“On water” catalyst-free, column chromatography-free and atom economical protocol for highly diastereoselective synthesis of novel class of 3-substituted, 3-hydroxy-2-oxindole scaffolds at room temperature

Pramod B. Thakura and Harshadas M. Meshram*b
aMedicinal Chemistry and Pharmacology Division, CSIR-Indian Institute of Chemical Technology, Hyderabad, 500007, India. Fax: +91-40-27193275; Tel: +91-40-27191640
bOrganic Chemistry-I, CSIR-Indian Institute of Chemical Technology, Hyderabad, 500007, India. E-mail: hmmeshram@yahoo.com

Received 30th October 2013 , Accepted 12th November 2013

First published on 12th November 2013


Abstract

The “on water” highly atom economical and diastereoselective synthesis of a novel class of 3-(thiazolidinedione or oxindole) substituted, 3-hydroxy-2-oxindole scaffolds has been achieved by the reaction of isatin electrophiles with thiazolidinedione or oxindole nucleophiles in a catalyst-free and column chromatography-free protocol at room temperature. The generality of the method has been demonstrated by screening a series of isatin electrophiles as well as thiazolidinedione and oxindole derivatives. The developed method is one of the rare examples of an ideal green protocol for the synthesis of medicinally important 3-hydroxy-2-oxindole scaffolds in which the straightforward synthesis of such a framework was achieved by employing very mild, simple and handy procedures from readily available starting materials.


Introduction

In the current scenario of chemical synthesis around the world, the term “green chemistry” coined by P. T. Anastas is well acknowledged in both academia and the chemical industries. The chemical industry plays an important role in human development where chemists have an increasing interest in developing ‘green’ processes, as sustainability has become an important issue in every area of human activity.1 The “12 Principles of Green Chemistry”2 not only focus on the design, manufacture and use of chemicals and chemical processes that have little or no pollution potential or environmental risk but also on the maintenance of ecologically sound developments for the chemical industry using non toxic, cheap chemical reagents under mild reaction conditions with economical and technological feasibility.3 The use of toxic catalysts and organic solvents contributes largely to pollution problems in many synthetic organic processes and is found to be the main reason for an insufficient E-factor.4 The world-wide synthetic community is already aware of an urgency to develop green chemistry processes, where nontoxic substances are used and the generation of waste can be avoided. Therefore the elimination of catalysts and solvents or the replacement of hazardous solvents with relatively benign solvents has been one of the key areas of green chemistry.5 Green synthesis protocols not only provide essential atom economy, energy savings, and waste reduction but also avoid hazardous chemicals.6 An ideal green synthesis, possessing an aqueous reaction medium, catalyst-free and column chromatography-free with a high atom economy, is one of the most essential contributions to the overall process efficiency.7

Recently, the development of green protocols for the synthesis of highly functionalized motifs having medicinal value has emerged as an attractive area of research.8 However a query that exists is how far the ideal green synthesis protocol could be developed to benefit the synthesis of biologically important molecules. To speak of bioactive molecules, 3-substituted-3-hydroxy-2-oxindoles display a diverse array of such compounds and possess a wide range of biological activities. 3-Substituted-3-hydroxy-2-oxindoles are key structural motifs which recurrently appear in a large array of alkaloid class of natural products with diverse biological activities such as antioxidant, anticancer, anti-HIV and neuroprotective properties.9 A selective representative example includes convolutamydine A-E, welwitindolinone C, donaxaridine, maremycin A, B, dioxibrassinine and TMC-95C (Fig. 1, A, B, C, D, E, and F, respectively). Compounds containing such a structural motif have been widely used as targets for drug design and medicinal synthesis.10 For example, SM-130686 (Fig. 1, G) is a potent growth hormone secretagogue,10a compound H in Fig. 1 has been identified as an effective activator of maxi-K channels10b and compound I in Fig. 1 possesses improved anti-HIV properties compared to the FDA-approved NNRTI drug efavirenz.10c Consequently, the 3-substituted-3-hydroxy-2-oxindole framework remains an intensively investigated synthetic target which promotes enormous research in the development of the synthesis of such a structural framework.11


image file: c3ra46271d-f1.tif
Fig. 1 Selected representative examples of natural products and pharmaceuticals possessing 3-substituted-3-hydroxy-2-oxindoles and the drug class possessing 5-substituted thiazolidinedione structural frameworks.

Additionally, thiazolidinedione derivatives are pharmaceutically important scaffolds and potential chemotherapeutic agents for medicinal chemistry.12 Representative members of the thiazolidinedione drug class include troglitazone, pioglitazone, rosiglitazone and ciglitazone which are well-known as antihyperglycemic drugs used for the treatment of diabetes mellitus type II (Fig. 1, J, K, L, and M, respectively).13 Rosiglitazone (L) known as Avandia by GlaxoSmithKline, is one of the most potent drugs in this class. Structure–activity relationship studies on these frameworks have shown that the biological effects of these compounds are known to vary with the substitution pattern at the C3 position of oxindoles and C5 position of the thiazolidinedione framework.9e,14 In this context, we envision a molecular scaffold which assimilates the 3-hydroxy-2-oxindole as well as the thiazolidinedione framework, integrating the properties of both, and the synergism of both the heterocyclic moieties in a single nucleus may result in the formation of some worthwhile molecules from a biological point of view. Despite the prominence of this both 3-hydroxy-2-oxindoles as well as thiazolidinedione frameworks in medicinal chemistry, there is no compound possessing such a molecular skeleton reported in the literature to date. So far very few reports are available on 2,4-thiazolidinediones as nucleophilic donors.15 Surprisingly, investigations on the aldol reaction of thiazolidinediones as nucleophilic donors on isatin electrophiles to give 3-(thiazolidinedione) substituted, 3-hydroxy-2-oxindole scaffolds remains totally unexplored.16

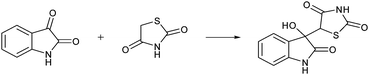
In continuation of our research work17 on the synthesis of 3-substituted-3-hydroxy-2-oxindole frameworks, we envisioned that the aldol reaction between isatin and 2,4-thiazolidinediones might readily proceed to afford 3-thiazolidinedione substituted 3-hydroxy-2-oxindole structural frameworks (Scheme 1) without the use of any catalyst under certain appropriate reaction conditions due to the fact that the highly reactive β-carbonyl group of the isatin derivatives is very susceptible to nucleophilic attack.18 We herein wish to report, for the first time, an atom economical, catalyst-free, column chromatography-free and highly diastereoselective synthesis of a 3-thiazolidinedione substituted 3-hydroxy-2-oxindole structural motif using water at room temperature. We believe that the developed method is a rare example of an ideal green synthesis protocol in which the highly diastereoselective synthesis of a novel class of medicinally important 3-thiazolidinedione substituted 3-hydroxy-2-oxindole molecular frameworks is achieved in quantitative yield using water under a catalyst-free and column chromatography-free procedure.


image file: c3ra46271d-s1.tif
Scheme 1 Envisioned synthesis of a 3-thiazolidinedione substituted 3-hydroxy-2-oxindole structural framework.

