Open Access Article
This Open Access Article is licensed under a Creative Commons Attribution-Non Commercial 3.0 Unported Licence

Magnetic blocking in extended metal atom chains: a pentachromium(II) complex behaving as a single-molecule magnet

A. Cornia *a, L. Rigamonti a, S. Boccedi a, R. Clérac bc, M. Rouzières bc and L. Sorace d
aDipartimento di Scienze Chimiche e Geologiche, Università degli Studi di Modena e Reggio Emilia & INSTM RU of Modena and Reggio Emilia, via G. Campi 183, 41125 Modena, Italy. E-mail: acornia@unimore.it
bCNRS, CRPP, UPR 8641, F-33600 Pessac, France
cUniv. Bordeaux, CRPP, UPR 8641, F-33600 Pessac, France
dLaboratory of Molecular Magnetism (LaMM), Dipartimento di Chimica ‘Ugo Schiff’, Università degli Studi di Firenze & INSTM RU of Firenze, via della Lastruccia 3-13, 50019 Sesto Fiorentino (FI), Italy

Received 25th August 2014 , Accepted 8th October 2014

First published on 9th October 2014


Abstract

Compound [Cr5(tpda)4Cl2] (H2tpda = N2,N6-di(pyridin-2-yl)pyridine-2,6-diamine), an Extended Metal Atom Chain complex featuring two quadruply-bonded {Cr2} units, exhibits field-induced slow relaxation of its magnetization arising from the terminal chromium(II) ion and provides the first example of a chromium(II)-based Single-Molecule Magnet.


Individual molecules with a directionally-bistable magnetic moment, called Single-Molecule Magnets (SMMs),1 are considered the smallest, chemically-tuneable components for spin-based devices.2

In the simplest case, a SMM possesses a ground state with a large total spin (ST) and an easy-axis (z) magnetic anisotropy, which partially lifts the 2ST + 1-fold degeneracy of the ground state in zero magnetic field. Such zero-field splitting (zfs) is described by the Hamiltonian Ĥzfs = T,z2 + Ĥ′, where the first term (with D < 0) is dominant and causes the MS = ±ST states to lie lowest in energy. If magnetization relaxation occurs by a multistep Orbach process, magnetic blocking is observed at temperatures such that kBTU, where U is the total energy splitting of the multiplet. However, nondiagonal terms in the Hamiltonian (Ĥ′), like rhombic or higher-order transverse anisotropies, can mix wavefunctions with the same |MS|, thereby opening new pathways for relaxation via quantum tunnelling.1 Their effect increases with decreasing ST, thus explaining why slow relaxation of the magnetization is comparatively less frequent in mononuclear than in polynuclear complexes, where higher ST can be reached.

SMM behaviour was indeed found in a variety of mononuclear species containing 3d,3–5 5d,6 4f7a,b or 5f7c ions, but the relaxation mechanisms often deviate from the above-described scheme. First, most of these systems feature an unquenched orbital angular momentum and consequently do not exhibit spin-only magnetism.3,7 More unexpectedly, magnetic blocking can arise in individual Kramers ions (e.g. Co2+, Dy3+) with a predominantly easy-plane magnetic anisotropy.8 Here, magnetization relaxation occurs via non-Orbach mechanisms that produce a distinct curvature in an Arrhenius plot. Unlike tunnelling effects, they result in non-physical values of the activation barrier when a linear fit is attempted over high-temperature data.8a Examples of spin-only mononuclear species relaxing via a genuine overbarrier process are found in Jahn–Teller distorted Mn3+ complexes.5

Although isoelectronic with Mn3+, Cr2+ has been rarely used in molecular magnetism primarily because of its propensity toward oxidation.9 We herein report the SMM properties of a Cr2+-based complex belonging to the popular class of Extended Metal Atom Chains (EMACs). EMACs have been extensively studied in the past as molecular wires and as benchmark systems for understanding metal–metal interactions.10 In an EMAC, an array of metal ions is kept aligned in a string by four oligopyridylamide (or related) ligands. The compound [Cr5(tpda)4Cl2] (1, H2tpda = N2,N6-di(pyridin-2-yl)pyridine-2,6-diamine) was the focus of a particularly lively debate regarding bond delocalization.11,12 From X-ray structural and magnetic data it was finally shown that 1 and related pentachromium(II) strings are unsymmetrical in the solid state and contain two diamagnetic pairs of quadruply-bonded metals plus one terminal high-spin Cr2+ ion13,14 (Fig. 1).


image file: c4cc06693f-f1.tif
Fig. 1 Molecular structure of 1 in 1·4CHCl3·2Et2O, as reported by Cotton et al.12b Colour code: orange = Cr, green = Cl, grey = C, blue = N, light grey = H. Diamagnetic pairs of chromium(II) ions are highlighted using thick bonds.

