, 45%); 1H NMR (CD3CN): δ 6.98 ppm (s, 2H, NH), 5.01 ppm (s, 2H, NH), 4.54 ppm (s, 4H, CH2); 13C NMR (CD3CN): δ 160.2, 56.2 ppm; IR (KBr pellet): ν 3437, 3358, 3274, 3206, 3149, 3090, 3005, 2958, 2893, 1681, 1596, 1533, 1489, 1413, 1376, 1307, 1118, 1008, 885, 854, 804, 769, 713, 637, 578, 544, 466, 407 cm−1; elemental analysis (%) calcd for C5H8N10O13 (416.18): C 14.43, H 1.94, N 33.66; found: C 14.55, H 1.88, N 33.28.
Ethanedioic 1,2-bis-(2,2,2-trinitroethyl)hydrazide (5). TNE (1.00 g, 5.5 mmol) reacted with (0.29 g, 2.5 mmol) under the same conditions as for 1. Colourless powder (710 mg, 64%); 1H NMR (CD3CN): δ 9.18 ppm (d, 2H, NH, J = 3.6 Hz), 5.30 (q, 2H, NH, J = 6.3 Hz), 4.62 (d, 4H, NH, J = 6.3 Hz); 13C NMR (CD3CN): δ 160.0, 54.8 ppm; IR (KBr pellet): ν 3400, 3349, 2999, 2954, 2897, 1678, 1596, 1468, 1414, 1376, 1340, 1307, 1089, 1012, 879, 854, 836, 804, 658, 553 cm−1; elemental analysis (%) calcd for C6H8N10O14 (444.19): C 16.22, H 1.82, N 31.53; found: C 17.15, H 1.90, N 31.21.
4-N-(2,2,2-Trinitroethyl)amino-1,2,4-triazole (6). Was synthesized based on literature methods.5 Colourless powder (90%); 1H NMR (acetone-d6): δ 8.59 ppm (s, 2H, CH in ring of triazole), 7.72 (t, J = 6.0 Hz, 1H, NH), 5.34 (d, J = 6.0 Hz, 2H, CH2); 13C NMR (acetone-d6): δ143.9, 55.2 ppm; IR (KBr pellet): ν 3233, 3156, 3128, 3099, 3037, 2985, 2939, 2899, 2700, 2607, 2543, 2459, 2391, 2270, 1962, 1755, 1690, 1596, 1504, 1457, 1417,1352, 1301, 1197, 1126, 1073, 1008, 958, 939, 877, 845, 802, 773, 712, 680, 650, 624, 536, 464, 401 cm−1.
4-(N-Nitro-N-(2,2,2-trinitroethyl))amino-1,2,4-triazol (7). 1.23 g of 6 was added slowly in portions to a mixture of 100% HNO3 (3 mL) and concentrated H2SO4 (3 mL) with stirring and cooling at 0 °C. The mixture was stirred for 2 h, and the reaction mixture was poured into ice water (50 mL). A colourless powder was collected by filtration, washed with water, and dried in air to give a colourless solid (732 mg, 50%). Neat compound 7 is not stable at room temperature and it should be stored in the freezer. 1H NMR (acetone-d6): δ 8.63 ppm (s, 2H, ring of triazole), 6.10 ppm (s, 2H, CH2); 13C NMR (acetone-d6): δ 143.2, 57.6 ppm; IR (KBr pellet): ν 3422, 3142, 3123, 2990, 2914, 2778, 1643, 1603, 1516, 1496, 1404, 1334, 1305, 1282, 1215, 1137, 1079, 1034, 950, 929, 894, 843, 808, 788, 750, 686, 634, 596, 538, 421 cm−1; HRMS: calcd for compound 7: 293.0230 found: 293.0228.
Bis-(2,2,2-trinitroethyl)amine (8). Was synthesized by using a reference method.2 Colourless needles. (40%); 1H NMR (CD3Cl): δ 4.36 ppm (d, J = 7.4 Hz, 4H, CH2), δ 4.36 ppm (t, J = 7.4 Hz, 1H, NH); 13C NMR (CD3Cl): δ 126.6, 53.7 ppm; IR (KBr pellet): ν 3375, 2945, 2890, 2657, 2609, 1593, 1481, 1438, 1305, 1153, 1098, 1043, 979, 871, 855, 792, 740, 640, 559, 434 cm−1.
