DOI:
10.1039/C3SC51477C
(Edge Article)
Chem. Sci., 2013,
4, 3484-3489
Probing chemistry and kinetics of reactions in heterogeneous catalysts
Received
25th May 2013
, Accepted 16th June 2013
First published on 17th June 2013
Abstract
Using benzene hydrogenation over Pt/SiO2 as an industrially-relevant example, we show that state-of-the-art neutron total scattering methods spanning a wide Q-range now permit relevant time-resolved catalytic chemistry to be probed directly in situ within the pore of the catalyst. The method gives access to the reaction rates on both nanometric and atomic length scales, whilst simultaneously providing an atomistic structural viewpoint on the reaction mechanism itself.
Introduction
Catalysis in general, and heterogeneous catalysis in particular, is critical to the production of chemicals worldwide. It has been estimated that ∼80% of all man made materials at some point in their manufacture use a catalyst1 and the majority of these are heterogeneously catalyzed reactions. As a consequence of their importance, it is thought that ∼35% of the world's GDP is reliant on catalysis.2 Many of these reactions are performed in the liquid phase; however, despite the importance of these materials and processes, the understanding of multi-phase interfaces and the impact of these on the overall rate process is poor. Liquid phase heterogeneously catalyzed reactions are commonly monitored using liquid sampling or gas uptake due to the difficulty of obtaining in situ spatially- and chemically-resolved information on the microscopic scale. Although nuclear magnetic resonance techniques can obtain spatially-resolved activity and diffusion information within packed-bed systems,3,4 these methods are limited to micron resolution. Neutron scattering is an excellent atomic probe of condensed matter; however, until now, long data acquisition times have prevented total scattering techniques from being used to measure the kinetics of real systems. Small angle X-ray and neutron scattering has been applied to time-resolved studies of, for example, micelle aggregation5 and evolution,6 rheochaos and flow instability,7 and polymerisation processes,8 but the nature of these techniques necessarily means that information in the atomistic and chemical regime is lacking. Herein, we demonstrate that wide Q-range, total neutron scattering at state of the art pulsed neutron facilities is now able to obtain kinetic information of reaction processes over multiple length scales spanning the small angle and wide angle regimes simultaneously.
In this study, the platinum-catalysed hydrogenation of benzene to cyclohexane has been used as a proof of principle that neutron methods can probe the reaction within the pore of the catalyst. Benzene hydrogenation has been studied extensively in both the liquid phase and vapour using a range of catalysts including supported Ru,9 Fe,10 Pd,11 Ni12 and Pt13 with a view to understand the mechanism of the reaction. This reaction is of particular commercial importance due to the widespread use of the product (cyclohexane) as a precursor in the production of adipic acid and caprolactam en-route to the eventual production of nylon as well as the drive for cleaner fuels and the removal of benzene from gasoline.
Experimental details
Neutron diffraction
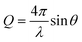
The structural quantity measured in a total scattering experiment is the interference differential cross section, F(Q), where Q is the magnitude of the momentum transfer vector in the scattering process for neutrons of incident wavelength (λ) and scattering angle (2θ), defined as:| |  | (1) |
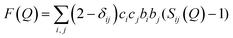
F(Q) is formed from a weighted sum of the partial structure factors, Sij(Q) that reflect the pair correlations between atoms of type i and j:
| |  | (2) |
δij is the Kronecker delta to avoid double counting the pair terms, and
ci,
cj and
bi,
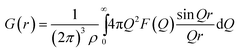
bj are the atomic fractions and coherent scattering lengths of the atom types. The interference differential cross section is related by Fourier transform to the corresponding radial distribution function,
G(
r), weighted by the atomic density of the system,
ρ:
| |  | (3) |
G(r) is formed from a weighted sum of the partial pair distribution functions, gij(r), in similar fashion to F(Q) (eqn (2)). When investigating nanostructured materials, as in the present case, it is often preferable to use the differential correlation function D(r), derived from the radial distribution G(r) as:14
This alternate form emphasizes the structural features at longer distances.
All neutron diffraction measurements were made on the Near and InterMediate Range Order Diffractometer15 (NIMROD) at the ISIS Second Target Station Facility of the Rutherford Appleton Laboratory, Oxford, UK. NIMROD provides high flux and a wide Q range accessing correlations between <0.1 nm and ∼30 nm. Of critical importance is the instrument's high neutron count-rate at molecular and intermediate order length scales which allows short acquisition times to be employed, thus facilitating the extraction of kinetic information. Benzene hydrogenation was performed using Pt/SiO2 within the instrument at 296 K and 0.25 bar D2(g). Therefore, to be precise, the measurements probed the deuteriation of benzene-d6, Scheme 1, as the heavier isotope exhibits more favorable neutron scattering characteristics. Before the neutron diffraction was undertaken, the catalyst was prereduced by exposing the catalyst to D2 in benzene-d6 at room temperature. This mixture was then pumped from the system until the diffraction pattern of the catalyst did not change and then the catalyst pore was refilled with benzene-d6 vapour and then D2.