Results and discussion

As we envisioned a reaction under catalyst-free19 conditions, we intended to begin our study using polar solvents. In this context, we initially performed the reaction of isatin 1a with 2,4-thiazolidinedione 2a without any added catalyst in slightly basic polar aprotic solvents like DMF. We were delighted to find that the reaction proceeds under this condition and gives 90% conversion of the desired product with a fair diastereoselective ratio (entry 1, Table 1). However, the mandatory cumbersome aqueous work-up, extraction and column chromatography purification to get a pure product led to a substantial loss in yield of the isolated product. Similar problems occurred when we employed DMSO as the solvent in the above reaction. The reaction afforded a 93% conversion, however, additional purification steps caused a decrease in yield of the isolated products (entry 2, Table 1). With other solvents like CH3CN, THF, MeOH and EtOH, although we got improved diastereoselectivities, a satisfactory conversion was not obtained even when reactions were performed for longer times (Table 1, entry 3–6, respectively).
Table 1 Optimization of reaction conditionsa

image file: c3ra46271d-u1.tif

Entry Solvent Time (h) Isolated yield Diastereomeric ratiob 3a/3a′
a Reaction conditions: isatin 1a (1 mmol), 2,4-thiazolidinedione 2a (1 mmol) in 5 mL of solvent.b By 1H NMR analysis.c The pure water was obtained by distillation of tap water and further purified by reverse osmosis.d HPLC grade water was obtained from Sigma-Aldrich.e Reaction with 3 mL water.f Reaction with 2 mL water.g Under neat conditions.
1 DMF 8 78 89/11
2 DMSO 8 76 87/13
3 CH3CN 24 41 91/09
4 THF 24 26 92/08
5 MeOH 24 53 92/08
6 EtOH 12 45 92/08
7 Tap H2O 12 98 100/00
8 Distilled H2Oc 12 97 100/00
9 HPLC H2Od 12 98 100/00
10 Tap H2Oe 12 98 100/00
11 Tap H2Of 12 98 100/00
12 24g


With these observations we learned that solvent polarity has an important role in this reaction to get better conversions. However to get rid of this isolation problem, we were thinking of employing a greener solvent which will give a good conversion as well as avoid extra purification steps to get the desired pure product. When we talk about a green solvent, water stands as the first choice not only because of its cheap, ready availability and non-toxic nature,20 but also due to its ability to enhance the rates and affect the selectivity in various organic transformations due to its unique polarity and high hydrogen bonding ability.21 Hence we also tried water as the solvent for the model reaction without using any added catalyst and the obtained results were very delightful. When we performed the reaction of isatin 1a (1 mmol) with 2,4-thiazolidinedione 2a (1 mmol) in 5 mL of tap water, at the beginning of the reaction, we observed the reaction mixture had a reddish color. As the reaction proceeded towards the desired product formation, the color of the reaction mixture changed from reddish to orange to yellow to pale yellow. Finally at the end of the reaction we found the formation of a thick white precipitate. The obtained white precipitate was filtered, dried and subjected to spectroscopic analysis. We were pleased to recognize that the white solid obtained in the reaction performed under an aqueous medium was the desired product with a 100% conversion and complete diastereoselectivity (entry 7, Table 1). The problem of product isolation associated with solvents like DMSO and DMF was rectified when we used water as the reaction media. It is interesting to note that the progress of the reaction can be monitored just by visualisation of the change of color of the reaction mixture from red (at the beginning of the reaction) to white (at the end of the reaction). Furthermore the desired product was obtained in highly pure form just by filtration and did not require any column chromatography purification. As a part of the study we also performed the reaction in distilled as well as HPLC grade water, however similar results were obtained as obtained with tap water (entry 8, 9 Table 1). The reaction can even perform in less water to get the desired product however the dilution of the reaction mixture is required for the filtration process (entry 10, 11 Table 1). After these observations, we selected the stirring of isatin 1a (1 mmol) with 2,4-thiazolidinedione 2a (1 mmol) in 5 mL tap water at rt as the optimized reaction conditions (entry 7, Table 1). Although in these optimized reaction conditions we obtained the desired products in a highly diastereoselective manner, we have no evidence to establish the relative stereochemistry of the product.

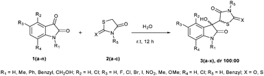
With these optimized conditions, we tested the scope of this method with several structurally varied 2,4-thiazolidinediones as well as isatins and the results are incorporated in Table 2. Various 5-monosubstituted isatins afforded their respective desired products when treated with 2,4-thiazolidinedione under the optimized reaction conditions (products 3a–3h, Table 2). Di-substituted isatin like 4,7-dichloro isatin also reacted smoothly with 2,4-thiazolidinedione to give the desired aldol addition product 3f in a quantitative yield with complete diastereoselectivity. The reaction was successful not only with an isatin bearing electron withdrawing group but also with isatin bearing electron donating substituents (product 3h, Table 2). Similarly, the developed method was also applicable to N-substituted isatins which afforded their respective products in high yields as well as diastereoselectivities (products 3i, 3j, 3q, 3r, Table 2). The scope of the method was extended with N-substituted 2,4-thiazolidinediones such as 3-benzyl 2,4-thiazolidinedione. It was delightful to find that the reaction of 3-benzyl 2,4-thiazolidinedione with various isatins under standard reaction conditions proceeds smoothly affording the desired products in good yields (products 3k–3r, Table 2). The other thiazolidinedione derivative 2-thioxo 1,3-thiazolidin-4-one was also screened in this reaction. The reaction was found to be equally efficient with 2-thioxo 1,3-thiazolidin-4-one which afforded the respective aldol addition product with different isatins in high yields and purities (products 3s–3x, Table 2). All the structurally varied substrates reacted smoothly under the developed reaction conditions to give their respective products in high purities and diastereoselectivities with very good yields (products 3a–3x).