2,2,2-Trinitro-N-2,2,2-trinitroethylidene-ethanamine (9). Bis-(2,2,2-trinitroethyl) amine (1.71 g) was dissolved in 10 mL dry acetonitrile; 10% F2/N2 was bubbled through the mixture over a period of 30 minutes at −40 °C. Acetonitrile was removed under reduced pressure to leave the product as a yellow oil which was the mixture of 2,2,2-trinitro-N-2,2,2-trinitroethylidene-ethanamine (9) and N-fluoro-bis-(2,2,2-trinitroethyl)amine (10). Recrystallization of the product from toluene and heptane gave colourless needles of 9 (85 mg, 5%); 1H NMR (CD3Cl): δ 8.53 ppm (s, 1H, CH), 5.21 ppm (s, 2H, CH2); 13C NMR (CD3Cl): δ 152.6, 59.6 ppm; 14N NMR (CD3Cl): δ 34.5, 37.8 ppm; IR (KBr pellet): 3484, 2978, 2885, 2652, 2596, 2455, 2289, 1681, 1597, 1402, 1359, 1298, 1154, 1064, 904, 854, 808, 786, 717, 628, 583, 546, 446 cm−1; elemental analysis (%) calcd for C4H3N7O12 (341.11): C 14.08, H 0.89, N 28.74; found: C 14.18, H 0.87, N 27.87. Compound 10 was identified by NMR in the mixture with 9; 1H NMR (CD3Cl): δ 4.96 ppm d, 4H, J = 33.5 Hz (reference 33.8 Hz),6 CH2); 13C NMR (CD3Cl): δ 62.88 ppm (d, J = 14.2 Hz); 19F NMR (CD3Cl): δ 23.62 (quintet, J = 33.6 Hz (reference 33.6 Hz).6
3. Results and discussion
3.1. Synthesis
3-(N-2,2,2-Trinitroethyl)amino-1,2,4-triazol (1), isonicotinic 2-(2,2,2-trinitroethyl) hydrazide (2), 1,2,5-oxadiazole-3,4-di-(2,2,2-trinitroethyl)amine (3), carbonic 2,2′-di-(2,2,2-trinitroethyl) hydrazide (4) and ethanedioic 1,2-bis-(2,2,2-trinitroethyl) hydrazide (5) were prepared through Mannich reactions of the corresponding starting materials with TNE (Scheme 2). Although the reaction of diaminofurazan with trinitroethanol (producing compound 3) was previously reported by Sheremetev et al.,8h it was not isolated and characterized. 4-(N-(2,2,2-Trinitroethyl)amino-1,2,4-triazole (6)28 and bis-(2,2,2-trinitroethyl)amine (8)2 were synthesized by literature methods (Scheme 2). 4-(N-nitro-N-(2,2,2-Trinitroethyl)amino-1,2,4-triazol (7) was prepared through the nitration of 2,2,2-trinitro-N-2,2,2-trinitroethylidene-ethanamine (6) with a mixture of HNO3 (100%) and H2SO4 (98%). 2,2,2-Trinitro-N-2,2,2-trinitroethylidene-ethanamine (9) was discovered unexpectedly when the synthesis of N-fluoro-bis-(2,2,2-trinitroethyl)amine (10) was attempted by fluorination of 8 in acetonitrile with 10% F2/N2. Compound 10 was first reported in a US patent in 1973.29 In this work, only 9 was obtained after recrystallization. The mixture of 9 and 10 was studied using 1H, 13C, and 19F NMR; 10 was identified by comparison with literature data.6 The structures of the new compounds were confirmed by NMR, and IR spectroscopy, and elemental analysis.
 |
| | Scheme 2 Synthesis of trinitromethyl derivatives 1–10. | |
3.2. Thermal stability and impact sensitivity
With the exception of 7 which must be stored in a freezer to preclude decomposition, all of the compounds are stable at ambient temperature. Differential scanning calorimetry (DSC) data for all compounds were obtained. The compounds have thermal stabilities from 102.7 (7) to 154.4 (3) °C. Impact sensitivity measurements were made using standard BAM Fall hammer techniques.30 The values are listed in Table 1 with sensitivities ranging from those of the relatively sensitive 1–6, 8–10 to the very sensitive compound 7.
