Enzyme catalytic promiscuity: lipase catalyzed synthesis of substituted 2H-chromenes by a three-component reaction

Fengjuan Yang ab, Zhi Wangab, Haoran Wangab, Hong Zhangac, Hong Yueab and Lei Wang*ab
aKey Laboratory of Molecular Enzymology and Engineering of Ministry of Education, Jilin University, Changchun 130023, P R China. E-mail: w_lei@jlu.edu.cn
bCollege of Life Science, Jilin University, Changchun 130023, P R China
cCollege of Chemistry, Jilin University, Changchun 130023, P R China

Received 14th April 2014 , Accepted 30th May 2014

First published on 3rd June 2014


Abstract

A new method for the synthesis of substituted 2H-chromenes catalyzed by lipase was reported in the first time. Besides providing a simple and efficient method for the synthesis of 2H-chromenes, this study extends the applicability of lipase in organic synthesis.


Enzyme catalytic promiscuity, the ability of an enzyme's active site to catalyze more than one type of chemical transformation,1 can widen the applications of the existing catalysts and provide novel synthesis pathways. Hydrolases, especially lipases, play a key role in this area due to their broad specificity and excellent stability in organic solvents.2 It's well known that carbon–carbon bond-forming reactions are fundamental in organic synthesis. In recent years, many reports indicate that lipase is a useful and efficient catalyst to create carbon–carbon bonds in organic synthesis.3,4 Some elegant works of lipase catalytic promiscuity in the carbon–carbon bond-forming reactions (aldol condensation, Morita–Baylis–Hillman reaction, Michael addition, Markovnikov addition, and Knoevenagel reaction, et al.) have been reported in the last decades.5–8

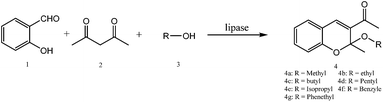
2H-Chromenes are ubiquitous structural motifs in a wide range of biologically active compounds which display various pharmacological activities, such as anti-HIV, antidiabetic, anticancer, antioxidative and antiviral agents.9–13 Many methods have been reported for the synthesis of 2H-chromene core structure, such as catalytic Petasis reaction of salicylaldehydes, Pd-catalyzed ring closure of 2-isoprenyl phenols, intramolecular cyclization of Wittig intermediates, Baylis–Hillman reaction of 2-hydroxy benzaldehydes with methyl vinyl ketones, electrocyclic ring closure of vinylquinone derivatives, proline-catalyzed multicomponent reaction and phototransformations of several multichromophoric substrates containing 1,2-dibenzoylalkene moieties.14–20 However, most of these methods have encountered some drawbacks like inconvenient substrate, low yield of product, long reaction time and complicated reaction process. To the best of our knowledge, the enzymatic synthesis of substituted 2H-chromenes has not been reported yet. Herein we reported a simple method for the synthesis of substituted 2H-chromenes catalyzed by lipase (Scheme 1).


image file: c4ra03367a-s1.tif
Scheme 1 Lipase catalyzed synthesis of substituted 2H-chromenes.

Initially, four lipases were applied to catalyze the synthesis of tertiary alkoxy chromene (4a) and the results are summarized in Table 1. It can be found that all the selected lipases can catalyze the three-component reaction and porcine pancreas lipase (PPL) produced the highest yield (89%). Neither the denatured enzyme nor bovine serum albumin (BSA) could catalyze the reaction, which indicated that the reaction should be catalyzed by the active lipase. Obviously PPL showed higher catalytic activity in the selected reaction condition. Therefore, we chose PPL as the catalyst for further study.§

Table 1 Effect of enzyme sources on the synthesis of substituted 2H-chromenesa
Entry Enzyme Yieldb (%)
a Reaction condition: salicylaldehyde (1 mmol), acetoacetone (1 mmol), methanol (10 mmol), N,N-dimethylformamide (5 mL), enzyme (20 mg), water content (30% v/v), 55 °C, 48 h.b Yields are given for isolated products after column chromatography.c ND: not detected.d PPL was denatured by heating it to 100 °C for 1 h in N,N-dimethylformamide.
1 Porcine pancreas lipase (PPL) 89
2 Candida antarctica lipase B (CALB) 56
3 Pseudomonas sp. lipase (PSL) 63
4 C. rugosa lipase (CRL) 43
5 Bovine serum albumin (BSA) NDc
6 Porcine pancreas lipase (denatured)d NDc
7 No enzyme NDc