Table 2 Synthesis of 3-thiazolidinedione substituted, 3-hydroxy-2-oxindole frameworks using tap water at room temperaturea

image file: c3ra46271d-u2.tif

image file: c3ra46271d-u3.tif
a Reaction conditions: isatin 1(a–n) (1 mmol), thiazolidinedione derivative 2(a–c) (1 mmol) in 5 mL of tap water at rt and yields are given as an isolated yield. All products 3(a–x) were characterized by NMR, Mass and IR spectroscopic techniques.


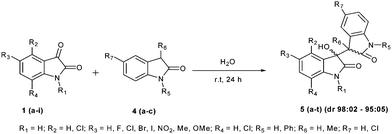
To further extend the scope of this methodology, we were keen to explore oxindoles as nucleophilic donors in the aldol reaction with isatins under optimized reaction conditions. Few researchers have reported the aldol addition product of oxindole with isatins22 with different catalyst systems, however there is no report on a catalyst free protocol using aqueous reaction media to afford the desired product in high diastereoselectivity and purity. In this context we performed the reactions of oxindoles 4a–c (1 mmol) with isatins 1a–i (1 mmol) in 5 mL tap water at rt (Table 3). We observed that the developed reaction conditions were not only successful with 2,4-thiazolidinedione nucleophiles but equally efficient for oxindole nucleophiles. The reaction of oxindole 4a with isatin 1a under catalyst free conditions in water afforded the desired aldol product 5a in quantitative yield with high diastereoselectivity and purity in 24 h at rt. The reaction showed the same color changing phenomenon as observed with 2,4-thiazolidinediones. In the case of oxindole also, the progress of the reaction can be monitored just by visualization of the change in color of the reaction mixture from red (at the start of the reaction) to white (at the end of the reaction). Furthermore the desired product was obtained in a highly pure form just by filtration and did not require any column chromatography purification. The literature23 contains an X-ray structure of a compound having a similar framework to the products shown in Table 3 which is assigned with the threo configuration. Although, in our procedure, the desired product was obtained in a diastereoselective manner without using any catalyst or chiral mediator, we have no experimental evidence to establish the relative stereochemistry of the product.

Table 3 Synthesis of 3-oxindole substituted, 3-hydroxy-2-oxindole frameworks using tap water at room temperaturea

image file: c3ra46271d-u4.tif

image file: c3ra46271d-u5.tif
a Reaction conditions: isatin 1(a–i) (1 mmol), oxindole derivative 4(a–c) (1 mmol) in 5 mL tap water at rt and yields are given as an isolated yield. All products 5(a–t) were characterized by NMR, Mass and IR spectroscopic techniques.


It was delightful to find that an array of oxindoles and substituted isatins with diverse functional groups reacted smoothly to give the desired products in mild reaction conditions (Table 3). Halogen containing substrates such as 5-floro isatin, 5-chloro isatin, 5-bromo isatin, 5-iodo isatin as well as 5-chloro oxindole were well-tolerated and afforded desired products in very good yields and diastereoselectivities under the optimized conditions (Table 3). Other substituted isatins such as 5-nitro isatin, 5-methoxy isatin and 5-methyl isatin also reacted smoothly with oxindole nucleophiles to afford the desired products (products 5f, 5h, 5i, 5o, 5p, 5q, Table 3). As with the mono-substituted isatins, di-substituted isatins like 4,7-dichloro isatin also afforded the desired product 5g in quantitative yield with a high purity.

The generality of the method was further strengthened by screening other substituted oxindoles like 5-chloro oxindole and 3-methyl-1-phenyl-oxindole with isatin electrophiles in the reaction (products 5j–5t, Table 3). It is worth mentioning that 3-methyl-1-phenyl-oxindole having a methyl substituent at the C-3 position also reacted very smoothly in the same fashion with the isatins under standard reaction conditions and gave the desired aldol addition products in very high yields, diastereoselectivities and purities (products 5r–5t, Table 3). The developed protocol was found to be successful not only with isatin having electron withdrawing substituents but also with isatin having electron donating substituents. All the screened structurally varied oxindoles underwent efficient aldol addition on different isatins to provide high yields of diastereoselective 3-(oxindole substituted)-3-hydroxy-2-oxindole structural scaffolds with good purities in this catalyst-free and column chromatography-free protocol in an aqueous reaction medium (Table 3).

One of the most unique features of this aldol reaction is that, it works “on water” under catalyst-free or additive-free reaction conditions. Moreover, this transformation is clean and easy to work up which affords the desired products in very good yield with high diastereoselectivity. In order to further demonstrate the scale-up potential of this efficient transformation, we conducted a gram-scale synthesis of 3a and 5a (Scheme 2). We performed the reaction of isatin 1a (0.3 mol, 44.14 g) with 2,4-thiazolidinedione 2a (0.3 mol, 35.14 g) in 1500 mL of tap water at rt (entry1, Scheme 2). Similarly we performed the reaction of isatin 1a (0.3 mol, 44.14 g) with oxindole 4a (0.3 mol, 39.94 g) in 1500 mL of tap water at rt (entry 2, Scheme 2).


image file: c3ra46271d-s2.tif
Scheme 2 Gram-scale synthesis of 3a and 5a.

The desired products 3a and 5a were obtained in a pure form with very good yields (98%, 96%, respectively) and diastereoselectivities (100[thin space (1/6-em)]:[thin space (1/6-em)]00, 98[thin space (1/6-em)]:[thin space (1/6-em)]02, respectively) under this catalyst-free and column chromatography-free protocol. The proposed mechanism with transition state for the formation of the desired diastereoselective products is shown in Scheme 3.


image file: c3ra46271d-s3.tif
Scheme 3 Proposed mechanism with transition state for the formation of desired diastereoselective products.

Conclusions

In summary, we have demonstrated an “on water” diastereoselective synthesis of a novel class of functionalized 3-(thiazolidinedione or oxindole) substituted, 3-hydroxy-2-oxindole frameworks using a catalyst-free and column chromatography-free protocol. The development of this method led to a general route for the straightforward preparation of medicinally important 3-substituted, 3-hydroxy-2-oxindole structural scaffolds in quantitative yields with high purity under very mild reaction conditions from readily available starting materials. In addition to its simplicity, this method has one salient feature in its ability to tolerate a variety of functionalized isatins as well as thiazolidinedione and oxindole derivatives. The developed method is a rare example of an ideal green synthesis protocol for the synthesis of a novel class of medicinally important 3-substituted, 3-hydroxy-2-oxindole molecular frameworks. Such a 3-hydroxy-2-oxindole scaffold with diverse functionality provides an additional functional handle for further transformations which can be effectively utilized in natural product synthesis and the preparation of a library of pharmaceutically important compounds. The scope of this green protocol in the synthesis of other bioactive molecular systems is currently in progress in our laboratory and the results will be published in due course.