The heats of formation (ΔHf) of 1–10 were calculated by using the Gaussian 09 (Revision A. 02) suite of programs. In Table 1, it can be seen that most of the TNE derivatives (1–3, 6, 7 and 9) are endothermic compounds and exhibit positive heats of formation with 7 having the highest value of 336.1 kJ mol−1 (0.86 kJ g−1).
By using the calculated values for the heats of formation and the experimental values for the densities (gas pycnometer values, 25 °C) of the new highly energetic TNE derivatives, the detonation pressures (P) and detonation velocities (vD) were calculated based on traditional Chapman–Jouguet thermodynamic detonation theory using EXPLO 5.05 (Table 1).23 The calculated detonation pressures of TNE derivatives lie in the range between P = 21.4(2) and P = 36.1(7) GPa (comparable to RDX 35.2 GPa). Detonation velocities lie between D = 7368(2) and D = 8749(7) ms−1 (comparable to RDX 8977 ms−1). The oxygen balances of 8, 9, and 10 are 25.6%, 30.5% and 28.1%, respectively, which are superior to those of RDX (0) and HMX (0). These properties coupled with the rather good thermal and hydrolytic stabilities make these high density materials attractive candidates for energetic applications.
Slow recrystallization of 9 from toluene–heptane gave colourless needles suitable for X-ray diffraction. The structure of 9 is shown in Fig. 1 (CCDC 969795).† It crystallizes in an orthorhombic space group Pbca with unit cell dimensions a = 12.523(2) Å, b = 11.3630(19) Å, c = 16.558(3) Å, α = 90°, β = 90°, γ = 90°, V = 2356.2(7) Å3, Z = 8, R1 = 0.0319, and w′R2 = 0.0725. The asymmetric unit of 9 consists of a single 2,2,2-trinitro-N-2,2,2-trinitroethylidene-ethanamine molecule (Fig. 1).
 |
| | Fig. 1 (a) Molecular structure of 9 (displacement ellipsoids shown at 30% probability). Hydrogen atoms represented by spheres of arbitrary radius. (b) Packing diagram of 1 viewed down the a-axis. | |
The two similar trinitromethyl moieties in 9 display a molecular geometry with propeller-type orientation of the nitro groups bonded to the carbon atoms. The formation of the double bond between C3 and N4, make the length of the C3–N4 bond (1.248(2) Å) significantly shorter than the bond length of C2 and N3 which lies in the normal range of 1.459(2) Å, as observed in the determination of the crystal structures of tetrakis(2,2,2-trinitroethyl) orthocarbonate,31 bis(2,2,2-trinitroethyl)carbonate,32 and bis(2,2,2-trinitroethyl)-3,6-diaminotetrazine1b which are similar to the structure in bis-(2,2,2-trinitroethyl)amine.1b The independent N–C–N bond angles of the trinitromethyl group are 108.77(12)°less than the tetrahedral value (109°28′) whereas most of the corresponding N–C–C bond angles are greater 112.60 (12)° N(12)–C(1)–C(2); 113.58(13)° C(2)–C(1)–N(6); 117.33(15)° N(3)–C(4)–C(5); 112.61(13)° C(4)–C(5)–N(18); 111.18(13)° C(4)–C(5)–N(21) than the tetrahedral value except for 105.53(12)° N(3)–C(2)–C(1), and 108.85(13)° N(9)–C(1)–C(2).
Further details are provided in the ESI.†
Conclusions
A series compounds containing the trinitroethyl moiety were prepared and fully characterized. The structure of 9 was confirmed by single-crystal X-ray diffraction. All the compounds have high oxygen content (37.3–56.3%) and oxygen balance (−26.7–30.5). Most of them (3–5, 7–10) are better than RDX and HMX. Densities for these compounds, measured with a gas pycnometer, were found to fall in the range between 1.62 (2) and 1.92 g cm−3 (9), which places them in a class of relatively dense compounds. By using EXPLO 5, their detonation pressures and velocities were calculated to fall between 21.4 and 36.1 GPa and 7368–8558 ms−1. Compounds 7 and 8 are comparable with RDX (35.2 GPa and 8977 ms−1). Except for 3 (6 J), 4 (4 J), 7 (3 J) and 9 (5 J), the impact sensitivities of the new compounds fall between 8 J (1) to 29 J (2) which are less sensitive than RDX (7.4 J).