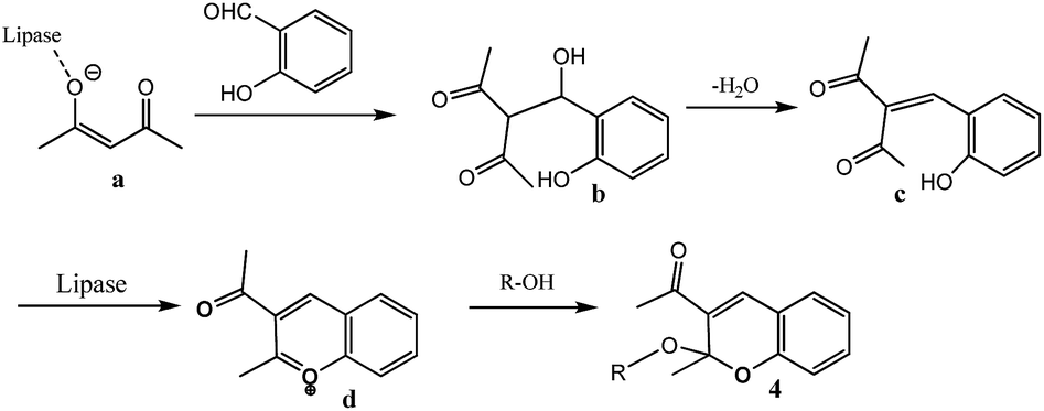
It is widely accepted that the active site of lipase, so-called catalytic triad Asp-His-Ser, plays a key role in the promiscuous catalysis.21 Based on our observations, we hypothesized a possible mechanistic pathway of the lipase-catalyzed synthesis of 2H-chromene skeleton (Scheme 2). Firstly, the substrate acetoacetone was deprotonated by the catalytic triad of lipase forming an enolate ion (a). Secondly, another substrate salicylaldehyde accepted the proton from the catalytic triad and simultaneously connected the enolate ion (a) to obtain an intermediate (b) with the forming a carbon–carbon bond. Then, the key compound (c) of Knoevenagel condensation could be formed by dehydration. Finally, in the active center of lipase, a rearrangement of the key compound (c) was made to form a more stable benzopyrylium cation (d), which reacts with methanol to form the methoxy product (4). It is important to point out that the substituted 2H-chromene (4) obtained in this study was racemic, which suggested that lipase didn't take part in the final step of this three-component reaction. These results might support our hypothesized mechanism to some extent. Further study to verify this hypothesis is underway and will be published in the future.


image file: c4ra03367a-s2.tif
Scheme 2 Proposed mechanism of the lipase-catalyzed synthesis of substituted 2H-chromenes.

Organic solvent could influence the enzyme catalytic performance.22 In order to improve the catalytic behavior of PPL, six organic solvents were screened for the three-component reaction and the results are listed in Table 2. The results clearly indicated that the catalytic activity of PPL was tremendously influenced by the solvent. It's believed that the solvent can lead to a conformational change of the enzyme and then affect the enzyme activity.23 According to the results, the highest yield was obtained while DMF (N,N-dimethylformamide) was selected as the reaction media.

Table 2 Effect of solvent on the synthesis of substituted 2H-chromenesa
Entry Solvent log[thin space (1/6-em)]Pb Yieldc (%)
a Reaction condition: salicylaldehyde (1 mmol), acetoacetone (1 mmol), methanol (10 mmol), solvent (5 mL), PPL (20 mg), water content (30% v/v), 55 °C, 48 h.b log[thin space (1/6-em)]P is defined as the partition coefficient of a given compound in a two-phase system of water and octanol.c Yields are given for isolated products after column chromatography.
1 N,N-Dimethylformamide −1.04 89
2 Dioxane −0.27 72
3 Dimethyl sulfoxide −1.35 68
4 Tetrahydrofuran 0.46 53
5 Acetonitrile −0.33 28
6 Ethyl acetate 0.73 19


Generally, a certain amount of water is needed to maintain the proper conformation of enzyme.24 As shown in Fig. 1, the relationship between the yields of tertiary alkoxy chromene and the water content exhibited a hill-shaped curve and the highest yield (89%) was obtained when the water content was 30% v/v. Further increase or decrease of the water content would result in a decrease of yield which indicated that the active conformation of PPL can be regulated by water obviously.


image file: c4ra03367a-f1.tif
Fig. 1 Effect of water content on the synthesis of substituted 2H-chromenes. Reaction condition: salicylaldehyde (1 mmol), acetoacetone (1 mmol), methanol (10 mmol), DMF (5 mL), PPL (20 mg), water content (10–60% v/v), 55 °C, 48 h. Yields are given for isolated products after column chromatography.