Experimental

General procedure for the synthesis of 3-(thiazolidinedione derivative) substituted, 3-hydroxy-2-oxindole frameworks

A mixture of isatin 1(a–n) (1.0 mmol) and thiazolidinedione derivative 2(a–c) (1 mmol) was stirred in 5 mL of tap water at room temperature for the stipulated time (12 h). The progress of the reaction was monitored by TLC as well as by the visualization of the change in color of the reaction mixture from red (at the beginning of the reaction) to white (at the end of the reaction). The obtained thick white precipitate was filtered and dried to afford the desired product 3(a–x) in very good yield and purity. All products 3(a–x) were characterized by NMR, Mass and IR spectroscopic techniques.

General procedure for the synthesis of 3-(oxindole derivatives) substituted, 3-hydroxy-2-oxindole frameworks

A mixture of isatin 1(a–i) (1.0 mmol) and oxindole derivative 4(a–c) (1 mmol) was stirred in 5 mL of tap water at room temperature for the stipulated time (24 h). The progress of the reaction was monitored by TLC as well as by the visualization of the change in color of the reaction mixture from red (at the beginning of the reaction) to white (at the end of the reaction). The obtained thick white precipitate was filtered and dried to afford the desired product 5(a–t) in very good yield and purity. All products 5(a–t) were characterized by NMR, Mass and IR spectroscopic techniques.