Acknowledgements
The authors thank the Office of Naval Research (N00014-12-1-0536), and the Defense Threat Reduction Agency (HDTRA1-11-1-0034).
Notes and references
-
(a) T. M. Klapötke, in Chemistry of High-Energy Materials, Walter de Gruyter GmbH & Co., KG: Berlin/New York, 2011, p. 179 Search PubMed;
(b) H. Gao and J. M. Shreeve, Chem. Rev., 2011, 111, 7377 CrossRef CAS PubMed;
(c) H. Gao, Y.-H. Joo, D. A. Parrish, T. Vo and J. M. Shreeve, Chem.–Eur. J., 2011, 17, 4613 CrossRef CAS PubMed;
(d) G. Hervé, Propellants Explos. Pyrotech., 2009, 34, 444 CrossRef;
(e) M. H. V. Huynh, M. A. Hiskey, E. L. Hartline, D. P. Montoya and R. Gilardi, Angew. Chem., 2004, 116, 5032 (Angew. Chem., Int. Ed., 2004, 43, 4924) CrossRef;
(f) T. M. Klapötke, P. Mayer, A. Schulz and J. J. Weigand, J. Am. Chem. Soc., 2005, 127, 2032 CrossRef PubMed;
(g) R. P. Singh, R. D. Verma, D. T. Meshri and J. M. Shreeve, Angew. Chem., 2006, 118, 3664 (Angew. Chem., Int. Ed., 2006, 45, 3584) CrossRef;
(h) T. M. Klapötke, B. Krumm, R. Ilg, D. Troegel and R. Tacke, J. Am. Chem. Soc., 2007, 129, 6908 CrossRef PubMed;
(i) G. Steinhauser and T. M. Klapötke, Angew. Chem., 2008, 120, 3376 (Angew. Chem., Int. Ed., 2008, 47, 3330) CrossRef;
(j) Y.-H. Joo and J. M. Shreeve, Angew. Chem., 2009, 121, 572 (Angew. Chem., Int. Ed., 2009, 48, 564) CrossRef;
(k) Y.-H. Joo and J. M. Shreeve, J. Am. Chem. Soc, 2010, 132, 15081 CrossRef CAS PubMed;
(l) Y. Zhang and J. M. Shreeve, Angew. Chem., 2011, 123, 965 (Angew. Chem., Int. Ed., 2011, 50, 935) CrossRef.
-
(a) M. J. Kamlet and S. J. Jacobs, J. Chem. Phys., 1968, 48, 23 CrossRef CAS PubMed;
(b) M. J. Kamlet and S. J. Jacobs, J. Chem. Phys., 1968, 48, 36 CrossRef CAS PubMed;
(c) M. J. Kamlet and C. Dickinson, J. Chem. Phys., 1968, 48, 43 CrossRef CAS PubMed.
-
(a) J. Stierstorfer, K. R. Tarantik and T. M. Klapötke, Chem.–Eur. J., 2009, 15, 5775 CrossRef CAS PubMed;
(b) R. Wang, H. Gao, C. Ye, B. Twamley and J. M. Shreeve, Inorg. Chem., 2007, 46, 932 CrossRef CAS PubMed;
(c) J. C. Galvez-Ruiz, G. Holl, K. Karaghiosoff, T. M. Klapötke, K. Lçhnwitz, P. Mayer, H. Nçth, K. Polborn, C. J. Rohbogner, M. Suter and J. J. Weigand, Inorg. Chem., 2005, 44, 4237 CrossRef CAS PubMed;
(d) M. Zhang, P. E. Eaton and R. Gilardi, Angew. Chem., 2000, 112, 422 (Angew. Chem., Int. Ed., 2000, 39, 401) CrossRef.
-
(a) M. B. Talawar, R. Sivabalan, T. Mukundan, H. Muthurajan, A. K. Sikder, B. R. Gandhe and A. S. Rao, J. Hazard. Mater., 2009, 161, 589 CrossRef CAS PubMed;
(b) D. M. Badgujar, M. B. Talawar, S. N. Asthana and P. P. Mahulikar, J. Hazard. Mater., 2008, 151, 289 CrossRef CAS PubMed;
(c) L. Turker and S. Varis, Polycyclic Aromat. Compd., 2009, 29, 228 CrossRef CAS.