Synthesis
All chemicals, unless otherwise stated, were purchased from Aldrich or Qmx and used without further purification. The mesoporous SiO2 was synthesized by modification of a previously reported procedure by Grün et al.16 5 g of n-hexadecyltrimethylammonium bromide (C16TMABr, 0.014 mol) was dissolved in 100 g of ultra-pure water (distilled, deionised >18 MΩ) by heating at 318 K, and 26.4 g of aqueous ammonia (32 wt%, 0.5 mol) and 120.0 g of absolute ethanol (EtOH, 2.6 mol) were added to the surfactant solution. The solution was stirred for 15 min and 9.4 g of triethyl orthosilicate (TEOS) (0.044 mol) was then added resulting in a gel with the molar composition (TEOS)(C16TMABr)0.3(NH3)11(H2O)144(EtOH)58. After stirring for 2 h, the gel was transferred to a Teflon-lined autoclave and aged for 48 h at 378 K. The white precipitate obtained was filtered, washed with 200 cm3 of ultra-pure water and 200 cm3 of methanol and dried overnight at 363 K. The white powder was calcined in air at 823 K for 5 h (heating rate 2 K min−1). 5 wt% Pt/SiO2 was prepared by incipient wetness impregnation using platinum nitrate (Johnson-Matthey) as the platinum precursor. After impregnation, the material was dried at 393 K for 12 h followed by calcination at 773 K for 4 h.
Benzene hydrogenation experiments were carried out in a 100 cm3 Autoclave Engineers' high pressure reactor. In a typical experiment, the reactor was charged with 20 cm3 of benzene and 0.25 g of 5 wt% Pt/MCM-41 catalyst. The reactor was purged three times with N2, the mixture was agitated at 1500 rpm and heated to 323 K. After purging with H2 three times, the reactor was pressurised to 5 bar, which corresponded to t = 0. The reaction was monitored by sampling at regular time intervals, with analysis of the samples by a Perkin Elmer GC equipped with a DB-1 capillary column and a FID detector. Under these conditions, 98% conversion of benzene was obtained after 24 h.
Catalyst characterisation
High resolution TEM images of the prepared catalyst, Fig. 1, show the expected regular hexagonal array of uniform parallel channels, while Pt nanoparticles (<1 nm in size) can be seen as dark spots dispersed within the channels.
In order to interpret the data of the complete system, careful textural characterization of the catalyst is critical. Traditionally, adsorption isotherms, e.g. BET, are employed to measure the porosity of these materials; however, these methods provide only a rough characterization.17 Neutron methods are advantageous as they provide more comprehensive characterization with a single probe.18
Fig. 2 shows the F(Q) obtained from evacuated Pt/SiO2 from which a direct characterization of the porous framework can be obtained. Fitting a Lorentzian profile to the first diffraction peak gives a centre of 0.190 Å−1 with FWHM of 0.022 Å−1, corresponding to a pore spacing of 33.1 Å (s.d. 1.48 Å). Direct Fourier transform of the measured empty Pt/SiO2 sample is given in Fig. 3, which show the differential correlation functions, D(r). The spacing of the pores in the material (d = 33 Å) is clearly visible in the Pt/SiO2 data, with oscillations of this period extending to beyond 100 Å. X-ray diffraction measurements on the same material suggest a d spacing of 34.6 Å, in good agreement with the neutron value.19
 |
| | Fig. 2 Total differential cross scattering data (F(Q)) of dry Pt/SiO2, the system after exposure to benzene-d6 vapour, and the final system after 9 h reaction time. Error bars not shown since symbol height is comparable to line thickness. | |
 |
| | Fig. 3 Direct Fourier transforms of the data shown in Fig. 2. d corresponds to the pore spacing in the material. The underlying feature at large r apparent in the pore-filled systems is an artefact of the discrete Fourier transform process, arising from the unavoidable step function at the first data point (Q = 0.01 Å−1). | |
Results and discussion
Reactant/product characterisation
Following measurement of the evacuated catalyst, benzene-d6 was absorbed via capillary condensation of the vapour into the pores. After five minutes, saturation of the pores was achieved and no further changes in the structure factor observed (Fig. 2). This data shows a decrease in the intensity of the first diffraction peak together with an increase in complexity of the signal beyond 1 Å−1. The former is consistent with the pores becoming filled with a material possessing a scattering length density (SLD), i.e. benzene-d6, which offers less contrast to the silica than the evacuated pore. For deuteriated benzene, ΔSLD = 1.93 × 10−6 Å−2 compared with ΔSLD = 3.47 × 10−6 Å−2 for the empty pore thus reducing the contribution of pore–pore features in the F(Q). The increased signal complexity above 1 Å−1 is consistent with additional atomic-scale correlations corresponding to the absorbed benzene-d6. In real space, the decrease in intensity of the first diffraction peak is matched by a ‘washing out’ of the periodic pore correlation (Fig. 3) – the oscillations at long r are almost completely damped because of contrast matching.