Such a bonding scheme is evident from the Cr⋯Cr distances found in 1·4CHCl3·2Et2O: (from Cr1 to Cr5) 2.598(3), 1.872(2), 2.609(2) and 1.963(3) Å.12b As a consequence, these compounds and the related tri-,15a–c hepta-15d and nonachromium(II)15e species have an ST = 2 ground state. On account of the negative D parameter and small rhombicity reported for [Cr3(dpa)4Cl2]·CH2Cl2 (2·CH2Cl2, Hdpa = dipyridin-2-ylamine),15c we have carried out a complete magnetic susceptibility study on 1·4CHCl3·2Et2O. Our data show field-induced slow relaxation of the magnetization compatible with an Orbach mechanism, thereby bridging both EMAC and SMM research fields.

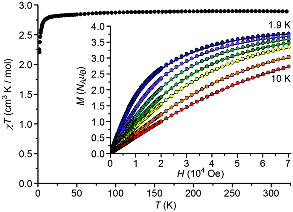
1·4CHCl3·2Et2O was synthesised as originally reported by Peng's group11 and isolated as large, deep-brown crystals by vapour diffusion of diethyl ether into a chloroform solution of the complex. The compound was checked by Matrix-Assisted Laser Desorption/Ionization Time-of-Flight and Electrospray Ionization mass spectrometries as well as by single-crystal X-ray diffraction, elemental analysis and IR spectroscopy (see ESI). Unless kept in contact with the mother solution, crystals of 1·4CHCl3·2Et2O progressively lose lattice solvent molecules. To avoid large uncertainties in molecular mass, the sample used for magnetic characterization was subject to prolonged vacuum pumping in order to remove all volatiles. However, wet crystals displayed the same static and dynamic magnetic properties as this vacuum-treated sample (see ESI). The χT product measured at 1 kOe (Fig. 2) amounts to 2.89 cm3 K mol−1 at 300–320 K and is virtually temperature independent down to 100 K, but decreases significantly at a lower temperature reaching 2.21 cm3 K mol−1 at 1.85 K. The room temperature value is close to the expectation for an ST = 2 spin with g = 1.963, in agreement with g < 2.00 for high-spin chromium(II).16


image file: c4cc06693f-f2.tif
Fig. 2 χT versus T plot for 1 at 1 kOe. The inset presents M versus H data measured at eight different temperatures (1.9, 2.0, 3.0, 4.0, 5.0, 6.0, 8.0 and 10.0 K), along with the best-fit curves with the parameters reported in the text.

To better probe the ground state properties, the isothermal magnetization was measured up to 70 kOe at temperatures ranging from 1.9 to 10 K (Fig. 2). Although the magnetization does not reach saturation in the H and T range explored, its highest measured value (3.77 NAμB) is close to the saturation magnetization for an ST = 2 state with g = 2 (i.e. 4 NAμB). When plotted as a function of H/T (see ESI), the curves display a pronounced nesting which hints to deviations from the Brillouin function. Such a behaviour was modelled by introducing magnetic anisotropy effects, through spin Hamiltonian Ĥzfs and assuming an isotropic g factor. Setting ST = 2 and Ĥ′ = 0, M versus H data could be accurately fitted with D = −1.510(6) cm−1 (D/kB = −2.173(9) K) and g = 1.9731(8). Imposing a positive D parameter resulted in a much worse fit. W-band (ν ≈ 94 GHz) EPR spectroscopy (Fig. 3) confirmed the spin value and the easy-axis anisotropy, with only very weak rhombicity. Best simulations17 were obtained using spin Hamiltonian ĤEPR = μBŜT·g·Ĥ + T,z2 + E(ŜT,x2ŜT,y2) with parameters: gx = gy = 1.990(3), gz = 1.975(2), D = −1.53(1) cm−1 (D/kB = −2.20(1) K) and |E/D| = 6(2) × 10−3. It is to be stressed that, even if |D| ≈ and the simplification induced by the high field limit is not yet reached, the temperature dependence of the spectrum is only compatible with a negative D value (see ESI). The very small rhombicity and the easy-axis anisotropy are consistent with the environment of the terminal chromium(II) ion, which features a square-pyramidal coordination sphere (CrN4Cl) with the four basal nitrogen donors at 2.13(1) Å, the apical chloride ion at 2.46 Å and the N–Cr–N angles in the range 87.5–90.9° (Fig. 1). Significantly, the anisotropy parameters are comparable with those found in 2·CH2Cl2 by high-frequency EPR (D = −1.643(1) cm−1 or D/kB = −2.364(1) K, E = 0.0339(4) cm−1 or E/kB = 0.0488(6) K)15c and are consistently reproduced by Angular Overlap Model calculations (see ESI).