We investigated the effect of temperature on the catalytic performance of PPL for this reaction. The results shown in Fig. 2 indicated that the yield was greatly improved by raising the temperature, and reached the best yield of 89% at 55 °C after 48 h. However, the yield would decrease by further increasing the temperature. When the reaction temperature elevated, the collision chance between enzyme and substrate molecules increased, which might help to form enzyme–substrate complexes and then improve the reaction rate.25 But the high temperature (above 55 °C) might lead to the denaturation of enzyme and thus slow the reaction rate. So, 55 °C was chosen as the optimum temperature in this study.


image file: c4ra03367a-f2.tif
Fig. 2 Effect of temperature on the synthesis of substituted 2H-chromenes. Reaction condition: salicylaldehyde (1 mmol), acetoacetone (1 mmol), methanol (10 mmol), DMF (5 mL), PPL (20 mg), water content (30% v/v), temperature (15–65 °C), 48 h. Yields are given for isolated products after column chromatography.

To explore the scope and feasibility of this three-component reaction, a series of alcohols were examined under the optimal conditions.

As shown in Table 3, the reaction rate was the fastest when methanol was used as the substrate and it became slower when the alcohol with longer carbon chain was used as substrate. When the length of carbon chain was longer than pentanol, the product of 2H-chromene could not be detected. A longer alcohol may be more difficult to enter the active site of the enzyme due to its steric strain.26 Furthermore, we investigated the reaction using the aromatic alcohol and branch alcohol (phenylmethanol, 2-phenylethanol and isopropanol) as substrate and found the reactions could also proceed efficiently to obtain the corresponding products (4e, 4f, 4g) in good yields (58–79%).

Table 3 Lipase catalyzed synthesis of substituted 2H-chromenes with different alcoholsa
Entry Alcohol Product Yieldb (%)
a Reaction condition: salicylaldehyde (1 mmol), acetoacetone (1 mmol), alcohol (10 mmol), DMF (5 mL), PPL (20 mg), water content (30% v/v), 55 °C, 48 h. Yields are given for isolated products after column chromatography.b Yields are given for isolated products after column chromatography.c ND: not detected.
1 Methanol 4a 89
2 Ethanol 4b 82
3 Butanol 4c 66
4 Pentanol 4d 45
5 Hexanol NDc
6 Isopropanol 4e 71
7 tert-Butanol NDc
8 Phenylmethanol 4f 58
9 2-Phenylethanol 4g 79
10 Phenol NDc


In conclusion, we have demonstrated for the first time that lipase can catalyze the synthesis of substituted 2H-chromenes with good yields (45–89%). It provides a new case of lipase catalytic promiscuity and extends the utility of lipase in organic synthesis. Furthermore, this study supplied a simple and one pot protocol for the synthesis of alkoxy chromene in synthetic organic chemistry. However, the yields were not very satisfied and the reusability of catalyst should be considered in this method. It's well known that immobilization is a useful tool to improve enzyme features (activity, specificity, reusability, stability, etc.) in modern biotechnology.27–31 In order to improve the performance of lipase, a study adopting the technique of immobilization is underway and will be reported in due course.

Acknowledgements

We gratefully acknowledge the National Natural Science Foundation of China (no. 21172093, 31070708, 21072075) and the Natural Science Foundation of Jilin Province of China (no. 201115039, 20140101141JC) for the financial support.