Spectral data for the representative compounds

5-(4,7-dichloro-3-hydroxy-2-oxoindolin-3-yl)thiazolidine-2,4-dione (3f, Table 2, entry 6). Yield: 100%, dr 100[thin space (1/6-em)]:[thin space (1/6-em)]00, time, 12 h, white solid, mp 194–196 °C. 1H NMR (300 MHz, DMSO d6): δ 10.97 (br s, 1H), 7.61 (s, 1H), 7.25 (d, J = 8.4 Hz, 1H), 6.95 (d, J = 8.4 Hz, 1H), 6.12 (s, 1H), 5.27 (s, 1H) ppm. 13C NMR (75 MHz, DMSO d6): δ 174.1, 173.4, 169.4, 141.9, 141.8, 131.4, 129.2, 123.7, 113.9, 78.6, 50.5 ppm. IR (KBr) ν = 3416, 3365, 3307, 2930, 1765, 1747, 1672, 1616, 1306, 1150, 1082, 804, 698 cm−1. MS (ESI) m/z 350 [M + NH4]+. HRMS (ESI): m/z calcd for C11H10O4N3Cl2S[M + NH4]+ = 349.97691, found 349.97704.
5-(3-hydroxy-2-oxo-1-phenylindolin-3-yl) thiazolidine-2,4-dione (3i, Table 2, entry 9). Yield 99%, dr 100[thin space (1/6-em)]:[thin space (1/6-em)]00, time 12 h, white solid, mp 176–178 °C. 1H NMR (300 MHz, CDCl3+DMSO d6): δ 7.80 (d, J = 7.3 Hz, 1H), 7.61–7.37 (m, 5H), 7.28 (t, J = 7.7 Hz, 1H), 7.08 (t, J = 7.7 Hz, 1H), 7.01 (br s, 1H), 6.73 (d, J = 8.1 Hz, 1H), 5.2 (s, 1H), 4.71 (br s, 1H) ppm. 13C NMR (75 MHz, CDCl3 + DMSO d6): δ 174.1, 171.4, 171.1, 143.7, 133.5, 130.0, 129.0, 127.8, 126.2, 125.6, 124.3, 122.7, 109.1, 74.4, 58.7 ppm. IR (KBr) ν = 3289, 3060, 2904, 2796, 1752, 1713, 1682, 1610, 1502, 1464, 1382, 1330, 1163, 1085, 758, 699, 635 cm−1. MS (ESI) m/z 363 [M + Na]+. HRMS (ESI): m/z calcd for C17H12O4N2SNa [M + Na]+ = 363.04100, found 363.04083.
5-(5-bromo-3-hydroxy-1-(hydroxymethyl)-2-oxoindolin-3-yl)thiazolidine-2,4-dione (3j, Table 2, entry 10). Yield 92%, dr 100[thin space (1/6-em)]:[thin space (1/6-em)]00, time 12 h, white solid, mp 170–172 °C. 1H NMR (300 MHz, CDCl3 + DMSO d6): δ 11.66 (br s, 1H), 7.82 (s, 1H), 7.47 (d, J = 8.1 Hz, 1H), 7.04 (d, J = 8.1 Hz, 1H), 6.89 (br s, 1H), 5.95 (br s, 1H), 5.36–5.10 (m, 2H), 5.07 (s, 1H) ppm. 13C NMR (75 MHz, CDCl3 + DMSO d6): δ 173.7, 171.3, 171.0, 142.0, 132.9, 128.3, 127.2, 114.5, 111.7, 74.3, 63.3, 58.5 ppm. IR (KBr) ν = 3539, 3391, 3287, 3066, 2964, 2893, 1734, 1693, 1610, 1484, 1420, 1340, 1262, 1155, 1032, 820, 645, 538 cm−1. MS (ESI) m/z 392 [M + NH4]+. HRMS (ESI): m/z calcd for C12H13O5N3BrS [M + NH4]+ = 391.97388, found 391.97407.
3-Benzyl-5-(3-hydroxy-5-nitro-2-oxoindolin-3-yl)thiazolidine-2,4-dione (3o, Table 2, entry 15). Yield 99%, dr 100[thin space (1/6-em)]:[thin space (1/6-em)]00, time 12 h, pale yellow solid, mp 176–178 °C. 1H NMR (500 MHz, CDCl3+DMSO d6): δ 11.08 (s, 1H), 8.21 (d, J = 2.2 Hz, 1H), 8.03 (dd, J = 8.8, 2.2 Hz, 1H), 7.20 (s, 1H), 7.14–7.09 (m, 1H), 7.02 (t, J = 7.7 Hz, 2H), 6.91–6.76 (m, 3H), 5.11 (s, 1H), 4.52–4.42 (m, 2H) ppm. 13C NMR (75 MHz, CDCl3 + DMSO d6): δ 176.2, 170.1, 169.4, 148.9, 141.6, 134.3, 127.8, 127.4, 127.3, 127.1, 127.0, 119.7, 109.8, 73.8, 56.8, 44.0 ppm. IR (KBr) ν = 3285, 2941, 1731, 1682, 1625, 1525, 1396, 1342, 1304, 1110, 1076, 702, 611 cm−1. MS (ESI) m/z 417 [M + NH4]+. HRMS (ESI): m/z calcd for C18H17O6N4S [M + NH4]+ = 417.08688, found 417.08703.
3-Benzyl-5-(1-benzyl-5-bromo-3-hydroxy-2-oxoindolin-3-yl)thiazolidine-2,4-dione (3r, Table 2, entry 18). Yield 90%, dr 100[thin space (1/6-em)]:[thin space (1/6-em)]00, time 12 h, white solid, mp 164–166 °C. 1H NMR (300 MHz, CDCl3+DMSO d6): δ 7.66 (s, 1H), 7.43–7.31 (m, 6H), 7.19–7.08 (m, 4H), 6.86 (d, J = 5.9 Hz, 2H), 6.39 (d, J = 8.1 Hz, 1H), 5.17 (s, 1H), 4.91 (s, 2H), 4.53 (s, 2H) ppm. 13C NMR (75 MHz, CDCl3 + DMSO d6): δ 174.8, 170.6, 169.7, 142.4, 134.8, 134.3, 133.3, 128.7, 128.6, 128.5, 127.7, 127.6, 127.3, 115.2, 111.1, 74.8, 57.1, 44.7, 33.8 ppm. IR (KBr) ν = 3328, 2927, 1718, 1678, 1612, 1430, 1334, 1150, 1080, 698 cm−1. MS (ESI) m/z 542 [M + NH4]+. HRMS (ESI): m/z calcd For C25H23O4N3BrS [M + NH4]+ = 542.05722, found 542.05736.