image file: c4cc06693f-f3.tif
Fig. 3 Experimental (continuous lines) and best simulation (dotted lines) W-band EPR spectra of 1. The asterisks mark spurious signals arising from incomplete powder averaging due to the preparation of the sample (see ESI).

In spite of the small spin value (ST = 2), the significant easy-axis anisotropy of 1 induces in-field slow relaxation of the magnetization at low temperature. The alternating current (ac) magnetic susceptibility of 1 was investigated in the 1.8–15 K temperature range and with frequencies up to 10[thin space (1/6-em)]000 Hz (see ESI). In zero static field, simple paramagnetic behaviour was observed in the probed range of frequency and temperature. Application of a static field was however effective in slowing down the relaxation leading to the appearance of an out-of-phase signal. The optimal field of 2.5 kOe was located in a preliminary scan from 0 to 10 kOe at 1.8 K and was used for temperature dependent studies. The analysis of the resulting χ′(ν) and χ′′(ν) curves from 1.8 to 4.8 K was based on the generalized Debye model18 and provided the temperature dependence of the relaxation time τ. A semi-logarithmic plot of τ versus T−1 evidences a thermally-activated relaxation mechanism with an effective barrier Ueff/kB = 9.2(5) K (Fig. 4) and an attempt time τ0 = 2.2(5) × 10−6 s. Within experimental error, Ueff equals the total splitting of the ST = 2 multiplet (U/kB = (|D|/kB)ST2 = 8.81(6) K). This suggests that in-field relaxation follows an overbarrier Orbach mechanism1 and that ±MS states are not heavily admixed, in spite of the small and integer ST value. The residual mixing is however enough to produce fast relaxation in zero field. To the best of our knowledge, this represents the first example of a chromium(II)-based SMM. In this respect, the string-like structure of 1 and the arrangement of the tpda2− ligands enforce the metal ions in an almost perfectly axial environment which is suitable for SMM behaviour.


image file: c4cc06693f-f4.tif
Fig. 4 Temperature (left) and frequency (right) dependence of the real (χ′, top) and imaginary (χ′′, bottom) parts of the ac susceptibility, between 1 and 10[thin space (1/6-em)]000 Hz and between 1.8 and 9 K, respectively, for 1 in 2500 Oe dc field. While solid lines on the left-hand figures are visual guides, the solid curves on the right-hand figures provide the best fit using the generalized Debye model.18 Inset: τ versus T−1 plot for 1 in 2500 Oe dc field. The relaxation time (τ) has been estimated from the generalized Debye fit of the χversus ν (red dots) and χ′′ versus ν (black dots) data between 1.8 and 4.8 K. Solid line is the best fit to the Arrhenius law.

In our ongoing efforts we are now looking for more examples of Cr2+-based SMM-EMACs through variation of the axial ligands and of the chain length. In addition, we are exploring the magnetization dynamics of EMACs containing heavier and more anisotropic transition-metal ions, like Ru2+.19

We thank Italian MIUR for funding through a FIRB project (RBAP117RWN). Financial support from University of Bordeaux, the ANR, the Région Aquitaine, CNRS and Ente CRF is also gratefully acknowledged. We are indebted to Prof. R. Sessoli and Dr G. Poneti (Università degli Studi di Firenze) for carrying out preliminary magnetic measurements.