-
(a) C. Ye, H. Gao and J. M. Shreeve, J. Fluorine Chem., 2007, 128, 1410 CrossRef CAS PubMed;
(b) T. Abe, G.-H. Tao, Y.-H. Joo, Y. Huang, B. Twamley and J. M. Shreeve, Angew. Chem., 2008, 120, 7195 (Angew. Chem., Int. Ed., 2008, 47, 7087) CrossRef.
- Y. Li, W. Liu and S. Pang, Molecules, 2012, 17, 5040 CrossRef CAS PubMed.
-
(a) M. J. Kamlet and S. J. Jacobs, J. Chem. Phys., 1968, 48, 23 CrossRef CAS PubMed;
(b) M. J. Kamlet and S. J. Jacobs, J. Chem. Phys., 1968, 48, 36 CrossRef CAS PubMed;
(c) H. Gao, C. Ye, O. D. Gupta, J.-C. Xiao, M. A. Hiskey, B. Twamley and J. M. Shreeve, Chem.–Eur. J., 2007, 13, 3853 CrossRef CAS PubMed.
-
(a) P. Yin, Q. Zhang, J. Zhang, D. A. Parrish and J. M. Shreeve, J. Mater. Chem. A, 2013, 1, 7500 RSC;
(b) V. Thottempudi, H. Gao, Y. Zhang and J. M. Shreeve, J. Am. Chem. Soc., 2011, 133, 6464 CrossRef CAS PubMed;
(c) V. Thottempudi and J. M. Shreeve, J. Am. Chem. Soc., 2011, 133, 19982 CrossRef CAS PubMed;
(d) V. Thottempudi and J. M. Shreeve, Synthesis, 2012, 44, 1253 CrossRef CAS PubMed;
(e) Q. Zhang, J. Zhang, D. A. Parrish and J. M. Shreeve, Chem.–Eur. J., 2013, 19, 11000 CrossRef CAS PubMed;
(f) A. B. Sheremetev, N. S. Aleksandrova, N. V. Palysaeva, M. I. Struchkova, V. A. Tartakovsky and K. Y. Suponitsky, Chem.–Eur. J., 2013, 19(37), 12446 CrossRef CAS PubMed;
(g) M. A. Epishina, A. O. Finogenov, A. S. Kulikov, N. N. Makhova, I. V. Anan'ev and V. A. Tartakovsky, Russ. Chem. Bull., 2012, 61, 1575 CrossRef CAS;
(h) A. B. Sheremetev, N. S. Aleksandrova, N. V. Palysaeva, M. I. Struchkova, V. A. Tartakovsky and K. Y. Suponitsky, Chem.–Eur. J., 2013, 19, 12446 CrossRef CAS PubMed.
-
(a) O. V. Golovina, V. V. Bakharev, E. V. Golovin, V. E. Parfenov and P. A. Slepukhin, Tetrahedron Lett., 2013, 54, 3858 CrossRef CAS PubMed;
(b) R. Haiges and K. O. Christe, Inorg. Chem., 2013, 52, 7249 CrossRef CAS PubMed;
(c) A. A. Dippold and T. M. Klapötke, Z. Anorg. Allg. Chem., 2011, 637, 1453 CrossRef CAS.
-
(a) S. V. Sysolyatin, A. A. Lobanova, Y. T. Chernikova and G. V. Sakovich, Russ. Chem. Rev., 2005, 74, 757 CrossRef CAS PubMed;
(b) P. E. Eaton, R. L. Gilardi and M. X. Zhang, Adv. Mater., 2000, 12, 1143 CrossRef CAS.
-
(a) A. Noble and J. C. Anderson, Chem. Rev., 2013, 113, 2887 CrossRef CAS PubMed;
(b) M. Göbel and T. M. Klapötke, Adv. Funct. Mater., 2009, 19, 347 CrossRef.
- J. H. Grimes, R. G. Hannis and A. J. Huggard, J. Chem. Soc., 1964, 266 RSC.
- E. F. Witucki and M. B. Frankel, J. Chem. Eng. Data, 1979, 24, 247 CrossRef CAS.
- M. A. Epishina, I. V. Ovchinnikov, A. S. Kulikov, N. N. Makhova and V. A. Tartakovsky, Mendeleev Commun., 2011, 21, 21 CrossRef CAS PubMed.