3-Hydroxy-5-methoxy-3-(4-oxo-2-thioxothiazolidin-5-yl)indolin-2-one (3v, Table 2, entry 22). Yield 99%, dr 100[thin space (1/6-em)]:[thin space (1/6-em)]00, time 12 h, white solid, mp 140–142 °C. 1H NMR (500 MHz, DMSO d6): δ 13.07 (br s, 1H), 10.42 (s, 1H), 7.11 (d, J = 1.8 Hz, 1H), 6.99 (s, 1H), 6.84 (dd, J = 8.3, 1.8 Hz, 1H), 6.75 (d, J = 8.4 Hz, 1H), 5.15 (s, 1H), 4.25 (s, 3H) ppm. 13C NMR (125 MHz, DMSO d6): δ 200.2, 176.6, 174.0, 153.6, 135.7, 128.3, 115.1, 110.7, 110.5, 74.8, 61.8, 55.4 ppm. IR (KBr) ν = 3255, 3163, 3086, 2960, 1778, 1703, 1609, 1494, 1451, 1230, 1187, 1082, 817, 682, 512 cm−1. MS (ESI) m/z 333[M + Na]+. HRMS (ESI): m/z calcd for C12H10O4N2S2Na[M + Na]+ = 332.99742, found 332.99734.
5-Fluoro-3-hydroxy-1,1′,3,3′-tetrahydro-2H,2′H-3,3′-biindole-2,2′-dione (5b, Table 3, entry 2). Yield: 99%, dr 95[thin space (1/6-em)]:[thin space (1/6-em)]05, inseparable mixtures of diastereomers, time, 24 h white solid, mp > 350 °C. 1H NMR (300 MHz, DMSO d6): δ 10.37 (s, 1H), 10.21 (s, 1H), 7.50 (d, J = 7.3 Hz, 1H), 7.27 (t, J = 7.2 Hz, 1H), 7.01 (t, J = 7.0 Hz, 1H), 6.93 (d, J = 6.6 Hz, 1H), 6.79(d, J = 8.5 Hz, 2H), 6.70 (d, J = 6.8 Hz, 1H), 5.90 (br s, 1H), 4.03 (s, 1H) ppm. 13C NMR (75 MHz, DMSO d6): δ 177.0, 173.9, 158.8, 155.6, 143.3, 138.8, 129.7, 129.8, 128.5, 126.3, 125.3, 121.1, 115.8, 115.5, 111.3, 111.0, 110.3, 110.2, 109.0, 75.7, 51.2 ppm. IR (KBr) ν = 3318, 3245, 3068, 2892, 2829, 1726, 1688, 1622, 1488, 1471, 1342, 1266, 1228, 1196, 1097, 817, 749, 673, 589 cm−1. MS (ESI) m/z 321 [M + Na]+. HRMS (ESI): m/z calcd for C16H11O3N2FNa [M + Na]+ = 321.06459, found 321.06442.
5′-Chloro-3-hydroxy-5-iodo-1,1′,3,3′-tetrahydro-2H,2′H-3,3′-biindole-2,2′-dione (5n, Table 3, entry 14). Yield: 99%, dr 96[thin space (1/6-em)]:[thin space (1/6-em)]04, inseparable mixtures of diastereomers, time, 24 h white solid, mp >350 °C. 1H NMR (300 MHz, DMSO d6) δ 11.21 (s, 1H), 10.36 (s, 1H), 8.14 (dd, J = 8.4, 2.2 Hz, 1H), 7.63 (s, 1H), 7.40 (dd, J = 8.4, 1.9 Hz, 1H), 7.11 (s, 1H), 6.99 (d, J = 8.4 Hz, 1H), 6.88 (d, J = 2.5 Hz, 1H), 6.80 (d, J = 8.1 Hz, 1H), 4.14 (s, 1H) ppm. 13C NMR (75 MHz, DMSO d6): δ 176.1, 173.4, 142.4, 142.3, 138.1, 132.1, 130.5, 128.4, 127.6, 126.4, 125.2, 112.2, 110.3, 83.6, 75.2, 51.6 ppm. IR (KBr) ν = 3285, 3058, 2856, 1732, 1694, 1617, 1473, 1445, 1326, 1196, 1167, 816, 760, 657, 617, 560 cm−1. MS (ESI) m/z 440 [M]+. HRMS (ESI): m/z calcd for C16H10O3N2 ClI [M + H]+ = 439.94246, found 439.94261.
5′-Chloro-3′-hydroxy-3-methyl-1-phenyl-1,1′,3,3′-tetrahydro-2H,2′H-3,3′-biindole-2,2′-dione (5t, Table 3, entry 20). Yield 99%, dr 97[thin space (1/6-em)]:[thin space (1/6-em)]03, inseparable mixtures of diastereomers, time 24 h, white solid, mp 178–180 °C. 1H NMR (300 MHz, DMSO d6): δ 10.43 (s, 1H), 7.64-7.55 (m, 1H), 7.46-7.35 (m, 4H), 7.22 (dd, J = 8.3, 1.9 Hz, 2H), 6.81-6.67 (m, 4H), 6.59 (d, J = 7.9 Hz, 1H), 5.60 (br s, 1H), 1.73 (m, 3H) ppm. 13C NMR (75 MHz, DMSO d6): δ 175.8, 175.1, 143.4, 141.1, 133.7, 130.3, 130.0, 129.4, 129.1, 128.7, 128.1, 126.3, 125.7, 124.4, 124.2, 122.5, 110.6, 108.3, 76.4, 53.8, 14.9 ppm. IR (KBr) ν = 3242, 2971, 2929, 2879, 1740, 1720, 1692, 1613, 1501, 1464, 1378, 1325, 1193, 1061, 835, 755, 701, 630, 487 cm−1. MS (ESI) m/z 405 [M + H]+. HRMS (ESI): m/z calcd for C23H18O3N2Cl[M + H]+ = 405.10005, found 405.09984.