Notes and references

  1. D. Gatteschi, R. Sessoli and J. Villain, Molecular Nanomagnets, Oxford University Press, Oxford, UK, 2006 Search PubMed.
  2. (a) F. Zu, Z. Liu, K. Yao, G. Gao, H. Fu, S. Zhu, Y. Ni and L. Peng, Sci. Rep., 2014, 4, 4838 CrossRef PubMed; (b) S. Thiele, F. Balestro, R. Ballou, S. Klyatskaya, M. Ruben and W. Wernsdorfer, Science, 2014, 344, 1135–1138 CrossRef CAS PubMed.
  3. (a) J. M. Zadrozny, D. J. Xiao, M. Atanasov, G. J. Long, F. Grandjean, F. Neese and J. R. Long, Nat. Chem., 2013, 5, 577–581 CrossRef CAS PubMed; (b) J. M. Zadrozny, M. Atanasov, A. M. Bryan, C.-Y. Lin, B. D. Rekken, P. P. Power, F. Neese and J. R. Long, Chem. Sci., 2013, 4, 125–138 RSC; (c) M. Atanasov, J. M. Zadrozny, J. R. Long and F. Neese, Chem. Sci., 2013, 4, 139–156 RSC.
  4. (a) J. M. Zadrozny and J. R. Long, J. Am. Chem. Soc., 2011, 133, 20732–20734 CrossRef CAS PubMed; (b) J. Vallejo, I. Castro, R. Ruiz-García, J. Cano, M. Julve, F. Lloret, G. De Munno, W. Wernsdorfer and E. Pardo, J. Am. Chem. Soc., 2012, 134, 15704–15707 CrossRef CAS PubMed; (c) J. M. Zadrozny, J. Liu, N. A. Piro, C. J. Chang, S. Hill and J. R. Long, Chem. Commun., 2012, 48, 3927–3929 RSC.
  5. J. Vallejo, A. Pascual-Álvarez, J. Cano, I. Castro, M. Julve, F. Lloret, J. Krzystek, G. De Munno, D. Armentano, W. Wernsdorfer, R. Ruiz-García and E. Pardo, Angew. Chem., Int. Ed., 2013, 52, 14075–14079 CrossRef CAS PubMed.
  6. (a) K. S. Pedersen, M. Sigrist, M. A. Sørensen, A.-L. Barra, T. Weyhermüller, S. Piligkos, C. Aa. Thuesen, M. G. Vinum, H. Mutka, H. Weihe, R. Clérac and J. Bendix, Angew. Chem., Int. Ed., 2014, 53, 1351–1354 CrossRef CAS PubMed; (b) J. Martínez-Lillo, T. F. Mastropietro, E. Lhotel, C. Paulsen, J. Cano, G. De Munno, J. Faus, F. Lloret, M. Julve, S. Nellutla and J. Krzystek, J. Am. Chem. Soc., 2013, 135, 13737–13748 CrossRef PubMed.
  7. (a) H. L. C. Feltham and S. Brooker, Coord. Chem. Rev., 2014, 276, 1–33 CrossRef CAS PubMed; (b) D. N. Woodruff, R. E. P. Winpenny and R. A. Layfield, Chem. Rev., 2013, 113, 5110–5148 CrossRef CAS PubMed; (c) J. J. Baldoví, S. Cardona-Serra, J. M. Clemente-Juan, E. Coronado and A. Gaita-Ariño, Chem. Sci., 2013, 4, 938–946 RSC.
  8. (a) E. Lucaccini, L. Sorace, M. Perfetti, J.-P. Costes and R. Sessoli, Chem. Commun., 2014, 50, 1648–1651 RSC; (b) S. Gómez-Coca, A. Urtizberea, E. Cremades, P. J. Alonso, A. Camón, E. Ruiz and F. Luis, Nat. Commun., 2014, 5, 4300 Search PubMed.
  9. (a) P. A. Lay and A. Levina, in Comprehensive Coordination Chemistry II, ed. J. A. McCleverty and T. J. Meyer, Elsevier, Amsterdam, The Netherlands, 2004, vol. 4, pp. 313–413 Search PubMed; (b) T. Mallah, S. Thiébaut, M. Verdaguer and P. Veillet, Science, 1993, 262, 1554–1557 CAS; (c) C. Bellitto, F. Federici and S. A. Ibrahim, Chem. Mater., 1998, 10, 1076–1082 CrossRef CAS.