- Bruker, APEX2 v2010.3–0, Bruker AXS Inc., Madison, Wisconsin, USA, 2010 Search PubMed.
- Bruker, SAINT v7.68A, Bruker AXS Inc., Madison, Wisconsin, USA, 2009 Search PubMed.
- Bruker, XPREP v2008/2, Bruker AXS Inc., Madison, Wisconsin, USA, 2008 Search PubMed.
- Bruker, SADABS v2008/1, Bruker AXS Inc., Madison, Wisconsin, USA, 2008 Search PubMed.
- Bruker, SHELXTL v2008/4, Bruker AXS Inc., Madison, Wisconsin, USA, 2008 Search PubMed.
- M. J. Frisch, G. W. Trucks, H. B. Schlegel, G. E. Scuseria, M. A. Robb, J. R. Cheeseman, G. Scalmani, V. Barone, B. Mennucci, G. A. Petersson, H. Nakatsuji, M. Caricato, X. Li, H. P. Hratchian, A. F. Izmaylov, J. Bloino, G. Zheng, J. L. Sonnenberg, M. Hada, M. Ehara, K. Toyota, R. Fukuda, J. Hasegawa, M. Ishida, T. Nakajima, Y. Honda, O. Kitao, H. Nakai, T. Vreven, J. A. Montgomery, J. E. Peralta, F. Ogliaro, M. Bearpark, J. J. Heyd, E. Brothers, K. N. Kudin, V. N. Staroverov, R. Kobayashi, J. Normand, K. Raghavachari, A. Rendell, J. C. Burant, S. S. Iyengar and J. Tomasi, Gaussian 09, ReVision A.02, Gaussian, Inc., Wallingford, CT, 2009 Search PubMed.
- R. G. Parr and W. Wang, Density Functional Theory of Atoms and Molecules, Oxford University Press, New York 1989 Search PubMed.
- C. Ye, H. Gao, J. A. Boatz, G. W. Drake, B. Twamley and J. M. Shreeve, Angew. Chem., Int. Ed., 2006, 45, 7262 CrossRef CAS PubMed.
- M. Sućeska, EXPLO5 V5.05 program, Zagreb, Croatia, 2011 Search PubMed.
-
(a) C. Ye and J. M. Shreeve, J. Phys. Chem. A, 2007, 111, 1456 CrossRef CAS PubMed;
(b) C. Ye and J. M. Shreeve, J. Chem. Eng. Data, 2008, 53, 520 CrossRef CAS.
- Y. Zhang, D. A. Parrish and J. M. Shreeve, Chem.–Eur. J., 2012, 18, 987 CrossRef CAS PubMed.
- H. Feuer and T. J. Kucera, J. Org. Chem., 1960, 25, 2069 CrossRef CAS.
- A. Gunasekaran, T. Jayachandran, J. H. Boyer and M. L. J. Trudell, Heterocycl. Chem., 1995, 32, 1405 CrossRef CAS.
- I. V. Ovchinnikov, A. S. Kulikov, M. A. Epishina, N. N. Makhova and V. A. Tartakovsky, Russ. Chem. Bull., 2005, 54, 1346 CrossRef CAS.
- M. E. Hill, D. L. Ross, C. L. Coon, US Pat., US 3751473 A 19730807, 1973.
-
(a) Reichel & Partner GmbH, http://www.reichel-partner.de/;
(b) A portion of 20 mg sample was subjected to a drop-hammer test using a 5 or 10 kg weight dropped. The range in impact sensitivities according to the UN Recommendations is: insensitive >40 J, less sensitive ≥35 J, sensitive ≥4 J, very sensitive ≤3 J.
- T. M. Klapötke, B. Krumm, R. Moll and S. F. Z. Rest, Z. Anorg. Allg. Chem., 2011, 637, 2103 CrossRef.
- M. Goebel and T. M. Klapötke, Acta Crystallogr., Sect. C: Cryst. Struct. Commun., 2008, 64, o58 CAS.
Footnote |
| † Electronic supplementary information (ESI) available. CCDC 969795. For ESI and crystallographic data in CIF or other electronic format see DOI: 10.1039/c4ra03885a |
|
| This journal is © The Royal Society of Chemistry 2014 |
Click here to see how this site uses Cookies. View our privacy policy here.