After exposure to D2(g) for 9 h, the F(Q) data (Fig. 2) show an increase in the first diffraction peak which is consistent with the formation of cyclohexane-d12 from the hydrogenation of benzene. Cyclohexane-d12 has a SLD which gives comparable contrast with the bulk SiO2 to that of the empty pore, ΔSLD = 3.24 × 10−6cf. 3.47 × 10−6 Å−2, thus promoting reappearance of the first diffraction peak. Consequently, the long r oscillations in the D(r) are somewhat restored, Fig. 3. In addition, the presence of a strong feature at Q = 1.2 Å−1 suggests the presence of a species which is different from benzene and not found at t = 0. Fig. 4 shows the direct Fourier transform of the initial benzene-loaded system, the average of the last six datasets collected20 corresponding to the final 0.5 h of the study where little further reaction occurs and those from the pure liquids. Both the benzene-loaded and pure benzene systems show C–C correlations at 1.397 Å but these are absent after reaction. Similarly, the new feature at ∼1.55 Å is consistent with the cyclohexane C–C distance which overlaps with the Si–O peak at 1.59 Å associated with the porous catalyst. The data also display a marked increase in the intensity of the C–D peak after reaction indicating complete conversion of benzene. This was confirmed by extracting the discharged catalyst with n-hexane and analysis by GC-MS which showed only the presence of cyclohexane-d12. This is consistent with the batch liquid phase reactions undertaken using this catalyst as well as literature data21 which showed little formation of the intermediates cyclohexadiene or cyclohexene, and is in agreement with theoretical studies which suggest that these molecules are not part of the major reaction pathway.22
 |
| | Fig. 4 Direct Fourier transforms of diffraction data in Fig. 2 along with those from measurements of neat benzene-d6 and cyclohexane-d12, focusing on the atomic pair correlations in the short r (chemical structure) region. Curves have been offset vertically for clarity. Positions of typical C–D (1.09 Å), aromatic C–C (1.397 Å), and aliphatic C–C (1.54 Å) are shown to aid interpretation. Note the decreased intensity at 1.397 Å and increased intensity at 1.09 and 1.54 Å in the system after 9 h reaction, indicating the hydrogenation of benzene. | |
Time resolved data
The evolution of F(Q) as a function of time, Fig. 5a, illustrates the changes within structural features across atomic, molecular, and mesoscopic length scales simultaneously. By taking slices at specific Q values with respect to time, the kinetics corresponding to different length scales in the system can be obtained, as shown in Fig. 5b (together with corresponding exponential fits). The first diffraction peak (Q = 0.19 Å−1) exhibits both a fast (rate constant k0 = 2.146 h−1) and a slow (k1 = 0.138 h−1) component, while at Q = 1.2, 3.1, and 4.3 Å−1 the fits reveal an intermediate third rate (k2,3,4 ≈ 0.35 h−1). We have already established that the increase in intensity of the first diffraction peak is related to the change in contrast between the mesoporous substrate and absorbed material; however, a second process also contributes to this change on a different timescale. Inspection of the data (1 < Q < 2π Å−1) reveals no other changes which occur at a rate similar to the fast component (k0). This first process is, therefore, unlikely to be related to benzene and is attributed to the dissociative adsorption of D2. This is consistent with the rapid and relatively large increase in temperature over the first 30 minutes following introduction of the D2, Fig. 5c. Similarly, the slow component (k1) does not reflect a chemical change and is likely to be related to the mass transport of the products within the pore, i.e. pore diffusion. The change at Q = 1.22 Å−1 reflects nearest-neighbour molecular interactions, while those at Q = 3.1 and 4.3 Å−1 are associated with atomistic chemical changes within the system. These three features evolve with similar time constants and are correlated with the reduction process and the formation of the cyclohexane product. Moreover, these time constants suggest that the overall process is likely to be limited by liquid diffusion (k1), as this is the slowest rate observed, whilst the reaction itself is governed by the hydrogenation process (k2,3,4) rather than the dissociation of D2 (k0). From these results we are able to elucidate the following process scheme for the reaction, at conditions of room temperature and 250 mBar D2:
| D2(g) → 2D(ads), k0 = 2.146 h−1 |
| C6D12(l) pore diffusion, k1 = 0.136 h−1 |
 |
| | Fig. 5 (a) F(Q)/time domain data over the course of the reaction. (b) Slices taken through (a) at specific Q values, and corresponding exponential fits to the data. Curves are offset vertically for clarity. Fit equations are: F(Q = 0.19) = (a0 + a1) − a0exp(−k0t) − a1exp(−k1t), where a0 = 3.584, a1 = 2.234, k0 = 2.146 h−1, and k1 = 0.136 h−1; F(Q ≠ 0.19) = an – anexp(−knt), where a2 = 0.332 and k2 = 0.368 h−1 (Q = 1.22 Å−1), a3 = 0.143 and k3 = 0.361 h−1 (Q = 3.1 Å−1), and a4 = 0.074 and k4 = 0.333 h−1 (Q = 4.3 Å−1). (c) Sample temperature as measured at the top and bottom extremes of the TiZr cell. (d) Pressure of D2 gas present in 4 L supply reservoir. | |
Discussion
The necessity for more detailed information with respect to the kinetic evaluation of catalysts has been known for many years.23 For example, there is a need to replace the ubiquitous concept of ‘turnover frequency’ (TOF) with a more quantitative measure24 preferably with one whereby the rate equation for the system is known.25 Such characterization has, in the past, been difficult, especially for liquid phase heterogeneously catalyzed processes since the rate law commonly contains several processes including both surface reaction and mass transport. Each has distinct rate constants, and no single technique has been able to comprehensively provide the necessary information. With this study total neutron scattering has been shown to be able to provide simultaneously the kinetic information associated with chemical reaction and mass transport within the pore of a catalyst. In the present case, the fact that pore liquid diffusion is critical in determining the rate of reaction is important in understanding how the catalyst design may be developed. Improvements in the surface reaction process, i.e. increasing the number or reactivity of the active sites, will have little influence on the catalyst performance whereas addition of a solvent, to increase the rate of diffusion, is likely to have a significant promoting effect. This proof of concept study has the potential to enable the temporal structure/spatial changes and the reaction kinetics to be correlated in the future, and therefore, obtain critical information pertaining to the catalytic process itself.
Conclusions
The kinetics within the pores of a heterogeneous catalyst during the liquid phase reduction of benzene have been probed directly using neutron diffraction, potentially providing a method of examining structure-reactivity correlations for these complex systems in detail, and thus allowing the effects of mass transport within the catalyst and surface reaction to be decoupled. Moreover, the technique takes a step to allow both structural and spatial data to be tied effectively with the kinetics of the underlying processes.
Acknowledgements
We thank the EPSRC and Johnson Matthey for funding under the CasTech project; M. Kibble and P. Hawkins for support during neutron diffraction experiments. Experiments at the ISIS Pulsed Neutron and Muon Source were supported by a beamtime allocation from the Science and Technology Facilities Council (experiment RB1220486, DOI: 10.5286/ISIS.E.24089729).
Notes and references
-
Z. Ma and F. Zaera, Heterogeneous Catalysis by Metals in Encyclopedia of Inorganic Chemistry, John Wiley, 2006 Search PubMed.
- F. Zaera, Catal. Lett., 2012, 142, 501 CrossRef CAS.
- E. H. L. Yuen, A. J. Sederman and L. F. Gladden, Appl. Catal., A, 2002, 232, 29 CrossRef CAS.
- D. Weber, D. J. Holland and L. F. Gladden, Appl. Catal., A, 2011, 392, 192 CrossRef CAS.
- J. Adelsberger, Soft Matter, 2013, 9, 1685 RSC.
- F. Michaux, N. Baccile, M. Impéror-Clerc, L. Malfatti, N. Folliet, C. Gervais, S. Manet, F. Meneau, J. S. Pedersen and F. Babonneau, Langmuir, 2012, 28, 17477 CrossRef CAS.
- L. Gentile, B. F. B. Silva, S. Lages, K. Mortensen, J. Kohlbrecher and U. Olsson, Soft Matter, 2013, 9, 1133 RSC.