Acknowledgements

PBT thanks CSIR New Delhi for the award of senior research fellowship and Dr Ahmed Kamal (Outstanding Scientist), Head, Medicinal Chemistry and Pharmacology Division, CSIR-Indian Institute of Chemical Technology, Hyderabad for his support and encouragement. The authors thank CSIR, New Delhi for financial support as part of the XII Five Year plan programme under title ACT (CSC-0301).

Notes and references

  1. (a) M. Eissen, Chem. Educ. Res. Pract., 2012, 13, 103 RSC; (b) I. Eilks and F. Rauch, Chem. Educ. Res. Pract., 2012, 13, 57 RSC; (c) J. Liu, Science, 2010, 328, 50 CrossRef CAS PubMed; (d) D. Rowe, Science, 2007, 317, 323 CrossRef CAS PubMed.
  2. See, for example: (a) P. T. Anastas and J. C. Warner, Green Chemistry: Theory and Practice, Oxford University Press, Oxford, 1998 Search PubMed; (b) Introduction to Green Chemistry, ed. A. S. Matlack, Marcel Dekker, New York, 2001 Search PubMed; (c) M. Lancaster, Green Chemistry: An Introductory Text, RSC Editions, London, 2002 Search PubMed.
  3. (a) F. Cavani and J. H. Teles, ChemSusChem, 2009, 2, 508 CrossRef CAS PubMed; (b) Handbook of Green Chemistry and Technology, ed. J. H. Clark and D. Macquarrie, Wiley Blackwell, Oxford, 2002 Search PubMed.
  4. (a) R. A. Sheldon, Chem. Commun., 2008, 3352 RSC; (b) R. A. Sheldon, Chem. Soc. Rev., 2012, 41, 1437 RSC.
  5. (a) S. Kobayashi and K. Manabe, Acc. Chem. Res., 2002, 35, 209 CrossRef CAS PubMed; (b) U. K. Lindström, Chem. Rev., 2002, 102, 2751 CrossRef PubMed; (c) C. J. Li, Chem. Rev., 2005, 105, 3095 CrossRef CAS PubMed; (d) U. M. Lindstrom, Organic Reactions in Water, Blackwell Publishing, Oxford, UK, 2007 Search PubMed; (e) V. K. Ahluwalia and R. S. Varma, Green Solvents for Organic Synthesis, Alpha Science International, Abingdon, UK, 2009 Search PubMed; (f) J. N. Tan, H. Li and Y. Gu, Green Chem., 2010, 12, 1772 RSC; (g) D. Bradley, G. Williams, A. Cullen, A. Fourie, H. Henning, M. Lawton, W. Mommsen, P. Nangu, J. Parker and A. Renison, Green Chem., 2010, 12, 1919 RSC; (h) A. Solhy, A. Elmakssoudi, R. Tahir, M. Karkouri, M. Larzek, M. Bousmina and M. Zahouily, Green Chem., 2010, 12, 2261 RSC.
  6. (a) A. Kumar and S. Sharma, Green Chem., 2011, 13, 2017 RSC; (b) A. Kumar, G. Gupta and S. Srivastava, Green Chem., 2011, 13, 2459 RSC; (c) A. Kumar, M. K. Gupta and M. Kumar, Green Chem., 2012, 14, 290 RSC; (d) K. Tanaka, T. Sugino and F. Toda, Green Chem., 2000, 2, 303 RSC; (e) C. L. Raston and J. L. Scott, Green Chem., 2000, 2, 49 RSC; (f) P. T. Anastas and T. Williamso, Green Chemistry: Frontiers in Benign Chemical Synthesis and Process, Oxford University Press, Oxford, UK, 1998 Search PubMed; (g) J. McNulty and P. Das, Eur. J. Org. Chem., 2009, 4031 CrossRef CAS; (h) J. McNulty and P. Das, Tetrahedron Lett., 2009, 50, 5737 CrossRef CAS PubMed; (i) J. McNulty, P. Das and D. McLeod, Chem.–Eur. J., 2010, 16, 6756 CrossRef CAS PubMed; (j) P. Das and J. McNulty, Tetrahedron Lett., 2010, 51, 3197 CrossRef CAS PubMed; (k) P. Das, D. McLeod and J. McNulty, Tetrahedron Lett., 2011, 52, 199 CrossRef CAS PubMed.
  7. B. M. Trost, Angew. Chem., Int. Ed. Engl., 1995, 34, 259 CrossRef CAS.
  8. (a) A. Domling, Chem. Rev., 2006, 106, 17 CrossRef PubMed; (b) Multicomponent Reaction, ed. J. Zhu and H. Bienayme, Wiley-VCH, Weinheim, 2005 Search PubMed; (c) D. J. Raman and M. Yus, Angew. Chem., Int. Ed., 2005, 44, 1602 CrossRef PubMed.
  9. For recent reviews, see: (a) T. Tokunaga, W. E. Hume, T. Umezome, K. Okazaki, Y. Ueki, K. Kumagai, S. Hourai, J. Nagamine, H. Seki, M. Noguchi and R. Nagata, J. Med. Chem., 2001, 44, 4641 CrossRef CAS PubMed; (b) A. B. Dounay and L. E. Overman, Chem. Rev., 2003, 103, 2945 CrossRef CAS PubMed; (c) J. P. Michael, Nat. Prod. Rep., 2005, 22, 627 RSC; (d) T. Kagata, S. Saito, H. Shigemori, A. Ohsaki, H. Kubota and J. Kobayashi, J. Nat. Prod., 2006, 69, 1517 CrossRef CAS PubMed; (e) S. Peddibhotla, Curr. Bioact. Compd., 2009, 5, 20 CrossRef CAS; (f) J. J. Badillo, N. V. Hanhan and A. K. Franz, Curr. Opin. Drug Discovery Dev., 2010, 13, 758 CAS; (g) C. Marti and E. M. Carreira, Eur. J. Org. Chem., 2003, 2209 CrossRef CAS; (h) C. V. Galliford and K. A. Scheidt, Angew. Chem., Int. Ed., 2007, 46, 8748 CrossRef CAS PubMed; (i) H. Lin and S. J. Danishefsky, Angew. Chem., Int. Ed., 2003, 42, 36 CrossRef CAS; (j) F. Zhou, Y.-L. Liu and J. Zhou, Adv. Synth. Catal., 2010, 352, 1381 CrossRef CAS.
  10. (a) P. Hewawasam, N. A. Meanwell, V. K. Gribkoff, S. I. Dworetzky and C. G. Boissard, Bioorg. Med. Chem. Lett., 1997, 7, 1255 CrossRef CAS; (b) N. Boechat, W. B. Kover, V. Bongertz, M. M. Bastos, N. C. Romeiro, M. L. G. Azavedo and W. Wollinger, Med. Chem., 2007, 3, 533 CrossRef CAS; (c) P. Hewawasam, M. Erway, S. L. Moon, J. Knipe, H. Weiner, C. G. Boissard, D. J. Post-Munson, Q. Gao, S. Huang, V. K. Gribkoff and N. A. Meanwell, J. Med. Chem., 2002, 45, 1487 CrossRef CAS PubMed.
  11. For selected examples, see: (a) S. Lee and J. F. Hartwig, J. Org. Chem., 2001, 66, 3402 CrossRef CAS PubMed; (b) A. B. Dounay, K. Hatanaka, J. J. Kodanko, M. Oestreich, L. E. Overman, L. A. Pfeifer and M. M. Weiss, J. Am. Chem. Soc., 2003, 125, 6261 CrossRef CAS PubMed; (c) I. D. Hills and G. C. Fu, Angew. Chem., Int. Ed., 2003, 42, 3921 CrossRef CAS PubMed; (d) B. M. Trost and M. U. Frederiksen, Angew. Chem., Int. Ed., 2005, 44, 308 CrossRef CAS PubMed; (e) Y. X. Jia, J. M. Hillgren, E. L. Watson, S. P. Marsden and E. P. Kündig, Chem. Commun., 2008, 4040 RSC; (f) Y. X. Jia and E. P. Kündig, Angew. Chem., Int. Ed., 2009, 48, 1636 CrossRef CAS PubMed.
