Issue 61, 2014

Reaction of 6-aminouracils with aldehydes in water as both solvent and reactant under FeCl3·6H2O catalysis: towards 5-alkyl/arylidenebarbituric acids

Abstract

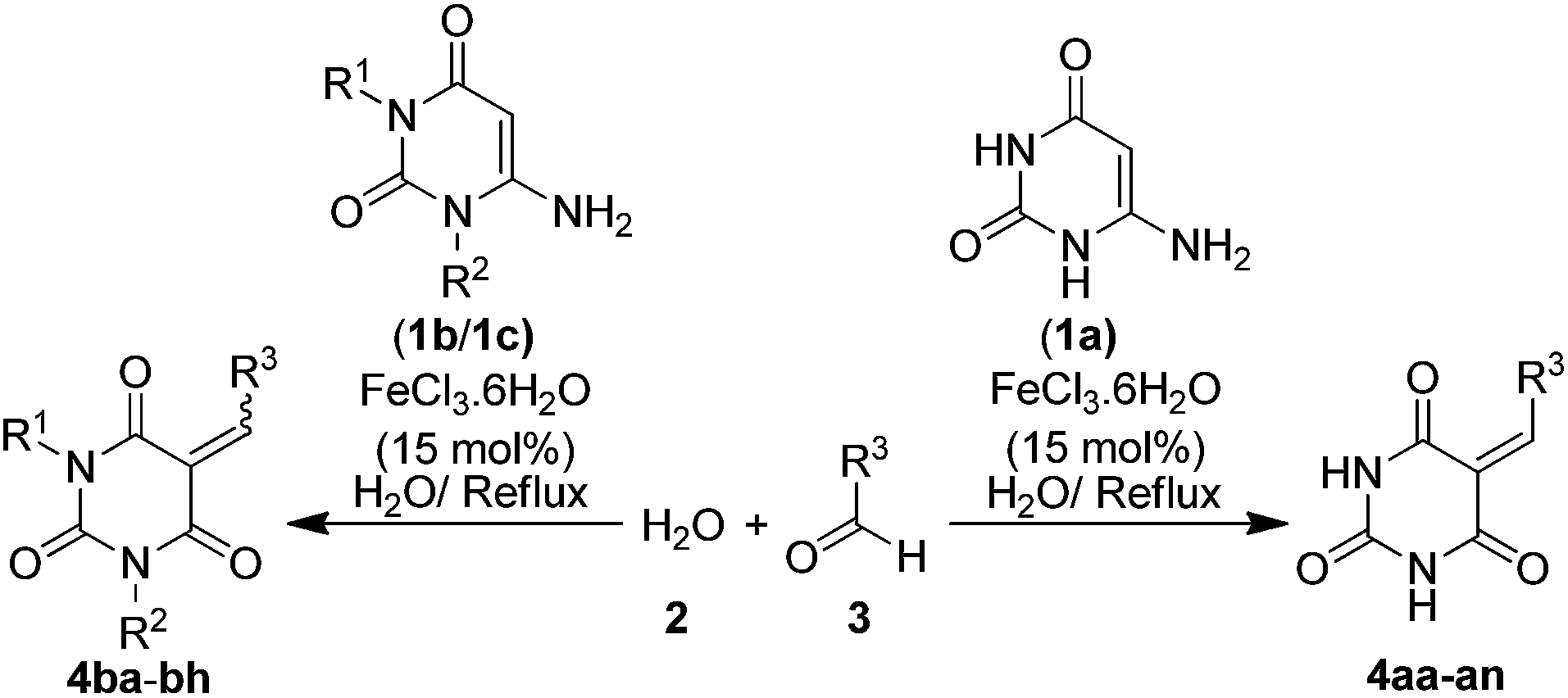
5-Alkyl/arylidenebarbituric acids were efficiently synthesized through an FeCl3·6H2O catalyzed domino reaction of 6-aminouracils, water and aldehydes with water serving a dual role as both solvent and reactant, under benign reaction conditions. A study on comparative substrate scope of 6-aminouracil versus barbituric acid showed similar efficacy towards 5-alkyl/arylidenebarbituric acids. The protocol is the first detailed report to prepare regioselectively 5-alkyl/arylidenebarbituric acids starting from 6-aminouracils, which is an alternative and competing strategy to hitherto all known reactions directly employing barbituric acids.

Graphical abstract: Reaction of 6-aminouracils with aldehydes in water as both solvent and reactant under FeCl3·6H2O catalysis: towards 5-alkyl/arylidenebarbituric acids

Supplementary files

Article information

Article type
Paper
Submitted
15 Apr 2014
Accepted
30 Jun 2014
First published
30 Jun 2014

RSC Adv., 2014,4, 32207-32213

Author version available

Reaction of 6-aminouracils with aldehydes in water as both solvent and reactant under FeCl3·6H2O catalysis: towards 5-alkyl/arylidenebarbituric acids

S. J. Kalita, H. Mecadon and D. Chandra Deka, RSC Adv., 2014, 4, 32207 DOI: 10.1039/C4RA03413A

To request permission to reproduce material from this article, please go to the Copyright Clearance Center request page.

If you are an author contributing to an RSC publication, you do not need to request permission provided correct acknowledgement is given.

If you are the author of this article, you do not need to request permission to reproduce figures and diagrams provided correct acknowledgement is given. If you want to reproduce the whole article in a third-party publication (excluding your thesis/dissertation for which permission is not required) please go to the Copyright Clearance Center request page.

Read more about how to correctly acknowledge RSC content.

Social activity

Spotlight

Advertisements