Issue 38, 2014

Binding ability of first and second generation/carbazolylphenyl dendrimers with Zn(ii) tetraphenylporphyrin core towards small heterocyclic substrates

Abstract

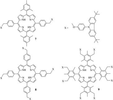
A study of complex formation of Zn(II) tetraarylporphyrin dendrimers with carbazolylphenyl branches towards 1,4-diazabicyclo-[2.2.2]octane, pyridine, imidazole, N-methylimidazole and 1,2,3-triazole was carried out by spectrophotometric and 1H NMR titration methods. It has been shown that the binding ability of the porphyrin receptors towards mono and bidentate N-containing substrates depends on the nature, number and generation of the branches. Bulky substituents are able either to significantly reduce the binding ability of the tetrapyrrolic cores due to the shielding of the porphyrin reaction centres, or to significantly increase it by forming intramolecular cavities for complementary binding of substrates. It has been determined that due to a good geometric match of the ligand's size with the size of the intramolecular cavities of the porphyrin receptors, and by the existence of additional hydrogen bonding and/or π–π interactions between the ligand and the triazole fragments of the porphyrin the Zn-tetraarylporphyrins with eight 4-carbazolylphenyl-1,2,3-triazole end groups of the first and the second generations could be used as effective receptors for imidazole, N-methylimidazole and 1,2,3-triazole. Taking into account the fact that binding is accompanied by a clear and easily identifiable response in the UV-Vis spectra of the reaction mixture, these metalloporphyrins could be considered as molecular optical sensing devices for small heterocyclic substrates.

Graphical abstract: Binding ability of first and second generation/carbazolylphenyl dendrimers with Zn(ii) tetraphenylporphyrin core towards small heterocyclic substrates

Supplementary files

Article information

Article type
Paper
Submitted
08 Oct 2013
Accepted
09 Apr 2014
First published
15 Apr 2014

RSC Adv., 2014,4, 19703-19709

Author version available

Binding ability of first and second generation/carbazolylphenyl dendrimers with Zn(II) tetraphenylporphyrin core towards small heterocyclic substrates

N. Tran Nguyen, G. M. Mamardashvili, O. M. Kulikova, I. G. Scheblykin, N. Zh. Mamardashvili and W. Dehaen, RSC Adv., 2014, 4, 19703 DOI: 10.1039/C3RA45660A

To request permission to reproduce material from this article, please go to the Copyright Clearance Center request page.

If you are an author contributing to an RSC publication, you do not need to request permission provided correct acknowledgement is given.

If you are the author of this article, you do not need to request permission to reproduce figures and diagrams provided correct acknowledgement is given. If you want to reproduce the whole article in a third-party publication (excluding your thesis/dissertation for which permission is not required) please go to the Copyright Clearance Center request page.

Read more about how to correctly acknowledge RSC content.

Social activity

Spotlight

Advertisements