Notes and references

  1. I. Nobeli, A. D. Favia and J. M. Thornton, Nat. Biotechnol., 2009, 27, 157 CrossRef CAS PubMed.
  2. E. Busto, V. Gotor-Fernández and V. Gotor, Chem. Soc. Rev., 2010, 39, 4504 RSC.
  3. C. Branneby, P. Carlqvist, A. Magnusson, K. Hult, T. Brinck and P. Berglund, J. Am. Chem. Soc., 2003, 125, 874 CrossRef CAS PubMed.
  4. M. Svedendahl, K. Hult and P. Berglund, J. Am. Chem. Soc., 2005, 127, 17988 CrossRef CAS PubMed.
  5. M. T. Reetz, R. Mondiere and J. D. Carballeira, Tetrahedron Lett., 2007, 48, 1679 CrossRef CAS PubMed.
  6. M. Svedendahl, K. Hult and P. Berglund, J. Am. Chem. Soc., 2005, 127, 17988 CrossRef CAS PubMed.
  7. W. B. Wu, N. Wang, J. M. Xu, Q. Wu and X. F. Lin, Chem. Commun., 2005, 2348 RSC.
  8. Y. F. Lai, H. Zheng, S. J. Chai, P. F. Zhang and X. Z. Chen, Green Chem., 2010, 12, 1917 RSC.
  9. N. Iwata, N. Wang, X. Yao and S. Kitanaka, J. Nat. Prod., 2004, 67, 1106 CrossRef CAS PubMed.
  10. R. Korec, K. H. Sensch and T. Zoukas, Arzneim. Forsch., 2000, 50, 122 CAS.
  11. F. Cassidy, M. J. Evan, M. S. Hadel, A. H. Halodij, P. E. Leach and G. Sternp, J. Med. Chem., 1992, 35, 1623 CrossRef CAS.
  12. J. H. Kwak, H. E. Kang, J. K. Jung, H. Kim, J. Cho and H. Lee, Arch. Pharmacal Res., 2006, 29, 728 CrossRef CAS.
  13. K. C. Nicolaou, J. A. Pfefferkorn and G.-Q. Cao, Angew. Chem., Int. Ed., 2000, 39, 734 CrossRef CAS.
  14. Q. Wang and M. G. Finn, Org. Lett., 2000, 2, 4063 CrossRef CAS PubMed.
  15. M. Iyer and G. R. Trivedi, Synth. Commun., 1990, 20, 1347 CrossRef CAS.
  16. T. Hanamoto, K. Shindo, M. Matsuoka, Y. Kiguchi and M. Kondo, J. Chem. Soc., 2000, 1, 3082 Search PubMed.
  17. P. T. Kaye and X. W. Nocanda, J. Chem. Soc., 2000, 1, 1331 Search PubMed.
  18. K. A. Parker and T. L. Mindt, Org. Lett., 2001, 3, 3875 CrossRef CAS PubMed.
  19. D. Ramaiah, P. M. Scaria, D. R. Cyr, P. K. Das and M. V. George, J. Org. Chem., 1988, 53, 2016 CrossRef CAS.
  20. L. C. Rao, H. M. Meshram, N. S. Kumar, N. N. Rao and N. J. Babu, Tetrahedron Lett., 2014, 55, 1127 CrossRef PubMed.
  21. I. Lavandera, S. Fernández, J. Magdalena, M. Ferrero, R. J. Kazlauskas and V. Gotor, ChemBioChem, 2005, 6, 1381 CrossRef CAS PubMed.
  22. E. N. Xun, X. L. Lv, W. Kang, J. X. Wang, H. Zhang, L. Wang and Z. Wang, Appl. Biochem. Biotechnol., 2012, 168, 697 CrossRef CAS PubMed.
  23. Z. Wang, R. Wang, J. Tian, B. Zhao, X. F. Wei, Y. L. Su, C. Y. Li, S. G. Cao, T. F. Ji and L. Wang, J. Asian Nat. Prod. Res., 2010, 12, 56–63 CrossRef CAS PubMed.
  24. Y. S. Lin, P. Y. Wang, A. C. Wu and S. W. Tsai, J. Mol. Catal. B: Enzym., 2011, 68, 245 CrossRef CAS PubMed.
  25. R. Tian, C. H. Yang, X. F. Wei, E. N. Xun, R. Wang, S. G. Cao, Z. Wang and L. Wang, Biotechnol. Bioprocess Eng., 2011, 16, 337 CrossRef CAS.
  26. E. Brenna, F. G. Gatti, A. Manfredi, D. Monti and F. Parmeggiani, Adv. Synth. Catal., 2012, 354, 2859 CrossRef CAS.
  27. M. Fernández-Fernández, M. Á. Sanromán and D. Moldes, Biotechnol. Adv., 2013, 31, 1808 CrossRef PubMed.
  28. O. Barbosa, R. Torres, C. Ortiz, A. Berenguer-Murcia, R. C. Rodrigues and R. Fernandez-Lafuente, Biomacromolecules, 2013, 14, 2433 CrossRef CAS PubMed.
  29. R. C. Rodrigues, C. Ortiz, A. Berenguer-Murcia, R. Torres and R. Fernández-Lafuente, Chem. Soc. Rev., 2013, 42, 6290 RSC.
  30. K. Hernandez and R. Fernandez-Lafuente, Enzyme Microb. Technol., 2011, 48, 107 CrossRef CAS PubMed.
  31. C. Garcia-Galan, A. Berenguer-Murcia, R. Fernandez-Lafuente and R. C. Rodrigues, Adv. Synth. Catal., 2011, 353, 2885 CrossRef CAS.

Footnotes

Electronic supplementary information (ESI) available. See DOI: 10.1039/c4ra03367a
These authors contributed equally to this work.
§ A typical enzymatic procedure of the reaction: PPL was added to a 50 mL round-bottom flask containing salicylaldehyde (1 mmol), acetoacetone (1 mmol), alcohol (10 mmol) and DMF (5 mL). The suspension was maintained at 55 °C and shaken at 200 rpm for 48 h (the reaction was monitored by TLC). The reaction was stopped by extracting the reaction system with ethyl acetate (3 × 15 mL) and washed with brine solution. The combined organic phases were dried over anhydrous sodium sulfate and concentrated under vacuum. The crude product thus was purified by column chromatography on silica gel using ethyl acetate–petroleum ether. All the isolated products were well characterized by their 1H-NMR spectral analysis.

This journal is © The Royal Society of Chemistry 2014
Click here to see how this site uses Cookies. View our privacy policy here.