- R. Motokawa, T. Taniguchi, Y. Sasaki, Y. Enomoto, F. Murakami, M. Kasuya, M. Kohri and T. Nakahira, Macromolecules, 2012, 45, 9435 CrossRef CAS.
- J. Bu, J. L. Liu, X. Y. Chen, J. H. Zhuang, S. R. Yan, M. H. Qiao, H. Y. He and K. N. Fan, Catal. Commun., 2008, 9, 2612 CrossRef CAS; J. L. Liu, L. J. Zhu, Y. Pei, J. H. Zhuang, H. Li, H. X. Li, M. H. Qiao and K. N. Fan, Appl. Catal., A, 2009, 353, 282 CrossRef.
- K. J. Yoon, P. L. Walker, L. N. Mulay and M. A. Vannice, Ind. Eng. Chem. Prod. Res. Dev., 1983, 22, 519 CrossRef CAS; K. J. Yoon and M. A. Vannice, J. Catal., 1983, 82, 457 CrossRef.
- U. K. Singh and M. A. Vannice, AIChE J., 1999, 45, 1059 CrossRef CAS; P. Chou and M. A. Vannice, J. Catal., 1987, 107, 140 CrossRef; P. Chou and M. A. Vannice, J. Catal., 1987, 107, 119 Search PubMed; M. A. Vannice and W. C. Neikam, J. Catal., 1971, 23, 401 CrossRef; P.-H. Jen, Y.-H. Hsu and S. D. Lin, Catal. Today, 2007, 123, 133 CrossRef.
- K. C. Metaxas and N. G. Papayannakos, Chem.–Eur. J., 2008, 140, 352 Search PubMed; M. Peyrovi and M. Toosi, React. Kinet. Catal. Lett., 2008, 94, 115 CrossRef CAS; P. G. Savva, K. Goundani, J. Vakros, K. Bourikas, C. Fountzoula, D. Vattis, A. Lycourghiotis and C. Kordulis, Appl. Catal., B, 2008, 79, 199 CrossRef.
- D. Poondi and M. A. Vannice, J. Catal., 1996, 161, 742 CrossRef CAS; S. D. Lin and M. A. Vannice, J. Catal., 1993, 143, 539 CrossRef; V. V. Pushkarev, K. An, S. Alayoglu, S. K. Beaumont and G. A. Somorjai, J. Catal., 2012, 292, 64 CrossRef.
- D. A. Keen, J. Appl. Crystallogr., 2000, 34, 172 CrossRef.
- D. T. Bowron, A. K. Soper, K. Jones, S. Ansell, S. Birch, J. Norris, L. Perrott, D. Riedel, N. J. Rhodes, S. R. Wakefield, A. Botti, M.-A. Ricci, F. Grazzi and M. Zoppi, Rev. Sci. Instrum., 2010, 81, 033905 CrossRef CAS.
- M. Grün, I. Lauer and K. K. Unger, Adv. Mater., 1997, 9, 254 CrossRef.
- D. T. Bowron and A. K. Soper, Neutron News, 2011, 22, 12 CrossRef.
- A. K. Soper, J. Phys.: Condens. Matter, 2012, 24, 064107 CrossRef.
- X-ray diffraction measurements were made with Cu Kα radiation (1.5405 Å) on a PANalytical X'PERT PRO MPD diffractometer equipped with reflection geometry, a NaI scintillation counter, a curved graphite crystal monochromator and a nickel filter. The scattered intensities were collected from 1.5° to 6° (2θ) by scanning at 0.017° (2θ) steps with a counting time of 0.5 s at each step. No peaks due to Pt were observed due to the small Pt crystallite size.
- Direct Fourier transform of the individual five minute datasets is challenging, owing to the reduced statistics in the high Q regime, therefore, several datasets have been summed to increase the signal to noise ratio.
- For example, T. Bera, J. W. Thybaut and G. B. Marin, Ind. Eng. Chem. Res., 2012, 50, 12933 CrossRef.
- M. Saeys, M.-F. Reyniers, M. Neurock and G. B. Marin, J. Phys. Chem. B, 2005, 109, 2064 CrossRef CAS.
- B. W. Wojciechowski, Chem. Innovation, 2000, 30, 47 CAS.
- S. Kozuch and J. M. L. Martin, ACS Catal., 2012, 2, 2787 CrossRef CAS.
- G. Lente, ACS Catal., 2013, 3, 381 CrossRef CAS.
|
| This journal is © The Royal Society of Chemistry 2013 |
Click here to see how this site uses Cookies. View our privacy policy here.