  10. (a) V. P. Georgiev, P. J. Mohan, D. DeBrincat and J. E. McGrady, Coord. Chem. Rev., 2013, 257, 290–298 CrossRef CAS PubMed; (b) Multiple Bonds Between Metal Atoms, ed. F. A. Cotton, C. A. Murillo and R. A. Watson, Springer, New York, USA, 2006 Search PubMed; (c) J. F. Berry, Struct. Bond., 2010, 136, 1–28 CrossRef CAS.
  11. H.-C. Chang, J.-T. Li, C.-C. Wang, T.-W. Lin, H.-C. Lee, G.-H. Lee and S.-M. Peng, Eur. J. Inorg. Chem., 1999, 1243–1251 CrossRef CAS.
  12. (a) F. A. Cotton, L. M. Daniels, T. Lu, C. A. Murillo and X. Wang, J. Chem. Soc., Dalton Trans., 1999, 517–518 RSC; (b) F. A. Cotton, L. M. Daniels, C. A. Murillo and X. Wang, Chem. Commun., 1999, 2461–2462 RSC.
  13. J. F. Berry, F. A. Cotton, C. S. Fewox, T. Lu, C. A. Murillo and X. Wang, Dalton Trans., 2004, 2297–2302 RSC.
  14. W.-Z. Wang, R. H. Ismayilov, G.-H. Lee, Y.-L. Huang, C.-Y. Yeh, M.-D. Fu, C.-H. Chen and S.-M. Peng, New J. Chem., 2012, 36, 632–637 RSC.
  15. (a) R. Clérac, F. A. Cotton, L. M. Daniels, K. R. Dunbar, C. A. Murillo and I. Pascual, Inorg. Chem., 2000, 39, 748–751 CrossRef; (b) J. F. Berry, F. A. Cotton, T. Lu, C. A. Murillo, B. K. Roberts and X. Wang, J. Am. Chem. Soc., 2004, 126, 7082–7096 CrossRef CAS PubMed; (c) J. Wang, Z. Wang, R. J. Clark, A. Ozarowski, J. van Tol and N. S. Dalal, Polyhedron, 2011, 30, 3058–3061 CrossRef CAS PubMed; (d) R. H. Ismayilov, W.-Z. Wang, G.-H. Lee, C.-H. Chien, C.-H. Jiang, C.-L. Chiu, C.-Y. Yeh and S.-M. Peng, Eur. J. Inorg. Chem., 2009, 2110–2120 CrossRef CAS; (e) R. H. Ismayilov, W.-Z. Wang, R.-R. Wang, C.-Y. Yeh, G.-H. Lee and S.-M. Peng, Chem. Commun., 2007, 1121–1123 RSC.
  16. (a) A.-L. Barra, A. Døssing, T. Morsing and J. Vibenholt, Inorg. Chim. Acta, 2011, 373, 266–269 CrossRef CAS PubMed; (b) J. Telser, L. A. Pardi, J. Krzystek and L.-C. Brunel, Inorg. Chem., 1998, 37, 5769–5775 CrossRef CAS.
  17. S. Stoll and A. Schweiger, J. Magn. Reson., 2006, 178, 42–55 CrossRef CAS PubMed.
  18. (a) K. S. Cole and R. H. Cole, J. Chem. Phys., 1941, 9, 341–352 CrossRef CAS PubMed; (b) C. Dekker, A. F. M. Arts, H. W. de Wijn, A. J. van Duyneveldt and J. A. Mydosh, Phys. Rev. B: Condens. Matter Mater. Phys., 1989, 40, 11243–11251 CAS.
  19. C. Yin, G.-C. Huang, C.-K. Kuo, M.-D. Fu, H.-C. Lu, J.-H. Ke, K.-N. Shih, Y.-L. Huang, G.-H. Lee, C.-Y. Yeh, C.-H. Chen and S.-M. Peng, J. Am. Chem. Soc., 2008, 130, 10090–10092 CrossRef CAS PubMed.

Footnotes

Electronic supplementary information (ESI) available: Synthetic details, additional magnetic characterization data, details of Angular Overlap Model calculations. See DOI: 10.1039/c4cc06693f
The term “spin only” is used here for metal centers with no first-order orbital angular momentum; in such systems, orbital contributions to magnetic behaviour can nevertheless arise via second-order spin–orbit coupling.

This journal is © The Royal Society of Chemistry 2014
Click here to see how this site uses Cookies. View our privacy policy here.