  12. (a) Y.-H. Fan, H. Chen, A. Natarajan, Y. Guo, F. Harbinski, J. Iyasere, W. Christ, H. Aktas and J. A. Halperin, Bioorg. Med. Chem. Lett., 2004, 14, 2547 CrossRef CAS PubMed; (b) R. Maccari, R. Ottaná, C. Curinga, M. G. Vigorita, D. Rakowitz, T. Steindl and T. Langer, Bioorg. Med. Chem., 2005, 13, 2809 CrossRef CAS PubMed; (c) Y. Luo, L. Ma, H. Zheng, L. Chen, R. Li, C. He, S. Yang, X. Ye, Z. Chen, Z. Li, Y. Gao, J. Han, G. He, L. Yang and Y. Wei, J. Med. Chem., 2010, 53, 273 CrossRef CAS PubMed; (d) S. J. Hughes, D. S. Millan, I. C. Kilty, R. A. Lewthwaite, J. P. Mathias, M. A. O'Reilly, A. Pannifer, A. Phelan, F. Stühmeier, D. A. Baldock and D. G. Brown, Bioorg. Med. Chem. Lett., 2011, 21, 6586 CrossRef CAS PubMed; (e) U. R. Pratap, D. V. Jawale, R. A. Waghmare, D. L. Lingampalle and R. A. Mane, New J. Chem., 2011, 35, 49 RSC; (f) F. C. Brown, Chem. Rev., 1961, 61, 463 CrossRef CAS; (g) S. P. Singh, S. S. Parmar, K. Raman and V. I. Stenberg, Chem. Rev., 1981, 81, 175 CrossRef CAS; (h) A. Verma and S. K. Saraf, Eur. J. Med. Chem., 2008, 43, 897 CrossRef CAS PubMed; (i) T. Tomasic and L. P. Masic, Curr. Med. Chem., 2009, 16, 1596 CrossRef CAS; (j) M. Joshi, C. Vargas, P. Boisguerin, A. Diehl, G. Krause, P. Schmieder, K. Moelling, V. Hagen, M. Schade and H. Oschkinat, Angew. Chem., Int. Ed., 2006, 45, 3790 CrossRef CAS PubMed; (k) T. Sohda, K. Mizuno and Y. Kawamatsu, Chem. Pharm. Bull., 1984, 32, 4460 CrossRef CAS.
  13. (a) B. C. C. Cantello, M. A. Cawthorne, G. P. Cottam, P. T. Duff, D. Haigh, R. M. Hindley, C. A. Lister, S. A. Smith and P. L. Thurlby, J. Med. Chem., 1994, 37, 3977 CrossRef CAS; (b) B. C. C. Cantello, M. A. Cawthorne, D. Haigh, R. M. Hindley, S. A. Smith and P. L. Thurlby, Bioorg. Med. Chem. Lett., 1994, 4, 1181 CrossRef CAS; (c) G. M. Reaven, Diabetes, 1988, 37, 1595 CrossRef CAS.
  14. F. Zhou, Y. L. Liu and J. Zhou, Adv. Synth. Catal., 2010, 352, 1381 CrossRef CAS.
  15. (a) G.-P. Lu, L.-Y. Zeng and C. Cai, Green Chem., 2011, 13, 998 RSC; (b) S. Paladhi, A. Chauhan, K. Dhara, A. K. Tiwaria and J. Dash, Green Chem., 2012, 14, 2990 RSC; (c) F. Yu, H. Hu, X. Gu and J. Ye, Org. Lett., 2012, 14, 2038 CrossRef CAS PubMed.
  16. (a) N. H. Eshba and H. M. Salama, Pharmazie, 1985, 40, 320 CAS; (b) R. Andreasch, Monatsh. Chem., 1917, 38, 128 Search PubMed; (c) R. Andreasch, Monatsh. Chem., 1918, 39, 430 CrossRef; (d) S. M. Rida, H. M. Salama, I. M. Labouta, A. Ghany and S. Yasser, Pharmazie, 1985, 40, 727 CAS; (e) R. Lakhan, P. N. Bhargava and P. Salik, J. Indian Chem. Soc., 1982, 59, 804 CAS; (f) R. P. Rao and S. R. Singh, J. Indian Chem. Soc., 1973, 50, 752 CAS; (g) N. M. Turkevich, Pharm. Chem. J., 1978, 12, 1456 CrossRef; (h) N. M. Turkevich, Khim.-Farm. Zh., 1978, 12, 60 CAS.
  17. (a) H. M. Meshram, P. Ramesh, B. C. Reddy, B. Shreedhar and J. S. Yadav, Tetrahedron, 2011, 67, 3150 CrossRef CAS PubMed; (b) H. M. Meshram, D. A. Kumar, B. C. Reddy and P. Ramesh, Synth. Commun., 2010, 40, 39 CrossRef CAS; (c) H. M. Meshram, P. Ramesh, A. S. Kumar and A. Swetha, Tetrahedron Lett., 2011, 52, 5862 CrossRef CAS PubMed; (d) H. M. Meshram, R. N. Nageswara, R. L. Chandrasekhara and S. N. Kumar, Tetrahedron Lett., 2012, 53, 3963 CrossRef CAS PubMed; (e) H. M. Meshram, P. B. Thakur, M. B. Bejjam and V. M. Bangade, Green Chem. Lett. Rev., 2013, 6, 19 CrossRef CAS; (f) P. B. Thakur, K. Sirisha, A. V. S. Sarma, J. B. Nanubolu and H. M. Meshram, Tetrahedron, 2013, 69, 6415 CrossRef CAS PubMed.
  18. (a) F. D. Popp, Adv. Heterocycl. Chem., 1975, 18, 1 CrossRef CAS; (b) J. F. M. da Silva, S. J. Garden and A. C. Pinto, J. Braz. Chem. Soc., 2001, 12, 273 CrossRef CAS PubMed.
  19. (a) G. Choudhary and R. K. Peddinti, Green Chem., 2011, 13, 276 RSC; (b) S. Kumar, P. Sharma, K. K. Kapoor and M. S. Hundal, Tetrahedron, 2008, 64, 536 CrossRef CAS PubMed; (c) J. Zhang, Z. Cui, F. Wang, Y. Wang, Z. Miao and R. Chen, Green Chem., 2007, 9, 1341 RSC; (d) A. Kumar, M. Kumar and M. K. Gupta, Green Chem., 2012, 14, 2677 RSC; (e) G.-R. Qu, H.-L. Zhang, H.-Y. Niu, Z.-K. Xue, X.-X. Lva and H.-M. Guo, Green Chem., 2012, 14, 1877 RSC; (f) E. A. Frederik, V. Waes, J. Drabowicz, A. Cukalovica and C. V. Stevens, Green Chem., 2012, 14, 2776 RSC; (g) F. Alonso, Y. Moglie, G. Radivoy and M. Yusa, Green Chem., 2012, 14, 2699 RSC; (h) M. Jereb, Green Chem., 2012, 14, 3047 RSC; (i) J. Liu, M. Lei and L. Hu, Green Chem., 2012, 14, 2534 RSC; (j) B. D. Bala, S. M. Rajesh and S. Perumal, Green Chem., 2012, 14, 2484 RSC; (k) R. Pelagalli, I. Chiarotto, M. Feroci and S. Vecchio, Green Chem., 2012, 14, 2251 RSC; (l) C. Zhang, L. Zhang and N. Jiao, Green Chem., 2012, 14, 3273 RSC; (m) Z. N. Tisseh, M. Dabiri, M. Nobahar, H. R. Khavasi and A. Bazgir, Tetrahedron, 2012, 68, 1769 CrossRef CAS PubMed.
  20. (a) H. C. Hailes, Org. Process Res. Dev., 2007, 11, 114 CrossRef CAS; (b) C. J. Li and C. Liang, Chem. Soc. Rev., 2006, 35, 68 RSC.
  21. (a) S. Narayan, J. Muldoon, M. G. Finn, V. V. Fokin, H. C. Kolb and K. B. Sharpless, Angew. Chem., Int. Ed., 2005, 44, 3275 CrossRef CAS PubMed; (b) R. N. Butler and A. G. Coyne, Chem. Rev., 2010, 110, 6302 CrossRef CAS PubMed; (c) A. Chanda and V. V. Fokin, Chem. Rev., 2009, 109, 725 CrossRef CAS PubMed; (d) V. Polshettiwar and R. S. Varma, Green Chem., 2010, 12, 743 RSC; (e) G. L. Khatik, R. Kumar and A. K. Chakraborti, Org. Lett., 2006, 8, 2433 CrossRef CAS PubMed; (f) N. Azizi and M. R. Saidi, Org. Lett., 2005, 7, 3649 CrossRef CAS PubMed; (g) N. Azizi, F. Aryanasab, L. Torkiyan, A. Ziyaei and M. R. Saidi, J. Org. Chem., 2006, 71, 3634 CrossRef CAS PubMed; (h) B. C. Ranu and S. Banerjee, Tetrahedron Lett., 2007, 48, 141 CrossRef CAS PubMed.
  22. (a) H. Wahl, C. R. Seances Acad. Sci., Ser. A, 1924, 178, 394 Search PubMed; (b) H. Wahl, Ann. Chim., 1924, 10, 126 Search PubMed; (c) H.-J. Teuber and J. Hohn, Chem. Ber., 1982, 115, 90 CrossRef CAS; (d) S. A. Metwally, M. I. Younes and H. H. Abbas, Acta Chim. Hung., 1989, 126, 591 CAS; (e) L. E. Overman and E. A. Peterson, Angew. Chem., Int. Ed., 2003, 42, 2525 CrossRef CAS PubMed; (f) K. Neber, Chem. Ber., 1924, 57, 782 CrossRef.
  23. A. Usman, I. A. Razak, H.-K. Fun, S. Chantrapromma, B.-G. Zhao and J.-H. Xu, Acta Crystallogr., Sect. C: Cryst. Struct. Commun., 2002, 58, o24 Search PubMed.

Footnote

Electronic supplementary information (ESI) available: Spectral data as well as copies of 1H and 13C NMR spectrum are available in the ESI file. See DOI: 10.1039/c3ra46271d

This journal is © The Royal Society of Chemistry 2014
Click here to see how this site uses Cookies. View our privacy policy here.